Развитие инвестиционного портфеля фирмы на примере ООО 'МеталлПрофиль+'

  • Вид работы:
    Курсовая работа (т)
  • Предмет:
    Финансы, деньги, кредит
  • Язык:
    Русский
    ,
    Формат файла:
    MS Word
    316,96 Кб
  • Опубликовано:
    2015-02-06
Вы можете узнать стоимость помощи в написании студенческой работы.
Помощь в написании работы, которую точно примут!

Развитие инвестиционного портфеля фирмы на примере ООО 'МеталлПрофиль+'















Курсовая работа

Развитие инвестиционного портфеля фирмы на примере ООО «МеталлПрофиль+»

СОДЕРЖАНИЕ

ВВЕДЕНИЕ

. ИНВЕСТИЦИОННЫЙ ПОРТФЕЛЬ: ПОНЯТИЕ И ТИПЫ

1.1 Принципы формирования инвестиционного портфеля

1.2 Этапы формирования инвестиционного портфеля

1.3 Оценка инвестиционного портфеля по критерию риска

2. МЕТОДЫ ОЦЕНКИ ЭФФЕКТИВНОСТИ ИНВЕСТИЦИОННОГО

ПОРТФЕЛЯ

.1 Современная теория портфеля (модель Марковица)

.2 Модель оценки капитальных вложений (модель Шарпа)

.3 Стратегии управления портфелем. Мониторинг инвестиционного портфеля

. АНАЛИЗ ИНВЕСТИЦИОННОГО ПОРТФЕЛЯ

В ООО «МЕТАЛЛПРОФИЛЬ+»

.1 Общая характеристика ООО «МеталлПрофиль+»

.2 Анализ инвестиционного портфеля ООО «МеталлПрофиль+»

.3 Предложения по оптимизации инвестирования в ООО «МеталлПрофиль+»

ЗАКЛЮЧЕНИЕ

СПИСОК ИСПОЛЬЗОВАННЫХ ИСТОЧНИКОВ

ПРИЛОЖЕНИЯ

риск капитал инвестиционный портфель

ВВЕДЕНИЕ

Актуальность данной темы обусловлена тем, что основная задача портфельного инвестирования - улучшить условия инвестирования, придав совокупности ценных бумаг такие инвестиционные характеристики, которые недостижимы с позиции отдельно взятой ценной бумаги, и возможны только при их комбинации.

Инвестиционная активность даже в том зачаточном виде, какой она была до середины текущего года, в настоящее время практически отсутствует, доверие к большому числу обращающихся ценных бумаг подорвано главным образом в результате безответственных действий Правительства в области политики заимствования денежных средств на внутреннем рынке.

Портфельное инвестирование позволяет планировать, оценивать, контролировать конечные результаты всей инвестиционной деятельности в различных секторах фондового рынка.

Как правило, портфель представляет собой определенный набор из корпоративных акций, облигаций с различной степенью обеспечения и риска, а также бумаг с фиксированным доходом, гарантированным государством, то есть с минимальным риском потерь по основной сумме и текущим поступлениям.

Цель данной работы - рассмотреть портфель инвестиций, методы его формирования и оценка.

Для достижения данной цели были поставлены следующие задачи:

рассмотреть содержимое и типы портфелей;

выявить этапы формирования инвестиционного портфеля;

изучить стратегию управления портфелем ООО «МеталлПрофиль+». Мониторинг инвестиционного портфеля;

определить риск и оценку портфеля инвестиций в ООО «МеталлПрофиль+»;

Объект исследования - портфель инвестиций.

Предмет исследования - основы развития портфеля инвестиций ООО «МеталлПрофиль+».

Однако, если в той или иной форме экономическим курсом Правительства будет являться построение цивилизованной рыночной экономики, для которой необходимым условием является мощный рынок ценных бумаг и энергичная инвестиционная деятельность в условиях долговременной финансовой стабильности, то вопросы оптимального, грамотного с точки зрения экономической науки поведения на этом рынке неизбежно приобретут первостепенное значение.

В таких условиях отечественным инвесторам потребуются экономические технологии, разработанные и испытанные в странах с длительной историей высокоразвитых рыночных отношений. И одной из таких технологий является портфельное инвестирование.

Только в процессе формирования портфеля достигается новое инвестиционное качество с заданными характеристиками. Таким образом, портфель ценных бумаг является тем инструментом, с помощью которого инвестору обеспечивается требуемая устойчивость дохода при минимальном риске.

Методы исследования - вертикальный и горизонтальный анализ.

При написании курсовой работы были использованы учебные пособия следующих авторов: Анненков А.И., Большаков А.С., Выдрин В.И., Добрынин А.И., Тарасевич Л.С., Грачев П.И., Чепикова М. Н., Кравченков Е. А. и другие.

Структура курсовой работы включает введение, основную часть, заключение, список использованных источников, приложения.

1. ИНВЕСТИЦИОННЫЙ ПОРТФЕЛЬ: ПОНЯТИЕ И ТИПЫ

1.1 Принципы формирования инвестиционного портфеля

Формирования инвестиционного портфеля связано с подбором определенной совокупности объектов инвестирования для осуществления инвестиционной деятельности.[10,c.156]

Суть портфельного инвестирования состоит в улучшении возможностей инвестирования путем придания совокупности объектов инвестирования тех инвестиционных качеств, которые недостижимы с позиции отдельно взятого объекта, а возможны лишь при их сочетании.

Структура инвестиционного портфеля отражает определенное сочетание интересов инвестора. Таким образом, инвестиционный портфель выступает как инструмент, посредством которого достигается требуемая доходность при минимальном риске и определенной ликвидности.

Проблемы формирования портфеля ценных бумаг и его оценки занимают одно из ведущих мест в современной экономической теории и практике, что обусловлено их актуальностью в условиях развитого рынка.

Однако условия российской экономики не позволяют в полной мере применять общие положения теории портфельного инвестирования и сформированный на Западе арсенал инвестиционных стратегий.

В связи с этим при определении основ формирования фондового портфеля неизбежно приходится ограничиваться использованием лишь тех аспектов портфельной теории, которые могут быть в какой-то степени адаптированы к российской действительности, и учитывать специфические формы проявления различных факторов, воздействующих на выбор ценных бумаг для портфельного инвестирования в российской экономике.[11,c.124]

Чтобы эффективно вести портфель инвестиций финансовый менеджер должен использовать следующие принципы, которые широко применяются в мировой практике при формировании инвестиционного портфеля:

. Успех инвестиций в основном зависит от правильного распределения средств по типам активов на 94% выбором типа используемых инвестиционных инструментов (акции крупных компаний, краткосрочные казначейские векселя, долгосрочные облигации и др.); на 4% выбором конкретных ценных бумаг заданного типа, на 2% оценкой момента закупки ценных бумаг. Это объясняется тем, что бумаги одного типа сильно коррелируют, т.е. если какая-то отрасль испытывает спад, то убыток инвестора не очень зависит от того, преобладают в его портфеле бумаги той или иной компании.

. Риск инвестиций в определенный тип ценных бумаг определяется вероятностью отклонения прибыли от ожидаемого значения. Прогнозируемое значение прибыли можно определить на основе обработки статистических данных о динамике прибыли от инвестиций в эти бумаги в прошлом, а риск - как среднеквадратическое отклонение от ожидаемой прибыли.

. Общая доходность и риск инвестиционного портфеля могут меняться путем варьирования его структурой. Существуют различные программы, позволяющие конструировать желаемую пропорцию активов различных типов, например минимизирующую риск при заданном уровне ожидаемой прибыли или максимизирующую прибыль при заданном уровне риска и др.

. Оценки, используемые при составлении инвестиционного портфеля, носят вероятностный характер. Конструирование портфеля в соответствии с требованиями классической теории возможно лишь при наличии ряда факторов: сформировавшегося рынка ценных бумаг, определенного периода его функционирования, статистики рынка и др.[11,c.136]

Цели формирования инвестиционного портфеля в существенной степени являются альтернативными. Рост рыночной стоимости капитала связан с определенным снижением текущего дохода инвестиционного портфеля. Приращение капитальной стоимости и увеличение дохода ведут к повышению уровня инвестиционных рисков. Задача достижения требуемой ликвидности может препятствовать включению в состав инвестиционного  портфеля объектов, которые обеспечивают рост капитальной стоимости или получение высокого дохода, но характеризующихся, как правило, весьма низкой ликвидностью.

В связи с альтернативностью рассмотренных целей инвестор при формировании инвестиционного портфеля определяет их приоритеты или предусматривает сбалансированность отдельных целей, исходя из направленности разработанной инвестиционной политики. [15,c.116]

1.2 Этапы формирования инвестиционного портфеля

При формировании инвестиционного портфеля следует руководствоваться следующими соображениями:

безопасность вложений (неуязвимость инвестиций от потрясений на рынке инвестиционного капитала),

стабильность получения дохода,

ликвидность вложений, то есть их способность участвовать в немедленном приобретении товара, или быстро и без потерь в цене превращаться в наличные деньги.

Ни одна из инвестиционных ценностей не обладает всеми перечисленными выше свойствами. Поэтому неизбежен компромисс. Если ценная бумага надежна, то доходность будет низкой, так как те, кто предпочитают надежность, будут предлагать высокую цену и собьют доходность. Главная цель при формировании портфеля состоит в достижении наиболее оптимального сочетания между риском и доходом для инвестора. Иными словами, соответствующий набор инвестиционных инструментов призван снизить риск вкладчика до минимума и одновременно увеличить его доход до максимума.[11,c.152]

Формирование инвестиционного портфеля осуществляется в несколько этапов:

формулирование целей его создания и определение их приоритетности (в частности, что важнее - регулярное получение дивидендов или рост стоимости активов), задание уровней риска, минимальной прибыли, отклонения от ожидаемой прибыли и т. п.;

выбор финансовой компании (это может быть отечественная или зарубежная фирма; при принятии решения можно использовать ряд критериев: репутация фирмы, ее доступность, виды предлагаемых фирмой портфелей, их доходность, виды используемых инвестиционных инструментов и т. п.);

выбор банка, который будет вести инвестиционный счет.

Основной вопрос при ведении портфеля - как определить пропорции между ценными бумагами с различными свойствами. Так, основными принципами построения классического консервативного (малорискового) портфеля являются: принцип консервативности, принцип диверсификации и принцип достаточной ликвидности.

В целом любые модели инвестиционного портфеля являются открытыми системами и соответственно могут дополняться и корректироваться при изменениях условий на финансовом рынке. Модель инвестиционного портфеля позволяет получить аналитический материал, необходимый для принятия оптимального решения в процессе инвестиционной деятельности.

Получение математической оценки состояния портфеля на разных этапах инвестирования при учете влияния различных факторов делает возможным непрерывно управлять структурой портфеля на каждом этапе принятия решения, т.е. по сути, управлять рисками.

Таким образом, использование компьютерной реализации моделей значительно увеличивает оперативность получения аналитического материала для принятия решений. Следовательно, выполняются такие основные свойства управления как: эффективность, непрерывность и оперативность.[15,c.193]

В соответствии с целью инвестирования формирование портфеля ценных бумаг может осуществляться на основе различного соотношения дохода и риска. В зависимости от выбранного соотношения осуществляется отбор ценных бумаг, обладающих соответствующими инвестиционными свойствами.

Портфели ценных бумаг, построенные по принципу диверсификации, предполагают комбинацию из достаточно большого количества ценных бумаг с разнонаправленной динамикой движения курсовой стоимости (дохода).

Следует отметить, что поскольку в реальной хозяйственной практике предприятия функционируют в рамках одной хозяйственной системы с присущими ей закономерностями и взаимосвязями, при моделировании возможно более безрискового портфеля следует анализировать не только качества отдельных видов ценных бумаг, но и корреляцию между ними. При этом в соответствии с портфельной теорией наименьший риск достигается в случае формирования портфеля из акций, движение курсов которых демонстрирует отрицательную корреляцию.[5,c.118]

1.3 Оценка инвестиционного портфеля по критерию риска

В качестве меры риска используют вариацию (дисперсию) случайной величины или стандартное отклонение, равное корню квадратному из вариации. Обе характеристики измеряют колебания дохода. Чем выше колебания дохода относительно средней, тем больше эти параметры.

Средняя или ожидаемая доходность Ri i-ого актива равна:


где rj - возможное j-ое значение доходности актива;

pj - вероятность реализации значения доходности j-ого актива;

m - число возможных значений доходности.

Вероятность реализации значения доходности актива определяется как отношение временного промежутка, в течение которого наблюдается данное значение доходности, ко всему времени наблюдения.[11,c.127]

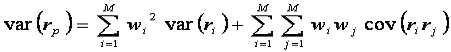
Ожидаемая доходность портфеля равна средневзвешенному значению ожидаемых значений доходностей ценных бумаг, входящих в портфель:


где Rp - ожидаемая норма доходности портфеля Р за период;

Ri - доходность актива i за период;

Wi - вес актива i в портфеле;

м - число активов в портфеле.

Вариация - мера разброса случайной величины вокруг ее среднего значения. В математике - математическое ожидание квадрата отклонений случайной величины Х от ее среднего значения Е(Х), равная:


Формула для определения вариации доходности i-ого актива имеет вид:


Стандартное отклонение, имеющее ту же размерность, что и доходность, равно:


Стандартные отклонения доходности по каждой из акций отражают степень рискованности инвестиции в данную акцию. Для того чтобы сравнить степень риска различных акций с различной средней (ожидаемой) доходностью и различным стандартным отклонением доходности, используется понятие коэффициент вариации:


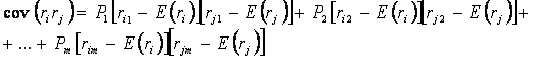
Ковариация и коэффициент корреляции являются мерами взаимозависимости двух случайных величин. Отражают степень согласованности в поведении доходностей активов. Положительная ковариация означает, что в движении доходности двух ценных бумаг имеется тенденция изменяться в одних и тех же направлениях: если доходность одной акции возрастает (или уменьшается), то и доходность другой акции также возрастает (уменьшится).

Если же имеет место обратная тенденция, т.е. увеличению (уменьшению) доходности акций одной компании соответствует снижение (увеличение) доходности акций другой компании, то считается, что между доходностями акций этих двух компаний существует отрицательная ковариация.

Ковариация двух активов равна:


С ковариацией связана корреляция, равная ковариации двух активов, деленной на произведение их стандартных отклонений.

Коэффициент корреляции между двумя случайными величинами равен:


Коэффициент корреляции лежит в пределах от -1 до +1. При этом (+1) означает полное совпадение направления движения, а (-1) - полное несовпадение.

В общем случае для портфеля из M активов вариация доходности равна:


Таким образом, из двух активов с полной отрицательной корреляцией доходности можно, в принципе, составить полностью безрисковый портфель. На практике подобрать такие активы вряд ли возможно. Но основная тенденция ясна: для снижения риска портфеля необходимо выбирать активы с отрицательной корреляцией. В этом случае падение доходности одного актива, в идеале - полностью, а на практике - частично, компенсируется ростом доходности другого актива, что повышает эффективность портфеля в части роста отношения доходность, риск.

Теория портфеля содержит анализ, который показывает, что существуют портфели, интегральный риск которых меньше риска каждого отдельного актива. Причем добавляя к выбранному активу второй актив с большими доходностью и риском, можно увеличить доходность формируемого портфеля и одновременно снизить его риск.[15,c.118]. Совокупный риск инвестиционного портфеля в существенной мере зависит от уровня риска ценных бумаг. При росте количества разнообразных ценных бумаг в портфеле уровень риска портфеля ценных бумаг может быть уменьшен, но не ниже уровня систематического риска.

Существуют три основные меры риска:

вариация доходности;

стандартное отклонение доходности;

коэффициент вариации доходности.

Вместе с тем следует учитывать, что это положение справедливо лишь для случая независимости ценных бумаг в портфеле; если ценные бумаги в портфеле взаимозависимы, то возможны по меньшей мере два варианта.

В случае прямой корреляционной зависимости при увеличении количества ценных бумаг в портфеле уровень риска не изменяется, так как доходность всех ценных бумаг падает или растет с одинаковой вероятностью. В случае обратной корреляционной зависимости, как уже отмечалось по инвестиционному портфелю в целом, наименее рискованный портфель ценных бумаг может быть сформирован при определении в нем оптимальных долей ценных бумаг разного типа.[16,c.156]

2. МЕТОДЫ ОЦЕНКИ ЭФФЕКТИВНОСТИ ИНВЕСТИЦИОННОГО ПОРТФЕЛЯ

2.1 Современная теория портфеля (модель Марковица)

Современная теория портфельных инвестиций берет свое начало из небольшой статьи Г. Марковица «Выбор портфеля». В ней он предложил математическую модель формирования оптимального портфеля ценных бумаг, а также привел методы построения таких портфелей при определенных условиях.

Рассмотрев общую практику диверсификации портфеля, ученый показал, как инвестор может снизить его риск путем выбора некоррелируемых акций.[8,c.127]

Основной заслугой Г. Марковица является предложенная им в этой статье теоретико-вероятностная формализация понятий «доходность» и «риск». В его модели для исчисления соотношения между риском инвестиций и их ожидаемой доходностью используется распределение вероятностей.

Ожидаемая доходность портфеля ценных бумаг определяется как среднее значение распределения вероятностей, а риск - как стандартное отклонение возможных значений доходности от ожидаемого.

Ожидаемая ставка доходности определяется как:

E(r) = P1r1 + P2r2 + … + Pnrn = S Piri .

Применив эту формулу для предложенного случая, мы обнаружим, что ожидаемая ставка доходности акций компании равна:

E(r) = 0,2*30% + 0,6*10% + 0,2*(-10%) = 10%.

Чем больше стандартное отклонение доходности, тем выше показатель изменчивости цен на акции. Стандартное отклонение доходности для безрисковых инвестиций, которые дадут 10% доходности, равно 0.

Результаты исследований, полученные Г. Марковицем, сразу позволили перевести задачу выбора оптимальной инвестиционной стратегии на точный математический язык. Именно он первым привлек внимание к общепринятой практике диверсификации портфеля и точно показал, как инвесторы могут уменьшить стандартное отклонение его доходности, выбирая акции, цены на которые изменяются по-разному.

С математической точки зрения, полученная оптимизационная стратегия относится к классу задач квадратичной оптимизации при линейных ограничениях. До сих пор, вместе с задачами линейного программирования, это один из наиболее изученных классов оптимизационных задач, для которых разработано большое количество достаточно эффективных алгоритмов.

Г. Марковиц на этом не остановился - он продолжил разработку основных принципов формирования портфеля. Эти принципы послужили основой для многих работ, описывающих связь между риском и доходностью. Однако его работы не привлекли особого внимания экономистов - теоретиков и практиков.

Для 50-х годов ХХ в. само по себе применение теории вероятности к финансовой теории было достаточно необычным делом. К тому же неразвитость вычислительной техники, а также сложность предложенных Г. Марковицем алгоритмов, процедур и формул не позволили осуществить фактическую реализацию его идей. Не случайно заслуги ученого были оценены значительно позже, чем опубликованы его работы, а Нобелевская премия ему присуждена только в 1990 г.

Влияние портфельной теории Г. Марковица значительно усилилось после появления в конце 50-х - в начале 60-х годов ХХ в. работ Дж. Тобина по аналогичным проблемам. Здесь следует отметить некоторые различия между подходами Г. Марковица и Дж. Тобина. Первый из этих подходов лежит в русле микроэкономического анализа, поскольку акцентирует внимание на поведении отдельного инвестора, который формирует оптимальный, с его точки зрения, портфель на базе собственной оценки доходности и риска выбранных активов.

К тому же первоначально эта модель касалась в основном портфеля акций, то есть рисковых активов. Дж. Тобин тоже предложил включить в анализ безрисковые активы (например, государственные облигации). По сути, его подход является макроэкономическим, поскольку в данном случае главным объектом изучения является распределение совокупного капитала в экономике на две формы: наличную (денежную) и неналичную (в виде ценных бумаг).

В работах Г. Марковица акцент делался не на экономическом анализе исходных постулатов теории, а на математическом анализе их последствий и разработке алгоритмов решения оптимизационных задач. В подходе Дж. Тобина основной темой становится анализ факторов, вынуждающих инвесторов формировать портфель активов, а не держать капитал в какой-то одной (например, наличной) форме. [14,c.163]

Кроме того, Дж. Тобин проанализировал адекватность количественных характеристик активов и портфеля, которые являются исходными данными в теории Г. Марковица. Возможно, поэтому Дж. Тобин получил Нобелевскую премию на 9 лет раньше, чем Г. Марковиц.

Г. Марковиц утверждает, что инвестор должен обосновать свое решение относительно выбора оптимального портфеля исключительно ожидаемой доходностью и стандартным отклонением доходности. Это означает, что инвестор должен оценить ожидаемую доходность и стандартное отклонение доходности каждого из портфелей, а затем из них выбрать «лучший», базируясь на соотношении этих двух параметров.

При этом интуиция играет определяющую роль. Ожидаемая доходность может быть представлена как мера потенциального вознаграждения, связанная с конкретным портфелем, а стандартное отклонение доходности - как мера риска, связанная с этим портфелем. Таким образом, после того, как каждый портфель исследован с точки зрения потенциальных вознаграждения и риска, инвестор должен выбрать портфель, который является для него наиболее подходящим.

Основные выводы теории портфельных инвестиций, можно сформулировать так:

) эффективное множество содержат те портфели, которые одновременно обеспечивают и максимальную ожидаемую доходность при фиксированном уровне риска, и минимальный риск при заданном уровне ожидаемой доходности;

) предполагается, что инвестор выбирает оптимальный портфель из портфелей, составляющих эффективное множество;

) оптимальный портфель инвестора идентифицируется с точкой касания кривых равнодушия инвестора с эффективным множеством;

) как правило, диверсификация влечет за собой уменьшение риска, поскольку в общем случае стандартное отклонение доходности портфеля будет меньше, чем средневзвешенные стандартные отклонения доходности ценных бумаг, которые составляют этот портфель;

) соотношение доходности ценной бумаги и доходности на индекс рынка известно как рыночная модель;

) доходность на индекс рынка не отражает доходности ценной бумаги полностью; необъясненные элементы включаются в случайную погрешность рыночной модели;

) в соответствии с рыночной моделью, общий риск ценной бумаги состоит из рыночного риска и собственного риска;

) диверсификация приводит к усреднению рыночного риска;

) диверсификация может значительно снизить собственный риск.

Таким образом, можно сформулировать основные постулаты, на которых построена современная теория портфельных инвестиций:

. Рынок состоит из конечного числа активов, доходность которых для заданного периода считается случайной величиной.

. Инвестор способен, например, исходя из статистических данных, получить оценку ожидаемых (средних) значений доходности и их попарных ковариаций - возможностей диверсификации риска.[10,c.160]

. Инвестор может формировать разные допустимые (для данной модели) портфели, доходность которых также является случайной величиной.

. Сопоставление выбираемых портфелей основывается только на двух критериях - средней доходности и риске.

. Инвестор не предрасположен к риску в том смысле, что из двух портфелей с одинаковой доходностью он обязательно предпочтет портфель с меньшим риском.

Центральной проблемой в теории портфельных инвестиций является выбор оптимального портфеля, то есть определение набора активов с наивысшим уровнем доходности при наименьшем или заданном уровне инвестиционного риска. Такой подход является «многомерным» как по количеству привлеченных в анализ активов, так и по учтенным характеристикам.[13,c.163]

2.2 Модель оценки капитальных вложений (модель Шарпа)

С 1964 г. появляются новые работы, открывшие следующий этап в развитии инвестиционной теории, связанный с так называемой «моделью оценки капитальных активов» (или САРМ - от английского capital asset pricing model).[16,c.133]

Учеником Г. Марковица У. Шарпом была разработана модель рынка капиталов. Формулируя ее, он понимал, что абсолютно надежных акций или облигаций не бывает. Все они в той или иной степени связаны с риском для корпорации: она может получить большой доход или остаться без ничего.

Развивая подход Г. Марковица, У. Шарп разделил теорию портфеля ценных бумаг на две части: первая - систематический (или рыночный) риск для активов акций, вторая - несистематический. Для обычной акции систематический риск всегда связан с изменениями в стоимости ценных бумаг, находящихся в обращении на рынке. Иначе говоря, доходность одной акции постоянно колеблется вокруг средней доходности всего актива ценных бумаг. Этого никак не избежать, поскольку действует слепой механизм рынка.

Несистематический риск связан с влиянием всех остальных факторов, специфических для корпорации, выпускающей в обращение ценные бумаги. Определив специальные коэффициенты реакции цен акций или облигаций на изменения рыночной конъюнктуры, У. Шарп разработал формулу расчета сравнительной меры риска ценных бумаг на основе «линии эффективности рынка заемного капитала».

Важным моментом систематического риска является то, что увеличение количества акций или облигаций не способно ликвидировать его. Однако растущая покупка ценных бумаг может повлечь за собой устранение несистематического риска. Отсюда получается, что вкладчик не может избежать риска, связанного с колебаниями конъюнктуры фондового рынка. Задача при формировании рыночного портфеля заключается в уменьшении риска путем приобретения различных ценных бумаг.

И делается это так, чтобы факторы, специфические для отдельных корпораций, уравновешивали друг друга. Благодаря этому доходность портфеля приближается к средней для всего рынка.[19,c.115]

На основе этой модели У. Шарп предложил упрощенный метод выбора оптимального портфеля, который сводил задачу квадратичной оптимизации к линейной. В более простых случаях (то есть для небольших размерностей) эта задача могла быть решена практически «вручную».

Такое упрощение сделало методы портфельной оптимизации применимыми на практике. В 70-х годах ХХ в. развитие программирования, а также совершенствование статистической техники оценки коэффициентов «альфа» и «бета» отдельных ценных бумаг и индекса рынка в целом привели к появлению первых пакетов программ для решения задач управления портфелем ценных бумаг.

Разница между доходностью рыночного портфеля и процентной ставкой называется премией за рыночный риск. Выводы У. Шарпа стали известны как модели оценки долгосрочных активов, базирующиеся на предположении, что на конкурентном рынке ожидаемая премия за риск изменяется прямо пропорционально коэффициенту «бета».

Это означает, что если схематически представить инвестиции на рисунке, то все инвестиции должны располагаться вдоль наклонной линии, называемой линией рынка ценных бумаг.

Ожидаемая премия за риск инвестиций, бета которых равна 0,5, следовательно, составляет половину ожидаемой премии за рыночный риск; ожидаемая премия за риск инвестиций с бетой, равной 2,0, в два раза превышает ожидаемую премию за рыночный риск. Мы можем представить эту взаимосвязь в следующем виде:

Ожидаемая премия за риск акций = бета * ожидаемая премия за рыночный риск.

 

R - rf = b (rm - rf).

 

Инвестор всегда может получить ожидаемую премию за риск b (rт - r), комбинируя рыночный портфель и безрисковые займы. Так, на хорошо функционирующем рынке никто не держит акции, предлагающие премию за ожидаемый риск, меньше, чем b (rт - r).[13,c.178]

Другими словами, существуют ли какие-либо акции, лежащие выше линии рынка ценных бумаг? Если мы возьмем все акции в совокупности, мы получим рыночный портфель. Следовательно, мы знаем, что акции в среднем располагаются на линии. Так как ни одна не лежит ниже линии, то ни одна не может лежать и выше линии. Таким образом, каждая и любая акция должна лежать на линии рынка ценных бумаг и обеспечивать премию за ожидаемый риск, равную:

 

R - rf = p (rm - rf).

 

Инвесторы предпочитают высокую ожидаемую доходность инвестиций и низкое стандартное отклонение. Портфели обыкновенных акций, которые обеспечивают наиболее высокую ожидаемую доходность при данном стандартном отклонении, называются эффективными портфелями.

Если инвесторы могут брать займы или предоставлять кредиты по безрисковой ставке процента, тогда им следует всегда иметь комбинацию безрисковых инвестиций и портфель обыкновенных акций. Состав такого портфеля акций зависит только от того, как инвестор оценивает перспективы каждой акции, а не от его отношения к риску. Если инвесторы не располагают какой-либо дополнительной информацией, им следует держать такой же портфель акций, как и у других, иначе говоря, им следует держать рыночный портфель ценных бумаг.

Далее, если каждый держит рыночный портфель и если бета показывает вклад каждой ценной бумаги в риск рыночного портфеля, тогда не удивительно, что премия за риск, требуемая инвесторами, пропорциональна коэффициенту бета.

Любое вложение в опцион является более рисковым, чем вложение непосредственно в акции: ведь риск, связанный с ним, изменяется каждый раз, когда изменяется цена акции. Соответственно, ожидаемая норма дохода на опцион, на которую рассчитывают инвесторы, ежечасно изменяется в зависимости от изменения рыночной цены акции.

Именно поэтому определение стоимости опционов при помощи стандартных формул казалось практически невозможным, а разработка техники точной оценки этой стоимости на протяжении многих лет была не по силам экономистам. Все предыдущие (с 1900г.) попытки определить стоимость вторичных ценных бумаг были неудачными из-за огромной проблемы - невозможности правильно исчислить премию за риск (доход на рисковые вложения).[20,c.136]

М. Скоулз и Ф. Блэк совершили прорыв в этой области, разработав метод определения стоимости опциона, не требующий использования конкретной величины премии за риск. Однако это не означает, что премии за риск нет: просто она включена в цену акции.

 

2.3 Стратегии управления портфелем. Мониторинг инвестиционного портфеля

Чем выше риски на рынке ценных бумаг, тем больше требований предъявляется к портфельному менеджеру по качеству управления портфелем. Эта проблема особенно актуальна в том случае, если рынок ценных бумаг изменчив.

Под управлением понимается применение к совокупности различных видов ценных бумаг определенных методов и технологических возможностей, которые позволяют: сохранить первоначально инвестированные средства; достигнуть максимального уровня дохода; обеспечить инвестиционную направленность портфеля. Иначе говоря, процесс управления направлен на сохранение основного инвестиционного качества портфеля и тех свойств, которые бы соответствовали интересам его держателя.

С точки зрения стратегий портфельного инвестирования можно сформулировать следующую закономерность. Типу портфеля соответствует и тип избранной инвестиционной стратегии: активной, направленной на максимальное использование возможностей рынка или пассивной.

Первым и одним из наиболее дорогостоящих, трудоемких элементов управления, является мониторинг, представляющий собой непрерывный детальный анализ фондового рынка, тенденций его развития, секторов фондового рынка, инвестиционных качеств ценных бумаг. Конечной целью мониторинга является выбор ценных бумаг, обладающих инвестиционными свойствами, соответствующими данному типу портфеля. Мониторинг является основой как активного, так и пассивного способа управления.

Активная модель управления. Активная модель управления предполагает тщательное отслеживание и немедленное приобретение инструментов, отвечающих инвестиционным целям портфеля, а также быстрое изменение состава фондовых инструментов, входящих в портфель.

Отечественный фондовый рынок характеризуется резким изменением котировок, динамичностью процессов, высоким уровнем риска. Все это позволяет считать, что его состоянию адекватна активная модель мониторинга, которая делает управление портфелем эффективным.

Мониторинг является базой для прогнозирования размера возможных доходов от инвестиционных средств и интенсификации операций с ценными бумагами.

Менеджер, занимающийся активным управлением, должен суметь отследить и приобрести наиболее эффективные ценные бумаги и максимально быстро избавиться от низкодоходных активов. При этом важно не допустить снижение стоимости портфеля и потерю им инвестиционных свойств, а следовательно, необходимо сопоставлять стоимость, доходность, риск и иные инвестиционные характеристики «нового» портфеля с аналогичными характеристиками имеющегося «старого» портфеля.

Этот метод требует значительных финансовых затрат, так как он связан с информационной, аналитической экспертной и торговой активностью на рынке ценных бумаг, при которой необходимо использовать широкую базу экспертных оценок и проводить самостоятельный анализ, осуществлять прогнозы состояния рынка ценных бумаг и экономики в целом. Это по карману лишь крупным банкам или финансовым компаниям, имеющим большой портфель инвестиционных бумаг и стремящимся к получению максимального дохода от профессиональной работы на рынке. Менеджер должен уметь опережать конъюнктуру фондового рынка и превращать в реальность то, что подсказывает анализ. От менеджеров требуется смелость и решительность в реализации замыслов в сочетании с осторожностью и точным расчетом, что делает затраты по активному управлению портфелем довольно высокими. Наиболее часто ими используются методы, основанные на манипулировании кривой доходности.

Специалисты прогнозируют состояние денежного рынка и в соответствии с этим корректируют портфель ценных бумаг. Так, если кривая доходности находится в данный момент на относительно низком уровне и будет, согласно прогнозу, повышаться, то это обещает снижение курсов твердопроцентных бумаг.

Поэтому следует покупать краткосрочные облигации, которые по мере роста процентных ставок будут предъявляться к выкупу и реинвестироваться в более доходные активы. Они служат дополнительным запасом ликвидности.

Когда же кривая доходности высока и будет иметь тенденцию к снижению, инвестор переключается на покупку долгосрочных облигаций, которые обеспечат более высокий доход.

Если данную операцию осуществляет банк, то он будет менее заинтересован в ликвидности, так как ожидаемая вялость приведет к снижению спроса на ссуды. По мере снижения процентных ставок банк будет получать выигрыш от переоценки портфеля вследствие роста курсовой стоимости бумаг.

К моменту, когда ставки процента достигнут низшей точки, банк распродаст долгосрочные ценные бумаги, реализует прибыли от роста курсов и в тот же день сделает вложения в краткосрочные облигации. Разумеется, стратегия «переключения» может не оправдать себя и банк понесет убытки. Например, банк начинает скупать долгосрочные ценные бумаги в ожидании снижения процентных ставок, а они продолжают расти.

Банк будет вынужден удовлетворять потребность в ликвидных средствах, покупая их на рынке по повышенным ставкам или продавая долгосрочные бумаги с убытком по курсовой стоимости. Такие ошибки могут нанести банку большой урон, поэтому часть портфеля надо хранить в краткосрочных обязательствах, чтобы обеспечить резерв ликвидности.

Отличительной чертой российского рынка ценных бумаг является нестабильность учетной ставки. Поэтому используется метод «предвидения учетной ставки». Он основывается на стремлении удлинить срок действия портфеля, когда учетные ставки снижаются. Это наблюдается в современных условиях. Высокая конъюнктура фондового рынка диктует необходимость сократить срок существования портфеля. Чем больше срок действия портфеля, тем стоимость портфеля больше подвержена колебаниям вследствие изменения учетных ставок.

Активный мониторинг представляет непрерывный процесс таким образом, что процесс управления портфелем ценных бумаг сводится к его периодической ревизии, частота которой зависит и от «предвидения учетной ставки».

Пассивная модель управления. Пассивное управление предполагает создание хорошо диверсифицированных портфелей с заранее определенным уровнем риска, рассчитанным на длительную перспективу. Такой подход возможен при достаточной эффективности рынка, насыщенного ценными бумагами хорошего качества.

Продолжительность существования портфеля предполагает стабильность процессов на фондовом рынке. В условиях инфляции, а, следовательно, существования, в основном, рынка краткосрочных ценных бумаг, а также нестабильной конъюнктуры фондового рынка такой подход представляется малоэффективным:

пассивное управление эффективно лишь в отношении портфеля, состоящего из низкорискованных ценных бумаг, а их на отечественном рынке немного.

ценные бумаги должны быть долгосрочными для того, чтобы портфель существовал в неизменном состоянии длительное время. Это позволит реализовать основное преимущество пассивного управления - низкий уровень накладных расходов. Динамизм российского рынка не позволяет портфелю иметь низкий оборот, так как велика вероятность потери не только дохода, но и стоимости.

Примером пассивной стратегии может служить равномерное распределение инвестиций между выпусками разной срочности (метод «лестницы»). Используя метод «лестницы» портфельный менеджер покупает ценные бумаги различной срочности с распределением по срокам до окончания периода существования портфеля.

Следует учитывать, что портфель ценных бумаг - это продукт, который продается и покупается на фондовом рынке, а следовательно, весьма важным представляется вопрос об издержках на его формирование и управление. Поэтому особую важность приобретает вопрос о количественном составе портфеля.[5,c.96]

Вопрос о количественном составе портфеля можно решать как с позиции теории инвестиционного анализа, так и с точки зрения современной практики. Кроме того, увеличение различных активов, то есть видов ценных бумаг, находящихся в портфеле, до восьми и более не дает значительного уменьшения портфельного риска.

Издержки по управлению излишне диверсифицированным портфелем не дадут желаемого результата, так как доходность портфеля вряд ли будет возрастать более высокими темпами, чем издержки в связи с излишней диверсификацией.

Малоприменим и такой способ пассивного управления как метод индексного фонда. Индексный фонд - это портфель, отражающий движение выбранного биржевого индекса, характеризующего состояние всего рынка ценных бумаг. Если инвестор желает, чтобы портфель отражал состояние рынка, он должен иметь в портфеле такую долю ценных бумаг, какую эти бумаги составляют при подсчете индекса. В целом рынок ценных бумаг в настоящее время малоэффективен, поэтому применение такого метода может принести убытки вместо желаемого положительного результата.

Определенные трудности могут возникнуть и при использовании метода сдерживания портфеля. Этот вариант пассивного управления связан с инвестированием в неэффективные ценные бумаги. При этом выбираются акции с наименьшим соотношением цены к доходу, что позволяет в будущем получить доход от спекулятивных операций на бирже. Однако нестабильность российского рынка не дает подобных гарантий.

Тактика. Нельзя утверждать, что только конъюнктура фондового рынка определяет способ управления портфелем.

Выбор тактики управления зависит и от типа портфеля. Скажем, трудно ожидать значительного выигрыша, если к портфелю агрессивного роста применить тактику «пассивного» управления. Вряд ли будут оправданы затраты на активное управление, ориентированное, например, на портфель с регулярным доходом.[7,c.118]

Выбор тактики управления зависит также от способности менеджера выбирать ценные бумаги и прогнозировать состояние рынка. Если инвестор не обладает достаточными навыками в выборе ценных бумаг или времени совершения операции, то ему следует создать диверсифицированный портфель и держать риск на желаемом уровне.

Как «активная», так и «пассивная» модели управления могут быть осуществлены либо на основе поручения клиента и за его счет, либо на основе договора. Активное управление предполагает высокие затраты специализированного финансового учреждения, которое берет на себя все вопросы по купле-продаже и структурному построению портфеля ценных бумаг клиента.[9,c.134]

Пассивная модель управления подразумевает передачу денежных средств специализированному учреждению, которое занимается портфельными инвестициями с целью вложения этих средств от имени и по поручению их владельца в различные фондовые инструменты с целью извлечения прибыли. За проведение операций взимается комиссионное вознаграждение.

Таким образом, формируя и оптимизируя портфель из имеющихся в его распоряжении средств инвестора, управляющий осуществляет операции с фондовыми ценностями, руководствуясь своим знанием рынка, выбранной стратегии и т. д. Прибыль будет в значительной степени зависеть от инвестиционного искусства менеджера, а следовательно, комиссионное вознаграждение будет определяться процентом от полученной прибыли.

3. АНАЛИЗ ИНВЕСТИЦИОННОГО ПОРТФЕЛЯ В ООО «МЕТАЛЛПРОФИЛЬ+»

3.1 Общая характеристика ООО «МеталлПрофиль+»

Общество с ограниченной ответственностью «МеталлПрофиль+» создано в соответствии с действующим законодательством РФ путем учреждения вновь.

ООО «МеталлПрофиль+» является юридическим лицом и имеет в собственности обособленное имущество, учитываемое на его самостоятельном балансе, может от своего имени приобретать и осуществлять имущественные и личные неимущественные права, нести обязанности, быть истцом и ответчиком в суде.

ООО «МеталлПрофиль+» имеет круглую печать, содержащую его полное фирменное наименование на русском языке, указание места его нахождения, регистрационный номер.

Сокращенное фирменное наименование предприятия: ООО «МеталлПрофиль+»

Юридический и почтовый адрес: 305023,г. Курск, 2-й Литовский пер., д.5.

ООО «МеталлПрофиль+» является коммерческой организацией и вправе осуществлять любые виды деятельности, не запрещенные законом, включая:

- оптовая торговля строительными материалами;

оптовая торговля лесоматериалами;

выполнение работ и оказание услуг;

посредническая деятельность;

строительство зданий и сооружений;

хранение и складирование;

управление недвижимым имуществом;

ООО «МеталлПрофиль+» несет ответственность по своим обязательствам всем принадлежащим ему имуществом. Общество не отвечает по обязательствам своего участника.

ООО «МеталлПрофиль+» в целях реализации государственной социальной, экономической и налоговой политики несет ответственность за сохранность документов (управленческих, финансово-хозяйственных, по личному составу и др.); обеспечивает передачу хранения документов.

Общество обязано хранить следующие документы:

- учредительные документы общества, а также внесенные в учредительные документы общества и зарегистрированные в установленном порядке изменения и дополнения;

решение учредителя о создании общества и об утверждении денежной оценки неденежных вкладов в уставный капитал общества, а также иные решения, связанные с созданием общества;

документ, подтверждающий государственную регистрацию общества;

документы, подтверждающие права общества на имущество, находящееся на его балансе;

внутренние документы общества;

протоколы общих собраний участников общества;

- заключения аудитора, государственных и муниципальных органов финансового контроля;

иные документы, предусмотренные федеральными законами и иными правовыми актами РФ.

ООО «МеталлПрофиль+» ведет список участников общества с указанием сведений о каждом участнике общества, размере его доли в уставном капитале общества и ее оплате, а также о размере долей, принадлежащих обществу, датах их перехода к обществу или приобретения обществом. Общество обязано обеспечивать ведение и хранение списка участников. Генеральный директор обеспечивает достоверность сведений, указанных в списке, сведениям в едином государственном реестре.

Управление предприятием обеспечивает его деятельность, направленную на получение прибыли и исполнение в связи с этим производственных и других договоров, участником которых является предприятие. Управление предприятием осуществляется в соответствии с уставом предприятия, Положением о структуре управления ООО «МеталлПрофиль+», должностными инструкциями и другими инструктивно-методическими материалами.

Генеральный директор ООО «МеталлПрофиль+»:

1) без доверенности действует от имени общества, в том числе представляет его интересы и совершает сделки;

2)      выдает доверенности на право представительства от имени общества, в том числе доверенности с правом передоверия;

)        издает приказы о назначении на должности работников общества, об их переводе и увольнении, применяет меры поощрения и налагает дисциплинарные взыскания;

)        осуществляет иные полномочия, не отнесенные к компетенции общего собрания участников общества. Порядок деятельности единоличного исполнительного органа общества и принятия им решений устанавливается уставом общества, внутренними документами общества.

Генеральный директор ООО «МеталлПрофиль+» может иметь своих заместителей по направлениям работ, которые избираются на общем собрании участников. Заместители действуют по доверенности. Порядок деятельности заместителей определяется договором, заключенным с ними и внутренними документами общества.

Рассмотрим основные показатели, характеризующие имущественное состояние предприятия и результаты его работы. Анализ будет проведен по данным годовой бухгалтерской отчетности предприятия за 2009, 2010 и 2011гг.

Проведем анализ имущественного состояния ООО «МеталлПрофиль+» в 2009-2011 гг. (таблица 1)

Таблица 1  Анализ состава и динамики активов ООО «МеталлПрофиль+» в 2009-2011 гг.

Активы предприятия

2009 год

2010 год

2011 год

Темп прироста, %


тыс. руб.

тыс. руб.

тыс. руб.

2010 год к 2009 году

2011 год к 2010 году

I. Внеоборотные активы

Основные средства

1290

1260

1220

-2,33

-3,17

Отложенные налоговые активы

0

1080

1050


-2,78

Итого по разделу I

1290

2340

2270

81,40

-2,99

II. Оборотные активы

Запасы

73280

94640

123480

29,15

30,47

сырье, материалы и др.

1050

1010

950

-3,81

-5,94

готовая продукция и товары для перепродажи

71140

92580

121500

30,14

31,24

расходы будущих периодов

1090

1050

1030

-3,67

-1,90

Дебиторская задолженность

200990

162210

147800

-19,29

-8,88

Краткосрочные финансовые вложения

29500

39160

57000

32,75

45,56

Денежные средства

3940

3550

3200

-9,90

-9,86

Итого по разделу II

307710

299560

331480

-2,65

10,66

Баланс

309000

301900

333750

-2,30

10,55


Как видно из таблицы 1, общая стоимость имущества ООО «МеталлПрофиль+» в 2010 году по сравнению с 2009 годом уменьшилась на 2,30%. Такое сокращение общей стоимости имущества вызвано уменьшением оборотных активов предприятия, которые сократились на 2,65%. Сокращение оборотных активов произошло за счет уменьшения дебиторской задолженности на 19,29% и денежных средств - на 9,90%.

Рост оборотных активов в 2011 году связан с увеличением запасов на 30% и краткосрочных финансовых вложений - на 45%. Причем эти две статьи оборотных активов увеличиваются на протяжении всего периода. Зато дебиторская задолженность и денежные средства продолжают сокращаться, как и в 2010 году. Сокращение величины внеоборотных активов вызвано сокращением величины основных средств и отложенных налоговых активов.

Также стоит отметить, что удельный вес внеоборотных активов в общей величине имущества составляет менее 1%. Это обусловлено спецификой деятельности предприятия - торговля.

Для финансово-экономической характеристики ООО «МеталлПрофиль+» проведем анализ платежеспособности (ликвидности) и оборачиваемости активов. (рисунок 1)

Рисунок 1. Оценка платежеспособности ООО «МеталлПрофиль+»

Из рисунка 1 видно, что коэффициент срочной ликвидности ООО «МеталлПрофиль+» увеличивается с 0,12 в 2009 году до 0,19 в 2011 году. Значение данного коэффициента ниже нормативного значения (больше 0,2-0,3), но в 2011 году приближается к нему. Рост коэффициента срочной ликвидности происходит за счет роста краткосрочных финансовых вложений.

Коэффициент быстрой ликвидности ООО «МеталлПрофиль+» имеет обратную тенденцию - за период исследования он сокращается с 0,86 до 0,67. В итоге в 2011 году данный коэффициент не соответствует нормативу (больше 0,7-0,8). Такая ситуация обусловлена существенным сокращением величины дебиторской задолженности предприятия. В итоге в 2011 году за счет денежных средств, краткосрочных финансовых вложений и поступлений от дебиторов предприятие может погасить только 67% краткосрочных обязательств.

Коэффициент покрытия также имеет тенденцию к сокращению - за анализируемый период он уменьшился с 1,13 до 1,06. Данный коэффициент не соответствует нормативу во всех трех годах (больше 2), что говорит о низкой обеспеченности оборотных активов в расчете на 1 руб. краткосрочных обязательств.

В целом ООО «МеталлПрофиль+» обладает недостаточной ликвидностью и платежеспособностью. Наблюдается тенденция сокращения показателей ликвидности до низких значений, далеких от норматива. Это говорит о дефиците денежных средств и о значительных объемах краткосрочных обязательств.

Проведем анализ оборачиваемости активов ООО «МеталлПрофиль+» в 2009-2011 гг. (таблица 2)

Таблица 2  Анализ оборачиваемости активов ООО «МеталлПрофиль+» в 2009-2011 гг.

Показатели

2009 год

2010 год

2011 год

Коэффициент оборачиваемости активов, обороты

0,26

0,43

0,59

Длительность одного оборота активов, дни

1390

830

612

Коэффициент оборачиваемости оборотных активов, обороты

0,26

0,44

0,59

Длительность одного оборота оборотных активов, дни

1384

825

607

Коэффициент оборачиваемости производственных запасов, обороты

57,29

98,83

145,92

Длительность одного оборота производственных запасов, дни

6

4

2

Коэффициент оборачиваемости готовой продукции, обороты

1,12

1,62

1,75

323

222

206

Коэффициент оборачиваемости дебиторской задолженности, обороты

0,39

0,73

1,21

Длительность одного оборота дебиторской задолженности, дни

920

493

298


Из таблицы 2 видно, что коэффициент оборачиваемости оборотных активов ООО «МеталлПрофиль+» имеет тенденцию к увеличению с 0,26 до 0,59, что привело к сокращению длительности одного оборота оборотных активов с 1384 дней в 2009 году до 607 дней в 2011 году. Такие значения длительности одного оборота оборотных активов являются очень высокими, несмотря на их сокращение.  В результате можно сделать вывод, что в ООО «МеталлПрофиль+» происходит повышение эффективности использования всей величины активов и отдельных составляющих, что обусловлено в первую очередь ростом выручки от реализации продукции. Однако необходимо заметить, что длительности одного оборота отдельных составляющих активов имеют достаточно высокие значения, что является негативным моментом. Для оценки эффективности работы ООО «МеталлПрофиль+» в 2009-2011 гг. Проведем анализ финансовых результатов ООО «МеталлПрофиль+». (рисунок 2)

Рисунок 2. Динамика выручки от реализации продукции, себестоимости и валовой прибыли ООО «МеталлПрофиль+» за 2009-2011 гг., тыс. руб.

По данным рисунка 2 видно, что выручка от реализации продукции ООО «МеталлПрофиль+» увеличивается на протяжении всего анализируемого периода с 78030 тыс. руб. в 2009 году до 132540 тыс. руб. в 2010 году и до 187000 тыс. руб. в 2011 году.

Себестоимость проданных товаров ООО «МеталлПрофиль+» также увеличивается, но на протяжении всего периода меньше выручки от реализации, что приводит к получению положительного значения валовой прибыли. Валовая прибыль предприятия увеличилась за анализируемый период с до 44000 тыс. руб. в 2011 году.

Далее проведем анализ динамики различных показателей прибыли ООО «МеталлПрофиль+» - валовой прибыли, прибыли от продаж, прибыли до налогообложения и чистой прибыли.(рисунок 3)

Рисунок 3. Динамика показателей прибыли ООО «МеталлПрофиль+» за 2009-2011 годы, тыс. руб.

По данным рисунка 3 видно, что в ООО «МеталлПрофиль+» происходит увеличение всех показателей прибыли. Так валовая прибыль увеличивается с 19310 тыс. руб. в 2009 году до 44000 тыс. руб. в 2011 году. Однако прибыль до налогообложения более чем в два раза превышает значения валовой прибыли и прибыли от продаж. Это связано с тем, что ООО «МеталлПрофиль+» имеет существенное превышение прочих доходов над прочими расходами.

Проведем анализ динамики капитала ООО «МеталлПрофиль+» в 2009-2011 гг. (таблица 3)

Таблица 3 Анализ динамики капитала ООО «МеталлПрофиль+» в 2009-2011 гг.

Капитал предприятия

2009 год

2010 год

2011 год

Темп прироста, %


тыс. руб.

тыс. руб.

тыс. руб.

2010 год к 2009 году

2011 год к 2010 году

III. Капитал и резервы


Уставный капитал

1010

1010

1050

0,00

3,96

Добавочный капитал

14620

14620

14700

0,00

0,55

Резервный капитал

1150

1150

2200

0,00

91,30

Нераспределенная прибыль (непокрытый убыток)

2150

3770

3100

75,35

-17,77

Итого по разделу III

18930

20550

21050

8,56

2,43

IV. Долгосрочные обязательства


Займы и кредиты

0

0

0



Итого по разделу IV

0

0

0



V. Краткосрочные обязательства


Займы и кредиты

187970

188600

210800

0,34

11,77

Кредиторская задолженность

83300

92750

101900

11,34

9,87

поставщики и подрядчики

51330

54370

65650

5,92

20,75

задолженность перед персоналом организации

2270

6700

2100

195,15

-68,66

задолженность по налогам и сбор

1240

1880

1050

51,61

-44,15

прочие кредиторы

27080

27100

32050

0,07

18,27

Итого по разделу V

290070

281350

312700

-3,01

11,14

Баланс

309000

301900

333750

-2,30

10,55


Из таблицы 3 видно, что в 2010 году по отношению к 2009 году происходит сокращение величины капитала ООО «МеталлПрофиль+» на 2,30%. Такое сокращение общей величины капитала предприятия вызвано сокращением краткосрочных обязательств на 3,01%. Собственный капитал (раздел III Капитал и резервы) вырос при этом на 8,56%.

В 2011 году по отношению к 2010 году происходит увеличением величины капитала ООО «МеталлПрофиль+» на 10,55%. Рост капитала в 2011 году происходит за счет увеличения краткосрочных обязательств на 11,14% и собственного капитала на 2,43%.

Рассмотрим состав капитала ООО «МеталлПрофиль+» в 2009-2011 гг.

Рисунок 4. Состав капитала ООО «МеталлПрофиль+» в 2009-2011 гг., тыс. руб.

 На рисунке 4 видно, что в анализируемом периоде капитал ООО «МеталлПрофиль+» в большей степени сформирован за счет краткосрочных обязательств, что является негативным моментом.

Собственный капитал предприятия имеет незначительную величину на протяжении всего периода. Долгосрочные обязательства у ООО «МеталлПрофиль+» вообще отсутствуют.

Рост краткосрочных обязательств ООО «МеталлПрофиль+» в 2010 году вызван увеличением кредиторской задолженности на 11,34%. Величина краткосрочных кредитов и займов в 2010 году выросла только на 0,34%. В 2011 году краткосрочные обязательства увеличились за счет роста краткосрочных кредитов и займов на 11,77% и кредиторской задолженности - 9,87%.

Проведем анализ структуры капитала ООО «МеталлПрофиль+» за 2009-2011 гг. (рисунок 5)

Рисунок 5. Структура капитала ООО «МеталлПрофиль+» за 2009-2011 гг.

На рисунке 5 видно, что наибольший удельный вес в структуре капитала ООО «МеталлПрофиль+» занимают краткосрочные обязательства. Доля собственного капитала в 2009 и 2011 годах составляет практически одинаковое значение - чуть более 6%. Это очень маленькое значение удельного веса собственных финансовых ресурсов. То есть на долю заемного капитала приходится более 90% в структуре капитала ООО «МеталлПрофиль+». Превышение величины заемного капитала над собственным является показателем финансовой неустойчивости предприятия и его сильной зависимости от внешних кредиторов.

Следующим этапом целесообразно изучить структуру отдельных составляющих капитала предприятия. На рисунке 6 представим структуру собственного капитала ООО «МеталлПрофиль+».

Рисунок 6. Структура собственного капитала ООО «МеталлПрофиль+» за 2009-2011 гг., %

По данным рисунка 6 видно, что структура собственного капитала ООО «МеталлПрофиль+» является достаточно постоянной. Наибольший удельный вес в структуре собственного капитала предприятия занимает добавочный капитал. Его доля незначительно сокращается с 77,23% в 2009 году до 69,83% в 2011 году.  На втором месте по удельному весу в структуре собственного капитала находится нераспределенная прибыль. В 2010 году ее доля выросла с 11,36% до 18,35%, а в 2011 году сократилась до 14,73%. Это связано с динамикой изменения величины нераспределенной прибыли.

Таким образом, доля резервного капитала ООО «МеталлПрофиль+» увеличивается с 6,08% в 2009 году до 10,45% в 2011 году, что обусловлено ростом его величины. Доля уставного капитала является достаточно постоянной и составляет около 5%.Для выявления эффективности размещения и использования капитала в ООО «МеталлПрофиль+» проведем оценку движения капитала. (таблица 4)

Таблица 4 Оценка движения капитала ООО «МеталлПрофиль+» в 2009-2011 гг.

Показатели

2009 год

2010 год

2011 год

Поступление капитала, тыс. руб.

56675

47120

75442

Поступление собственного капитала, тыс. руб.

875

4520

942

Выбытие собственного капитала, тыс. руб.

345

2900

442

Поступление заемного капитала, тыс. руб.

55800

42600

74500

Выбытие заемного капитала, тыс. руб.

40790

51320

43150

Коэффициент поступления капитала

0,19

0,15

0,25

Коэффициент поступления собственного капитала

0,05

0,24

0,05

Коэффициент поступления заемного капитала

0,20

0,18

0,26

Коэффициент использования собственного капитала

0,02

0,15

0,02

Коэффициент выбытия заемного капитала

0,15

0,18

0,15


Из таблицы 4 видно, что коэффициент поступления всего капитала ООО «МеталлПрофиль+» показывает, какую часть средств от имеющихся на конец отчетного периода составляют новые источники финансирования. В 2009 году данный коэффициент составлял 0,19. Затем в 2010 году он сократился до 0,15, а в 2011 году вырос до 0,25. То есть новые источники финансирования от имеющихся на конец года составляли в 2009-2011 годах не более 25%. Коэффициент поступления собственного капитала ООО «МеталлПрофиль+» показывает, какую часть собственного капитала от имеющегося на конец отчетного периода составляют вновь поступившие в его счет средства.

Данный коэффициент в 2009 году составлял 0,05, затем вырос до 0,24, а в 2011 году опять сократился до 0,05. Единственным источником поступления собственного капитала является чистая прибыль предприятия.

Следовательно, этот коэффициент изменяется, так как изменяется величина чистой прибыли, направленной на развитие предприятия. Незначительная величина данного коэффициента связана с тем, что, несмотря на существенную величину чистой прибыли, ООО «МеталлПрофиль+» направляет небольшой ее объем на развитие предприятия.

3.2 Анализ инвестиционного портфеля ООО «МеталлПрофиль+»

В структуре инвестиционного портфеля ООО «МеталлПрофиль+» наибольшую долю составляют инвестиции в акции (40%). Вложения средств на приобретение ценных бумаг имеют наименьший удельный вес в инвестиционном портфеле организации и составляет всего лишь 3%

В структуре вложений средств наибольшую долю имеют вложения в депозитные (срочные) банковские вклады и в банковские векселя. Они составляют около 30% резервов. Средства, размещенные на текущих счетах банков, имеют удельный вес, равный 20%. Вложения средств в акции и облигации составляют 22% и 13 % соответственно. На другие вложения приходится около 5% средств резервов.

ООО «МеталлПрофиль+» планирует реализацию краткосрочного инвестиционного проекта строительства склада на 100кв.м.

Планируемая инвестиция в проект - 1.5 млн.руб. Полностью освоена за счет собственных средств. Ожидаемая чистая прибыль - 200 тыс.руб в месяц. Выход на полноценную эксплуатацию - июль 2014 года.

Строительство склада позволит ООО «МеталлПрофиль+» содержать свой товар, а не снимать в аренду помещение, что обеспечит клиентам большее удобство.

Определяем первоначальные денежные вложения с учетом налоговых отчислений по формуле:

IC = (1-Y)* C0,

где IC - чистые первоначальные вложения;

С0 - планируемая инвестиция;- ставка налога.

Для рассматриваемого проекта:= (1-0.24)*1 500 000= 1 140 000руб

Методы, используемые в анализе инвестиционных проектов, можно подразделить на 2 группы:

основанные на дисконтированных оценках;

основанные на учетных оценках.

Рассмотрим некоторые из этих методов.

Метод оценки чистого приведенного эффекта (NPV)

Этот метод основан на сопоставлении величины исходной инвестиции (IC) с общей суммой дисконтированных денежных поступлений, генерируемых ею в течении прогнозируемого срока. Поскольку приток денежных средств распределен во времени, он дисконтируется доходностью Н. Общая накопленная величина дисконтированных денежных доходов и чистый приведенный эффект (NPV) соответственно рассчитываются по формулам:

PV = Ck (1 + H) k

n - количество прогнозируемых периодов, лет.

Н - ставка дисконтирования

Ск - чистые денежные поступления в периоде k;

NPV = Ck - IC (1 + H)k

О степени эффективности вложения средств в данный проект говорит полученная величина NPV.

Очевидно, что если: > 0, то проект следует принять;< 0, то проект следует отвергнуть;= 0, то проект ни прибыльный, ни убыточный.

Необходимо отметить, что показатель NPV отражает прогнозную оценку изменения экономического потенциала инвестора в случае принятия рассматриваемого проекта.  Этот показатель аддитивен во временном аспекте, т.е. NPV различных проектов можно суммировать. Это очень важное свойство, выделяющее этот критерий из всех остальных и позволяющее использовать его в качестве основного критерия при анализе оптимальности инвестиционного портфеля.

Результат расчета чистого приведенного эффекта рассматриваемого проекта: = (1 200 000*0.893 + 9 000 000*0.797 + 9 000 000*0.712) - 1140 000 = 12 039 600 руб.

Как видно, проект имеет положительную величину NPV. Это говорит о том, что его принятие принесет прибыль.

Метод определения срока окупаемости инвестиций (РР).

Если доход распределен по годам равномерно, то срок окупаемости рассчитывается делением единовременных затрат на величину годового дохода. При получении дробного числа оно округляется в сторону увеличения до ближайшего целого.

Если прибыль распределена неравномерно, то срок окупаемости рассчитывается прямым подсчетом числа лет, в течение которых инвестиция будет погашена этим доходом.

В рассматриваемом случае доход распределен равномерно, поэтому:

РР = 1 140 000 / 200 000 = 6 месяцев

Показатель срока окупаемости инвестиций очень прост в расчетах, вместе с тем он имеет ряд недостатков, которые необходимо учитывать в анализе.

Существует ряд ситуаций, при которых применение метода, основанного на расчете срока окупаемости затрат, может быть целесообразным. В частности, это ситуация, когда руководство предприятия в большей степени озабочено решением проблемы ликвидности, а не прибыльности проекта - главное, чтобы инвестиции окупились как можно скорее.

Метод определения индекса доходности инвестиций.

Этот метод по сути является следствием метода чистого приведенного дохода (эффекта).

Индекс рентабельности (или индекс доходности) инвестиций рассчитывается по формуле:

PI = Ck : IC (1 + H) k

Очевидно, что если:> 1, то проект следует принять;< 1, то проект следует отвергнуть;= 1, то проект ни прибыльный, ни убыточный.= (1 200 000*0.893 + 9 000 000*0.797 + 9 000 000*0.712) /1140 000 = 21,31

В отличие от чистого приведенного эффекта индекс доходности инвестиций является относительным показателем. Он характеризует уровень доходов на единицу затрат, т.е. эффективность вложений - чем больше значение этого показателя, тем выше отдача с каждого рубля инвестированного в данный проект.

Метод расчета коэффициента эффективности инвестиций.

Этот метод имеет две характерные черты: он не предполагает дисконтирования показателей дохода; доход характеризуется показателем чистой прибыли Сср. Средняя величина инвестиции находится делением исходной суммы капитальных вложений на два:

ARR = Сср * 100%

Сср - среднегодовая прибыль

Сср рассчитывается путем деления суммы чистой прибыли за n лет на количество лет.

Сср = (1 200 000 + 2 400 000 + 2 400 000) : 3 = 2 000 000 руб= 2 000 000 : (0.5 * 3 420 000) * 100% = 117 %

Этот показатель сравнивается с коэффициентом рентабельности авансированного капитала.

Таким образом, по всем рассчитанным параметрам инвестиционный проект постройки склада ООО «МеталлПрофиль+» является положительным и принесет прибыль.

3.3 Предложения по оптимизации инвестирования в ООО «МеталлПрофиль+»

Принятие решений об инвестициях является наиболее сложной и важной задачей управления, в связи с чем возникает необходимость интеграции деятельности всех участников процесса управления инвестиционной деятельностью ООО «МеталлПрофиль+», которую возможно реализовать только через единую структуру управления инвестициями в рамках существующей организационной структуры управления.

Повышение инвестиционной деятельности ООО «МеталлПрофиль+» возможно через повышение эффективности реальных инвестиций, которая формируется на двух основных стадиях - обоснования или разработки инвестиционного проекта, и реализации проекта, но реально проявляется эффективность инвестиций только на стадии функционирования будущего проекта компании.

Многие проблемы формирования инвестиционного процесса обусловлены отсутствием четко разработанной системы принципов инвестиционной политики ООО «МеталлПрофиль+», которая бы способствовала формированию благоприятного инвестиционного климата в организации. Такая система призвана обеспечивать единство инвестиционного пространства на всей территории России, то есть обеспечивать свободное перемещение финансового капитала, инвестиционных товаров и строительных услуг. Она должна создавать единство условий экономического и правового регулирования инвестиционной деятельности, ее информационного обеспечения.

Сегодня эффективность инвестиционной деятельности ООО «МеталлПрофиль+» в значительной степени зависит от организации управления инвестиционной деятельностью в компании.

Повышение эффективности инвестиционной деятельности на стадии разработки инвестиционного проекта может быть достигнуто за счет сокращения срока проектирования; включение в проект прогрессивных форм реализации проекта; широкого применения там, где это возможно и целесообразно, таких типовых проектов, которые уже оправдали себя на практике, что позволит в значительной мере снизить затраты на проектирование, а также резко уменьшить риски; применение в проектах самых передовых технологий с учетом отечественных и зарубежных достижений; оснащения проектного отдела компании системами автоматизированного проектирования; повышения общего технического уровня проектирования. В рамках процесса совершенствования инвестиционной политики ООО «МеталлПрофиль+» регламент взаимодействия участников инвестиционного процесса должен формироваться на принципах сквозного планирования инвестиционных проектов. Ключевыми моментами такого подхода являются следующие:

инвестиционная программа определяется как набор инвестиционных проектов, принятых к реализации. Инвестиционные проекты принимаются к реализации в составе инвестиционной программы один раз вне зависимости от их длительности;

процесс постановки инвестиционной задачи должен быть отделен от процесса выбора ее оптимального решения, это позволит снизить инвестиционные риски и повысить эффективность инвестиционной деятельности;

мероприятия, которые невозможно или нецелесообразно выделять в отдельный инвестиционный проект необходимо объединять в интервальные инвестиционные проекты со сроком реализации на планируемый период.

Четкая регламентация и информационная поддержка процесса принятия решений при распределении инвестиционных ресурсов ООО «МеталлПрофиль+» позволит усилить целевой характер вложений и обеспечить эффективное финансирование тех проектов, которые направлены на достижение стратегических целей ООО «МеталлПрофиль+».

Для повышения качества работы по управлению инвестиционной политикой ООО «МеталлПрофиль+» необходимо автоматизировать процессы инвестиционной деятельности. Внедрение автоматизации способно решить ряд проблем, связанных с упрощением системы управления финансово-хозяйственной деятельностью предприятия в целом, а также с упрощением процесса управления инвестиционной деятельностью в частности.

В целях контроля и минимизации инвестиционных рисков ООО «МеталлПрофиль+» по каждому проекту должна разрабатываться карта рисков с описанием возможных геологических, производственных, финансово-экономических, правовых, земельно-имущественных и других факторов, способных негативно повлиять на эффективность инвестиционных вложений.

Таким образом, мониторинг реализуемых проектов необходимо осуществлять на всех этапах инвестиционного и эксплуатационного периодов до завершения срока их окупаемости. Осуществление намеченных мероприятий должно привести к улучшению инвестиционной политики ООО «МеталлПрофиль+».

ЗАКЛЮЧЕНИЕ

Основной задачей портфельного менеджера является поиск активов, из которых можно создать портфель с максимальной ожидаемой доходностью для данного допустимого уровня риска. Ожидаемая доходность и уровень риска определяются для каждого актива на основании анализа статистической информации и экономических прогнозов, то есть оценок вероятностей возможных будущих сценариев развития экономической ситуации.

Оценка портфельной теории должна основываться не только на степени адекватности исходных предположений, но и на успешности решения с ее помощью задач управления инвестициями. В последние десятилетия использование портфельной теории значительно расширилось. Все большее число инвестиционных менеджеров, управляющих инвестиционных фондов применяют ее методы на практике, и хотя у нее имеется немало противников, ее влияние постоянно растет не только в академических кругах, но и на практике, включая российскую.

Развитие экономики как в масштабах страны, региона или отдельного предприятия предполагает вложение средств, что подразумевает наличие физических или юридических лиц, готовых пойти на это с целью получения определенной выгоды. Одним из видов таких вложений является покупка различных видов ценных бумаг, объединенных в одну группу - портфель.

Данный вид работы с ценными бумагами требует от управляющего или инвестора постоянного контроля за состоянием финансового рынка, для анализа и выбора модели управления портфелем, но при этом обеспечивается безопасность вложений, стабильность получения дохода и ликвидность вложений.

Принятие решений инвестиционного характера, как и любой другой вид управленческой деятельности, основывается на использовании различных формализованных и неформализованных методов. Степень их сочетания определяется разными обстоятельствами, в том числе и тем, насколько менеджер знаком с имеющимся аппаратом, применимым в том или ином конкретном случае. В отечественной и зарубежной практике известен целый ряд формализованных методов, с помощью которых расчёты могут служить основой для принятия решений в области инвестиционной политики. Какого-то универсального метода, пригодного для всех случаев жизни, не существует. Вероятно, управление все же в большей степени является искусством, чем наукой. Тем не менее, имея некоторые оценки, полученные формализованными методами, пусть даже в известной степени условные, легче принимать окончательные решения.

Россия заинтересована в восстановлении, обновлении своего производственного потенциала, насыщении потребительского рынка высококачественными и недорогими товарами, в развитии и структурной перестройке своего экспортного потенциала, проведении антиимпортной политики, в привнесении в наше общество западной управленческой культуры.

Повышение эффективности инвестиционной деятельности на стадии разработки инвестиционного проекта может быть достигнуто за счет сокращения срока проектирования; включение в проект прогрессивных форм реализации проекта; широкого применения там, где это возможно и целесообразно, таких типовых проектов, которые уже оправдали себя на практике, что позволит в значительной мере снизить затраты на проектирование, а также резко уменьшить риски; применение в проектах самых передовых технологий с учетом отечественных и зарубежных достижений; оснащения проектного отдела компании системами автоматизированного проектирования; повышения общего технического уровня проектирования.

СПИСОК ИСПОЛЬЗОВАННЫХ ИСТОЧНИКОВ

1.Винокуров П.Л., Латышева В.К. Оценка эффективности инвестиционных проектов. М., 2012.-368с.

.Зеленова А.Ю. Иностранные инвестиции в Россию // «Эко». № 2. 2013.-14-16с.

.Зинченко В.И. Инвестиции: вопросы и ответы. - М.: ИЗД «Юриспруденция», 2011 -256 с.

.Камынина М.И., Павлова Б.А., Телесова А.П. Стратегическое планирование инвестиционной деятельности. Спб, 2010.-380с.

.Ившина, Л.Л. Инвестиции: учебное пособие / Л.Л. Игонина. - М.: ИНФРА-М, 2012 - 478 с.

.Илецкая А.А. Методические рекомендации по оценке эффективности инвестиционных проектов и их отбору для финансирования. М., 2011.-185с.

.Ковалев В.В. Методы оценки инвестиционных проектов. М., Финансы и статистика, 2012.-305с.

.Кистерева, Е.В. Инвестиционная политика предприятия./Е.В. Кистерева // Справочник экономиста. - 2013. - №4. с.14-16

.Колтынюк, Б.А. Инвестиции: Учебник./Б.А. Колтынюк - СПб.: Изд-во Михайлова В.А. 2011. - 425с.

. Кузнецов, Б.Т. Инвестиции: учеб. пособие для студентов вузов, обучающихся по направлению подготовки «Экономика»/ Б.Т. Кузнецов. - М.: ЮНИТИ-ДАНА, 2011 - 378с.

.Конторович, С.П. Управление инвестиционной привлекательностью предприятия. / С.П. Конторович // Вопросы экономики. - 2013. -№4. с. 31-36

. Липсиц И.В., Коссов В.В. Инвестиционный проект: методы подготовки и анализа. М., 2010.-335с.

. Мелкумов Я.С. Экономическая оценка эффективности инвестиций и финансирование инвестиционных проектов, - М.: ДИС, 2010.-307с.

. Маленко Е.А. Хазанова, В. Инвестиционная привлекательность и ее повышение /Е. Маленко, В. Хазанова // Top - Manager. - 2012. - №10. с.39-43

. Нешитой, А.С. Инвестиции: Учебник. - 5-е изд., перераб. и испр. - М.: «Дашков и Ко», 2011 - 374с.

. Нековалов Е.Г. Экономическая оценка инвестиций: Учебное пособие. - М.: «Дашков и Ко», 2012.-228с.

. Родинская, А.А. Принятие инвестиционных решений. / А.А. Ройзман // Практика международного бизнеса. - 2012. - №13. с.21-29

. Стоянова Е.С. Инвестиции. - М.: Перспектива, 2011.-412с.

. Хелферт Э.А. Инвестиции: Пер. англ. - М.: ЮНИТИ, 2010.-324с.

. Чепикова М.Н. Киселева Е.А. Инвестиции. М.: Перспектива, 2011.-495с.

. Шевелева У.С., Александер Г.С., Бейли Дж. Инвестиции // пер. с англ. - М.:ИНФРА-М, 2012.-485с.

Приложение 1

Рисунок 1. Инвестиционные свойства ценных бумаг портфеля

Приложение 2

Рисунок 1. Методы оптимизации инвестиционного портфеля

Похожие работы на - Развитие инвестиционного портфеля фирмы на примере ООО 'МеталлПрофиль+'

 

Не нашли материал для своей работы?
Поможем написать уникальную работу
Без плагиата!
Без нейросетей!