Пути совершенствования инвестиционной политики на предприятии 'Нижнекамскшина'

  • Вид работы:
    Курсовая работа (т)
  • Предмет:
    Финансы, деньги, кредит
  • Язык:
    Русский
    ,
    Формат файла:
    MS Word
    324,88 Кб
  • Опубликовано:
    2014-10-29
Вы можете узнать стоимость помощи в написании студенческой работы.
Помощь в написании работы, которую точно примут!

Пути совершенствования инвестиционной политики на предприятии 'Нижнекамскшина'

Содержание

Введение

. Теоретические аспекты инвестиционной политики корпорации

. Анализ инвестиционной политики на примере ОАО «Нижнекамскшина»

. Пути совершенствования инвестиционной политики на предприятии «Нижнекамскшина»

Заключение

Список использованных источников

Введение

В современных условиях для осуществления эффективной деятельности организаций особо актуальной является проблема мобилизации и эффективного использования инвестиций. Инвестиционная активность является составной частью деловой активности хозяйствующих субъектов, включающей также производственную, инновационную, рыночную, маркетинговую и иную активность [3, c.56].

Актуальность темы курсовой работы очевидна, так как существование и эффективная деятельность предприятия в современных условиях нереальна без хорошо налаженного управления его капиталом, то есть основными видами финансовых средств (инвестиционных ресурсов) в форме материальных и денежных средств, различных видов финансовых инструментов. Можно утверждать, что именно процесс инвестирования задает фирме ритм существования на период до начала реализации нового инвестиционного проекта.

Стимулирование инвестиционной деятельности, выработка четкой стратегии инвестирования, определения ее приоритетных направлений, мобилизация всех источников инвестиций является важнейшим условием устойчивого и качественного развития предприятий [10, c.185].

Фирма не может отказаться от инвестирования. Это противоречит ее жизненному циклу и не позволяет «удержаться на плаву» на фоне других фирм-конкурентов. Правомерно говорить даже о том, что отказ от инвестиций - это самый страшный риск, которому может подвергнуть себя фирма. Он во многом равносилен банкротству предприятия.

Реализация инвестиционного проекта позволяет фирме адаптироваться к макроэкономическим реалиям, к изменениям во внешней среде, предвосхищая их. Следовательно, инвестиции не могут рассматриваться как пассивный элемент экономического действия. Скорее, наоборот, они - активный элемент, позволяющий фирме не только адаптироваться, но и адаптировать внешнюю среду [5, c.94]. Инвестиционные решения в силу этого должны учитывать параметры не только внутренней среды организации, но и внешней. Таким образом, актуальность темы курсовой работы обусловлена особенной важностью инвестиционной политики в деятельности компании, так как ее результатом является наращивание или изменение продуктивного портфеля фирмы, что непосредственным образом влияет на ее конкурентную позицию на рынке.

Целью данной курсовой работы является исследование инвестиционной политики компании в современных условиях, рассмотрение основных проблем привлечения инвестиций на примере ОАО «Нижнекамскшина».

Исходя из поставленной цели в работе определены следующие задачи:

дать понятие инвестициям;

рассмотреть источники, объекты и субъекты инвестиций;

определить сущность инвестиционной политики предприятия ОАО «Нижнекамскшина»;

проанализировать инвестиционные ресурсы и стратегию инвестиционной политики компании ОАО «Нижнекамскшина».

Для решения поставленных задач применены следующие методы исследования:

изучение научной литературы;

анализ и обобщение показателей;

Методологической основой работы послужили научные труды ученых-экономистов по вопросам инвестиций и инвестиционной политики: Балабановой И.Т., Бочарова В.В., Богатина Ю.В., Виленского П.Л., Бланка Б.А., Липсица И.В., Лукасевича Г.Д., Сергеева А.А., Ковалева В.В., Когденко В.Г., Любушина Н.П., Савицкой Г.В. и др., а также материалы периодической печати.

Предметом исследования выступает процесс инвестиционной деятельности предприятия «Нижнекамскшина».

Объектом исследования является ОАО «Нижнекамскшина».

Курсовая работа состоит из введения, 3 глав, заключения, списка использованных источников, приложения. В работе 4 таблицы и 4 рисунка.

Так, в первой главе дается понятие инвестиций и инвестиционной политики организации, рассматриваются ее элементы, цели и принципы. Во второй главе проведен анализ инвестиционной деятельности на примере ОАО «Нижнекамскшина». В третьей главе представлены пути совершенствования инвестиционной политики в ОАО «Нижнекамскшина» и предложены способы совершенствования механизмов отбора инвестиционных проектов.

1. Теоретические аспекты инвестиционной политики корпорации

Инвестиции - совокупность долговременных затрат финансовых, трудовых и материальных ресурсов в целях увеличения активов и прибыли. Это понятие охватывает и реальные инвестиции (капитальные вложения), и финансовые (портфельные) инвестиции [6, c.138].

В законе РФ «Об инвестиционной деятельности в Российской Федерации, осуществляемой в форме капитальных вложений» от 25 февраля 1999 г. № 39-ФЗ дается следующее определение инвестициям: «…инвестиции - денежные средства, ценные бумаги, иное имущество, в том числе имущественные права, иные права, имеющие денежную оценку, вкладываемые в объекты предпринимательской и (или) иной деятельности в целях получения прибыли и (или достижения полезного эффекта») [2].

В качестве инвестиций могут выступать:

) денежные средства, целевые банковские вклады, паи, акции, облигации и другие ценные бумаги;

) движимое и недвижимое имущество (здания, сооружения, машины, оборудование и др.);

) объекты авторского права, лицензии, патенты, ноу-хау, программные продукты, технологии и другие интеллектуальные ценности;

) права пользования землей, природными ресурсами, а также любым другим имуществом [6, c.157].

С целью учета, анализа и планирование инвестиции классифицируются по разным признакам. Для потенциальных инвесторов классификация инвестиций связана с необходимостью разработки стратегии и тактики их поведения в инвестиционном процессе. Классификация определяет подходы к анализу и методам оценки инвестиций для принятия предыдущих управленческих решений относительно их реализации, а также степень ответственности за полученные результаты. Единого взгляда относительно классификации инвестиций в экономической литературе нет [4, c.129].

Экономическая сущность инвестиций с точки зрения фонда возмещения и восстановления представлена на рис. 1.1 [10, c.284].

Рисунок 1.1 - Валовые и чистые инвестиции

Выделяют такие виды реальных инвестиций:

) инвестиции восстановления, которые осуществляются за счет средств фонда возмещения предприятия;

) инвестиции расширения (чистые инвестиции - ЧИ), которые осуществляются за счет части национального дохода (НД) или за счет фонда чистого накопления;

) валовые инвестиции (ВИ) - как инвестиции восстановления, так и инвестиции расширения.

Динамика показателя "чистые инвестиции" отображает характер экономического развития на том или другом этапе. Возможны три такие ситуации:

) (∑ ЧИ < 0 ), т.е. отрицательная величина, а это означает, что валовые инвестиции меньшие (∑ВИ < ∑АО), чем амортизационные отчисления (∑АВ). Результатом этого являются снижения производственного потенциала и, как следствие, уменьшение объема продукции, которая выпускается (государство "проедает" свой капитал);

) (∑ЧИ = 0), (∑ВИ = ∑АО) - отсутствие экономического роста, производственный потенциал не изменяется (государство "топчется на месте");

) (∑ЧИ > 0), (∑ВИ > ∑АО) - экономика находится на стадии развития, так как обеспечивается расширенное воспроизведение ее производственного потенциала (государство с экономикой, которая развивается). Рост чистых инвестиций предопределяет увеличение доходов, при этом темпы роста доходов значительно превышают темпы роста чистых инвестиций [9, c.407].

Для учета, анализа и повышение эффективности инвестиций необходима их научно обоснованная классификация как на макро-, так и на микроуровне. Продуманная и в научном плане обоснованная классификация инвестиций дает возможность не только их грамотно учитывать, а и анализировать уровень их использования и на этой основе получать объективную информацию относительно разработки и реализации эффективной инвестиционной политики.

Рисунок 1.2 - Классификация инвестиций на предприятии

Приведенная выше (на рис.1.2) классификация инвестиций является наиболее пригодной для использования на предприятии. Преимущество этой классификации над другими заключается в том, что она дает настоящее представление о цели предприятия относительно инвестиций, и в сущности, эта классификация характеризует инвестиционный портфель предприятия Оптимизация портфеля с минимизацией риска и максимизацией получения экономической выгоды (увеличение капитала и дохода) является одной из важнейших проблем на предприятии.

Любые инвестиции связаны с инвестиционной деятельностью предприятия, которая представляет собой процесс обоснования и реализации наиболее эффективных форм вложений капитала, направленных на расширение экономического потенциала предприятия. Перед принятием решения о вложениях капитала фирме необходимо провести расчеты их экономической эффективности [11, c.213].

Экономическая эффективность - относительная величина, которую рассчитывают как отношение эффекта к понесенным затратам. В качестве эффекта может выступать рост прибыли, снижение себестоимости, рост производительности труда, повышение качества и др. Капиталовложения дают эффект не сразу, а лишь через определенные промежутки времени, т.е. тогда, когда будет достигнута запроектированная эффективность [10, c.87].

В качестве объектов инвестиций могут быть:

строящиеся, реконструируемые или расширяемые предприятия, здания, сооружения (основные фонды);

программы федерального, регионального или иного уровня;

производство новых изделий (услуг) на имеющихся производственных площадях [4, c.167].

Комплекс работ, выполняемых для обоснования эффективности инвестиций на предприятие, называется инвестиционным проектом. Инвестиционный проект для конкретного предприятия является системой организационно-правовых и расчетно-финансовых документов, содержащей программу действий, направленных на эффективное использование инвестиций.

Методы оценки эффективности инвестиционных проектов - это способы определения целесообразности долгосрочного вложения капитала в различные объекты с целью оценки перспектив их прибыльности и окупаемости.

В настоящее время общепризнанным методом оценки инвестиционных проектов является метод дисконтирования, т.е. приведение разновременных доходов и расходов, осуществляемых в рамках инвестиционного проекта к единому (базовому) моменту времени.

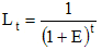
При оценке эффективности инвестиционных проектов соизмерение разновременных показателей осуществляется путем приведения (дисконтирования) их ценности к начальному варианту. Для приведения всех затрат и результатов используется коэффициент дисконтирования (то же самое, что и коэффициент приведения) Lt рассчитывается так:

 (1.1)

t - коэффициент приведения;- норма дисконта;- номер шага расчета (период времени, который определяется в годах, кварталах, месяцах) [5, c. 64].

Норма дисконта определяется равной норме дохода на капитал (процентная ставка, которая определяется Центральным Банком).

Для осуществления инвестиционной деятельности предприятия вырабатывают инвестиционную политику. Эта политика является частью стратегии развития предприятия и общей политики управления прибылью. Она заключается в выборе и реализации наиболее эффективных форм вложения капитала с целью расширения объема операционной деятельности и формирования инвестиционной прибыли.

Инвестиционная политика предприятия - это не только часть финансовой стратегии, но и важная часть производственно-коммерческой (сбытовой) и социальной стратегий предприятия. Это постоянный процесс управления инвестиционной деятельностью, направленный не только на выбор и реализацию наиболее эффективных форм различных инвестиций, но и на обеспечение возможности воспроизводства самого инвестиционного процесса [3, c.294].

Уровень развития инвестиционной политики организации зависит от особенностей инвестиционной политики государства, поэтому на ее формирование оказывают влияние факторы, сдерживающие инвестиционную активность российской экономики. К ним относятся:

относительно высокий уровень инфляции;

достаточно высокий уровень налогов;

неполное финансирование государственных инвестиционных программ;

недостаток собственных средств у организаций для обновления основного капитала и трудности в получении коммерческих кредитов из-за неустойчивого их финансового положения и высоких процентов ставок кредита;

высокий инвестиционный риск.

Инвестиционную политику предприятия классифицируют в зависимости от ее направленности. С этой точки зрения, выделяют инвестиционную политику, направленную на:

повышение эффективности;

модернизацию технологического оборудования, технологических процессов;

создание новых предприятий;

внедрение принципиально нового оборудования и выход на новые рынки сбыта [13].

Главная цель инвестиционной деятельности - это внедрение форм реальных и финансовых инвестиций. Основное внимание должно отводиться разработке стратегии инвестиций и мероприятиям по их реализации.

Содержание инвестиционной политики организации состоит в определении объема, структуры и направлений использования инвестиций для достижения полезного эффекта.

Для эффективного осуществления инвестиционной политики выделяют следующие основные элементы инвестиционной политики предприятия:

определение стратегической цели предприятия;

прогноз конъюнктуры рынка и определение приоритетов инвестиций;

анализ экономических результатов и инвестиционной деятельности предприятия;

планирование инвестиционной деятельности;

выбор между инвестиционными программами;

обеспечение ресурсами инвестиционной деятельности [11, c.173].

В конечном итоге инвестиционная политика преследует цель оптимизации различных экономических интересов в процессе формирования и использования финансовых, материальных и иных ресурсов предприятия.

В своей инвестиционной политике предприятие может выбирать различные ее виды:

Консервативная инвестиционная политика - вариант политики инвестиционной деятельности предприятия, приоритетной целью которой является минимизация уровня инвестиционного риска.

Компромиссная (умеренная) инвестиционная политика - вариант политики осуществления инвестиционной деятельности предприятия, направленной на выбор таких объектов инвестирования, по которым уровни прибыльности и риска в наибольшей степени приближены к среднерыночным.

Агрессивная инвестиционная политика - вариант политики осуществления инвестиционной деятельности предприятия, направленной на выбор таких объектов инвестирования, по которым уровни прибыльности и риска значительно выше среднерыночных.

Итак, инвестирование представляет собой один из наиболее важных аспектов деятельности любого динамично развивающегося предприятия.

В инвестиционной деятельности используются общепринятые, единые для всех участников инвестиционного процесса термины и понятия. Сущность инвестиционной политики различные экономисты трактует его по-разному, но главная идея одна: инвестиционная политика необходима для повышения производственного потенциала [17].

Основной целью инвестиционной политики предприятия является создание оптимальных условий для вложения собственных и заемных финансовых и иных ресурсов, обеспечивающих возрастание доходов на вложенный капитал, для расширения экономической деятельности предприятия, создания лучших условий для победы в конкурентной борьбе.

. Анализ инвестиционной политики на примере ОАО «Нижнекамскшина»

Открытое акционерное общество ОАО «Нижнекамскшина» - это крупнейшее российское предприятие шинной промышленности. Практически каждая третья шина, выпущенная в России, изготовлена в Нижнекамске. Предприятие было создано в 1971 году как базовое производство шин для гигантов отечественной автомобильной индустрии - ВАЗа и КАМАЗа, а также для удовлетворения потребностей вторичного рынка в шинах легкового, грузового и сельскохозяйственного ассортиментов [12].

Предприятие способно выпускать более 120 типоразмеров шин для любых условий эксплуатации. В акционерном обществе не прекращается техническое перевооружение производства шин, что позволяет расширить ассортимент и повысить качество выпускаемой продукции с высокими потребительскими свойствами. Одними из перспективных направлений деятельности заводов акционерного общества ОАО «Нижнекамскшина» являются освоение и развитие производства цельнометаллокордных шин.

Признание ОАО «Нижнекамскшина» отечественными и зарубежными потребителями подтверждается российскими и международными наградами за качество продукции. Действенность системы контроля качества подтверждена сертификатом соответствия системы качества Международному стандарту ИСО 9001:2000. В рейтинге мировых шинных компаний «Нижнекамскшина» занимает 20-е место среди 98 компаний.

ОАО «Нижнекамскшина» интегрировано в состав нефтехимического бизнес-направления ОАО «Татнефть» - ООО «Управляющая компания «Татнефть-Нефтехим», структура корпорации представлена в Приложении А.

ОАО "Татнефть" вошло в шинный бизнес 10 лет назад - в 2000 году, когда компания приобрела акции предприятия у Правительства Татарстана. Общий объем инвестиций ОАО «Татнефти» в развитие ОАО "Нижнекамскшина" составил около 30 млрд. рублей. Первым значимым проектом в этой программе стало производство высокоэффективных радиальных легковых шин под новым брендом "KАМА-EURO" [12].

К началу 2008 года объем производства на ОАО "Нижнекамскшина" по сравнению с 1999 годом вырос в полтора раза до 12,5 млн. шин в год. Несмотря на мировой кризис, доля продукции камского завода в общем объеме выпуска шин отечественными производителями выросла до 41%. Это произошло благодаря увеличению доли инновационной продукции на ОАО "Нижнекамскшина" в 2009 году до 36% в общем объеме производства.

Новым этапом инвестирования стал пуск в эксплуатацию в декабре 2009 года завода цельнометаллокордных шин. Этот проект можно назвать инновационным прорывом в рамках всей страны, так как подобное производство на территории России в полном объеме не реализовано ни одним из отечественных производителей автошин. Производительность труда здесь в 1,4 раза выше существующего производства на Заводе Грузовых Шин. Достигнуто это за счет высокой автоматизации основных этапов производства. В частности, процессы развески ингредиентов и резиносмешения полностью автоматизированы, на каждом этапе ее производства специальные аппараты проводят контроль качества. Шины проходят несколько этапов контроля качества - визуальный, рентген-контроль, проверка силовой неоднородности и геометрии шин. Таким образом, весь комплекс мер по внутризаводскому контролю качества позволяет вывести в продажу надежную и проверенную продукцию.

Финансовая деятельность исследуемого предприятия ОАО «Нижнекамскшина» направлена на расширение рынка сбыта продукции и получения выручки и прибыли, для обеспечения стабильного финансового состояния предприятия. Использование финансовых результатов основывается на расчете финансовых потребностей на планируемый год [16].

Финансовый анализ является существенным элементом финансового менеджмента и аудита в ОАО «Нижнекамскшина». Практически все пользователи финансовых отчетов предприятий используют методы финансового анализа для принятия решений по оптимизации своих интересов.

Методика финансового анализа нужна для обоснованного выбора делового партнера, определения степени финансовой устойчивости предприятия, оценки деловой активности и эффективности предпринимательской деятельности.

Отчетность предприятия ОАО «Нижнекамскшина» базируется на обобщении данных финансового учета и является информационным звеном, связывающим предприятие с обществом и деловыми партнерами - пользователями информации о деятельности предприятия.

Будучи структурным подразделением нефтехимического комплекса ОАО «Татнефть», ОАО «Нижнекамскшина» вовлекает большую часть валовых инвестиций комплекса, что видно из таблицы 2.1 [12].

Таблица 2.1 - Структура освоения инвестиций по предприятиям нефтехимического комплекса ОАО «Татнефть» за 2007-2009гг.

Наименование предприятия

2007 г.

2008 г.

2009 г.

ОАО «Нижнекамскшина»

62%

81%

71%

ОАО «Нижнекамсктехуглерод»

25%

9%

16%

ЗАО «Ярполимермаш-Татнефть»

11%

9%

11%

Прочие предприятия НКХ ОАО «Татнефть»

1%

1%

1%

 

Это объясняется тем, что ОАО «Нижнекамскшина» выступает основной производственной базой в технологической цепочке выпуска конечной продукции комплекса в виде производственных зданий и сооружений, основного технологического и вспомогательного оборудования, развитой инфраструктуры, расположенных на территории более 350 га.

Основными направлениями инвестирования средств являются: обеспечение выпуска конкурентоспособного ассортимента продукции с европейским уровнем качества (60%); внедрение современных экологически безопасных технологий (10%); внедрение материалосберегающих технологий (10%); замена изношенного оборудования (10%); автоматизация систем управления (7%) и пр. При этом, большая часть инвестиций направляется в активную часть основных производственных фондов (машины, оборудование, транспортные средства): начиная с 2005 г. - более 90% (таблица 2.2) [12].

Таблица 2.2 - Структура инвестиций в основной капитал ОАО «Нижнекамскшина» в динамике за 2007-2009 гг., %

Направление инвестирования

2007

2008

2009

Здания и сооружения

3%

3%

4%

90%

97%

96%

Прочее

7%

-

-


Инвестиционная программа на 2007 год при плане финансирования 276,3 млн. руб. (с НДС) фактически профинансирована на 272,1 млн. руб. (с НДС), выполнение плана составило 98,5%. При плане освоения 176,9 млн.руб., инвестиционная программа фактически освоена на 163,2 млн.руб. (без НДС), выполнение плана - 92,2% в том числе: производственное строительство - 58,5 млн. руб. (88,7% к плану); приобретение ОНВСС - 104,6 млн. руб. (94,3% к плану) (таблица 2.2).

В течение 2007 г. наибольшая доля инвестиций 98 млн.руб. (без НДС) (или 55,3% от общего объема освоения) направлена на реализацию проектов связанных с модернизацией и адресной заменой оборудования действующего производства, а также, связанных с оптимизацией затрат по услугам промышленного характера. В том числе, наибольший объект инвестирования «Резиносмеситель F-620» (ЗГШ), реализация которого начата в 2005 г. Освоение инвестиций за 2007 г. составило 52,2 млн. руб. (без НДС).

Выполнение инвестиционной программы ОАО «Нижнеамскшина» за 2009г. по направлениям инвестиций представлено в таблице 2.3 [12].

Таблица 2.3 - Анализ выполнения инвестиционной программы ОАО «Нижнекамскшина» за 2009 г. млн. руб.

Инвестиции по направлениям деятельности

Финансирование

Освоение инвестиций


план

факт

откл. +/-

план

факт

откл. +/-




сумма

%



сумма

%

 Получение экономического эффекта (за счет снижения затрат)

523,6

355,4

168,2

-32

606,1

223,9

-382,2

-63

в т.ч. "Программа развития шинного производства ЗМШ"

479,2

324,2

-155

-32

568,8

186,8

-382

-67

По требованиям органов надзора

43,6

13,6

-30

-69

35,2

23

-12,2

-35

Охрана экологии и окружающей среды

7,1

7,5

0,4

6

5,6

5,6

0

0

Автоматизированные системы управления

32,1

2,2

-29,9

-93

26,6

21,3

-5,3

-20

Обновление основных производственных фондов - замена изношенного оборудования

27,1

-41,6

-61

59,3

29,7

-29,6

-50

Всего

700

409,7

-290,3

-41

754,5

324,2

-430,3

-57


Инвестиционная программа на 2009 год запланирована в сумме 754,5 млн. руб. в том числе на: производственное строительство - 688,1 млн. руб.; приобретение ОНВСС - 53,4 млн. руб., непроизводственные капитальные вложения - 11,3 млн. руб., приобретение земельных участков - 0,2 млн. руб., приобретение активов - 0,8 млн. руб., резерв - 0,8 млн. руб.

Далее для наглядности представим инвестиционную деятельность ОАО «Нижнекамскшина» в динамике за 2007-2009г.г. на рисунке 2.3 [14].

Рисунок 2.3 - Динамика финансирования и освоения инвестиций

Основная проблема инвестиционной деятельности предприятия связана с дефицитом источников освоения инвестиций и недостатком реальных денежных средств на их финансирование. Фактически инвестиционные программы формируются не на количество инвестиционных проектов, а под имеющийся источник инвестиций.

Структура источников инвестиций по годам различна, но всегда львиная доля - это амортизационные отчисления предприятий комплекса. На реконструкцию действующих производств в основном направляются собственные источники инвестиций предприятий. Реализация крупных инвестиционных проектов, связанных с организацией новых производств на основе современных зарубежных технологий осуществляется при непосредственном участии и с привлечением средств ОАО «Татнефть».

Итак, инвестиционная деятельность ОАО «Нижнекамскшина» направлена на улучшение действующего производства и освоение новых производств конкурентоспособных шин с целью обеспечения потребности существующих на территории Российской Федерации и Республики Татарстан автосборочных производств и вторичного рынка шин.

Инвестиционная политика ОАО «Нижнекамскшина» включает набор объектов инвестирования, связанных с последовательным и комплексным развитием предприятия в соответствии с выбранной стратегией.

Однако анализ существующей системы управления позволил вывить, возникающие в ходе ее функционирования основные проблемы: дефицит денежных средств предприятия и, как следствие, остаточный принцип формирования источников финансирования капитальных вложений; предприятия, лимитированных, как правило, величиной амортизационных отчислений. Это приводит к необходимости корректировки программ модернизации и недостаточно эффективному вложению средств.

Для данного предприятия, как и для многих других российских компаний, современный финансовый кризис оказался серьезным испытанием, но одновременно выявил недостатки в финансово-хозяйственной деятельности и заставил мобилизовать усилия для их решения.

В настоящее время для расширения масштабов деятельности в ОАО «Нижнекамскшина» осуществляется инвестиционный проект по производству цельнометаллокордных шин.

Цель проекта - создание производства цельнометаллокордных шин для удовлетворения потребностей внутреннего рынка страны, снижения импорта цельнометаллокордных шин и продвижения их на зарубежный рынок. Организация производства цельнометаллокордных шин на современном оборудовании с использованием новой технологии позволит обеспечить спрос на данную продукцию.

Планируемый объем выпуска шин - 1,2 млн. штук в год на проектных производственных мощностях.

Начало организации производства по проекту - 2007год, начало выпуска продукции - конец 2010 год; выход на проектную мощность- 2011 год.

Необходимые инвестиции по этапам планирования:

год - 2 млрд. рублей;

год - 6 млрд. рублей;

год - 4 млрд. рублей;

год - 3,4 млрд. рублей;

год - 1,6 млрд. рублей;

Общая стоимость проекта - 17 млрд. руб., затраты на приобретение оборудование составят 7млрд. руб. К концу 2009года на предприятии уже освоены капитальные вложения в размере 12 млрд. рублей. Организация производства цельнометаллокордных шин планируется на свободных площадях завода грузовых шин ОАО «Нижнекамскшина».

Ожидаемый результат от реализации проекта:

экономический эффект: замена шин, не пользующихся спросом, шинами, удовлетворяющими требованиям потребителей, рост потребительского спроса;

научно-технический эффект: замена шин устаревшей конструкции шинами с высокими техническими характеристиками - повышенной износостойкостью, многократной ремонтопригодностью и топливной экономичностью автотранспорта;

социальный эффект: создание 900 дополнительных рабочих мест на самом производстве и еще 700 рабочих мест в смежных отраслях;

бюджетный эффект: с переходом на перспективные модели ожидается рост прибыли и увеличение сумм налогов в бюджеты всех уровней;

экологический эффект: защита и охрана окружающей среды с внедрением ресурсосберегающих технологий [15].

Максимальное увеличение продаж на рынке комплектации - конечная цель маркетинговой стратегии предприятия, что становится вполне реальным и достижимым в рамках принятой государством программы развития автомобильной промышленности.

Принципиальным условием эффективности проекта является положение о том, что внутренняя норма рентабельности должна быть не меньше принятой процентной ставки по долгосрочным кредитам.

Источники финансирования инвестиционного проекта по производству ЦКМ-шин в ОАО «Нижнекамскшина» указаны в таблице 2.4 [12].

Таблица 2.4 - Источники финансирования инвестиционного проекта по производству ЦКМ-шин в ОАО «Нижнекамскшина», млн.руб.

 Наименование показателей

Всего

2007 год

2008 год

2009год

Собственные средства

3500,0

1400,0

1100,0

1000,0

Возвратные, платные средства ,в т.ч. :

13500,0

5400,0

4580,0

3520,0

Кредит из бюджета развития РФ

3000,0

1200,0

1040,0

760,0

Кредит из бюджета развития РТ

3000,0

1200,0

760,0

Инвестиционный кредит ОАО «Татнефть»

7500,0

3000,0

2500,0

2000,0

Всего финансовых средств на проект

17000,0

6800,0

5680,0

4520,0


Начало выплаты процентов с погашением долга - четвертый год реализации проекта. Срок погашения задолженности по кредитам - 4 года. Общий срок кредитования - 6 лет. Методика расчета показателей экономической эффективности инвестиционного проекта, основанных на дисконтировании была рассмотрена в теоретической части дипломной работы (раздел 1.3).

Здесь рассчитаем эти показатели для инвестиционного проекта по производству ЦМК-шин в ОАО «Нижнекамскшина», исходя из того, что ожидаемые денежные поступления от проекта составляют 2000млн руб. в год.; прирост прибыли ожидается в размере 850 млн.руб.

Рассчитаем показатель чистой текущей стоимости проекта (NPV) по годам до того момента пока значение показателя не станет положительным, т.е. до года, когда проект начнет окупаться:

Расчёт производим при r = 10 %.= - 6109,0 млн.руб.; NPV2008 = -1108,7 млн.руб.;= -15210,0 млн.руб.; NPV2010 = -14667,0 млн.руб.;= -12183,0 млн.руб.; NPV2012 = -9480,6 млн.руб.;= -6707,1млн.руб.; NPV2014= -3398,7 млн.руб.;= 156,8 млн.руб.

Таким образом, проект начнёт окупаться только через девять лет.

Рассчитаем простой срок окупаемости проекта РI по формуле (2.1):

РI=IC/CF, (2.1)

где IC-первоначальные инвестиции, млн.руб.,среднегодовая сумма денежных поступлений от реализации инвестиционного проекта.

РI=17000/ 2000=8,5 (лет),

т.е. простой срок окупаемости проекта составляет 8,5 лет.

Далее определим бухгалтерскую рентабельность инвестиций (индекс доходности) ROI по формуле (2.2):

= П/ IC , (2.2)

где П - предполагаемая среднегодовая величина прибыли.=850/17000=0,15;

т.е. рентабельность инвестирования в данный проект составит 15%.

Необходимо учесть, что рентабельность инвестиций не может отразить реальной доходности инвестирования, т.к. данный проект носит долгосрочный характер, поэтому прогнозы доходов и затрат являются очень приблизительными, особенно в условиях нестабильной экономики.

Проведенные показатели выступают в роли необходимых критериев, на основе которых участники проекта могут оценить инвестиционную привлекательность вложений в производство ЦМК-шин в ОАО «Нижнекамскшина». На рисунке 2.4 в графическом виде показаны основные характеристики проекта [12].

Рисунок 2.4 - Финансовый профиль инвестиционного проекта по производству ЦМК-шин в ОАО «Нижнекамскшина»

Таким образом, проект соответствует, во-первых, стратегии развития компании, во-вторых - ее технической политике, требованиям в области промышленной безопасности и экологии, и, в-третьих, проект соответствует главным требованиям к показателям инвестиционной привлекательности: NPV > 0, IRR - не меньше 12%, рассчитанных по ставке дисконтирования 10%. Исходя из этих показателей Совет директоров УК «Татнефть-Нефтехим» принял правильное решение об экономической целесообразности размещения нового завода по производству цельнометаллокордных шин (ЦМК-шин) мощностью 1,2 миллиона штук в год на территории ОАО «Нижнекамскшина».

. Пути совершенствования инвестиционной политики на предприятии «Нижнекамскшина»

Отрицательная динамика основных макроэкономических показателей, низкие темпы научно-технического прогресса, частые колебания конъюнктуры инвестиционного рынка, непостоянство государственной инвестиционной политики и форм регулирования инвестиционной деятельности не позволяют сегодня эффективно управлять инвестициями на отечественных предприятиях на основе лишь ранее накопленного опыта и традиционных методов [3, c.248].

Многие проблемы формирования инвестиционного процесса обусловлены отсутствием четко разработанной системы принципов инвестиционной политики, которая бы способствовала формированию благоприятного инвестиционного климата в России. Такая система призвана обеспечивать единство инвестиционного пространства на всей территории России, то есть обеспечивать свободное перемещение финансового капитала, инвестиционных товаров и строительных услуг. Она должна создавать единство условий экономического и правового регулирования инвестиционной деятельности, ее информационного обеспечения.

Сегодня эффективность инвестиционной деятельности промышленного предприятия в значительной степени зависит от организации управления инвестиционной деятельностью в компании. Принятие решений об инвестициях является наиболее сложной и важной задачей управления, в связи с чем возникает необходимость интеграции деятельности всех участников процесса управления инвестиционной деятельностью компании, которую возможно реализовать только через единую структуру управления инвестициями в рамках существующей организационной структуры управления [15].

Повышение инвестиционной деятельности компании возможно через повышение эффективности реальных инвестиций, которая формируется на двух основных стадиях - обоснования или разработки инвестиционного проекта, и реализации проекта, но реально проявляется эффективность инвестиций только на стадии функционирования будущего проекта компании.

Повышение эффективности инвестиционной деятельности на стадии разработки инвестиционного проекта может быть достигнуто за счет:

сокращения срока проектирования;

включение в проект прогрессивных форм реализации проекта;

широкого применения там, где это возможно и целесообразно, таких типовых проектов, которые уже оправдали себя на практике, что позволит в значительной мере снизить затраты на проектирование;

а также резко уменьшить риски;

применение в проектах самых передовых технологий с учетом отечественных и зарубежных достижений;

повышения общего технического уровня проектирования [11, c.136].

В ОАО «Нижнекамскшина», как одной из крупнейших компаний шинной отрасли, давно назрела необходимость в построении качественной системы управления инвестиционной деятельностью. Структурировать и оптимизировать процесс управления позволяет система бюджетирования. При этом основной акцент, как мы считаем, необходимо сделать на том, что система бюджетирования должна строиться по проектному принципу, т. е управление инвестиционной деятельностью ОАО «Нижнекамскшина», должно быть построено на четком регламенте и корпоративном документообороте, только при этом может быть обеспечена эффективность управления.

Для проведения данных процедур на предприятии создан Инвестиционный комитет совместно c Управлением инвестициями УК ОАО «Татнефть». Управление инвестиционными проектами основывается на обеспечении стандарта процедур рассмотрения, экспертизы, системы оценки рисков и принятия решений [12].

Каждый инвестиционный проект должен проходить индивидуальную процедуру технического, геологического, экономического обоснования с экспертным заключением специалистов компании о производственной целесообразности и инвестиционной привлекательности.

В рамках процесса совершенствования инвестиционной политики регламент взаимодействия участников инвестиционного процесса должен формироваться на принципах сквозного планирования инвестиционных проектов.

Ключевыми моментами такого подхода являются следующие:

инвестиционная программа определяется как набор инвестиционных проектов, принятых к реализации. Инвестиционные проекты принимаются к реализации в составе инвестиционной программы один раз вне зависимости от их длительности;

процесс постановки инвестиционной задачи должен быть отделен от процесса выбора ее оптимального решения, это позволит снизить инвестиционные риски и повысить эффективность инвестиционной деятельности;

мероприятия, которые невозможно или нецелесообразно выделять в отдельный инвестиционный проект необходимо объединять в интервальные инвестиционные проекты со сроком реализации на планируемый период [5, c.55].

Необходимо разработать и использовать метод постинвестиционного мониторинга эффектов по инвестиционным проектам, внедрить современные информационные технологии проектного управления, провести обучение и сертификацию персонала финансово-инвестиционных служб ОАО «Нижнекамскшина» по международным стандартам управления проектами.

Четкая регламентация и информационная поддержка процесса принятия решений при распределении инвестиционных ресурсов позволит усилить целевой характер вложений и обеспечить эффективное финансирование тех проектов, которые направлены на достижение стратегических целей компании.

Для повышения качества работы по управлению инвестиционной политикой необходимо автоматизировать процессы инвестиционной деятельности. Внедрение автоматизации способно решить ряд проблем, связанных с упрощением системы управления финансово-хозяйственной деятельностью предприятия в целом, а также с упрощением процесса управления инвестиционной деятельностью в частности.

В целях контроля и минимизации инвестиционных рисков, по каждому проекту нужно разрабатывать карту рисков с описанием возможных геологических, производственных, финансово-экономических, правовых, земельно-имущественных и других факторов, способных негативно повлиять на эффективность инвестиционных вложений [.

Мониторинг реализуемых проектов необходимо осуществлять на всех этапах инвестиционного и эксплуатационного периодов до завершения срока их окупаемости.

Таким образом, подводя итог рассмотрению проблемы совершенствования управления инвестиционной политикой, можно отметить, что в системе управления реальными инвестициями отбор эффективных инвестиционных проектов представляет собой один из наиболее ответственных этапов.

Решения о выборе проектов и структуре распределения средств принимаются на основании приоритетов, установленных инвестиционной политикой на текущий период.

Применение действующих методов оценки эффективности инвестиционных проектов (простых и дисконтированных) всегда связано с рядом допущений, однако на практике эти предположения часто не выполняются. В связи с этим необходим поиск альтернативных методов, позволяющих в той или иной степени решать выявленные проблемы [4, c.62].

Осуществление предложенных мероприятий может привести к улучшению инвестиционной политики на анализируемом предприятии «Нижнекамскшина».

Заключение

Теоретические и методологические исследования в области инвестиционной привлекательности предприятия, а также их изучение на примере конкретного предприятия ОАО «Нижнекамскшина», позволили сделать ряд следующих выводов.

Улучшение инвестиционного климата является приоритетной задачей, осуществить которую можно, лишь грамотно управляя процессом повышения инвестиционной привлекательности всех сегментов инвестиционного рынка и, прежде всего, предприятий.

Для всех предприятий, но особенно тех, что относительно благополучны и вполне успешно решают проблему развития собственного производства, весьма острой остается проблема дефицита собственных инвестиционных средств. Проблема нехватки ресурсов решается при помощи заемного финансирования: единовременного кредита, синдицированного кредита, облигационного займа, выпуска векселей [7, c.394].

Основной целью повышения инвестиционной политики предприятия является создание оптимальных условий для вложения собственных и заемных финансовых и иных ресурсов, обеспечивающих возрастание доходов на вложенный капитал, для расширения экономической деятельности предприятия, создания лучших условий для победы в конкурентной борьбе.

В работе была проанализирована инвестиционная политика крупного российского предприятия шинной промышленности - Открытого акционерного общества «Нижнекамскшина».

Инвестиционная деятельность ОАО «Нижнекамскшина» направлена на улучшение действующего производства и освоение новых производств конкурентоспособных шин с целью обеспечения потребности существующих на территории Российской Федерации и Республики Татарстан автосборочных производств и вторичного рынка шин [12].

Однако анализ существующей системы управления инвестициями позволил вывить, возникающие в ходе ее функционирования основные проблемы: дефицит денежных средств предприятия и, как следствие, остаточный принцип формирования источников финансирования капитальных вложений; предприятия, лимитированных, как правило, величиной амортизационных отчислений. Это приводит к необходимости корректировки программ модернизации и недостаточно эффективному вложению средств.

Для ОАО «Нижнекамскшина», как и для многих других российских компаний, современный финансовый кризис оказался серьезным испытанием, но одновременно выявил недостатки в финансово-хозяйственной деятельности и заставил мобилизовать усилия для их решения. В настоящее время для расширения масштабов деятельности в ОАО «Нижнекамскшина» осуществляется инвестиционный проект по производству цельнометаллокордных шин.

В ОАО «Нижнекамскшина», как одной из крупнейших компаний шинной отрасли, давно назрела необходимость в построении качественной системы управления инвестиционной деятельностью.

Исходя из этого, были разработаны предложения по повышению инвестиционной привлекательности и совершенствованию механизма отбора инвестиционных проектов для внедрения в ОАО «Нижнекамскшина». Использование предложенного алгоритма позволит обеспечить отбор эффективных инвестиционных проектов с учетом рисков и дать объективную оценку инвестиционного потенциала предприятия.

инвестиция политика финансирование

Список использованных источников

1. Гражданский кодекс РФ. Часть первая / Федеральный закон РФ от 30 ноября 1994 г. №51 - ФЗ (с последними изменениями и дополнениями) // Собрание законодательства Российской Федерации. - 1994. - №31. - Ст.3301.

. Федеральный закон «Об инвестиционной деятельности в Россий­ской Федерации, осуществляемой в форме капитальных вложений» от 25.02.1999 № 39-ФЗ // Собрание законодательс­тва Российской Федерации. - 1999. - №9. - Ст. 1096.

. Аскинадзи, В.М., Максимова В.Ф., Петров В.С. Инвестиционное дело: Учебник. - М.: Маркет ДС, 2010. - 560с.

. Бочаров, В.В. Инвестиции: Учебник. - СПб.: Питер. -2009. -384с.

. Виленский, П.Л., Лившиц, В. Н., Смоляк, С.А. Оценка эффективности инвестиционных проектов: Теория и практика: Учеб. пособие. 2-е изд., перераб. и доп. - М.: Дело.- 2008. - 220 с.

. Инвестиции: Учебник / Г.П. Подшиваленко. - М.: КНОРУС, 2010. - 496с.

. Финансы, денежное обращение и кредит: учебник / Под ред. М.В. Романовского, О.В. Врублевской.- М.: Юрайт-Издат., 2009.- 543с.

. Финансы: Учебник / под ред. Г.Б. Поляк.- 3-е изд., перераб. и доп. - М.: ЮНИТИ-ДАНА, 2008.- 703с.

. Шарп, У., Александер, Г., Бэйли, Дж. Инвестиции: Перевод с англ. - М.: ИНФРА-М, 2009. - 1028с.

. Экономическая оценка инвестиций: Учебник / Т.У. Турманидзе. - М.: ЗАО «Издательство «Экономика», 2009.- 342с.

. Янковский, К., Мухарь, И. Организация инвестиционной и инновационной деятельности. - С-Пб.: ПИТЕР, 2008. - 353 с.

Приложение А

Рисунок А.1 - Структура ОАО «Нижнекамскшина»

Похожие работы на - Пути совершенствования инвестиционной политики на предприятии 'Нижнекамскшина'

 

Не нашли материал для своей работы?
Поможем написать уникальную работу
Без плагиата!
Без нейросетей!