Рентабельность активов и собственного капитала как показатели оценки эффективности хозяйственной деятельности организации

  • Вид работы:
    Курсовая работа (т)
  • Предмет:
    Финансы, деньги, кредит
  • Язык:
    Русский
    ,
    Формат файла:
    MS Word
    75,98 Кб
  • Опубликовано:
    2015-05-12
Вы можете узнать стоимость помощи в написании студенческой работы.
Помощь в написании работы, которую точно примут!

Рентабельность активов и собственного капитала как показатели оценки эффективности хозяйственной деятельности организации

Федеральное государственное бюджетное образовательное учреждение высшего профессионального образования

«Российская академия народного хозяйства и государственной службы при Президенте Российской Федерации»

Брянский филиал

Кафедра экономики и финансов

Специальность 080105.65 - Финансы и кредит





КУРСОВАЯ РАБОТА

по дисциплине «Финансы организаций»

на тему «Рентабельность активов и собственного капитала как показатели оценки эффективности хозяйственной деятельности организации»


Студент: А.А. Стариков

группа ФОО-10

Преподаватель: Д.В. Цуканов




Брянск 2014

СОДЕРЖАНИЕ

ВВЕДЕНИЕ

ТЕОРЕТИЧЕСКИЕ АСПЕКТЫ РЕНТАБЕЛЬНОСТИ АКТИВОВ И СОБСТВЕННОГО КАПИТАЛА

.1 Понятие и сущность рентабельности

.2 Система показателей рентабельности организации

.3 Факторы повышения рентабельности активов и собственного капитала

АНАЛИЗ РЕНТАБЕЛЬНОСТИ АКТИВОВ И СОБСТВЕННОГО КАПИТАЛА НА ОАО "БРЯНСКИЙ МЯСОКОМБИНАТ"

.1 Краткая характеристика предприятия

.2 Анализ рентабельности активов и собственного капитала на ОАО "Брянский мясокомбинат"

ВЫЯВЛЕНИЕ РЕЗЕРВОВ РОСТА РЕНТАБЕЛЬНОСТИ АКТИВОВ И СОБСТВЕННОГО КАПИТАЛА НА ОАО "БРЯНСКИЙ МЯСОКОМБИНАТ"

.1 Мероприятия по повышению рентабельности активов и собственного капитала

.2 Экономический эффект от реализации предложенных мероприятий на ОАО "Брянский мясокомбинат"

ЗАКЛЮЧЕНИЕ

БИБЛИОГРАФИЧЕСКИЙ СПИСОК

ВВЕДЕНИЕ

капитал рентабельность актив

Рыночная экономика задает конкретные требования к системе управления предприятиями. Необходимо более быстрое реагирование на изменение хозяйственной ситуации с целью поддержания устойчивого финансового состояния и постоянного совершенствования производства в соответствии с изменением конъюнктуры рынка.

Сейчас на российском рынке, как и на многих других развивающихся рынках, необходимым условием для руководства предприятия в принятии верных финансовых решений является проведения анализа рентабельности активов и капитала. В таких условиях необходимо пользоваться достаточно простыми инструментами, которые позволяют получить все необходимые сведения о финансовом состоянии и экономической стратегии предприятий.

Актуальность выбранной темы заключается в сложившихся условиях высокой конкуренции, предприятию необходимо максимизировать эффективность своей деятельности, чтобы достичь наибольшей результативности и, соответственно, прибыли.

Целью моей работы является анализ рентабельности актив и собственного капитала на предприятии. На основе этого, используя методику факторного анализа рентабельности активов, я проведу исследование стратегий предприятия в период с 2012 по 2013 годы.

Задачи:

разработать мероприятия по улучшению результатов деятельности предприятия.

охарактеризовать показатели оценки рентабельности активов;

рассмотреть систему показателей рентабельности собственного капитала;

проанализировать рентабельность активов и собственного капитала на предприятии;

Объектом исследования являются рентабельности активов и собственного капитала ОАО «Брянский мясокомбинат»

Предметом исследования является финансово-экономическая деятельность данного предприятия.

Информационной базой послужила статистическая и годовая бухгалтерская отчетность предприятия ОАО «Брянский мясокомбинат» за 2012-2013 годы.

1 ТЕОРЕТИЧЕСКИЕ АСПЕКТЫ РЕНТАБЕЛЬНОСТИ АКТИВОВ И СОБСТВЕННОГО КАПИТАЛА

.1 Понятие и сущность рентабельности

Рентабельность (от немецкого - rentabel- прибыльный, доходный), показатель финансовой эффективности производства на предприятиях, в отраслях экономики и народном хозяйстве в целом. Отражает использование трудовых, денежных и материальных ресурсов.

Второе понятие: Рентабельность - это степень доходности, выгодности, прибыльности бизнеса. Она измеряется с помощью целой системы относительных показателей, которые характеризуют эффективность работы предприятия в целом, доходность различных направлений деятельности (производственной, коммерческой, инвестиционной), выгодность производства отдельных видов продукции и услуг.

Третье определение рентабельности: Рентабельность - показатель, представляющий собой отношение прибыли к сумме затрат на производство, денежным вложениям в организацию коммерческих операций или сумме имущества фирмы используемого для организации своей деятельности.

Рентабельность разделяют на расчетную и общую.

Расчетная рентабельность представляет собой - соотношение расчетной прибыли и среднегодовой стоимости тех производственных фондов, с которых взимается плата за фонды. Общая рентабельность представляет собой процентное отношение общей прибыли к среднегодовой суммарной стоимости производственных основных фондов и нормируемых оборотных средств.

Предприятие, реализуя свою продукцию потребителям, имеет определённые расходы. Эти расходы представляют собой издержки производства данного предприятия. Однако издержки определенного продукта на предприятии могут отклоняться от средних издержек по отрасли, которые составляют цену продукта. Такие издержки позволяют предприятию получать с продажи отдельного продукта прибыль, а следовательно, и измерение - рентабельности.

Рентабельность собственного капитала - показывает доходность предприятия для его владельцев, рассчитанную после вычета процентов по кредитам.

Это самый важный финансовый показатель отдачи для инвестора и собственника бизнеса, показывающий, насколько эффективно были использованы вложенные в дело средства. В отличие от рентабельности активов (ROA), данный коэффициент характеризует эффективность использования не всего капитала организации, а только той его части, которая принадлежит собственникам предприятия.

На рентабельность собственного капитала влияют такие факторы как:

соотношение собственного и заемного капитала.

операционная эффективность (рентабельность продаж по чистой прибыли);

эффективность использования всех активов (оборачиваемость активов);

Коэффициент рентабельности собственного капитала сравнивают с процентом альтернативной доходности, которую мог бы получить собственник, вложив свои деньги в другой бизнес. Допустим, если бизнес приносит лишь 3% прибыли в год, а банковский депозит может принести 12% , то встает вопрос о целесообразности дальнейшего ведения такого бизнеса. Чем выше рентабельность собственного капитала, тем лучше. Однако высокое значение показателя может получиться из-за слишком высокого финансового рычага, т.е. большой доли заемных средств и малой доли собственных, что может плохо повлиять на экономическую устойчивость организации.

Расчет коэффициента рентабельности собственного капитала имеет смысл только в случае, если у организации имеется собственный капитал, т.е. положительные чистые активы. Иначе расчет дает отрицательное значение показателя, который не пригоден для анализа.

При анализе рассчитанные показатели рентабельности следует сравнить с плановыми, и соответствующими показателями предыдущих периодов, а также с данными других организаций.

Главным здесь показателем является рентабельность активов. Этот показатель определяется по следующей формуле:

Рентабельность активов - это прибыль, оставшаяся в распоряжении предприятия, деленная на среднюю величину активов и умноженную на 100%.

Рентабельность активов = (чистая прибыль / среднегодовая величина активов) *100%

При помощи этого показателя можно сделать оценку общеэкономической эффективности использования активов предприятия. Экономический смысл данного показателя состоит в том, что он характеризует величину прибыли, которую получает организация на рубль всего капитала, вложенного в активы, для всех заинтересованных сторон. Показатель является одним из самых важных индикаторов конкурентоспособности организации. Уровень конкурентоспособности можно определить с помощью сравнения рентабельности активов организации со среднеотраслевым коэффициентом.

На динамику показателей рентабельности оказывает влияние вся совокупность производственных и хозяйственных факторов: уровень организации производства и управления ; структура капитала и его источников; степень использования производственных ресурсов; объем ,качество и структура продукции; затраты на производство и себестоимость изделий ; прибыль по видам деятельности и направления ее использования

Рентабельность активов показывает прибыль, приносимую всеми средствами предприятия, вне зависимости от их вида и источника формирования. Рассчитывается как отношение чистой прибыли к общей величине активов. Служит для оценки эффективности бизнеса в целом, а не только эффективности собственного капитала.

1.2 Система показателей рентабельности организации

 

Коэффициенты оценки рентабельности - система показателей, которые характеризуют способность предприятия преобразовывать необходимую прибыль в процессе своей хозяйственной деятельности и определять общую эффективность использования активов и вложенного капитала.

Для проведения такой оценки финансовой эффективности предприятия используются следующие основные показатели рентабельности:

Рентабельность продаж - это коэффициент, который показывает долю прибыли в каждом заработанном рубле. Обычно рассчитывается как отношение чистой прибыли (прибыли после налогообложения) за определённый период к выраженному в денежных средствах объёму продаж за тот же период.

Рентабельность продаж = Чистая прибыль / Выручка

Чистая рентабельность - коэффициент показывающий, сколько чистой прибыли приходиться на единицу выручки

Чистая рентабельность = Прибыль до налогообложения / Выручка от продаж

Рентабельность активов - эффективность использования всех ресурсов предприятия

Рентабельность активов = Чистая прибыть / Стоимость активов

Следует отметить, что в странах с развитыми рыночными отношениями обычно ежегодно торговой палатой, промышленными <#"818670.files/image001.gif">

Квадрат "пассивность" характеризует организацию, у которой наблюдается низкий уровень деловой активности и рентабельности . Это либо вновь созданная организация, либо находящаяся на грани банкротства, в некоторой мере деловая пассивность и низкая рентабельность приводят к падению финансовой устойчивости и последующей несостоятельности.

Квадрат "скрытые возможности" характеризует организацию, показывающую высокую деловую активность и рентабельность. Это возможно в случае наращивания производственного потенциала и реальных возможностей повышения, как деловой активности, так и рентабельности.

Квадрат "максимальная активность" характеризуется высоким уровнем показателей рентабельности и деловой активности. Организация - лидер на отраслевом рынке, стабильно выполняет свои функции, удерживает положительную динамику основных результативных показателей.

Квадрат "нестабильная эффективность" характеризует организацию с высоким уровнем деловой активности, и низким уровнем рентабельности. Отсутствие внятной политики в отношении повышения производственного потенциала, модернизации основного капитала, совершенствования технологии и финансовой стратегии (привлечение кредитов, займов, новых собственников) может привести к потере конкурентоспособности и утрате рыночных позиций.

Такая матрица может помочь идентифицировать положение отдельной организации и определить возможные перемещения по квадратам матрицы в будущем с учетом ожидаемых изменений внутренней и внешней среды на основании решения собственников, руководства, консалтинговых и аудиторских фирм, а также прогнозов ведущих экономистов.

Предложенная матрица может использоваться для идентификации жизненного цикла анализируемой организации, поскольку деловая активность существенно зависит от этапов жизненного цикла. Так, квадрат "пассивность" характерен на этапе зарождения или на стадии, предшествующей ликвидации. Квадрат "скрытые возможности" может сигнализировать о стадии подъема и развития организации. В это время когда идет наращивание производственного потенциала, установление принципиальных деловых контактов, максимальное привлечение средств собственников и инвесторов.

"Максимальная активность" наблюдается на стадии зрелости организации. В это время вся финансово-экономическая система функционирует с максимальной отдачей. Квадрат «нестабильность" присущ организациям, находящимся, как правило, на стадии старения. Именно в это время необходимо прорабатывать вопрос дальнейшего функционирования организации: сворачивание производства и переход в другие сферы деятельности либо коренная модернизация всего хозяйственного механизма.

Иначе, матрица эффективности финансово-хозяйственной деятельности может быть неотъемлемой частью анализа и управления показателями результативности деятельности организации.

Один из самых эффективных показателей факторного анализа рентабельности активов является так называемая модель Дюпона. Данная модель была предложена специалистами компании DuPont (The DuPont System of Analysis) в 1919 году. К этому времени широкое распространение получили показатели рентабельности продаж и оборачиваемости активов.

Рентабельность активов по определению равна:

Rart= Пр / Аср

Где Пр-прибыль за период(операционная)

Аср-средняя за период стоимость активов(капитала) предприятия.

Модифицируем данную модель методом расширения:

Rart = Пр / Аср = (Пр / Аср) x (РП / Е) х (Е / Аср)

Где РП - объем реализации продукции

Е- собственный капитал предприятия

В данной модели рентабельность активов представлена как результат действия трех относительных факторов:

Пр / РП - рентабельность продаж

РП / Е - оборачиваемость собственного капитала

Е / Аср - доля собственного капитала в активах

Первый фактор этой модели говорит о ценовой политике организации, он показывает ту наценку, которая заложена в цене реализуемой продукции.

Второй фактор характеризует оборачиваемость капитала с учетом соотношения собственного и заемного капитала.

В самом деле:

при прочих равных условиях РП/E тем больше, чем больше скорость оборота всего капитала;

рост заемного капитала, то есть реализация потенциала финансового рычага, ведет к росту

РП при том же Е.

Третий фактор характеризует изменение доли собственного капитала в активах за счет роста активов. Причем факторы роста активов связаны в данном случае только с ростом обязательств, то есть с прямыми, или косвенными заимствованиями. Возможно, также замещение части собственного капитала заимствованиями. Обычно расчетный период - год.

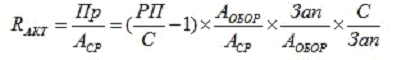
Иногда в литературе в качестве модели Дюпона приводят формулу:

 <http://www.economic-s.ru/wp-content/uploads/2011/01/568.jpg>

где С - себестоимость продукции (полная);

АОБОР - величина оборотных активов;

Зап - величина запасов в оборотных активах.

Первый фактор этой модели говорит о ценовой политике организации, он показывает ту базовую наценку, которая заложена непосредственно в цене реализуемой продукции.

Второй и третий факторы показывают структуру активов и оборотных активов, оптимальная величина которых дает возможность экономить оборотный капитал.

Четвертый фактор обусловлен величиной выпуска и реализации продукции и говорит о эффективности использования производственных запасов, физически он выражает количество оборотов, которое запасы совершают за отчетный год.

Рентабельность собственного капитала характеризует эффективность использования вложенных в организацию собственных средств. Рентабельность собственного капитала показывает, сколько чистой прибыли приходится на рубль собственных средств. Для достижения высоких темпов роста оборота нужно повышать возможности увеличения рентабельности собственных средств предприятия.

 

1.3 Факторы повышения рентабельности активов и собственного капитала


Важным фактором повышения рентабельности в современных условиях - это работа по ресурсосбережению. Она ведет к снижению затрат и себестоимости, а значит и к росту прибыли. Уменьшение затрат на производство продукции можно достичь за счет:

Снижение материалоемкости продукции путем внедрения новых, более экономных видов конструкций.

Применение ресурсосберегающей техники и технологии, малоотходных технологий, современных форм автоматизации и информационных технологий.

Использование прогрессивных видов материалов, устранение затрат при переработке, хранении, транспортировке материалов, усиление контроля за хранением материалов, ликвидации недостатка и потерь материалов.

Вторичного использования материальных ресурсов: утилизация отходов, их регенерация, восстановление, сбор, заготовка и использования отходов и т.п.

Повышение производительности работы, поддержание благоприятного социального микроклимата в трудовом коллективе.

Более эффективного использования производственного оборудования, снижение затрат на удержание основных средств за счет реализации и ликвидации ненужных основных средств и таких, что не используются, надлежащей организации ремонтно-технического обслуживания.

Для повышения рентабельности также необходимо:

Распределить все затраты на постоянные и сменные.

Увеличивать объемы реализации продукции и улучшать ее качество.

Расширять объемы деятельности, за счет привлечения нового заемного средства.

Исследовать номенклатуру выпускаемой продукции.

Снизить материалоемкость продукции, применять новую прогрессивную технику и технологии, повысить производительность работы и квалификацию работников, эффективность использования оборудования.

Начать сотрудничество с новыми поставщиками на более удобных условиях с целью закупки более дешевого сырья и материалов.

Реализовать запасы путем улучшения сбытовой политики, возможно, снижение цен, разработки системы скидок, проведение дисконтной политики;

Проводить маркетинговые исследования, выходить на новые, более удобные рынки;

Улучшить политику коммуникаций, а именно, расширить объемы рекламы, ради информирования потребителей и убеждение их приобрести продукцию именно этого предприятия, проводить разные конкурсы и акции.

Постоянно совершенствовать методы работы, обобщать и использовать нагроможденный на других предприятиях положительный опыт.

Рентабельность собственного капитала показывает эффективность использования вложенных в организацию собственных средств. Рентабельность собственного капитала показывает, сколько чистой прибыли приходится на рубль собственных средств. Для достижения высоких темпов роста оборота нужно повышать возможности увеличения рентабельности собственных средств предприятия.

Таким образом, рентабельность собственного капитала зависит от оборачиваемости активов и рентабельности реализации. Чтобы увеличить рентабельность собственного капитала необходимо стремится к ускорению оборачиваемости чистых активов, которая повышается при увеличении доли заемных средств в составе совокупного капитала.

Рентабельность собственных средств можно представить также как отношение суммы средств, направляемых на накопление и потребление, к величине собственных средств.

Рентабельность показывает, насколько прибыльна деятельность предприятия, значит, чем выше коэффициенты рентабельности, тем эффективней деятельность. Исходя из этого, компания должна стремиться к более высоким показателям, а руководство должно определить пути повышения рентабельности.

Многообразие показателей рентабельности определяет альтернативность поиска путей ее повышения. При анализе путей повышения рентабельности важно разделять влияние внешних и внутренних факторов. В целом одним из условий процветания предприятия является расширение рынка сбыта продукции за счет снижения цены на предлагаемые товары, но это не всегда так. Поэтому внимания этому внешнему фактору следует уделять меньше, чем внутренним: увеличению объемов производства, снижению себестоимости продукции, повышению отдачи основных средств.

Проведенный анализ позволяет сделать следующие выводы:

· при низкой рентабельности продаж необходимо стремиться к ускорению оборота активов;

· отдача собственного капитала повышается при увеличении доли заемных средств в составе совокупного капитала;

· рентабельность активов тем выше, чем выше прибыльность продукции, чем выше отдача внеоборотных активов и скорость оборота оборотных активов, чем ниже общие затраты на 1у.е. продукции и удельные затраты по экономическим элементам (средств труда, материалов, труда).

Следует заметить, что нельзя не рассматривать влияние отдельных факторов, так как «на уровень и динамику показателей рентабельности оказывает влияние вся совокупность производственных и хозяйственных факторов:

уровень организации производства и управления; структура капитала и его источников;

степень использования производственных ресурсов;

объем, качество и структура продукции;

затраты на производство и себестоимость изделий;

Наибольшее внимание нужно уделить последнему пункту, а именно, направлению использования прибыли, которое предприятие определяют самостоятельно. Прибыль может быть направлена на образование фондов накопления и фондов потребления, отчисления в резервный капитал, отвлечения на благотворительные и другие цели, с целью расширения деятельности организации за счет собственных источников финансирования. Но есть и другая альтернатива - это вложение собственных средств в ценные бумаги других крупных компаний, например, сформировать инвестиционный портфель, грамотно осуществлять управление и через определенное время получить доход и вложить в свое предприятие для повышения конкурентоспособности и финансового состояния предприятия.

2 АНАЛИЗ РЕНТАБЕЛЬНОСТИ АКТИВОВ И СОБСТВЕННОГО КАПИТАЛА НА ОАО "БРЯНСКИЙ МЯСОКОМБИНАТ"

.1 Краткая характеристика предприятия

ОАО «Брянский мясокомбинат» является предприятием мясоперерабатывающей промышленности и основным видом деятельности является производство мясных продуктов, копченостей и полуфабрикатов.

Для обеспечения бесперебойного функционирования предприятие располагает вспомогательными и обслуживающими производствами. К вспомогательным относятся: ремонтно-механический цех, электроцех, холодильный цех, автотранспортный цех, деятельность которых направлена на обеспечение текущих нужд основного процесса производства.

К обслуживающему производству относится столовая (общая площадь более 150 м2). В общем объеме реализации доля данного вида услуг незначительна.

Среднесписочная численность работающих на предприятии за 2013г. составила 408 чел.

Уставной капитал АО «Брянский мясокомбинат» составляет 3365 тыс. руб. В 2013 году акции общество не эмитировало, и размер уставного капитала не изменялся.

История Брянского мясокомбината насчитывает более 79 лет. Проект будущего производства был создан специалистами чикагской фирмы по проектированию мясокомбинатов еще в 1932 году по заказу Анастаса Микояна. В том же году началось строительство комбината, которое было завершено в 1935 году. В первый же год работы предприятием было переработано 1260 тонн скота, выработано более 400 тонн мяса и 383 тонны колбасных изделий.

В последующие годы предприятие неоднократно реконструировалось, постоянно увеличивая выработку мяса, колбасных изделий, мясных деликатесов и полуфабрикатов.

Главная цель предприятия - обеспечение потребителя вкусной и качественной продукцией. Коллектив ОАО «Брянский мясокомбинат» не гонится за сиюминутной выгодой - прибыль получается не за счет повышения цен, а благодаря наращиванию объемов производства и расширения рынков сбыта. Комбинат постоянно принимает участие в продовольственных ярмарках-выставках, смотрах-конкурсах, проводит дегустации и знакомится с мнением и оценкой покупателей

Продукция Брянского мясокомбината знакома жителям не только Брянска и Брянской области, но и во многих регионах России. Вкус и качество колбасных изделий нашего предприятия высоко оценили в Москве, Санкт-Петербурге, Орле, Воронеже, Калуге, Туле, Ростове-на-Дону и других городах. Сотрудники предприятия серьезно занимаются не только увеличением выпуска, улучшением качества и расширением ассортимента продукции, но и совершенствованием этапа доставки: колбасные изделия ОАО «Брянский мясокомбинат» попадают на прилавки

магазинов уже через несколько часов после выработки. Также работает и расширяется собственная торговая сеть.

На сегодняшний день Брянский мясокомбинат оснащен высококлассным технологическим оборудованием ведущих фирм мира - «Gut Master», «Bizerba», «Handtmann», «Poliklip» и других; перерабатывает ежемесячно более 500 тонн сырья и производит более 350 наименований мясопродуктов. На предприятии осуществляется строгий ветеринарно-санитарный контроль поступающего сырья и готовой продукции. Разрабатываются новые виды продукции.

2.2 Анализ рентабельности активов и собственного капитала на ОАО "Брянский мясокомбинат"

Осуществляя хозяйственную деятельность, любая организация нуждается в анализе финансового состояния. Финансовые результаты деятельности предприятия характеризуются различными показателями: объемом реализации, изменениями статей и структуры баланса, движением денежных средств, ликвидностью и финансовой устойчивостью, оборачиваемостью и рентабельностью. Именно эти результаты являются той необходимой информацией, которая дает возможность оценить финансовые возможности организации.

Показатели рентабельности являются обязательными элементами анализа и оценки финансового состояния предприятия. Они характеризуют эффективность работы предприятия в целом, доходность различных направлений деятельности (производственной, предпринимательской, инвестиционной), окупаемость затрат. Они более полно, чем прибыль, отражают окончательные результаты хозяйствования, потому что их величина показывает соотношение эффекта с наличными или используемыми ресурсами. Их используют для оценки деятельности предприятия и как инструмент в инвестиционной политике и ценообразовании. Анализ показателей проводится <http://220-volt.ru/> на основе финансовых результатов ОАО "Брянский мясокомбинат".

Для принятия решений, связанных с дальнейшим функционированием организации, финансовому менеджеру необходимо иметь информацию о деятельности предприятия за анализируемый период. Важно не только получение необходимой информации, но и правильная ее обработка, оценка и грамотное использование полученных результатов в текущей деятельности и для прогнозирования финансового состояния.

Для проведения анализа рентабельности деятельности ОАО "Брянский мясокомбинат" необходимы данные, представленные в Бухгалтерской отчетности и отчете о прибылях и убытках.

Рентабельность собственного капитала - относительный показатель эффективности деятельности, частное от деления чистой прибыли <http://ru.wikipedia.org/wiki/%D0%A7%D0%B8%D1%81%D1%82%D0%B0%D1%8F_%D0%BF%D1%80%D0%B8%D0%B1%D1%8B%D0%BB%D1%8C>, полученной за период, на собственный капитал <http://ru.wikipedia.org/wiki/%D0%A1%D0%BE%D0%B1%D1%81%D1%82%D0%B2%D0%B5%D0%BD%D0%BD%D1%8B%D0%B9_%D0%BA%D0%B0%D0%BF%D0%B8%D1%82%D0%B0%D0%BB> организации <http://ru.wikipedia.org/wiki/%D0%9E%D1%80%D0%B3%D0%B0%D0%BD%D0%B8%D0%B7%D0%B0%D1%86%D0%B8%D1%8F>. Один из финансовых коэффициентов <http://ru.wikipedia.org/wiki/%D0%A4%D0%B8%D0%BD%D0%B0%D0%BD%D1%81%D0%BE%D0%B2%D1%8B%D0%B5_%D0%BA%D0%BE%D1%8D%D1%84%D1%84%D0%B8%D1%86%D0%B8%D0%B5%D0%BD%D1%82%D1%8B>, входит в группу коэффициентов рентабельности <http://ru.wikipedia.org/w/index.php?title=%D0%9A%D0%BE%D1%8D%D1%84%D1%84%D0%B8%D1%86%D0%B8%D0%B5%D0%BD%D1%82%D1%8B_%D1%80%D0%B5%D0%BD%D1%82%D0%B0%D0%B1%D0%B5%D0%BB%D1%8C%D0%BD%D0%BE%D1%81%D1%82%D0%B8&action=edit&redlink=1>. Показывает отдачу на инвестиции акционеров с точки зрения учетной прибыли.

Для расчета показателей рентабельности собственного капитала нужно брать среднюю величину капитала. Так, собственный капитал на предприятии за период с 2012 по 2013 год увеличился на 42% и составляет 37074 тыс. руб. и 52699 тыс.руб. соответственно. В то время как чистая прибыль увеличилась 2.3 раза, с 6689 тыс.ру. в 2012 года до 15625 тыс.руб. в 2013 году. Согласно формуле расчёта

Рентабельность собственного капитала на ОАО "Брянский мясокомбинат" составила:ск 2012 = 6689/37074*100% = 18%ск 2013 = 15625/52699*100 = 29,6%

Эффективность использования собственных средств предприятия в 2013 г. возросла по сравнению с предшествующим годом в 1,6 раза что свидетельствует о повышении эффективности использования собственного капитала.

Для расчета рентабельности активов берем чистую прибыль, которая приведена выше и величину всех активов организации, которые составляют в 2012 году 459714 тыс. руб., а в 2013 356433 тыс. руб. что говорит о снижении количества активов предприятия на 22,5%.

Rа = (Чистая прибыль <http://ru.wikipedia.org/wiki/%D0%A7%D0%B8%D1%81%D1%82%D0%B0%D1%8F_%D0%BF%D1%80%D0%B8%D0%B1%D1%8B%D0%BB%D1%8C>/Средняя стоимость активов)*100 %а 2012 = 6689/459714*100=1,5%а 2013 = 15625/356433*100=4.4%

Согласно расчету повышение уровня рентабельности почти в 3 раза при снижении активов свидетельствует о росте эффективности использования производственного потенциала предприятия.

Рентабельность активов и рентабельность собственного капитала на ОАО "Брянский мясокомбинат" увеличивается - это наиболее благоприятная ситуация и для фирмы как для самостоятельного хозяйствующего субъекта, и для ее собственников. Вовлеченный в деятельность организации объем ресурсов и его грамотное использование позволяют получать все больше прибыли.

3 ВЫЯВЛЕНИЕ РЕЗЕРВОВ РОСТА РЕНТАБЕЛЬНОСТИ АКТИВОВ И СОБСТВЕННОГО КАПИТАЛА НА ОАО "БРЯНСКИЙ МЯСОКОМБИНАТ"

.1 Мероприятия по повышению рентабельности активов и собственного капитала

Как известно, основные денежные поступления на предприятие осуществляются за счет поступлений от реализации продукции, произведенной предприятием. Объем чистых продаж влияет на величину прибыли предприятия, от которой в свою очередь зависят и показатели рентабельности активов и основных средств.

Чтобы увеличить объемы реализуемой предприятием продукции, необходимо увеличить долю рынка занимаемой предприятием, что может быть осуществлено в трех направлениях:

) Предприятие должно найти возможности и способы увеличения спроса на свою продукцию;

) Предприятие должно обеспечить удержание своей доли рынка;

) В-третьих, ОАО "Брянский мясокомбинат" смогло бы увеличить свою долю рынка, даже если насыщаемость рынка осталась неизменной.

Чтобы увеличить спрос на свою продукцию предприятие должно постоянно искать новых потребителей продукции предприятия, предлагая новые формы потребления, которые бы позволили постоянное приобретение со стороны потребителей.

Чтобы удержать уже занятую долю рынка ОАО "Брянский мясокомбинат" должно постоянно улучшать технологию производства колбас и мясных изделий, специалисты предприятия должны осуществлять постоянный поиск новых технологий, применение которых позволило бы постоянное улучшение качества продукции.

Если предприятие не преследует наступательную стратегию определенного рынка, оно должно постоянно контролировать ситуацию, удерживать затраты и расходы предприятия на низком уровне, а применяемые цены должны быть конкурентоспособными.

Таким образом, ОАО "Брянский мясокомбинат" должно производить широкий ассортимент продукции, который в максимальной степени удовлетворял требованиям потребителей и позволил бы увеличить долю рынка.

Исходя из цели по увеличению доли рынка, предприятие может принять решение по расширению ассортимента вырабатываемой продукции. Учитывая тот факт, что ассортиментный ряд является ключевым элементом при конкурентной борьбе предприятие должно ориентировать свою деятельность на производство и реализацию более широкого ассортимента продукции, другими словами предприятие должно производить те виды продукции, на которые существует большой спрос и которые являются наиболее рентабельными.

ОАО "Брянский мясокомбинат" с одной стороны, формирует цену для оптовой реализации на внутреннем рынке, а с другой - для розничной продажи посредством фирменных магазинов.

Для розничной продажи цена должна формироваться исходя из производственных затрат и расходов. Поэтому, для привлечения новых клиентов, предприятие должно снизить валовую прибыль для некоторых видов продукции, что ведет к снижению цены реализуемой продукции. Уровень цен на протяжении последних лет возрос. Данный факт был обусловлен ежегодным ростом инфляции, а с другой стороны ростом цен на сырье, материалы, энерго - и теплоресурсы, что последовало ростом себестоимости производства.

Для того что бы избежать роста цен в результате увеличения производственных затрат и расходов могут быть предприняты следующие меры:

заключение контрактов с поставщиками основного сырья на долгосрочный период;

постоянный контроль над уровнем затрат и расходов предприятия;

применение передовых технологий производства, основанных на более низком расходе сырья и материалов.

Другим мероприятием по отношению к цене является снижение коммерческой надбавки на те виды, которые медленнее реализуются и увеличение ее на ту продукцию, которая пользуется большим спросом.

Учитывая конкурентную среду на ОАО "Брянский мясокомбинат" стратегия формирования цен основывается на принципе «цена-качество».

Другим аспектом политики формирования цен на ОАО "Брянский мясокомбинат" является сезонные продажи - то есть увеличение цен в предпраздничные периоды (Новый Год, Рождество, Пасха и т.д.)

Для продвижения готовой продукции предлагается предприятию продвигать свою продукцию на внутреннем рынке, используя различные методы продвижения.

На ОАО "Брянский мясокомбинат" совсем не уделяется внимания на продвижение продукции и ее рекламной компании. Можно использовать средства массовой информации. Т.е. рекламные ролики о предприятии на радио. В прессе, а также сделать узнаваемой продукцию предприятия путем организации периодических дегустаций в крупных магазинах города Брянска (Линия, Лента, Свенская Ярмарка и др. ), и близ лежащих городов и районных центрах.

Одним из важных моментов для успешной реализации товара является месторасположение торговых единиц. Это объясняется тем, что доступ к продуктам предприятия является одним из основополагающих условий, для того чтобы потенциальный потребитель стал реальным. Поэтому предприятию ОАО "Брянский мясокомбинат" предлагается открыть несколько магазинов в районных центрах.

Открытие фирменных магазинов позволит организации наладить прямую связь продавец - потребитель, что даст лучший учет их потребностей и рекламаций. Также предприятию ОАО "Брянский мясокомбинат" необходимо изменить постоянство своей продукцию, так как потребности потребителя находятся в безостановочном видоизменении и появлению новых предпочтений.

.2 Экономический эффект от реализации предложенных мероприятий на ОАО "Брянский мясокомбинат"

Анализируемое предприятие ОАО "Брянский мясокомбинат", вид деятельности которого, производство и реализация мясных изделий, отработал отчетный период низко рентабельным.

Для улучшения финансового состояния анализируемого предприятия нами рекомендуется следующее:

увеличить прибыль путем увеличения выручки от реализации продукции и уменьшения расходов предприятия;

уменьшать долю заемного капитала за счет увеличения собственного капитала и более эффективное его использование;

снизить операционный цикл, вследствие чего будет расти рентабельность;

увеличить оборачиваемости средств в расчетах за счет увеличения объема продаж, либо за счет спроса на продукцию (с помощью продвижения продукции), либо за счет снижения дебиторской задолженности;

увеличить уставный капитал общества с целью повышения его финансовых гарантий;

увеличить резервный фонд, и совершенствовать его учет и отражения в бухгалтерском балансе;

совершенствовать бухгалтерскую отчетность общества в целях возможности ее использования для финансового анализа всеми участниками рынка в целях привлечения инвестиций.

Целесообразно предложить следующие принципы формирования капитала предприятия:

. Учет перспектив развития хозяйственной деятельности данной организации. Процесс формирования объема и структуры капитала подчинен задачам обеспечения его хозяйственной деятельности не только на начальном этапе, но и на продолжении и расширении этой деятельности в будущем.

. Обеспечение соответствия объема привлекаемого капитала объему формируемых активов предприятия. Общая потребность в капитале основывается на потребности в оборотных и внеоборотных активах.

. Обеспечение оптимальности структуры капитала с позиции эффективного его функционирования.

. Обеспечение минимизации затрат по формированию капитала из различных источников. Такая минимизация осуществляется в процессе управления стоимостью капитала, под которой понимается цена, уплачиваемая предприятием за его привлечение из различных источников.

. Обеспечение высокоэффективного использования капитала в процессе его хозяйственной деятельности.

При реализации предложенных мероприятий необходимо проанализировать эффект, который может получить компания. Так, при улучшении организации снабжения производства необходимыми материальными ресурсами и сокращения времени нахождения капитала в запасах, произойдёт сокращение продолжительности производственного цикла. Это позитивно скажется на работе предприятия в целом, ещё для этой цели можно произвести модернизацию производства или более полное использование имеющихся производственных мощностей за неимением средств на приобретение более нового, дорогого и модифицированного. Так же эти мероприятия позволят сократить фонд заработной платы, путем сокращения штата работников производства.

В целях минимизации риска возникновения просроченной дебиторской задолженности, которая оборачивается для предприятия убытками необходимо: проводить оценку и классификацию покупателей в зависимости от вида продукции, объема закупок, платежеспособности клиентов, истории кредитных отношений; планировать объем дебиторской задолженности и мотивировать на его достижение сотрудников предприятия, вовлеченных в процесс управления дебиторской задолженностью. В случае возникновения такой задолженности необходимо активизировать работу юридического отдела по взысканию дебиторской задолженности в судебном порядке.

Также при исследовании новых рынков сбыта и выхода на них будет увеличиваться оборот компании, что принесет большую прибыль.

Таким образом, реализация вышеперечисленных мер повлечет за собой повышение финансовых результатов ОАО "Брянский мясокомбинат", а как любое акционерное общество, компания стремится получить максимальную прибыль от реализации своей деятельности

Заключение

 

Рентабельность характеризует результативность деятельности предприятия. Показатели рентабельности позволяют оценить, что фирма с каждого рубля средств, вложенных в активы предприятия.

Как мы выяснили в ходе проведения анализа, рентабельность хозяйственной деятельности отражает вознаграждения на всю совокупность источников, которые используются предприятием для осуществления своей деятельности.

Эффективность производства это основной индикатор того, насколько хорошо, слаженно на предприятии организованно производство. Высокая эффективность говорит и о том, что фирма функционирует на пределе своих технологических и производственных возможностей. Это значит, что дальнейший рост производства, как правило, может быть выполнен только увеличением размера производства или повышением технологического уровня. Низкая эффективность показывает, что снижается объем производства и качество продукции, а также растет удельный вес бракованной продукции.

Анализируя эффективность производства, осознавая верность своих действий по оптимизации производства, можно понять пути и средства его достижения. Не зная к чему стремиться, невозможно определить способ достижения этого.

Правильный анализ производства позволяет максимально улучшить распределение ресурсов, факторов и средств производства. В данной курсовой работе было изложено то, по каким показателям экономической эффективности проводить <http://220-volt.ru/> анализ, как определить оптимальное решение.

Суть проблемы повышения экономической эффективности производства состоит в том, чтобы на каждую единицу трудовых, материальных и финансовых ресурсов добиваться существенного увеличения объёма производства продукции. Это, в конечном счете, означает повышение производительности общественного труда, от чего и зависит повышение эффективности производства.

Оценка деятельности фирмы осуществляется на основе комплексного анализа конечных итогов его эффективности. С экономической точки зрения, эффективность предприятия состоит в том, чтобы на каждую единицу затрат добиться существенного увеличения прибыли. Эффективность деятельности предприятия количественно исчисляется сравнением двух величин: полученного в процессе производственной деятельности результата и затрат живого и овеществленного труда на его достижение.

Анализ производственной деятельности предприятия не может обойтись без анализа таких показателей как рентабельность активов и собственного капитала. Эти два показателя в полностью отражают эффективность работы предприятия, показывают его перспективы развития на ближайшее будущее. Своевременный расчёт и анализ этих показателей приведёт в будущем к развитию предприятия, стабильному росту, максимизации прибыли, сокращению издержек обращения и увеличению темпов развития.

БИБЛИОГРАФИЧЕСКИЙ СПИСОК

1)    Экономическая теория: Учебник для студентов вузов: ВЛАДОС, 2008.

2)      Экономика предприятия: Учебник для вузов 2007.

)        Методика финансового анализа /А. Д. Шеремет. - М.: НФРА-М, 2005

)        Баканов М.И. Теория экономического анализа. / М.И. Баканов, Мельник М.В., Шеремет А.Д. - М.: Финансы и статистика, 2009

)        Русак Н.А., Русак В.А. Финансовый анализ субъекта хозяйствования -М: Высшая школа, 2006

)        Хорн К. Основы управления финансами - М.: Финансы и статистика, 2008

)        Бернстайн Л.А.. Анализ финансовой отчетности - М.: Финансы и статистика, 2006.

)        Баканов, М.И. Экономический анализ в торговле : учебное пособие под общ. ред. М.И. Баканова. -М. : Финансы и статистика, 2008

)        Бурцев, В.В. Экономический анализ платежеспособности предприятия - показателя и структуры его капитала // Управление продажами. - 2006

)        Любушин, Н.П. Комплексный экономический анализ хозяйственной деятельности : учебное пособие. - 2-е изд., перераб. и доп. / Н.П. Любушин. - М. : ЮНИТИ-ДАНА, 2008

)        Скляренко В.К., Прудников В.М. Экономика предприятия: Учебник. - М.: ИНФРА-М, 2006

)        Зайцев Н.Л. Экономика, организация и управление предприятием. Учеб. пособие. - 2-е изд., доп. - М.: ИНФРА-М, 2010

)        Чечевицына Л.Н., Чуев И.Н. Экономика фирмы: Учебное пособие для студентов вузов / Феникс, 2006

)        Волков О.И., Девяткин О.В. Экономика предприятия (фирмы): Учебник / Под ред. О.И. Волкова 3-е изд., перераб. и доп. - М.:ИНФРА-М, 2011

)        Савицкая Г.В. Теория анализа хозяйственной деятельности: Учеб. пособие. - М.: ИНФРА-М, 2011

)        Ионова А.Ф., Селезнева Н.Н. Финансовый анализ, Изд-во Проспект, 2006

)        Ковалев А.П. «Финансовый анализ» / М.: финансы и статистика, 2004г

)        Ясенев В.Н. Автоматизированные информационные системы в экономике: Учебно-методическое пособие. - Н.Новгород: ННГУ, 2007

)        Шадрина Г.В. Экономический анализ - М.: Московская финансово-промышленная академия, 2005

)        Поздняков В.Я., Прудников В.М. Экономика предприятия: Под ред. В.Я. Позднякова, В.М. Прудникова. - 2-е изд. - М.: ИНФРА-М, 2010

21)    brmk.ru <http://www.brmk.ru/>

)        www.audit-it.ru <http://www.audit-it.ru>

)        ru.wikipedia.org <http://ru.wikipedia.org/>

)        Бухгалтерский баланс ОАО "Брянский мясокомбинат" за 2013 год

)        Отчет о финансовых результатов ОАО "Брянский мясокомбинат" за 2013 год

Похожие работы на - Рентабельность активов и собственного капитала как показатели оценки эффективности хозяйственной деятельности организации

 

Не нашли материал для своей работы?
Поможем написать уникальную работу
Без плагиата!
Без нейросетей!