Рентабельность и деловая активность страховой организации на примере ОАО 'Согаз'

  • Вид работы:
    Курсовая работа (т)
  • Предмет:
    Эктеория
  • Язык:
    Русский
    ,
    Формат файла:
    MS Word
    42,99 Кб
  • Опубликовано:
    2015-04-29
Вы можете узнать стоимость помощи в написании студенческой работы.
Помощь в написании работы, которую точно примут!

Рентабельность и деловая активность страховой организации на примере ОАО 'Согаз'

Введение


Показатели рентабельности и деловой активности являются основными характеристиками эффективности финансово-хозяйственной деятельности страховой организации. Они рассчитываются как относительные показатели, исходя из финансовых результатов, полученных страховой организацией за отчетный период.

Экономическое содержание показателей рентабельности сводится к прибыльности деятельности страховой организации. Показатели деловой активности еще называют показателями оценки оборачиваемости активов, или коэффициентами управления активами. Экономическое содержание показателей оборачиваемости заключается в скорости осуществления финансово-хозяйственных операций или в скорости оборота активов и обязательств страховой организации.

Цели данного этапа анализа:

·        оценка эффективности использования имущества страховой организации;

·        анализ стратегии получения прибыли;

·        выбор мер повышения эффективности.

Целью курсовой работы является анализ показателей рентабельности и деловой активности страховой организации на примере ОАО «Согаз».

Задачами курсовой работы являются такие:

рассмотреть сущность, качественные и количественные характеристики деловой активности страховой организации;

рассмотреть понятие, основные виды и методы расчета показателей рентабельности страховой организации;

рассмотреть факторы, влияющие на деловую активность и рентабельность страховой организации;

провести анализ деловой активности и рентабельности ОАО "СОГАЗ".

Курсовая работа состоит из введения, двух разделов, заключения и списка использованной литературы.

Глава 1. Теоретические основы анализа эффективности деятельности страховой организации


1.1 Сущность, качественные и количественные характеристики деловой активности страховой организации


Анализ деловой активности занимает важное место в финансово-экономическом анализе предприятия. Основным инструментом для оценки эффективности использования ресурсов предприятия в условиях нестабильной экономики является оценка и анализ деловой активности предприятия, с помощью которого можно объективно оценить результативность финансово-хозяйственной деятельности предприятия и определить перспективы его развития. От объективности и точности оценки и оптимизации деловой активности предприятия зависит качество важных и ответственных управленческих решений, которые позволяют не приспосабливаться к изменениям на рынке, а активно реагировать и влиять на рыночную ситуацию, постоянно меняется.

Термин «деловая активность» начал использоваться в отечественной аналитической литературе сравнительно недавно - в связи с внедрением широко известных в разных странах мира методик анализа финансовой отчетности на основе системы аналитических коэффициентов. Безусловно, трактовка данного термина может быть разным. Деловая активность отражает уровень эффективности использования материальных, трудовых, финансовых и других ресурсов и в то же время характеризует качество управления, а также возможности потенциального развития предприятия.

Анализ деловой активности заключается в исследовании уровней и динамики разнообразных финансовых коэффициентов - показателей оборачиваемости. Так как размер годового оборота зависит от скорости оборачиваемости средств, поэтому с размерами оборота и, соответственно, с оборачиваемостью связана величина условно-постоянных расходов: чем быстрее оборот, тем меньше на каждый оборот приходится сумма затрат [1].

В процессе поиска путей повышения деловой активности предприятия используются такие методы, как наблюдение, сравнение, абстрагирование, исторический метод и синтез, экономико-математическое моделирование.

Целью анализа деловой активности страховой организации являются:

. Определение динамичности его развития.

. Анализ скорости оборота средств страховой организации.

Следует отметить, что при проведении такого анализа используется большое количество показателей эффективности деятельности, оборачиваемости и тому подобное. При анализе составляются аналитические таблицы, графики, диаграммы [3].

Анализ деловой активности предприятия можно представить в виде системы четырех самостоятельных составляющих (блоков) аналитических исследований:

. анализа эффективности использования оборотных средств предприятий;

. анализа использования собственного и привлеченного капитала;

. анализа эффективности кредитных отношений предприятия с коммерческими банками;

. анализа дебиторской и кредиторской задолженностей.

То есть, проведение аналитических исследований деловой активности предприятий позволяет оценить, насколько эффективно сформирована структура их капитала, как складываются их взаимоотношения с поставщиками и заказчиками, а также с коммерческими банками.

Как известно, эффективность использования финансовых ресурсов, прежде всего, связывают с их оборачиваемостью [2]. Ускорение оборачиваемости оборотных средств имеет важное значение для стабильности финансового состояния предприятий по следующим причинам:

Скорость оборота средств определяет размер их годового оборота;

Ускорение оборачиваемости ведет к снижению затрат предприятия;

Ускорение оборота на той или иной стадии кругооборота средств ведет к ускорению оборота на других стадиях [3].

При анализе дается оценка отдельных статей оборотных активов с учетом отраслевой специфики предприятия, вида деятельности и особенностей выпуска продукции. Кроме того, определяют и анализируют основные показатели оборачиваемости оборотных средств. По результатам анализа определяют основные причины нерационального формирования оборотных активов и принимают меры для устранения этих причин [1].

Важной составляющей оценки деловой активности предприятий является анализ состояния дебиторской и кредиторской задолженностей. Размер дебиторской задолженности определяется условиями предприятия по расчетам со своими клиентами. Ослабление указанных условий имеет как преимущества, так и недостатки. Преимуществами является рост объема реализации и прибыли, а недостатками - нехватка оборотных средств, замедление оборачиваемости капитала, возможность увеличения суммы безнадежных долгов. В экономической литературе предлагается проводить анализ дебиторской и кредиторской задолженностей путем сравнения темпов их роста с темпами роста выручки от реализации. Превышение темпов роста последней - положительная тенденция [2].

Деловая активность проявляется в динамичности развития предприятия, скорости оборота средств предприятия. Критериями деловой активности являются:

Уровень эффективности использования ресурсов предприятия;

Устойчивость экономического роста;

Степень выполнения задания по основным показателям хозяйственной деятельности и тому подобное.

Обеспечение эффективной деятельности и успешная реализация функционального назначения банковского учреждения существенно зависит от действующей системы мониторинга деловой активности, которая характеризуется его способностью по привлечению средств и эффективностью и рациональностью их размещения и может быть определена как с помощью анализа отдельных показателей, так и через оценивания соответствующих соотношений между отдельными статьями активов, пассивов и количественным согласованию изменений в активах и пассивах. Показатели деловой активности позволяют интерпретировать существующее положение и использование банком его ресурсного потенциала, то есть имеющихся и потенциальных возможностей, и весомость взятых на себя рисков хозяйствования [2].

Необходимо отметить, что мониторинг предусматривает сбор и систематизацию информации для оценки текущих и ретроспективных значений показателей деятельности, выявления отклонений между фактическими и плановыми показателями и дальнейшее прогнозирование.

По нашему мнению, формирование системы мониторинга деловой активности страховой организации предусматривает разработку и организацию комплексной информационно-аналитической системы, которая бы выполняла функции интеграции массивов разноплановой информации и их аналитической обработки с целью обоснования, принятия и контроля управленческих решений. Данная система должна формироваться и обеспечивать руководство страховой организации оперативной и достоверной информацией о состоянии ресурсного потенциала учреждения с целью принятия обоснованных управленческих решений направленных на повышение конкурентоспособности отечественных банков и обеспечивать:

) достоверный и оперативный динамический анализ состояния и перспектив развития банковских учреждений в разрезе регионов и специализации (макроуровень);

) диагностику ресурсного потенциала банковских учреждений (микроуровень);

) прогнозирование развития деятельности банков на основе инструментария SWOT-анализа;

) формирование альтернативных вариантов стратегий развития банковских учреждений.

В условиях рыночных отношений в основу построения системы мониторинга целесообразно положить следующие принципы:

Добровольность участия в вертикальном отраслевом и региональном мониторинга, открытость систем для участников мониторинга;

Доступность использования результатов мониторинга;

Оперативность подачи и получения информации;

Достоверность;

Интеграция информационных массивов и единство инструментальной базы;

Множественность решаемых задач;

Постоянное обновление и расширение информационно-аналитических ресурсов;

Адаптивность к динамике экономических условий и конъюнктуры финансовых рынков [7].

Итак, система мониторинга деловой активности страховой организации - это специально организованная система постоянного отслеживания динамики активности формирования и использования ресурсов страховой организации, которая предусматривает: сбор, систематизацию, обработку данных, формирование результатов в виде, удобном для оперативного принятия решений по применению соответствующего методического инструментария. Все компоненты системы должны быть взаимосогласованными, качественно и количественно отражать фактическое состояние ресурсного потенциала страховой организации, формироваться с учетом максимально полного отражения результатов деятельности страховой организации и раскрывать не только внутренние, но и внешние взаимосвязи страховой организации.

Методика мониторинга деловой активности страховой организации должна базироваться на:

) системном подходе к измерению деловой активности;

) учете экономического роста стратегического приоритета;

) контроле сбалансированности и устойчивости корпоративного роста;

) ориентации на интенсивный рост и акценте на индикаторах эффективности;

) соразмерности с универсальными оценкам деловой активности страховой деятельности [1].

Системный подход к измерению деловой активности предусматривает формирование комплексного методического инструментария, который позволит оценить параметры деловой активности в разрезе таких составляющих: динамических характеристик развития объекта управления во времени, активности в формировании и размещении ресурсного потенциала страховой организации, эффективности использования активов и пассивов.

Учет экономического роста стратегического приоритета базируется на том, что деловая активность - это динамическая категория, характеризующая развитие экономической системы во времени. При таких условиях измерение и управление деловой активностью является одним из приоритетов развития экономических систем. Важность контроля сбалансированности и устойчивости корпоративного роста объясняется тем, что несбалансированное рост приводит к повышению уровня системных рисков, которые на фоне неустойчивой динамики могут привести к разрушению микро- и макроэкономической системы. Поэтому, независимо от модели развития и стратегии корпоративного роста в методике мониторинга важно предусмотреть критерии сбалансированного роста, например, контроль на соответствие «золотом банковском правилу».

Ориентация на интенсивный рост и акцент на индикаторах эффективности предполагает усиление значимости показателей, таких как параметры развития ресурсного потенциала и прибыльность деятельности страховой организации, которым должно уделяться значительное внимание в методике мониторинга деловой активности страховой организации. С учетом базовых принципов формируется система мониторинга деловой активности страховой организации.

В контексте формирования системы мониторинга деловой активности процесс управления ресурсным потенциалом страховой организации целесообразно конкретизировать в такой последовательности:

) постановка системы задач - предполагает совокупность действий по конкретизации оперативных планов по формированию и размещению ресурсной базы страховой организации. Материальным отражением ресурсной позиции страховой организации является его баланс, позволяющий обеспечить четкий измерение поставленных задач. Основная задача данного этапа - обеспечить определение основных задач по формированию объектов мониторинга деловой активности страховой организации, стратегии и тактики их выполнения, формирования ориентира по конечных результатов деятельности и параметров рисков, которые берет на себя банк;

) анализ текущего состояния формирования и размещения ресурсной базы страховой организации - необходимая предпосылка осуществления оценки имеющегося ресурсного потенциала. Основная задача - определение фактических значений показателей за определенный период времени;

) оценка существующих (текущих) достижений - предусматривает формирование целостной системы результативных значений показателей для выявления тенденций развития отдельных составляющих ресурсного потенциала страховой организации;

) определение целевых ориентиров - установление критериальных значений показателей, что позволит количественно конкретизировать отдельные цели, которых стремится достичь банк;

) сравнение целевых ориентиров с фактическими показателями являются основой стратегического планирования ресурсного потенциала банков, основывается на расчете отклонений значений показателей стратегического и текущего планов и оценки намеченных целей страховой организации и реальных достижений. На 2-м, 3-м, 4-м и 5-м этапах реализуется аналитическая функция системы мониторинга деловой активности;

) определение неиспользованных резервов и факторов воздействия позволяет оценить потенциальные возможности страховой организации по наращиванию его ресурсного потенциала и определить положительное или отрицательное влияние отдельных факторов, разработать действенные методы управления привлечением и заимствованием ресурсов (согласительная и предупредительная функции);

Итак, деловая активность страховой организации может быть определена как с помощью анализа отдельных показателей, так и через оценивания соответствующих соотношений между отдельными статьями активов, пассивов и количественным согласованию изменений в активах и пассивах и определяется через анализ взаимосвязи оценки ресурсного потенциала страховой организации (пассивов) и его использование как в целом в активах, так и его отдельных вложений в инвестиции, в кредитный портфель, в материально-техническое обеспечение.

Необходимые выводы можно получить тремя способами:

) сопоставлением выводов по взаимосвязанными статьями и разделами активов и пассивов;

) количественной увязкой изменений в активах и пассивах в стоимостном выражении;

) расчетом коэффициентов, характеризующих достигнутые уровни активности использования пассивов и активов.

В частности, в части пассивов деловую активность страховой организации характеризуют следующие основные показатели как достигнутый уровень: привлечение ресурсов, межбанковских кредитов в обязательствах, срочных депозитов в обязательствах, развития клиентской базы, коэффициент использования привлеченных и заемных средств.

Со стороны активов - это коэффициенты: уровня доходных активов, кредитной активности, инвестиционной активности, уровня кредитно-инвестиционного портфеля в общих активах.

Необходимо отметить, что все финансовые показатели деятельности страховой организации являются взаимосвязанными. Результативным критерием действенности системы мониторинга деловой активности страховой организации есть стабильный и ритмичный прирост прибыли и собственного капитала. В то же время, прибыль зависит от качества активов, объема и структуры привлеченных ресурсов и расходов по ним, а также ликвидности. А сочетание максимальной доходности и высокой ликвидности заключается в соблюдении оптимального соотношения отдельных групп статей активов и пассивов баланса, что позволит обеспечить финансовую устойчивость страховой организации. Итак, при рассмотрении проблемы оптимизации ресурсной базы и формирования системы мониторинга деловой активности страховой организации целесообразным было бы комплексное учета степеней значимости таких основополагающих параметров его деятельности, как:

Доходность - результат оптимальности структуры его баланса как со стороны активов, так и пассивов, ключевой параметр реализации интересов собственников (акционеров) страховой организации;

Ликвидность - показатель обеспечения ресурсами страховой организации его активных вложений и соблюдения «золотого банковского правила», суть которого заключается в соблюдении величины и сроков финансовых требований в соответствии с размерами и сроками его обязательств; основной фактор, который определяет возможности страховой организации отвечать по своим платежным обязательствам, что согласуется с интересами вкладчиков и заемщиков;

Риск - индикатор влияния на процессы формирования конечного результата деятельности страховой организации.

Риск-ориентированный подход в мониторинге предусматривает оценку количественных характеристик риска и качества управления рисками на уровне как индивидуального страховой организации, так и страховой системы в целом, с целью повышения ее надежности и стабильности.

Риск-ориентированный мониторинг - сравнительно новая концепция, которая предусматривает проведение комплекса мероприятий по внедрению в надзорную практику компонентов анализа отчетности, систем раннего предупреждения и оценки системной устойчивости банковской системы с целью выделения сфер повышенного риска. Основная цель риск-ориентированного мониторинга заключается в использовании методов и инструментов, позволяющих более эффективно достигать целей в возможно более сжатые сроки и с наименьшими потерями ресурсов. Риск-ориентированный мониторинг должен также предусматривать формирование сопоставимой базы для сравнения всех видов рисков банковской деятельности, фиксацию временного горизонта наблюдения за рисками всех типов [5].

Таким образом, формирование системы мониторинга деловой активности страховой организации имеет определенные особенности, в частности:

) необходимость учета в неразрывном единстве существенного участия в получении прибыли как активов, так и пассивов (управление структурой баланса страховой организации), что обусловливает необходимость учета в равной степени как существующих и потенциальных источников ресурсов, так и, что особенно важно, направлений размещения ресурсов;

) конкретизация системы мер на каждом из этапов деловой активности страховой организации, целесообразно ранжировать следующим образом:

) процесс становления,

) быстрорастущий бизнес,

) высокорентабельный бизнес,

) растущая стоимость страховой организации;

) логическое сочетание и комбинация как традиционных, так и новейших методов исследования, что позволит гибко маневрировать в целях выбора оптимальных параметров доходности, ликвидности и степени риска;

) необходимость постоянного контроля и мониторинга рыночных параметров и адекватной ценовой политики с целью нейтрализации негативных воздействий внешней среды.

Комплексный учет внутренних и внешних факторов, которые существенно влияют на деятельность банка, позволит мобилизовать усилия менеджмента на тех, которые являются наиболее неблагоприятными и является необходимым условием формирования эффективной стратегии развития. Политика банка должна разрабатываться так, чтобы максимизировать доход и минимизировать затратность банковских услуг, как со стороны активов, так и со стороны пассивов. Процесс мониторинга деловой активности банка должен характеризоваться внутренним единством, что позволит достичь максимального финансового результата, снизить риски и контролировать ликвидность.

Исходя из вышеприведенного, результатом формирования системы мониторинга деловой активности банка должны стать рекомендации по своевременного осуществления действенных превентивных мер во избежание негативных последствий или получения максимального результата при существующей конъюнктуры рынка. Использование постоянно действующей системы мониторинга деловой активности позволит обеспечить гибкость и адаптивность используемого инструментария и получать адекватные оценки текущих и прогнозных изменений экономической среды с целью усиления действенности процесса принятия и реализации управленческих решений.

1.2 Понятие, основные виды и методы расчета показателей рентабельности страховой организации

рентабельность страховой финансовый прибыль

Статистика финансовых результатов страховых организаций изучает объем доходов и расходов страховых организаций, их состав, характеризует образование и распределение прибыли, измеряет и анализирует рентабельность деятельности страховщиков.

Прибыль и рентабельность являются основными показателями финансовых результатов страховых организаций.

Рассчитываются следующие показатели прибыли: прибыль страховой деятельности; балансовая прибыль; чистая прибыль; прибыль, которая облагается.

Прибыль от страховой деятельности определяется как разница между валовыми доходами и суммой расходов и отчислений.

К доходам от страховой деятельности относятся:

·        заработанные страховые платежи (страховые взносы, страховые премии);

·        комиссионные вознаграждения за перестрахование;

·        доля от страховых сумм и страховых возмещений, уплаченных перестраховщикам;

·        возвращенные суммы из централизованных страховых резервных фондов;

·        возвращенные суммы технических резервов и других незаработанных премий, в случаях и на условиях, предусмотренных актами действующего законодательства.

Вместе эти доходы составляют валовой доход страховой организации, основным источником которого являются поступления от страховых платежей. При анализе валового дохода задачей страховых организаций является изучение динамики поступлений страховых платежей, оценка влияния отдельных факторов на их прирост. Такой анализ необходимо проводить по видам страхования, видами рисков и другим признакам.

К расходам страховщика относятся:

·        выплата страховых сумм и страховых возмещений;

·        отчисления в централизованные страховые резервные фонды;

·        отчисления в технические резервы;

·        расходы на проведение страхования;

·        другие расходы, включаемые в себестоимость страховых услуг.

Главным элементом затрат являются выплаты страхового возмещения и выкупных сумм. Статистика изучает их динамику, определяет влияние отдельных факторов на их изменение. При анализе рассчитываются показатели динамического ряда, прирост показателя, обусловлен средним размером выплат в расчете на один договор и количеством выплат, выявляются закономерности в изменении расходов страховых организаций по выплате страхового возмещения. Анализ последних необходимо осуществлять в разрезе страховых рисков, видов страхования, страховых организаций, используя показатель размера выплат на одну гривну страховых платежей.

Балансовая прибыль страховой организации равна сумме прибыли от страховой деятельности и доходов (расходов) от не страховой деятельности. Доходы (расходы) от не страховой деятельности состоят из доходов, полученных от участия в деятельности общественных предприятий, арендной платы, дивидендов по акциям, облигациям и другим ценным бумагам, суммы процентов по депозитам и других доходов, связанных с не страхового деятельностью.

Чистая прибыль и прибыль, облагается налогом, рассчитывается по общей методике.

Для оценки доходности в страховании используют несколько показателей рентабельности: рентабельность страховых организаций; рентабельность страховой деятельности; рентабельность отдельных видов страхования.

Рентабельность страховой организации рассчитывается как отношение прибыли к собственному капиталу.

Рентабельность страховой деятельности исчисляется отношением прибыли, которая получена от страховой деятельности, к сумме расходов и отчислений страховой организации.

Расчет рентабельности по любому виду страхования (или страховому риску) можно выполнить путем сравнения прибыли, полученной от соответствующего вида страхования (страхового риска), и страховой суммы или суммы страховых платежей по этому же виду страхования.

Рентабельность страховой организации является самым общим показателем по сравнению с рентабельностью страховой деятельности, потому что первый показатель отражает финансовые результаты как страховой, так и не страховой деятельности.

Для факторного анализа динамики показателей рентабельности используются статистические методы.

Рассмотрим их применение на примере одного из них - рентабельности страховых платежей (K2), который рассчитывается как отношение прибыли (П) к страховым платежам (СП).

Для характеристики динамики рентабельности по группам страхователей используется система индексов средних величин:

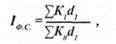
Индекс переменного состава вычисляется по формуле:


Индекс переменного состава,

где d - доля страховых платежей отдельных групп страхователей в их общем объеме. Индекс показывает, как изменилась средняя рентабельность страховых платежей в целом по страховой компании.

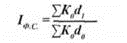
Индекс фиксированного состава, который рассчитывается по формуле


Индекс фиксированного состава показывает, как изменилась средняя рентабельность по компании в целом за счет динамики рентабельности страховых платежей по отдельным группам страхователей.

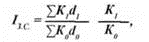
Индекс структурных сдвигов можно найти по формуле


Индекс структурных сдвигов

Он свидетельствует, как изменилась средняя рентабельность по компании в целом только за счет изменения распределения страховых платежей по группам страхователей.

Для того чтобы страховщики имели достаточно ресурсов для оплаты текущих и будущих обязательств перед страхователями, они должны поддерживать минимальный предел своей платежеспособности в виде резервного фонда. Этот фонд служит для защиты страховщиков от рисков, связанных со страховой деятельностью, в частности со случайными колебаниями претензий, отрицательными результатами инвестиционной деятельности, недостатками программ перестрахования, большими убытками и др. Платежеспособность свидетельствует возможность субъекта рынка (страховщика) выполнить свои страховые обязательства в соответствии с условиями страхового договора. Именно наличие соответствующей страховой суммы в определенный срок и характеризует уровень платежеспособности страховщика.

Платежеспособность страховой компании поддерживается как за счет предоставления страховых услуг и аккумуляции соответствующих страховых премий, так и за счет прибыли страховщика от инвестиционной деятельности. Таким образом, в отдельных случаях недостаточный объем страховых премий для выполнения обязательств страховщиков покрывают за счет прибыли от инвестиционной деятельности.

Анализ платежеспособности страховых организаций осуществляют в следующих направлениях:

) анализ обязательств страховщика;

) анализ ресурсов страховщика;

) соотношение обязательств и ресурсов.

На платежеспособность страховщика влияют внешние и внутренние факторы. К первым относятся: инфляция; изменение налогового законодательства; конъюнктура рынка; природные аномальные явления; социальные потрясения и т. д. К внутренним факторам можно отнести стратегию страховой компании и механизм ее реализации; масштабы страховой деятельности и ее диверсификацию; эффективность инвестиционной деятельности и структуру инвестиционного портфеля.

Для оценки экономической эффективности страховой деятельности может быть использована такая система статистических показателей:

Коэффициент финансовой стабильности (КФС) страховой компании рассчитывается по формуле

Коэффициент финансовой стабильности.

Детальная оценка финансового состояния, а отсюда и стабильности страховой компании, может быть осуществлена с помощью такой системы показателей (коэффициентов):

оценка финансового состояния

объем страховых платежей

Сумма страховых возмещений

резервный фонд

резервный фонд

объем страховых платежей

расходы

объем рисков

Для обеспечения необходимого уровня платежеспособности и прибыльности акционерного капитала, своих контрактных обязательств страховые организации имеют накапливать и поддерживать свои фонды в размере, обеспечивающем покрытие будущих обязательств. Для этого страховым организациям нужно инвестировать свои фонды для получения необходимого дохода с минимальным риском.

Для оценки эффективности наращивания средств страховой компании должны быть оценены следующие факторы:

·        наращивание активов компании как фактора изменения цены акций компании;

·        эффективность вложения средств в акции по сравнению с банковскими депозитами;

·        влияние на цену акций компании различных направлений инвестирования;

·        эффективность с точки зрения прибыльности и других показателей рентабельности деятельности компании различных направлений инвестирования.

1.3 Факторы, влияющие на деловую активность и рентабельность страховой организации


Поскольку рентабельность в первую очередь отражает прибыльность страховой компании, то прибыль оказывает решающее значение в повышении рентабельности её деятельности.

В повышении прибыли и высокой рентабельности заинтересованы и страховая компания, и государство, с одной стороны, это является прямым источником развития страховой компании, а с другой - часть прибыли выплачивается в виде налогов и обязательных платежей, обеспечивает постоянные поступления в государственный бюджет.

Поэтому, планируя направления использования прибыли, надо выбирать лучшие варианты, а расходы должны быть не низкие, а оптимальные.

Стратегия деятельности компании и управления прибылью сегодня определяется для каждой страховой компании индивидуально. При этом, использование тех или иных форм управления определяется спецификой деятельности СК и ее финансовой стратегией, соответственно, модель управления прибылью для различных компаний однозначно будет отличаться, что позволяет говорит о существовании различных стратегий управления. Однако, всю совокупность таких моделей можно сгруппировать и выделить следующую их типологию:

Агрессивная (наступательная) стратегия - обеспечение максимизации уровня реализации через стимулирование сбыта с целью увеличения прибыли субъекта;

Защитная стратегия - обеспечение контроля расходов с целью увеличения прибыли предприятия в виде разницы между абсолютной величиной доходов и затрат, стратегия является эффективной в долгосрочной перспективе;

диверсифицированная стратегия - сочетает в себе взвешенный компромисс между агрессивной и защитной стратегиями, позволяет взаимосогласовать преимущества и недостатки обоих вариантов стратегий управления прибылью страховой компании.

Модель управления прибылью страховой компании представляет собой взаимосвязанных функционально организационных блоков, связанных с решением конкретных задач, а также совокупность финансово-математических методов, которые формируют методологическую основу согласования отдельных блоков модели. В свою очередь, метод управления прибылью страховой компании можно определить следующим образом: метод управления прибылью страховой компании совокупность конкретных методик, технологий, способов и приемов обоснования управленческих финансовых решений формирования затрат и доходов предприятия, а также форм их выполнения с целью обеспечения приемлемого уровня рентабельности финансово-хозяйственной деятельности такой страховой компании.

Сравнивая особенности модели управления прибылью страховой компании с другими функционально-организационными блоками финансового менеджмента (например, модели управления денежными потоками, управление структурой капитала можно определить ряд особенностей, в том числе:

(1) объектом управления в модели является не факторный, а результирующий показатель - прибыль как результат взаимодействия затрат предприятия и его доходов;

(2) модель управления прибыль целостно интегрирует функционально - организационные блоки других моделей (например, бюджетирования, управления дебиторской задолженностью и другие);

(3) модель управления прибылью взаимосогласовывается с потребностями управления финансированием предприятия за счет собственного капитала;

(4) управление прибылью предприятия основываются преимущественно на методах финансового контроллинга.

В частности, при выборе оптимальной модели управления прибылью необходимо, на сегодняшний момент учитывать ряд факторов.

Правовое поле антикризисного финансового менеджмента на данном этапе в деятельности страховой компании проявляется двояко. Во-первых, это совокупность нормативно-правовых актов, регулирующих финансово-экономические и организационно-правовые аспекты реализации модели управления прибылью страховой компании. Среди таких нормативно-правовых актов находятся те, которые прямо или косвенно регулируют финансовые отношения в страховой компании, связанные с планированием, контролем, формированием, распределением, перераспределением и потреблением прибыли страховой компании.

 

Глава 2. Анализ деловой активности и рентабельности ОАО "СОГАЗ"

 

.1 Общая характеристика ОАО «Согаз»


Год создания: 1993

Уставный капитал: 15 111 482 640 рублей

Лицензия ФСФР на осуществление страхования С №1208 77 от 16 августа 2011 года.

Лицензия ФСФР на осуществление перестрахования П №1208 77 от 16 августа 2011 года.

В 2013 году Страховой Группе «СОГАЗ» исполнилось 20 лет. Все эти годы СОГАЗ не только оставался надежным партнером предприятий газовой промышленности, но и активно развивал сотрудничество с компаниями других отраслей экономики, расширял географию деятельности.

Сегодня Группа «СОГАЗ» - это лидер страхового рынка России, самая прибыльная страховая компания в стране, занимающая первое место по объему активов и страховых резервов. Услугами СОГАЗа пользуются свыше 40 тысяч предприятий и более 15 миллионов граждан. Залогом успехов СОГАЗа стали высокое качество обслуживания, неукоснительное выполнение обязательств перед клиентами и партнерами, грамотное управление рисками.

Приятно отметить, что в 2013 году Группа достигла всех плановых показателей, а по многим направлениям и перевыполнила их. СОГАЗ активно развивал филиальную сеть и розничное направление бизнеса, оптимизировал бизнес-процессы. В состав Группы вошла страховая компания «ТРАНСНЕФТЬ», которая уже многие годы является ведущим страховщиком трубопроводной транспортировки нефти и смежных отраслей. Большое внимание СОГАЗ продолжает уделять повышению уровня клиентского сервиса, совершенствованию системы урегулирования убытков. Крупные страховые выплаты, которые компания осуществила в отчетном году, стали еще одним подтверждением надежности и ответственности СОГАЗа как ведущего отечественного страховщика.

Компания одержала победу в целом ряде крупных конкурсов, расширила свою клиентскую базу, приняла участие в страховании масштабных проектов государственной значимости. В их числе - Универсиада 2013 в Казани, освоение Киринского газоконденсатного месторождения, проект «Сахалин-3», испытания прототипа российского многоцелевого истребителя пятого поколения Т-50, запуски космических аппаратов, строительство Западного скоростного диаметра в Санкт-Петербурге и многие другие. Высокую оценку Министра по чрезвычайным ситуациям России В.А. Пучкова получила работа компании в рамках государственного контракта по обязательному страхованию сотрудников министерства от несчастных случаев. В 2013 годуСОГАЗ одержал победу в конкурсе по страхованию экологических рисковОАО «Газпром» и его дочерних компаний на период до 2016 года. В программу страхования включены 32 предприятия, общая ответственность СОГАЗа составила 30 млрд рублей.

2.1 Оценка деловой активности ОАО "СОГАЗ"


Проанализируем финансовые коэффициенты, характеризующие деловую активность (оборачиваемость) страховой организации, а именно:

.        оборачиваемость активов, рассчитывается по формуле:

К1 = ПСП/А, (2.1)

где ПСП - полученные страховые премии, комиссионные вознаграждения и тантьемы;

А - активы.

год:

К1 = 60 267 264 : 109 221 995 = 0,55

год:

К1 = 84 159 853: 136 656 885 = 0,61

год:

К1 = 94 231 620: 177 354 486 = 0,53

Рис.2.1 - динамика оборачиваемости активов в ОАО «Согаз» за 2011-2013 год

Исходя из полученных результатов видно, что в 2013 году по сравнению с 2012 годом показатель уменьшился и составил 0,53. В целом, в период с 2011 по 2013 год произошло уменьшение показателя, что говорит об уменьшении эффективности использования ресурсов, но незначительном.

Оборачиваемость собственного капитала, рассчитывается по формуле:

К2 = ПСП/СК,

год:

К2 = 60 267 264 : 34 318 019 = 1,75

год:

К2 = 84 159 853: 44 254 234 = 1,9.

год:

К2 = 94 231 620: 50 099 486 = 1,88.

По данным показателям можно проследить снижение оборачиваемости собственного капитала и в 2013 году она составила 1,88 оборота за год. Это свидетельствует об снижении деловой активности организации.

В конечном итоге можно сказать, что, не смотря на некоторые уменьшения показателей, организация все же имеет достаточно высокие результаты оборачиваемости, что говорит о нормальной деловой активности организации и об эффективном использовании ресурсов.

2.3 Анализ рентабельности ОАО «Согаз»


Рассчитаем и проанализируем основные коэффициенты, характеризующие рентабельность страховой организации, к таким коэффициентам относятся:

коэффициент убыточности

К 1 = ,

где ОУ - оплаченные убытки, р.;

ПСП - полученные страховые премии, комиссионные вознаграждения и тантьемы, р.

ОУ - ДОУ = стр. 2210 - 2230 Ф 2.

год = 40 448 345 - 4 473 860 = 35 974 485,

год = 31 572 653 - 627 854 = 30 944 799.

год = 26 313 394 - 914 884 = 25 398 510.

ПСП = стр. 2110 Ф 2

ПСП (2013) = 90 410 548,

ПСП (2012) = 80 443 015.

ПСП (2011) = 59 165 668.

К у. 2013 = 35 974 485 / 90 410 548 = 0,39 или 39%

К у. 2012 =30 944 799/ 80 443 015 = 0,38 или 38%

Ку. 2011 = 25 398 510 : 59 165 668 = 0,43 или 43%.

Этот коэффициент отражает долю оплаченных убытков в страховых доходах, то есть в нашем случае это 39% в 2013 году.

коэффициент доли перестраховщиков

К2 = ,

где ПП - премии, подлежащие передаче в перестрахование, р.;

ПП = стр. 2120 Ф2

год: 1213281,

год: 700293.

год: 9902077.

ПСП = стр. 2110 Ф2

Кд.п. (2013) =1213281: 90 410 548 = 0,01

Кд.п. (2012) =700293: 80 443 015 = 0,0087

Кд.п.(2011) =9902077: 59 165 668 = 0,167.

Это означает, что доля перестрахования в страховых операциях компании за отчетный период составляет 16,7%, а за прошлый период - 0,87%.

коэффициент уровня доходов по инвестициям

К3 = ,

где ДИ - доходы по инвестициям, р.;

РИ - расходы по инвестициям, р.

Кд.и. = (стр.2700 - стр.2800):ПСП

Кд.и.(2013) = (16 650 851 - 12 162 964) : 90 410 548 = 0.049.

Кд.и.(2012) = (16 831 916 - 13 185 219) : 80 443 015 = 0.045.

Кд.и.(2011) = (14 535 765 - 12 732 259): 59 165 668 = 0.03.

Этот коэффициент отражает уровень доходов страховой компании от вложений временно свободных средств, полученных от страховой деятельности. Увеличение этого коэффициента свидетельствует о росте доходности страховой компании от инвестирования и о росте рентабельности страховой компании.

коэффициент эффективности инвестированной деятельности

К5 = ,

где ИФВ - инвестиции и финансовые вложения, р.

ИФВ сред = 0,5* (стр. 1140 н.г.+ стр. 1140 к.г.) Ф1.

ИФВ сред (2013) = (74 089 328 + 89 283 218):2 = 81 686 263.

ИФВ сред (2012) = (57 788 957 + 74 089 328):2 = 65 939 142.

ИФВ сред (2011) = (49 765 422 +57 788 957) :2 = 53 777 189.

Кэ.и.д. (2013) = (16 650 851 - 12 162 964):81 686 263 = 4487887: 81 686 263 = 0.054

Кэ.и.д. (2012) = (16 831 916 - 13 185 219): 65 939 142 = 3646697: 65 939 142 = 0.055

Кэ.и.д. (2011) = (14 535 765 - 12 732 259): 53 777 189 = 1 803 506: 53 777 189 = 0.034.

Этот коэффициент отражает долю доходов, полученных от инвестируемых средств. Увеличение этого коэффициента свидетельствует о росте эффективности инвестиционных проектов и рентабельности инвестиций.

рентабельность страховой деятельности

Кр.с.д. = ,

где РВД - расходы на ведение дела, р.

Пб = стр.3400 Ф2.

Пб(2013) = 15 426 371

Пб(2012) = 10 915 758.

Пб(2011) = 7 456 928.

РВД = стр. 2600 Ф2.

РВД (2013) = 9 171 045.

РВД (2012) = 9 252 708.

РВД (2011) = 7174391.

Кр.с.д. (2013) =15 426 371: 9 171 045 = 1.68.

Кр.с.д. (2012) = 10 915 758: 9 252 708 = 1.18.

Кр.с.д. (2011) = 7 456 928: 7 174 391= 1.04.

Данный коэффициент характеризует эффективность страховой деятельности (он должен быть более 0,03).

Сведём все рассчитанные показатели рентабельности в таблицу.

Таблица 2.2. Расчет показателей рентабельности для ОАО «Согаз» за 2011-2013 гг.

Показатель

2011

2012

2013

К-т убыточности

39

38

43

1

0,87

16,7

Кд.и.

4,9

4,5

3

Кэ.и.д.

5,4

5,5

3,4

К р.с.д.

168

118

104


Итак, исходя из проведенного анализа рентабельности можно сделать вывод о том, что в страховой компании такие показатели рентабельности, как коэффициент убыточности, коэффициент доли перестраховщиков выросли, а остальные уменьшились.

Заключение


В ходе выполнения курсовой работы были выполнены все поставленные цели и задачи:

рассмотрена сущность, качественные и количественные характеристики деловой активности страховой организации;

рассмотрено понятие, основные виды и методы расчета показателей рентабельности страховой организации;

рассмотрены факторы, влияющие на деловую активность и рентабельность страховой организации;

проведен анализ деловой активности и рентабельности ОАО "СОГАЗ".

Деловая активность страховой организации в финансовом аспекте проявляется прежде всего в скорости оборота его средств. Рентабельность страховой организации отражает степень прибыльности его деятельности.

Анализ деловой активности и рентабельности заключается в исследовании уровней и динамики разнообразных финансовых коэффициентов оборачиваемости и рентабельности, которые являются относительными показателями финансовых результатов деятельности предприятия. Анализ деловой активности позволяет выявить, насколько эффективно предприятие использует свои средства

К показателям, характеризующим деловую активность, мы относим коэффициенты оборачиваемости и рентабельности. Эти два вида коэффициентов на деловую активность предприятия влияют следующим образом. Допустим, что оборотный капитал (без краткосрочных инвестиций) оборачивается один раз в квартал при рентабельности основной деятельности в 25%, тогда индекс деловой активности за этот квартал будет равен 0,25 или те же 25%. Если при той же рентабельности оборачиваемость оборотного капитала увеличивается в 2 раза, то, соответственно, индекс деловой активности увеличивается тоже в 2 раза, и тогда предприятие за два оборота того же самого объема оборотного капитала за такой же временной период получит 50 копеек балансовой прибыли с каждого рубля оборотного капитала. Аналогичные выводы делаются и с увеличением (уменьшением) рентабельности. То есть, если замедлилась оборачиваемость, то необходимо ее компенсировать большей рентабельностью - снижать расходы, уменьшать затраты и т.д.

Исходя из проведенного анализа рентабельности в ОАО «Согаз» можно сделать вывод о том, что в страховой компании такие показатели рентабельности, как коэффициент убыточности, коэффициент доли перестраховщиков выросли, а остальные уменьшились.

Список использованных источников


1.      Методические рекомендации по проведению анализа финансового состояния организаций (Утв. Приказом ФСФО России от 23 января 2001 г. № 16).

.        Положение по бухгалтерскому учету «Бухгалтерская отчетность организации» ПБУ 4/99. (с изм. 2011 г.)

.        Федеральный закон от 26 октября 2002 г. №127-ФЗ «О несостоятельности (банкротстве)». Справочная правовая система «Гарант».

.        Постановлении Правительства от 28.10.2001 г. №498 «О некоторых мерах по реализации законодательства о несостоятельности (банкротстве) фирмы» и дополнениях к нему. Справочная правовая система «Гарант». 2007

.        Абрютина М.С. Грачёв А.В. Анализ финансово-экономической деятельности фирмы: Учебн.-практич. пособие. - М.: Дело и сервис, 2010. - 256с.

.        Акулов В.Б. Финансовый менеджмент. - М.: Московский психолого-социальный институт. 2010. - 264 с.

.        Антикризисное управление. Учебник. / Под ред. Э.М. Короткова. - М.: ИНФРА-М, 2010. - 432с.

.        Артеменко В.Г., Беллендир М.В. Финансовый анализ. - М.: ДИС, 2011. - 364 с.

.        Ассель Г. Маркетинг: принципы и стратегия: Учеб. для вузов: пер. с англ. - 2-е изд. - М.: ИНФРА-М, 2010. - 803с.

.        Бакаев А.С., Шнейдман Л.З. Учетная политика фирмы. - М.: Бухгалтерский учет, 2011. - 368 с.

.        Баканов М.И., Шеремет А.Д. Теория экономического анализа - М.: Финансы и статистика, 2011. - 434 с.

.        Баринов В.А. Антикризисное управление: Учеб. пособие. - М.: ИД ФБК - ПРЕСС, 2009. - 520с.

.        Бляхман Л.С. Основы функционального и антикризисного менеджмента: Учеб. пособие. - СПб.: Изд-во Михайлова В.А., 2009. - 380 с.

.        Бочаров В.В. Современный финансовый менеджмент. - СПб.: Питер, 2006.

.        Брусов П. Н. Финансовый менеджмент. Математические основы. Краткосрочная финансовая политика. - М.КноРус, 2012. - 404 с.

.        Брусов П. Н., Филатова Т. В. Финансовый менеджмент. Долгосрочная финансовая политика. Инвестиции. - М.: Кнорус, 2012. - 328 с.

.        Виханский О.С., Наумов А.И. Менеджмент: Учеб. для вузов. - М.: Высшая школа, 2010. - 222 с.

.        Глущенко В. В. Введение в кризисологию. Финансовая кризисология. Антикризисное управление-М.: ИП Глущенко В. В., 2008, -88с.

.        Горелик О. М., Филиппова О. А. Финансовый анализ с использованием ЭВМ. - М.: КноРус, 2011. - 272 с.

.        Грузинов В.П., Грибов В.Д. Экономика фирмы: Учеб. пособие для вузов. - 2-е изд., доп. - М.: Финансы и статистика, 2008. - 207 с.

.        Дорофеев В. Д. Антикризисное управление: учеб. Пособие / В. Д. Дорофеев, Д. Н. Левин, Д. В. Сенаторов, А. В. Чернецов. - Пенза: Изд-во Пензенского института экономического развития и антикризисного управления 2006г. - 206с.

.        Кириченко Т. В. Финансовый менеджмент. - М.: Дашков и К, 2010. - 483 с.

.        Ковалев В.В. Финансовый анализ: управление капиталом, выбор инвестиций, анализ отчетности. - М.: Финансы и статистика, 2010. - 486 с.

.        Кован С.Е. Практикум по финансовому оздоровлению неплатежеспособных предприятий. - М.: Финансы и статистика, 2008.

.        Кошкин В.И. и др. Антикризисное управление: модульная программа для менеджеров «Управление развитием организации». Модуль М «Антикризисное управление». - М.: ИНФРА - М, 2009. - 512 с.

.        Крейнина М.Н. Финансовый менеджмент: Учеб. пособие. - М.: Дело и сервис, 2010. - 304 с.

.        Найденова Р. И., Виноходова А. Ф., Найденов А. И. Финансовый менеджмент. - М.: Кнорус, 2011. - 208 с.

.        Павлова Л.Н. Финансовый менеджмент: управление денежным оборотом фирмы: Учеб. для вузов. - М.: Банки и биржи, ЮНИТИ, 2010. - 400 с.

.        Пуока М.В. Финансовое планирование и контроль. - М.: Финансы и статистика, 2011. -276 с.

.        Райзберг Б. А., Лозовский Л. Ш., Стародубцева Е. Б.Современный экономический словарь. 5-е изд., перераб. и доп. -М.: ИНФРА-М, 2007г.

.        Родионов Н.В. Антикризисный менеджмент: Учеб. пособие для вузов. - М.:ЮНИТИ - ДАНА, 2002. - 223 с.

.        Теория и практика антикризисного управления / под ред. С.Г. Беляева, В.И. Кошкина. - М.: ЮНИТИ, 2009. -316 с.

.        Управление финансовым состоянием организации / Власова В., Иванова И. и др. - М.: Эксмо, 2007.

34.    Фатхутдинов Р.А. Производственный менеджмент. Учебник для вузов. - М.: Банки и биржи, ЮНИТИ, 1997. - 447 с.

.        Финансы предприятий: Учебник для вузов /Под ред. Н.В. Колчина и др. - М.: ЮНИТИ-ДАНА, 2006. - 447с.

Похожие работы на - Рентабельность и деловая активность страховой организации на примере ОАО 'Согаз'

 

Не нашли материал для своей работы?
Поможем написать уникальную работу
Без плагиата!
Без нейросетей!