Антициклическая политика государства и ее особенности в России

  • Вид работы:
    Курсовая работа (т)
  • Предмет:
    Эктеория
  • Язык:
    Русский
    ,
    Формат файла:
    MS Word
    273,04 Кб
  • Опубликовано:
    2015-03-01
Вы можете узнать стоимость помощи в написании студенческой работы.
Помощь в написании работы, которую точно примут!

Антициклическая политика государства и ее особенности в России

Министерство образования и науки Российской Федерации

Российский государственный торгово-экономический университет

Факультет экономики и бухгалтерского учета










Курсовая работа

Антициклическая политика государства и ее особенности в России


Работу выполнила: студентка

заочного отделения, 1 курса,

группы 232-с

Кандалова Л.А.





Казань - 2012

Содержание

антициклический политика государство кризис

Введение

. Теоретические основы антициклической политики государства

.1 Сущность и значение антициклической политики государства

.2 Виды и формы антициклической политики государства

.3 Государственное регулирование экономического роста как приоритет антициклической политики

. Антициклическая политика Российской Федерации

.1 Социально-экономическое развитие Российской Федерации за период 2001-2011 гг. Кризис 2008 г.

.2 Меры по борьбе с кризисом в 2008 г.

.3 Перспективы экономического развития Российской Федерации

Заключение

Список используемой литературы

Приложения

Введение

Кризисные события, наблюдавшиеся в мировой финансовой системе во второй половине 2008 г. и отразившиеся во многих странах, были столь масштабными, а меры регуляторов по стабилизации ситуации - столь беспрецедентными, что это позволяет в принципе поставить под сомнение эффективность финансовой модели капитализма и ее жизнеспособность в условиях глобального рынка. Ряду ключевых основ финансовой системы был фактически причинен невосполнимый ущерб, а сама она, будучи не в состоянии функционировать в прежнем виде, была частично национализирована или поставлена под государственный контроль.

В этой связи сегодня на первый план выходят вопросы основных источников рисков, стратегии основных экономических участников в изменившейся ситуации, об экономической политике, необходимой России для обеспечения устойчивого развития в условиях глобальной турбулентности.

Поэтому данная курсовая работа является актуальной и представляет собой обзор экономической ситуации и антициклической политики государств в период мировой финансовой нестабильности.

Целью написания курсовой явилось исследование антициклической политики в целом и РФ в частности.

Объект исследования - процесс социально-экономического развития государства.

Предмет исследования - антициклическая политика государства.

Методы исследования - диалектики, экономико-статистические приемы обработки фактического материала.

Теоретической основой исследования стали труды российских экономистов и социологов, активно занимающихся проблемами социального и экономического развития России: Орехов В.И., Балдин К.В, Борисов Е.Ф., Кашин В., Алексашенко С., Айзинова И.М.

Курсовая работа состоит из двух глав, введения, заключения и списка используемой литературы.

1. Теоретические основы антициклической политики государства

 

.1 Сущность и значение антициклической политики государства


В отличие от теории общего экономического равновесия (ОЭР), которая объясняет процесс согласования планов экономических субъектов при данных производственных возможностях и производственных возможностях и потребительских предпочтениях, теория экономического цикла исследует причины, вызывающие изменение экономической активности общества. Обобщающим показателем величины и направления изменения экономической активности служит уровень использования производственного потенциала страны [4; с. 67-69].

Если в центре внимания теории ОЭР находятся условия равенства объемов спроса и предложения на макроэкономических рынках, то теория экономических циклов исследует, почему равенство совокупного предложения совокупному спросу достигается при разной степени использования производственных мощностей и трудовых ресурсов.

Под экономическим циклом подразумевается период развития экономики между двумя одинаковыми состояниями конъюнктуры.

Теория цикла призвана объяснить причины колебаний экономической активности общества во времени (волнообразная кривая), а теория роста исследует факторы и условия устойчивого роста как долговременной тенденции в развитии экономики (трендовая линия).

В структуре цикла выделяют высшую и низшую точки активности и лежащие между ними фазы спада и подъема. Общая длительность цикла измеряется временем между двумя соседними низшими точками активности. Соответственно продолжительностью спада считается время между высшей и последующей низшей точками активности, а подъема - наоборот.

При более подробном анализе экономический цикл делят на четыре фазы:

Экспансия. Национальный доход растет, несмотря на полную занятость. Увеличивается спрос на инвестиции, безработица снижается ниже естественного уровня. Повышаются уровень цен, ставка заработной платы и ставка процента. Неизбежным следствием такого развития событий является переход от роста к спаду.

Рецессия (кризис). В этой стадии производство сокращается, темпы прироста становятся отрицательными, растет безработица и снижается совокупный спрос.

Депрессия. Национальный доход продолжает снижаться, но темпы падения замедляются; поэтому кривая темпов прироста "поворачивается" вверх.

Оживление. Переход от падения производства к его увеличению; постепенное возвращение экономики к состоянию, соответствующему равновесному росту.

Проблематика теории экономических циклов обусловливает применение сложных динамических моделей с использованием дифференциальных уравнений.

Наиболее сокрушительной и критической фазой промышленного цикла является кризис. Прежде всего, из-за неожиданности. До этого момента экономика находилась в фазе подъема, когда она процветала во всех отношениях. Неожиданностью кризиса обусловливается его разрушительность. Просто предприниматели, как правило, не бывают к нему готовы, поэтому протекание фазы кризиса носят взрывной, обвальный характер. Нарушается равновесие не в какой-нибудь одной отрасли, а во всей экономике.

Рынок оказывается переполненным товарами, спрос стремительно уменьшается, а производство продолжается, хотя товарные запасы опасно растут. Естественно, следует стремительное падение цен, разрушается механизм кругооборота капитала. Возникают кризис не платежей и гигантский дефицит наличных денег. Производство хотя и запоздало, но быстро сворачивается. Курс ценных бумаг падает, они обесцениваются, векселям уже никто не верит. Начинается период крахов, ликвидации предприятий. В первую очередь не ликвидными становятся банки и кредитные учреждения, поскольку невозврат кредитов носит массовый характер. Естественно, резко возрастает ссудный процент. Возрастает безработица, достигая критической черты, а заработная плата падает. Очевидно, когда прибыли падают даже у крупнейших предприятий, никто не думает о капитальных вложениях - их масштабы падают. Такую нерадостную картину представляет собой фаза кризиса.

Фаза депрессии следует за кризисом, для нее характерно "замораживание" экономики в том состоянии, в котором она оказалась в итоге кризиса. Эта фаза носит продолжительный характер, иногда бывает самой длительной по времени. При депрессии стремительно меняется на фоне общего застоя только величина ссудного процента. Она падает, так как у "выживших" капиталистов появляются свободные денежные средства в результате низких издержек производства. Ведь заработная плата застыла на самой низкой точке.

Диалектика экономического развития заключается в том, что факторы кризиса становятся в фазе депрессии факторами перехода экономики на третью фазу - оживления. Дело в том, что в состоянии депрессии стабилизируются товарные запасы, цены. Низкие цены стимулируют потребление, спрос. И не только на предметы потребления. Кризис показал технологическую и техническую несостоятельность основного капитала. Начинается его замена - обновление капитала, которое означает, что началась фаза оживления и производство берет медленный разгон.

Фаза оживления характеризуется, прежде всего, расширением производства средств производства. Следовательно, импульс оживления начинается с предприятий, производящих оборудование, элементы основного капитала. Далее медленно, но верно прорисовывается картина, обратная кризисной: производство расширяется вслед за ростом спроса, уменьшается безработица, растет заработная плата. Экономика берет стремительный разбег и переходит в фазу подъема. Критерием перехода экономики от оживления к подъему является достижение предкризисного уровня производства. Именно за ним начинается подъём.

Большую работу провёл в разработке промышленных циклов Н. Кондратьев [5], открывший теорию больших циклов. Н. Кондратьев в своих больших циклах выделял две фазы - повышательную и понижательную. Он показал, что перед повышательной фазой происходит своеобразный взрыв в научно-техническом прогрессе, затем на стадии хозяйственного подъема - широкое внедрение в экономику "продуктов" этого взрыва. В зависимости от адаптации каждой страны именно к данной длинной волне происходит и трансформация расстановки сил на мировой арене.

Кондратьев обозначил следующие большие циклы:

-й цикл - с начала 90-х годов XVIII в. до середины XIX в.;

-й цикл - с середины ХIХ в. до 1890-1896 гг.;

-й цикл - с 1896 по 1940-1945 гг.

И если продолжить его логику, то конец четвертого цикла приходится на 1990-1995 гг., а, следовательно, возникает определенная надежда, что Россия находится в начале нового экономического взлета. Кондратьев объяснил существование больших циклов различными сроками функционирования разных хозяйственных благ, на производство которых тоже необходимо потратить разное время. Особенно - чтобы накопить капитал на их создание. Так большие циклы возникают на основе накопления капитала для создания новой инфраструктуры. На эту главную причину накладываются другие, вторичные. Суть колебаний в том, что инфраструктура экономики должна находиться в равновесии со всеми остальными ее параметрами, свойственными ей именно на данном уровне развития. Нарушение данного равновесия означает начало цикла. Частота повторения - 45-50 лет, как определил Кондратьев на основе анализа статистического материала. К таким же выводам самостоятельно чуть позже пришёл и французский экономист Ф. Семьян. Теория длинных, или больших, циклов имеет особое значение, так как дает возможность прогнозировать развитие рыночной системы далеко вперед, в перспективе, и, следовательно, увеличить ее адаптивность, амортизируя будущие потрясения.

Австрийский экономист Й. Шумпетер связывает длинные волны с научно-техническим прогрессом, который регулярно получает новый импульс посредством внедрения в экономику базовых нововведений.

Для поддержания экономической стабильности в обществе государство проводит антициклическую политику, направленную, прежде всего, на смягчение циклических колебаний. Важнейшими инструментами, с помощью которых государство воздействует на экономический цикл, выступают кредитно денежные и бюджетно-налоговые рычаги. Во время кризиса государственные меры направлены на стимулирование производства, а во время подъема - на его сдерживание. Так, в фазе подъема дорожает кредит, вводятся новые налоги, повышаются старые, отменяется ускоренная амортизация и налоговые льготы на новые инвестиции. В условиях кризиса, наоборот, государственные меры направлены на удешевление кредита, сокращение налогов, на ускоренную амортизацию и налоговые скидки на новые инвестиции.

Таким образом, происходит переплетение стихийно рыночного механизма функционирования экономики в форме циклических кризисов с сознательным государственным воздействием на воспроизводственный процесс.

Нельзя не отметить, что неотъемлемым элементом современного экономического кризиса стала инфляция. Она взаимодействует с циклическим движением экономики и меняет механизм цикла. Это изменение характеризуется уменьшением "чувствительности" цен к кризисному сужению рыночного спроса и увеличению этой чувствительности к росту спроса. Дело в том, что крупный капитал, монополии приспосабливаются к сужению платежеспособного спроса населения путем сокращения производства при сохранении высоких цен. Государство же помогает крупным фирмам "управлять" таким путем кризисом. В результате в современных кризисах наблюдается противоборство двух тенденций в ценообразовании: повышательной, связанной с деятельностью крупного капитала и государства, и понижательной, порождаемой циклическим сокращением емкости рынка. Таким образом, механизм современных циклов сочетает кризис и инфляцию. В связи с этим, антициклическая направленность государственной политики сменилась антиинфляционной.

Антикризисное развитие - это не абсолютное отсутствие кризиса, а наличие таких кризисов, которые являются импульсом успешного, с позиций интересов человека, развития. Цель и интересы может иметь только человек. Именно они являются основой распознавания кризисов и управления их преодолением.

В целях предотвращения кризиса или устранении его последствий государство обязано проводить антикризисную политику. Как правило, антикризисная политика государства реализуется на трех уровнях [13, с. 42]:

-       поддержание конкурентоспособности основных отраслей национального хозяйства;

-       предупреждение и недопущение кризисов в экономически и социально значимых сферах, таких как банковский бизнес или сфера общественного транспорта;

-       уменьшение негативных последствий банкротства предприятия, максимально полное удовлетворение интересов его сотрудников и кредиторов.

В сферах, имеющих особое значение для экономической и социальной жизни, государство применяет специальные меры предупреждения кризисных ситуаций.

1.2 Виды и формы антициклической политики государства


Существуют немало экономических школ и направлений, каждая из которых дает свои рекомендации к предупреждению кризисных ситуаций.

Однако, несмотря на значительный разброс взглядов и различную расстановку акцентов при выработке антициклической политики, в целом можно выделить два направления регулирования: неокейнсианство и неоконсерватизм, развившихся на базе классической школы. Первое ориентируется на регулирование совокупного спроса, второе - на регулирование совокупного предложения [19, с. 68].

В зависимости от исходных установок и ориентиров сторонники того или иного направления по-разному решают проблемы сглаживания циклических колебаний, по-разному оперируют инструментами, находящимися в распоряжении государства, которое можно использовать для этих целей.

Например, сторонники кейнсианских рецептов большее внимание уделяют бюджетной политике (главным образом это связано с увеличением или уменьшением расходов государства) и налоговой политике (манипуляции с налоговыми ставками в зависимости от состояния экономики).

Сторонники неоконсервативных рецептов уделяют большое внимание проблеме денег и кредита. Главным образом это вопрос объема денежной массы и его регулирования.

По-разному решается проблема участия государства в происходящих процессах - в политике регулирования экономики в целом и в области сглаживания циклических колебаний.

Несмотря на такие, казалось бы, существенные различия, есть общее понимание этими концепциями того факта, что, во-первых, государство в состоянии сглаживать циклические колебания, и, во-вторых, государство должно это осуществлять в целях достижения и поддержания экономической стабильности. Существует и общее понимание того, какова должна быть в целом линия поведения государства, направленная на преодоление циклических колебаний.

В фазе спада все мероприятия государства должны быть направлены на стимулирование деловой активности. В области налоговой политики это означает снижение ставок, предоставление налоговых льгот на новые инвестиции, проведение политики ускоренной амортизации. При этом сторонники кейнсианских взглядов больше уповают на рост государственных расходов, которые рассматриваются как стимулятор накопления. Налоговые мероприятия больше дополняют бюджетные, и в комплексе они ведут к стимулированию совокупного спроса, а, в конечном счете - и производства.

Что же происходит в обратном случае, то есть в период подъема экономической конъюнктуры? Государство в целях предотвращения перегрева экономики и связанных с этим болезненных явлений в хозяйственной жизни проводит политику сдерживания, включающую противоположные мероприятия в области налогово-бюджетной и кредитно-денежной политики.

Рассмотрим основные положения кейнсианского взгляда на макроэкономическую политику. Основным положением данного подхода является то, что основные экономические параметры (ставка заработной платы, ставка процента) считаются негибкими. Негибкость заработной платы кейнсианцы объясняют, во-первых, деятельностью профсоюзов, во-вторых, долгосрочным характером трудовых контрактов. Непосредственно из негибкости заработной платы следует то, что уровень занятости не может устанавливаться на равновесном уровне без вмешательства государства. В качестве эмпирического доказательства того, что высокий уровень безработицы может существовать в течение довольно продолжительного промежутка времени кейнсианцы приводят Великую депрессию 30-х годов. Основная идея управления совокупным спросом является увеличение совокупного спроса при его недостаточности, с тем, чтобы обеспечить рабочими местами безработных, во время же избыточного совокупного спроса, когда экономика испытывает инфляционное давление, рекомендуется проводить политику по уменьшению совокупного спроса. Каким же образом советуют кейнсианцы управлять совокупным спросом. Основными направлениями макроэкономической политики кейнсианцы считают фискальную и денежно-кредитную политику. Рассмотрим вкратце их сущность.

Фискальная политика предполагает изменение ставки налога и социальных расходов государства. Если в экономике наблюдается недостаточность совокупных расходов фискальная политика предполагает [19, с. 69]:

-       снижение ставки налога;

-       увеличение расходов государства;

-       применение обоих методов одновременно.

Если же в экономике существует избыточный уровень совокупных расходов, тогда правительству нужно предпринять следующие меры:

-       увеличение ставки налога

-       сокращение расходов

-       применение обоих методов одновременно

Данные меры приводят к тому, что в первом случае увеличивается располагаемый доход и, соответственно, потребительские расходы, а также увеличиваются расходы государства; увеличение же потребительских и государственных расходов приводит к многократному увеличению совокупного спроса (эффект мультипликатора). Во втором же случае, наоборот, происходит сокращение государственных и потребительских расходов, что ведет к многократному сокращению совокупного спроса. В первом случае мы имеем дело со стимулирующей фискальной политикой, во втором случае - со сдерживающей.

Однако фискальная политика имеет ряд недостатков:

-       Разрыв восприятия, т.е. требуется некоторое время, чтобы осознать на какой стадии цикла находится экономика

-       Административный разрыв. Обычно проходит довольно длительный промежуток времени, прежде чем определенная экономическая политика приводится в действие. За это время экономическая ситуация в стране может кардинально измениться, а экономическая политика может оказаться бездейственной или даже нанести еще больше вреда экономике.

-       Функциональный разрыв. Также существует разрыв между моментом принятия решения о фискальных мерах и моментом, когда эти меры начнут оказывать влияние на экономику. Необходимо отметить, что в этом смысле иногда бывает целесообразнее изменять ставку налога, т. к. на планирование и строительство различных общественных сооружений уходит достаточно много времени, в то время как на изменение ставки налогов много времени не уходит.

-       Популярность стимулирующих мер. Стимулирующие меры фискальной политики обычно более популярны и, следовательно, к ним охотнее прибегают политики. Увеличение социальных расходов государства и снижение налогов обычно приветствуется большей частью населения и может принести больше голосов избирателей тому или иному политику. Поэтому многие критики обвиняют политиков в пристрастии к стимулирующим мерам фискальной политики.

Кредитно-денежная политика также направлена на управление совокупным спросом, но для этой цели используются финансовые механизмы. Основными инструментами кредитно-денежной политики являются [19, с. 71]:

)        операции на открытом рынке

)        изменение резервной нормы

)        изменение учетной ставки

При помощи этих инструментов государство регулирует предложение денег, процентную ставку, доступность кредита, инвестиционные расходы и расходы на товары длительного пользования (изменения экономических параметров перечислены в причинно-следственном порядке).

При недостаточности совокупных расходов государство должно проводить так называемую политику "дешевых" денег, которая направлена на увеличение массы денег в обращении и подразумевает:

-       покупка ценных бумаг

-       снижение резервной нормы

-       снижение учетной ставки

В результате проведения в жизнь вышеперечисленных мер происходит удешевление кредита и облегчение доступа к нему, что в свою очередь является необходимым условием увеличения массы денег в обращении.

Если же в экономике уровень производства и занятости находятся на уровне выше равновесного, то необходимо предпринять следующие шаги:

-       продажа ценных бумаг

-       повышение резервной нормы

-       повышение учетной ставки.

Такой набор мер получил название политики "дорогих" денег. Политика "дорогих" денег преследует цель подорожания кредита с тем, чтобы ограничить кредитование, массу денег в обращении и совокупный спрос [13, с. 84].

Применение кредитно-денежной политики также имеет определенные сложности и недостатки:

-       ослабление контроля за предложением денег;

-       циклическая ассиметрия;

-       изменение скорости обращения денег.

По мнению некоторых экономистов, скорость обращения денег меняется в направлении, противоположном изменению денежного предложения. Что сводит на нет применение кредитно-денежной политики;

Инвестиционный эффект. Некоторые исследователи высказывают сомнение в достаточности объемов изменения инвестиций, вызванных проведением в жизнь кредитно-денежной политики.

Учитывая вышеизложенные недостатки, многие экономисты вообще считают антициклическую политику государства бесполезной и даже вредной. Они сравнивают антициклическую политику со стрельбой по движущейся мишени. Как только правительство, путем анализа различных экономических параметров определяет стадию цикла и определяет какую политику целесообразнее проводить (т.е. вычисляет координаты мишени) и потом переходит к выполнению этой политики (производит выстрел), экономическая ситуация в стране кардинально меняется (меняются координаты мишени), и политика не дает нужного эффекта (стрелок промахивается). Некоторые экономисты даже считают, что экономические циклы времен регулируемой государством рыночной экономики являются результатом неправильных решений государственных чиновников [2; 6 стр.].

Однако, несмотря на все сложности и недостатки антициклической политики правительства почти всех стран проводят ее, разумеется, в каждой стране с учетом ее социокультурных, экономических и других особенностей.

1.3 Государственное регулирование экономического роста как приоритет антициклической политики


История развития человеческого общества наглядно свидетельствует о том, что рыночная экономика способна создать большее количество товаров и услуг для большего количества людей, чем какая-либо другая экономическая система. И объясняется это тем, что в условиях рыночной экономики обеспечивается высокая мотивация к творческому труду, прогрессу, люди сами делают свой выбор, чем заниматься. При этом возникает высокая степень риска и ответственности в хозяйственной деятельности, что развивает инициативу, предприимчивость и ведет к высоким результатам развития общественного производства.

Графически динамика объема производства в масштабе общества рыночной экономики за длительный период может быть представлена в виде возрастающей прямой (рис. 1.3.1) [14].

Рис. 1.3.1. Графическое изображение экономического роста рыночной экономики в целом за длительный период

На графике по горизонтальной оси откладывается время (t), по вертикали - объем производства (Q). Возрастающая прямая ОА свидетельствует о постоянном экономическом росте и развитии рыночной экономики в целом.

Под экономическим ростом принято понимать увеличение объемов товаров и услуг, созданных за определенный период.

Экономический рост - центральная экономическая проблема, стоящая перед всеми странами. По его динамике (изменению) судят о развитии национальных экономик, о жизненном уровне населения, о том, как решаются проблемы ограниченности ресурсов. Экономический рост можно исчислить двумя способами:

. либо подсчитав общий рост ВНП;

. либо определив рост ВНП на душу населения. Но такой подсчет не дает полного представления об экономическом росте страны, ибо экономический рост - это не только количественное изменение объема производства, но и совершенствование продукта и факторов производства.

Экономический рост определяется множеством факторов, важнейшими из которых являются факторы спроса, предложения и распределения.

К факторам спроса относятся такие, которые повышают совокупный спрос общества на производимую продукцию (заработная плата, налоговая политика государства, склонность населения к сбережению) и этим стимулируют ее рост.

К факторам предложения относятся количество и качество природных ресурсов (земля, полезные ископаемые, климат и др.), трудоспособного населения, наличие капитала, уровень технологии и т. д. Зависимость экономического роста от этих факторов прямая.

К факторам распределения относят именно распределение природных, трудовых и финансовых ресурсов страны, которое должно быть организовано таким образом, чтобы в большей степени способствовать экономическому росту (приросту продукции, улучшению ее качества и совершенствованию производства).

Постоянный экономический рост в рыночной экономике имеет ряд существенных недостатков (инфляция, безработица и др.), в том числе цикличность. Дело в том, что развитие рыночной экономики происходит волнообразно, или циклично. В разные годы производство может возрастать большими или меньшими темпами, а в ряде случаев (например, сейчас в России) развитие экономики может иметь отрицательный знак, что означает падение производства. Поэтому динамику развития рыночной экономики точнее отражает волнообразная линия (рис. 1.3.2), где каждая волна характеризует целый цикл этого развития[14].

Рис. 1.3.2. График колебательной экономической динамики

Если брать более короткие промежутки времени, то динамика развития рыночной экономики с учетом различных периодов (100, 50, 8-10 лет) может быть представлена другим, более точным графиком рис. 1.3.3). [14].

Рис. 1.3.3. Динамика развития экономики в различные периоды

Таким образом, цикличность - это форма движения национальной экономики мирового хозяйства в целом, предполагающая смену революционных и эволюционных стадий развития экономики, экономического прогресса.

Современная рыночная экономика функционирует в условиях активного воздействия на нее государства. Государственное воздействие на экономику способно существенно повлиять на ход экономического цикла, меняя характер экономической динамики: глубину и частоту кризисов, продолжительность фаз цикла и соотношение между ними. Государственное регулирование направлено на смягчение циклических колебаний, поэтому оно носит антициклический характер. Важнейшими методами, с помощью которых государство воздействует на экономический цикл, выступают кредитно-денежные и бюджетно-налоговые рычаги. Во время кризиса государственные меры направлены на стимулирование производства, а во время подъема - на его сдерживание. Так, с целью ослабления "перегрева" экономики государство в фазе подъема способствует дальнейшему удорожанию кредита, вводит новые налоги, повышает старые, отменяет ускоренную амортизацию и налоговые льготы на новые инвестиции. В условиях кризиса, наоборот, государственные меры направлены на удешевление кредита, сокращение налогов, на ускоренную амортизацию и налоговые скидки на новые инвестиции.

Таким образом, современный механизм самонастройки рыночной экономики через циклические кризисы изменяется под влиянием государственного воздействия. Происходит переплетение стихийно-рыночного механизма функционирования экономики в форме циклических кризисов под сознательным государственным воздействием на воспроизводственный процесс.

Нельзя не отметить особенности современных циклических кризисов, которые связаны с кризисом государственного регулирования. Последнее получило выражение в несостоятельности антициклической политики государства, в банкротстве теорий и практики воздействия на циклическое развитие, в несоответствии официально провозглашенных целей государственной политики фактическим результатам регулирования экономики (вместо роста экономики - его падение, вместо полной занятости - массовая безработица, вместо стабильности цен - хроническая инфляция и т.д.). В результате экономическая деятельность государства стала дополнительным фактором неустойчивости экономики.

Кризис государственного регулирования экономического развития потребовал от правительства развитых стран искать выход из сложившейся ситуации, но не путем отказа от государственного регулирования циклического производства, а посредством перестройки его форм и методов. Антициклическая направленность государственной политики сменилась антиинфляционной.

Инфляция является неотъемлемой чертой современного экономического цикла. Она взаимодействует с циклическим движением экономики и меняет механизм цикла. Это изменение характеризуется уменьшением "чувствительности" цен к кризисному сужению рыночного спроса и увеличению этой чувствительности к росту спроса. Объясняется это тем, что крупный капитал, монополии приспосабливаются к сужению платежеспособного спроса населения путем сокращения производства при сохранении высоких цен. Государство же помогает крупным фирмам "управлять" таким путем кризисом. В результате в современных кризисах наблюдается противоборство двух тенденций в ценообразовании: повышательной, связанной с деятельностью крупного капитала и государства, и понижательной, порождаемой циклическим сокращением емкости рынка. Следовательно, современный цикл сочетает в себе кризис и инсоляцию.

Антициклическая и антиинфляционная политика государства призвана смягчить отрицательные последствия.

Ниже рассмотрим примеры удачных и неудачных антициклических решений в мировой экономике [18]:

/ ВЕЛИКОБРИТАНИЯ

Событие: чтобы предотвратить панику в связи с банкротством банка Barings, власти организовали спасательный фонд в Ј18 млн.

Результат: банковская система пострадала

/ США

Событие: чтобы смягчить последствия цепочки банкротств кредитных ассоциаций, правительство предоставило гарантии по многим обязательствам и создало специальную компанию, выкупающую активы банкротов

Результат: суммарные расходы на спасательные операции составили около $125 млрд. Успехом это не назовешь

/ МЕКСИКА

Событие: правительство США, МВФ и другие международные финансовые организации выделили непосредственно и предоставили гарантий на $50 млрд.

Результат: общий успех - предотвращены валютный кризис и крах экономики, долг выплачивается

/ ТАИЛАНД

Событие: международные доноры выделили $14,3 млрд., чтобы смягчить последствия валютного кризиса

Результат: относительный успех; курс бата закрепился на приемлемом уровне, глубокого кризиса удалось избежать

/ ИНДОНЕЗИЯ

Событие: предотвращая кризис, доноры выделили $21,9 млрд.

Результат: вмешательство не спасло ни индонезийскую рупию, ни режим президента Сухарто

/ ГОНКОНГ

Событие: чтобы поддержать фондовый рынок, правительство потратило $15 млрд. на скупку акций

Результат: атака спекулянтов была предотвращена, доходы правительства от приватизации превысили расходы

/ РОССИЯ

Событие: пытаясь помочь России сохранить курс рубля и выполнить обязательства, МВФ объявил о выделении $22 млрд.

Результат: первые $4,6 млрд. были потрачены за неделю; остальные деньги так и не дошли: грянул дефолт

/ США

Событие: дефолт хедж-фонда LTCM поставил рынки долговых обязательств и производных ценных бумаг на грань катастрофы. ФРС организовала заем консорциума частных инвесторов в $3,625 млрд. в обмен на паи фонда

Результат: пример исключительного успеха. Паника улеглась, катастрофы не случилось, кредиторы заработали на этом займе

Таким образом, цикличное развитие экономики сопровождается высоким уровнем экономической активности в течение длительного времени, а затем спадом этой активности до уровня ниже допустимого. Периодическая повторяемость экономических спадов ведет к обнищанию, голоду, страданиям, самоубийствам людей, что не может не беспокоить развитое цивилизованное общество. Поэтому проблема цикличности всегда привлекала внимание ученых-экономистов и сегодня остается одной из центральных проблем экономической теории.

2. Антициклическая политика Российской Федерации

 

.1. Социально-экономическое развитие Российской Федерации за период 2001-2011 гг. Кризис 2008 г.


Российская экономика и российские власти вошли в финансовый кризис 2008 г. после длительного периода очень высокого экономического роста, когда в обществе и в экономике сформировалась "привычка к успеху" - ожидание, что условия ведения бизнеса и уровень жизни будут улучшаться, несмотря ни на что.

Анализ темпов рост валового внутреннего продукта (Приложение 1, 2) показал, что за период с 2000 г. по 2011 г., после стабильных 10 лет относительно кризиса 1998 г., пришел новый кризис 2008 г. Данное явление и подтверждает цикличность развития экономики.

В этот период наблюдается[20]:

-       резкое снижение темпов роста валового внутреннего продукта с 105,2% в 2008 г., до 93,3% в 2009 г.,

-       рост уровня безработицы (так, в РТ он вырос с 1,33 в 2008 г., до 2,8% в 2009 г.),

-       снижение дохода на душу населения;

-       резкий рост просроченной задолженности. Так, например, в Татарстане, где большая часть промышленного производства связана с ВПК, задолженность по заработной плате взлетела с 6,518 млн. руб. в 2007 г. до 110, 517 млн. руб. в 2008 г. (Приложение 3)

Мировой финансовый кризис значительно расширил и обогатил представления о возможностях государственного вмешательства в экономику и социальную сферу, его масштабах, направлениях, формах и приоритетах, а также о национальных особенностях применения отдельных мер.

Как ни парадоксально, но именно недостатки российской экономики в период кризиса обернулись, правда, весьма относительными и временными, достоинствами и несколько смягчили его последствия. Так, учитывая, что пусковым механизмом текущего кризиса послужил крах американского рынка ипотечного кредитования, недостаточное развитие ипотеки в России спасло ее финансовые институты от глубоких потрясений. Ограниченные объемы производства товаров народного потребления и соответственно небольшая численность занятых в этих отраслях сдержали рост безработицы в масштабах всего народного хозяйства. Изначально низкая энерговооруженность экономики и домашних хозяйств при недостаточном распространении энергосберегающих технологий и расточительном потреблении энергии населением явилась фактором несущественного сокращения внутреннего спроса на энергоносители, т.е. не усугубила состояния ТЭК.

Вместе с тем кризисные проявления в России имеют глубокие различия в территориальной плоскости. Если в небольших странах с однородной экономикой глубина их влияния на население варьирует, в основном, в подоходном разрезе, то в России - колоссальна дифференциация общего уровня хозяйственного освоения отдельных территорий, отраслевой специализации, развития инженерной и социальной инфраструктуры, в частности транспортного сообщения, специфики климатических условий, особенностей расселения.

Вариация основных показателей уровня жизни населения между отдельными субъектами РФ была чрезвычайно высокой и в докризисный период, хотя за последние годы достигнуты определенные успехи в ее смягчении. Очень высокой оставалась вариация всех показателей и внутри федеральных округов (ФО), значительно превышая межокружную.

Различия по основному показателю уровня жизни - среднедушевому денежному доходу - между Центральным и Южным ФО составляли от 2,16 раза в 2004 г. до 1,96 раза - в 2007 г. Так, в Уральском ФО внутриокружная дифференциация колебалась в пределах 4,90-3,72 раза, в Северо-Западном - 4,69-4,82 раза, причем в последнем, как и в Сибирском ФО, она возросла в 2007 г. по сравнению с предыдущим годом. Сомнительное первенство принадлежало Центральному ФО, где различие в уровне среднедушевого денежного дохода составляло от 7,31 раза в 2004 г. до 6,23 раза в 2007 г. [2].

Поэтому экономический кризис и его социальные последствия, возможно, было бы целесообразнее рассматривать не в целом, а как совокупность локальных кризисов, каждый из которых обладает характерной динамикой и глубиной отдельных фаз.

Индекс промышленного производства, составивший в среднем за 9 мес. 2009 г. 86,5% по сравнению с соответствующим периодом предшествующего года, в 36 субъектах с населением свыше 55% общей численности населения РФ был еще ниже, причем половина из них приходилась на Центральный ФО. В 20 субъектах, где проживает почти треть (31,9%) населения РФ, падение производства составляло свыше 20%, в том числе в пяти, из которых четыре находились в Уральском ФО - более 30%. Печальный рекорд принадлежал Орловской области, где индекс промышленного производства за январь-сентябрь 2009 г. по сравнению с январем-сентябрем 2008 г. составил 65,1% [21].

В 27 субъектах индекс промышленного производства за указанный период составлял от 80 до 90%, еще в 27 - от 90 до 100%, и только в 11 субъектах, из которых пять относились к Дальневосточному ФО и три - к Южному, отмечался относительный рост. (В Чукотском АО индекс промышленного производства по сравнению с соответствующим периодом 2008 г. составил 168,9%) [23].

Однако динамика промышленного производства не обеспечила автоматически сохранения ранее достигнутых показателей жизненного уровня населения. Не только сокращение промышленного производства, меньшее, чем в среднем по стране, но и положительная динамика индекса не гарантировали от снижения реальных денежных доходов населения за январь-август 2009 г. по сравнению с соответствующим периодом 2008 г. в размере, превышающем средний показатель.

Так, в пяти субъектах Федерации, где индекс промышленного производства был больше 100%, реальные доходы населения сократились: в Белгородской области на 2,4%, в Тамбовской - на 3,9%, в Кабардино-Балкарии - на 8,2, в Сахалинской области - на 9,6, в Чукотском АО - на 12%. [2]

Общее снижение реальных денежных доходов населения составило 1.4%, в том числе в Сибирском ФО за 8 мес. по сравнению с соответствующим периодом 2008 г. на 9,1%, в Уральском - 5,9%, в Северо-Западном ФО - 5,4%. Всего за указанный период реальные денежные доходы населения снизились в 60 субъектах РФ, причем в 54 из них - больше, чем в среднем по стране, т.е. падение жизненного уровня коснулось более 75% проживающих на территории РФ. В 25 субъектах реальные денежные доходы сократились до 5%, в 23 от 5 до 10%, в 10 - от 10 до 20%, и наконец, в 3 субъектах более чем на 20%: в Республике Алтай - на 27,4%, Ингушетии - на 26,3%, в Рязанской области - на 21,7%, т.е. больше всего пострадало население самых бедных регионов [21].

К числу важнейших факторов, повлиявших на снижение реальных денежных доходов, относятся инфляция и рост безработицы, которые также различаются высокой дифференциацией в территориальном разрезе.

По данным Росстата, с августа по октябрь 2009 г. в России наблюдалась нулевая инфляция, а за 9 мес. с начала года индекс потребительских цен составил 108,1%. Однако в 15 из 18 субъектов Центрального ФО, в 10 из 13 субъектов Южного ФО и в 8 из 9 - Дальневосточного этот показатель превышал среднее по РФ значение инфляции, в том числе в Чукотском АО индекс цен составил 116,8%, в Магаданской области - 112,4%. Всего с января по сентябрь цены превысили среднюю величину в 46 субъектах РФ, затронув интересы в общей сложности почти 54% населения [22].

При среднем уровне безработицы 7,7% в сентябре этот показатель был выше в половине (в 9 из 18) субъектов Центрального ФО, в 7 из 11 СевероЗападного, в 10 из 13 - Южного, половине (в 7 из 14) субъектов Приволжского и в 11 из 12 - Северного, а всего - в 49 субъектах Федерации, в которых проживает свыше 48% всего населения РФ. В 19 из них уровень безработицы в сентябре превышал 10%, в том числе в шести субъектах Южного и в шести - Сибирского ФО. Самые высокие показатели безработицы, как, впрочем, и в докризисный период, отмечались в Ингушетии (51,2%) и в Чеченской Республике (36,2%) [23].

Спад промышленного производства и негативное воздействие инфляции и роста безработицы за 9 мес. 2009 г. наиболее сильно отразились на снижении жизненного уровня населения в 16 регионах РФ с численностью почти 15% ее населения (табл.2.1.1).

Таблица 2.1.1

Некоторые показатели региональной экономики (сентябрь 2009 г. в % к декабрю 2008 г.) [23]

Регион

Промышленное производство

Уровень безработицы

Потребительские цены и тарифы на товары и услуги

Реальные денежные доходы населения

Удельный вес населения, %

Российская Федерация

86,5

7,7

108,1

98,6

100,00

Брянская обл.

77,5

9,7

108,9

94,2

0,92

Владимирская обл.

76,9

9,4

108,5

94,2

1,01

Воронежская обл.

91,5

8,7

109,8

95,2

1,60

Ивановская обл.

78,5

9,1

108,1

82,7

0,76

Курская обл.

92,1

9,6

109,2

91,1

0,81

Смоленская обл.

83,8

8,7

108,9

96,8

0,69

Ярославская обл.

75,3

8,9

108,9

84,0

0,92

Карелия

87,9

8,6

109,6

97,5

0,48

Ингушетия

93,9

51,2

109,9

73,7

0,36

Кабардино-Балкария

100,0

11,4

109,1

91,8

0,63

Удмуртия

92,0

8,6

109,2

97,7

1,08

Пермский край

83,6

8,3

108,4

93,6

1,91

Республика Алтай

83,0

11,7

111,1

72,6

0,15

Алтайский край

88,2

11,2

109,9

90,8

1,76

Томская обл.

100,0

10,1

108,1

85,4

0,73

Хабаровский край

90,7

7,9

108,5

95,0

0,99

Всего населения

14,79

Снижение реальных доходов населения отразилось на динамике товарооборота розничной торговли, который за 9 мес. 2009 г. составил 94,7% уровня соответствующего периода предыдущего года, в том числе товарооборот розничной торговли пищевыми продуктами, включая алкогольные напитки и табачные изделия, уменьшился на 2,8%. Товарооборот розничной торговли непродовольственными товарами за январь - сентябрь 2009 г. сократился по сравнению с показателем 2008 г. на 7,8%. Такое соотношение обусловлено и структурой потребительских расходов населения, сложившейся в докризисный период, и вынужденными ограничениями семейного бюджета во время кризиса, и высокими показателями подоходной дифференциации и концентрации доходов.

Кризис, распространившийся на все территории, по-разному отразился на уровне жизни всех слоев населения. Если в период экономического роста, когда часть трудоспособного населения, занятая в сфере наемного труда, имела возможность реализовать свой трудовой потенциал, а успешный частный бизнес через механизм перераспределения доходов в форме налогов и непосредственно в виде благотворительности поддерживал беднейшие слои населения, государство оказывало адресную помощь наиболее нуждающимся социальным группам. Во время же экономического спада социальная функция государства выходит на первый план, а государственный патернализм вынужденно распространяется на все общество. Именно такой подход позволяет сохранить человеческие и трудовые ресурсы, социальную и территориальную целостность страны, избежать групповой и национальной конфронтации, повысить управляемость и контроль за развитием ситуации и в конечном счете создать предпосылки для выхода из кризиса.

2.2 Меры по борьбе с кризисом в 2008 г.


Антикризисные меры правительства РФ были сформулированы в начале 2009 г., когда основные тенденции спада экономики уже были зафиксированы в статистических данных.

Основной задачей было предотвращение роста бедности, особенно среди пожилого населения. К двум индексациям страховой части пенсии в феврале и апреле 2008 г., добавилось в августе, когда уже кризис наступил, одновременное повышение базовой части пенсии на 15%, и страховой части - на 8% [9].

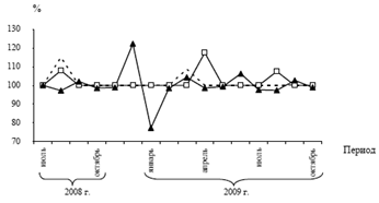
Дважды в 2009 г. повышалась страховая часть пенсии, а с 1 декабря ее базовая часть была увеличена более чем на 30%. На фоне снижающейся динамики реальной заработной платы денежные доходы пенсионеров в этот период относительно увеличились (рис. 2.2.1) [20].

Рис. 2.2.1. Динамика размеров пенсий и реальной заработной платы в 2008-2009 гг.:

индекс повышения базовой части;

¤- индекс повышения страховой части;

▲- реальная заработная плата, % к предыдущему месяцу

Вторая задача по реализации антикризисных действий в социальной сфере была нацелена на устранение ситуации, в которой часть пенсионеров живет за чертой бедности - для этого вводятся специальные социальные доплаты неработающим пенсионерам. В результате, пенсия со всеми социальными выплатами и доплатами стала не меньше величины прожиточного минимума пенсионера (ПМП) в регионе его проживания. На повышение пенсий и социальные доплаты ассигновано 4,4 трлн. руб. бюджетных средств Пенсионного фонда РФ [16].

Среднедоходные слои этот процесс затронул по двум направлениям. С одной стороны, работу теряет управленческий персонал: менеджеры среднего и высшего звена, лица творческих профессий, дизайнеры, специалисты по рекламе, по связям с общественностью, занятые в издательском бизнесе и т.п. Это - лица, имевшие уровень материального достатка выше среднего, высокие жизненные притязания и определенный общественный статус, возраст, близкий к среднему, не готовые к радикальным переменам.

Другая часть среднего класса - ИТР и высококвалифицированные рабочие кадры, работавшие в реальном секторе экономики, среднего и выше возраста, и низкого уровня профессиональной и территориальной мобильности. Проблемы "белых воротничков" сосредоточены, в основном, в крупных городах, где существует достаточно рабочих мест по многим видам экономической деятельности, а уровень безработицы изначально был ниже среднего. Беды же второй категории распространены по всей территории, как было показано выше, особенно в регионах с преобладанием обрабатывающей промышленности, концентрируясь в промышленных центрах, имеющих градообразующие предприятия.

Для решения проблем безработицы в моногородах правительство России образовало в 2009 г. под эгидой Минрегиона. специальную рабочую группу по вопросам нормализации социально-экономического положения. В перечень моногородов вошли 335 населенных пунктов, в том числе 223 с численностью жителей свыше 10 тыс. чел. Первыми поддержку из федерального бюджета получили Тольятти, Пикалево, Байкальск и Ленинск-Кузнецкий, которые подготовили собственные планы развития [15].

Для обеспечения приоритетного права российских граждан на трудоустройство был предусмотрен ряд мер организационного характера [15]:

в 2009 г. в 2 раза уменьшены по сравнению с предложениями квоты на привлечение в субъекты РФ иностранных работников;

запланировано организовать 982 тыс. временных рабочих мест и рабочих мест на общественных работах;

предусмотрена материальная поддержка на предпринимательскую инициативу 55,8 тыс. чел.;

намечено оказание адресной помощи при переезде в другую местность 15 тыс. чел.;

предполагалось направление на опережающее обучение, профессиональную подготовку, переподготовку и повышение квалификации 173 тыс. чел.

Предполагалось также распространение практики целевой контрактной подготовки студентов старших курсов на основе договоров с предприятиями. (В августе 2009 г. уровень безработицы среди молодежи 20-24 лет составил 16,6%, а ее доля в общей численности безработных - 23,5% [10].

Но основным направлением поддержки занятости, естественно, является финансовое. С начала 2009 г. в 1,5 раза был увеличен максимальный размер пособия по безработице: минимальная величина пособия по безработице составила 850 руб., максимальная - 4,9 тыс. руб. На эти цели было предусмотрено 33,9 млрд. руб. [21]

В целом предпринятые усилия, если и не снизили уровень безработицы до уровня докризисного периода, то, во всяком случае приостановили ее рост.

Одновременно с потерями в сфере занятости, негативные последствия кризиса проявились и в потребительском секторе. Поэтому такие направления финансовой политики, как сохранение сбережений населения и поддержание покупательной способности национальной валюты, с полным правом можно отнести к числу важнейших общегражданских социальных гарантий. Первой антикризисной мерой российского правительства была финансовая поддержка банковского сектора. Государство потратило на реализацию программы докапитализации банков 900 млрд. руб. Всего же российские банки получили государственную помощь в размере 5 трлн. руб. на то, чтобы выдать кредиты реальному сектору и населению по приемлемым ставкам [22].

В качестве комплексной меры, призванной, с одной стороны, поддержать отечественную автомобильную промышленность (соответственно сохранить занятость, особенно в таком моногороде, как Тольятти), а с другой - стимулировать потребительский спрос, было решено субсидировать 2/3 ставки рефинансирования по трехлетним потребительским кредитам на приобретение легковых автомобилей, произведенных на территории России (2 млрд. руб.). Также выделена субсидия ОАО "РЖД" на расходы по транспортировке отечественных автомобилей в регионы Дальнего Востока. (2 млрд. руб.) [8].

В общероссийских масштабах избраны разнообразные меры смягчения ситуации на рынке ипотечного жилищного кредитования. Программой антикризисных мер Правительства Российской Федерации [8] на 2009 г. предусмотрено, что семьи, имеющие право на получение материнского капитала, уже в этом году смогут использовать его на погашение долга по ипотеке6. Предполагалась также реструктуризация ипотечных кредитов для граждан, потерявших работу, через Агентство по ипотечному жилищному кредитованию. Из выделенных на эти цели 60 млрд. руб. в 2008 г. было потрачено 8,4 млрд., на 2009 г. было запланировано израсходовать 52,6 млрд. руб. Часть средств направляется на погашение обязательств самого Агентства (в декабре 2008 г. - 7,8 млрд. руб., на 2009 г. - 4,1 млрд. руб.). На рефинансирование ипотечных кредитов было выделено 0,6 млрд. руб. в декабре 2008 и 30 млрд. руб. на 2009 г. На выкуп ипотечных ценных бумаг, выдачу целевых займов планировалось затратить в 2009 г. 9,4 млрд. руб. Взнос в уставной капитал Агентства по реструктуризации ипотечных жилищных кредитов составил еще 5 млрд. руб. [1].

В Правительстве РФ посчитали, что в данных условиях ставки по ипотечным кредитам должны быть снижены до 10-11% годовых. С этой целью только в 2010 г. на поддержку ипотеки было направлено 250 млрд. руб. Для этого 163 млрд. руб. пенсионных накоплений, находящихся под управлением Внешэкономбанка, были вложены в надежные ипотечные облигации российских банков [8].

В качестве собственно антикризисных мер предусмотрена поддержка промышленности строительных материалов и отдельных строительных компаний. Внушительный пакет мер, адресованных непосредственно населению, продолжил начатые направления жилищной политики. К ним относятся: реализация ФЦП "Жилище" (суммарно - 61,4 млрд. руб.), а именно выполнение государственных обязательств перед отдельными категориями граждан: реализация государственных жилищных сертификатов (для военнослужащих, увольняемых из Вооруженных сил РФ; выезжающих из районов Крайнего Севера), обеспечение жильем молодых семей, всех ветеранов Великой Отечественной войны (субвенции субъектам РФ - 35,0 млрд. руб.).

Правительством было предусмотрено стимулирование спроса населения на жилье, помимо реализации временных антикризисных мер по поддержанию ипотечного кредитования, налоговыми послаблениями. Увеличена сумма имущественного вычета при исчислении НДФЛ при покупке жилья с 1 до 2 млн. руб. Кроме того, организациям разрешено включать в состав расходов суммы, внесенные в возмещение затрат работников на уплату процентов по займам (кредитам) на приобретение и (или) строительство жилого помещения в размере, не превышающем 3% суммы расходов на оплату труда.

Антикризисная программа поддержки ЖКХ предполагала как дальнейшее развитие и продолжение ранее выбранных направлений (разработка комплекса мер по реформированию ЖКХ на 2009-2011 гг. и формирование системы адресных субсидий для населения), так и новые меры, в частности, бюджетное субсидирование капитального ремонта жилого фонда.

В то же время непосредственное использование бюджетных средств в качестве антикризисных мер принесло положительные результаты. Общий объем средств, предусмотренный для предоставления финансовой поддержки субъектам РФ на реализацию региональных адресных программ по проведению капитального ремонта многоквартирных домов и переселению граждан из аварийного жилищного фонда за счет средств Фонда содействия реформированию ЖКХ с 2008 по 2011 г., составит 240 млрд. руб. Часть этих средств предполагается, согласно принятому решению о реализации антикризисных мер было выделено на капитальный ремонт многоквартирных домов и переселение граждан из аварийного жилья по 124 заявкам 78 регионов на общую сумму 55,02 млрд. руб. Общий объем осваиваемых финансовых средств с учетом долевого финансирования регионов составляет 116,0 млрд. руб. Выполнение региональных адресных программ, финансируемых с участием средств Фонда, обеспечивает занятость 1,5 млн. чел. [1]

В системе образования антикризисной программой был предусмотрен целый комплекс мер. В связи со сложной ситуацией в экономике студенты, в первую очередь обучающиеся на платной основе, а также студенты, воспользовавшиеся (или планировавшие воспользоваться) образовательными кредитами, нуждались в поддержке. Одно из решений - развитие эксперимента по образовательному кредитованию с установлением низкого процента по кредиту (не более 11,5% в год). Планировалось рассмотреть возможность фиксации платы за получение образования в рублях на весь период обучения для студентов, обучающихся с полным возмещением затрат.

Предприняты меры по сохранению бюджетных мест на очных отделениях вузов на уровне 2008 г., несмотря на демографический спад, по увеличению бюджетных мест в магистратуре до 35 тыс. (в начале 2009 г. - 20 тыс.); в аспирантуре до 29 тыс. (увеличение на 3 тыс. мест), по наиболее востребованным техническим специальностям (при сокращении по специальностям в области экономики и управления, гуманитарных наук), а также по изменению структуры подготовки в вузах и учебных заведениях среднего специального образования [15].

В области здравоохранения сохранилась ранее сформулированная политика, предусматривающая совершенствование системы обязательного медицинского страхования в сочетании с поддержкой наиболее важных направлений медицинской помощи, а также был введен целый ряд специальных антикризисных мер.

В рамках национального проекта "Здоровье" продолжены начатые в 2008 г. программы развития системы оказания специализированной сосудистой помощи и совершенствования организации медицинской помощи пострадавшим при дорожно-транспортных происшествиях. Перечень субъектов РФ, участвующих в проектах, расширился. Была развернута работа по оснащению 119 учреждений службы крови, созданию единой информационной базы, пропаганде массового донорства крови. В 2009 г. реализовывались мероприятия по совершенствованию онкологической и по обеспечению противотуберкулезной помощи населению [15].

Проводилась и проводится в настоящее время дополнительная диспансеризация работающих граждан и углубленные медицинские осмотры работников, занятых на работах с вредными и (или) опасными условиями труда, что позволяет выявлять социально значимые заболевания на ранних стадиях для своевременного оказания специализированной и высокотехнологичной помощи. Продолжается работа над комплексом мероприятий по совершенствованию медицинской помощи матерям и детям.

В период кризиса повысилось внимание к состоянию лекарственной помощи. По итогам 2008 г. цены на медикаменты поднялись на 16,4%, более чем вдвое опередив рост цен на все непродовольственные товары (он составил 8%). В ноябре 2009 г. по сравнению с декабрем 2008 г. прирост цен на медикаменты составил 17%, тогда как все непродовольственные товары подорожали на 9,4% [12].

В целом приведенные цифры свидетельствуют, что вопреки кризису правительство, в первую очередь, решало вопросы социальной защиты населения, опосредованно влияя и на экономику. Это стало в широком смысле наиболее крупным и динамичным направлением бюджетных расходов. С учетом межбюджетных трансфертов расходы на социальную политику увеличились с 27,3 в 2008 г. до 32,0% всех расходов в 2010 г.

Усилия власти по сохранению социальной сферы, которое рассматривается как основной положительный итог 2009 г., и их намерения продолжить намеченные меры вселило в население доверие к ее способности организовать и возглавить наметившийся перелом в экономической ситуации и постепенный переход к росту.

2.3 Перспективы экономического развития Российской Федерации


В настоящее время экономика РФ вышла на докризисный уровень (Приложение 4). Перспектива развития страны отражена в Концепции социально-экономического развития России до 2020 г, разработанной Правительством РФ [18].

В данном документе говорится о переходе российской экономики от экспортно-сырьевого к инновационному типу развития (Приложение 5)

Для того, чтобы Россия вышла на инновационный путь развития, необходимо прекратить опережающее повышение тарифов на энергоносители, сформировать механизмы кредитования внутреннего производства, привести уровень финансирования науки и образования в соответствие с мировыми стандартами. А так же освободить производство добавленной стоимости и инвестиции от запредельного налогового бремени, привести закупочную политику контролируемых государством корпораций в соответствие с задачами развития отечественной промышленности и положить конец лоббированию интересов иностранных конкурентов в высших эшелонах власти.

В силу запредельной изношенности основных фондов, старения высококвалифицированных кадров, глубокого падения производства высокотехнологических товаров и нарастающей переориентации экономики на импортную технологическую базу, меры по переводу экономики на инновационный путь развития нужно предпринимать немедленно.

Сохраняющийся научно-производственный потенциал позволяет реализовать заявленную стратегию инновационного развития. При этом темпы экономического роста должны дать до 12% прироста ВВП в ближайшие годы держаться на уровне не менее 10% весь прогнозный период.

Описанная выше Концепция предусматривает реализацию, в частности, следующих мер:

. Сформулировать масштабный план государственной поддержки жилищного строительства как отрасли, формирующей максимальные мультипликативные эффекты для экономики, с выходом на объем инвестиций не менее 500 млрд. руб. в год. При этом упор должен делаться на комплексное освоение территорий и малоэтажное строительство с применением современных энергосберегающих решений, с бесплатным предоставлением в собственность жителям новых поселений земельных участков. В комбинации инструментов господдержки следует учитывать: субсидирование ставок по ипотечным кредитам, государственный заказ на жилье для бюджетников, увольняемых в запас военнослужащих, отселяемых жителей моногородов, бесплатное предоставление обустроенных земельных участков под застройку компаниям, государственные гарантии застройщикам, субсидирование ставок по кредитам застройщикам.

. Определить и объявить приоритеты технологического перевооружения российской экономики с предоставлением существенных налоговых преференций инвесторам. В частности, следует отменить импортные пошлины на ввоз технологического оборудования и предоставлять налоговые каникулы по уплате НДС на ввозимое оборудование, отложив уплату налога до начала деятельности. В ряде секторов следует поддержать государственными деньгами лизинговые компании.

. Разработать и осуществить комплексный план по поддержке въездного туризма как отрасли, формирующей значительный мультипликативный эффект для экономики. Для этого необходимо либерализовать процедуры визового регулирования и пограничного контроля.

. Публичное обсуждение новой налоговой реформы, которая, среди прочих, сможет решить проблемы долгосрочной сбалансированности пенсионной системы одновременно со снижением налогообложения труда и проблемы стимулирования нефтяных компаний к расширению добычи в сложных условиях и созданию новых перерабатывающих мощностей.

. Сформулировать и добиться реализации среднесрочной инвестиционной программы, направленной на развитие каналов широкополосного доступа в Интернет по технологии ADSL в регионах России с целью обеспечения такой возможности в течение 3 лет во всех региональных центрах и городах с населением свыше 300000 человек, а в течение 5 лет - во всех городах с населением свыше 50000 человек.

. Оказание государственной поддержки отдельным крупным инвестиционным проектам, находящимся в завершающей стадии строительства, путем предоставления государственных гарантий.

. Завершить реформу технического регулирования, являющегося сегодня значительным препятствием для инвестирования.

. Ввести процедуру парламентского контроля за деятельностью госкомпаний и госкорпораций с обязательным публичным раскрытием информации об их деятельности.

. Правительство должно разработать и реализовать новую программу дебюрократизации отношений между бизнесом и властью, ориентированную на облегчение процедур создания и регистрации бизнеса, замену государственного лицензирования страховыми платежами или регистрацией в саморегулируемых организациях бизнеса.

Реализация объявленной стратегии инновационного развития страны блокируется инерцией сложившихся процедур планирования макроэкономической политики. Но остается надеяться, что обещанное в Концепции "становление системы национального стратегического планирования (управления), направленного на выявление долгосрочных угроз, приоритетов развития и путей решения возникающих проблем совместными усилиями бизнеса, государства и общества" будет реализовано и позволит повернуть экономику на инновационный путь развития.

Заключение


В ходе создания курсовой работы было рассмотрено, что цикличность - это всеобщая форма движения, отражающая его неравномерность, смену эволюционных и революционных форм прогресса.

Циклический характер развития присущ всем отношениям: экономическим, социальным, политическим и многим другим.

Сущность теории циклического развития экономики связана с тем, что экономика, как открытая система, находится в состоянии перманентного отклонения от состояния равновесия. Все отклонения приводят к тому, что цикличность в экономическом развитии имеет свою специфику.

Эпицентр циклического движения - это экономический кризис, в котором обозначается предел и, в то же время, обнаруживается импульс роста экономики.

Для поддержания экономической стабильности в обществе государство проводит антициклическую политику, направленную, прежде всего, на смягчение циклических колебаний. Важнейшими инструментами, с помощью которых государство воздействует на экономический цикл, выступают кредитно-денежные и бюджетно-налоговые рычаги.

Основной целью правительства РФ в период кризиса 2008 г. было сохранение социальной сферы, через проведение мер (повышение внутреннего спроса, поддержание банковской системы, снижение ипотечного бремени, сдерживание тарифов на ЖКХ и т.д.), которые опосредованно влияли и на развитие экономики страны в целом.

Перспектива развития страны отражена в разработанной Правительством РФ Концепции социально-экономического развития России до 2020 г, которая предусматривает переход российской экономики от экспортно-сырьевого к инновационному типу развития.

Список используемой литературы


1.      Айзинова И.М. "Жилищный вопрос" в трех измерениях // Проблемы прогнозирования. 2007. №2.

2.      Айзинова И.М. Социальная защита населения в периоды экономического роста и спада //Научные труды ИНП РАН. - М.: МАКС Пресс, 2009.

.        Алексашенко С. Выход из кризиса // "Ведомости", №52. 2009 год

.        Борисов Е.Ф. Экономическая теория: учебное пособие. - М.: Юрайт, 2007.

.        Гусев М.С., Широв А.А. Два кризиса. Сравнительный анализ событий 1998 и 2008-2009 годов // Проблемы прогнозирования. 2009. №5.

.        Зайончковская Ж.А., Ноздрина Н.Н. Миграционный опыт населения региональных центров России (на примере социологического опроса в 10 городах) // Проблемы прогнозирования. 2008. №4.

.        Иваницкая Н., Кудинов В., Чечель А. Занять в России. // Ведомости. 11 января 2009

.        Иванов В.Н., Суворов А.В. Доходы и потребление российского населения в условиях кризиса и альтернативы государственной политики в этой сфере // Проблемы прогнозирования. 2009. №6.

.        Кашин В. Глобальная дыра. // Ведомости. 16 января 2009

.        Кашин В. Послевоенный рекорд. // Ведомости. 11 января 2009

.        Кувшинова О. Экономика ниже нуля. // Ведомости. 11 января 2009

.        Локтева Ж. Особенности развития экономики России в период общемирового кризиса // Справочник экономиста. 2009. № 3.

.        Орехов В.И., Балдин К.В., Гапоненко Н.П. Антикризисное управление: Учеб. пособие. - М.: ИНФРА-М, 2008.

.        Пахомов Ю., Пахомов С. Корни кризиса. Мировой финансовый кризис: цивилизационные истоки // Экономист. 2009. №4.

.        Программа антикризисных мер Правительства Российской Федерации на 2009 г. #"818605.files/image005.gif">

Структура ВВП

Приложение 2

://info.minfin.ru/pr_ec2.php

 

 

Приложение 3


Основные показатели уровня жизни населения Республики Татарстан 05.05.2012 г.

Показатели

2007 г.

2008 г

2009 г.

2010 г.

2011 г.

Январь 2012 г.

Февраль 2012 г.

Март 2012 г.

I квартал 2012 г.

Апрель 2012 г.

Примечание

Номинальная начисленная среднемесячная заработная плата на предприятиях и в организациях, включая малое предпринимательство, руб.

11468,6

14904,0

15206,9

17350,1

20009,0

20138,9

20412,1

21767,3

20822,5



 Темп роста номинальной заработной платы, в % к соответствующему периоду предыдущего года

129,6

130,0

102,0

114,1

116,1

121,4

119,9

117,7

119,9



 Темп роста реальной заработной платы, в % к соответствующему периоду предыдущего года

120,1

115,1

92,8

107,1

107,5

117,5

116,8

114,7

116,5



 Просроченная задолженность по выплате зарплаты (на конец периода), млн. руб. (без малых предприятий)

6,518

110,517

24,923

43,494

59,063

60,280

61,905

68,310

68,310

65,034


Денежные доходы на душу населения, руб. Темп роста денежных доходов населения в % к соответствующему периоду предыдущего года Темп роста реальных денежных доходов в % к соответствующему периоду предыдущего года

11576,9  123,6    114,5

14180,5  122,6    108,6

15915,4  111,8    102,0

18158,1  114,0    107,3

19821,3  109,2    101,3

18093,65  116,4    112,7

20913,4  118,2    115,1

21201,1  114,2    111,7

19747,6  114,4    111,7



Мин. потребит. бюджет (МПБ), руб.: - на члена типовой семьи; - на трудоспособного члена семьи* - на пенсионера

  6262,0 7632.4  5958,2

  7148,0 8667,5  6597,8

  7786,0 9345,5  7136,5

  8307,0 9907,1  7723,3

  9142,0 10700,0  8453,0

  9180,0 11060,0  8759,5

  9256,0 10888,0  8584,5

  9345,0 12421,5  8859,5

  9260,0 11456,5*  8734,5*

  9362,0 10999,0  8670,0

* - среднее значение

 Рациональный потребительский бюджет, руб. (на конец периода)

22263,2

25651,7

27624,2

28782,0

30025,25

30256,02

30528,28

30681,09

30681,09

30832,23


 Численность безработных (на конец периода), чел.

24049

25480

56397

37669

28551

29230

30954

30997

30997



Показатели

2007 г.

2008 г

2009 г.

2010 г.

2011 г.

Январь 2012 г.

Февраль 2012 г.

 Март 2012 г.

I квартал 2012 г.

Апрель 2012 г.

Примечание

Уровень безработицы (на конец периода), %

1,26

1,33

2,80

1,86

1,40

1,42

1,52

1,55

1,55



 Прожиточный минимум (ПМ), руб.: IV кв. 2011г. на душу населения 5001,0 для труд населения 5469,0 пенсионеров 3619,0 – детей 4900,0

   3098,0 3431,5 2195,0 -

   3762,2 4186,0 2612,2 3642,5

   4111,8 4539,5 2888,5 3912,3

   4553,5 4968,5 3334,0 4458,2

   5214,0 5696,0 3797,0 5109,0

 Пост.   5111,0 5584,0 3708.0 5016,0

КМ РТ от  5111,0 5584,0 3708.0 5016,0

28.04.2012   5111,0 5584,0 3708.0 5016,0

№ 343   5111,0 5584,0 3708.0 5016,0



 Индекс потребительских цен; в % к: - предыдущему месяцу - декабрю предыдущего года - соответствующему периоду пред. года

  - 111,6  107,9

  - 111,8  113,0

  - 107,5  109,9

  - 108,2  106,6

  - 105,9  108,1

  100,5 100,5  103,3

  100,2 100,7  102,6

  100,3 101,0  102,7

  - -  102,9



Уровень жизни (отношение сред. душевого дохода к МПБ на члена типовой семьи)

1,85

1,98

2,04

2,19

2,17

1,97

2,26

2,27

2,13



Покупательная способность заработной платы (соотношение ср.мес. заработной платы и ПМ тр.нас.), раз

3,34

3,55

3,35

3,49

3,51

3,61

3,66

3,90

3,73



Покупательная способность денежных доходов населения (соотношение денежных доходов населения и ПМ на душу населения), раз

3,72

3,84

3,77

3,96

3,80

3,54

4,09

4,15

3,86



Стоимость минимального набора продуктов питания, входящих в потребительскую корзину (на конец периода), рублей -в % к соответствующему периоду предыдущего года; -в % к декабрю предыдущего года

    1376,5   - 118,1

    1729,3   - 125,6

    1736,1   - 99,2

    2232,2   - 126,2

    2058,6   - 92,2

    2102,25   83,9 102,1

    2109,54   82,4 102,5

    2118,95   83,5 102,9

    2118,95   - 102,9

    2133,93   84,2



Информация подготовлена отделом социального партнерства Федерации профсоюзов Республики Татарстан по данным Татарстанстата и Комитета Республики Татарстан по социально-экономическому мониторингу

 

Приложение 4


Основные экономические и социальные показатели


Март 2012г.

В % к

I квартал 2012г. в % к I кварталу  2011г.

Справочно



марту 2011г.

февралю 2012г.


март 2011г. в % к

I квартал 2011г. в % к I кварталу 2010г.






марту 2010г.

февралю 2011г.


Валовой внутренний продукт,  млрд.рублей

54585,61)

104,32)

 

 

104,33)

 

 

Индекс выпуска товаров и  услуг по базовым видам  экономической деятельности4)

 

103,0

109,6

105,0

105,0

114,0

105,6

Индекс промышленного  производства5),6)

 

102,0

107,0

104,0

105,3

111,7

105,9

Продукция сельского хозяйства,  млрд.рублей

151,7

104,9

141,4

104,0

100,7

140,0

100,7

Грузооборот транспорта, млрд.т-км

429,57)

103,3

108,2

103,6

101,7

108,2

103,9

 в том числе железнодорожного   транспорта

190,2

104,5

111,8

107,6

106,0

113,7

109,1

Объем услуг связи, млрд.рублей

127,8

106,7

105,0

105,1

103,2

104,2

103,4

Оборот розничной торговли,  млрд.рублей

1631,3

107,3

106,9

107,5

105,2

107,4

105,0

Объем платных услуг населению, млрд.рублей

464,7

102,0

102,2

104,0

102,5

106,6

102,9

Внешнеторговый оборот,  млрд.долларов США8)

70,39)

115,010)

117,611)

120,712)

132,510)

130,911)

126,512)

 в том числе: экспорт товаров

45,0

114,7

112,2

122,4

128,4

129,3

119,5

импорт товаров

25,2

115,6

128,7

117,5

140,6

133,8

141,8

Инвестиции в основной капитал, млрд.рублей

601,413)

104,913)

107,413)

111,213)

99,7

117,9

99,2

Индекс потребительских цен

 

103,7

100,6

103,9

109,5

100,6

109,5

Индекс цен производителей  промышленных товаров5)

 

107,4

102,1

107,7

121,0

101,4

120,7

Реальные располагаемые  денежные доходы7)

 

102,8

99,8

102,6

98,1

100,1

100,0

Среднемесячная начисленная заработная плата одного работника7):

 

 

 

 

 

 

номинальная, рублей

26440

116,8

110,0

116,0

112,1

109,6

111,2

реальная

 

112,6

109,4

111,7

102,4

108,9

101,6

Общая численность безработных,  млн.человек

4,9

91,1

101,0

86,7

83,4

94,1

85,7

Численность официально  зарегистрированных  безработных, млн.человек

1,3

79,9

98,7

80,1

73,6

98,6

73,1

1) Данные за 2011г. (вторая оценка).  2) 2011г. в % к 2010 году.  3) 2010г. в % к 2009 году.  4) Исчисляется на основе данных об изменении физического объема производства продукции сельского хозяйства, добычи полезных ископаемых, обрабатывающих производств, производства и распределения электроэнергии, газа и воды, строительства, транспорта, розничной и оптовой торговли.  5) По видам деятельности "Добыча полезных ископаемых", "Обрабатывающие производства", "Производство и распределение электроэнергии, газа и воды". 6) С учетом поправки на неформальную деятельность.  7) Предварительные данные.  8) Данные рассчитаны Банком России в соответствии с методологией платежного баланса в ценах франко-граница страны экспортера (ФОБ).  9) Данные за февраль 2012 года.  10) Февраль 2012г. и февраль 2011г. в % к соответствующему месяцу предыдущего года, в фактически действовавших ценах.  11) Февраль 2012г. и февраль 2011г. в % к предыдущему месяцу, в фактически действовавших ценах.  12) Январь-февраль 2012г. и январь-февраль 2011г. в % к соответствующему периоду предыдущего года, в фактически действовавших ценах.  13) Оценка.

Приложение 5

 


Похожие работы на - Антициклическая политика государства и ее особенности в России

 

Не нашли материал для своей работы?
Поможем написать уникальную работу
Без плагиата!
Без нейросетей!