Анализ эффективности инвестиционной и инновационной деятельности предприятия

  • Вид работы:
    Контрольная работа
  • Предмет:
    Эктеория
  • Язык:
    Русский
    ,
    Формат файла:
    MS Word
    121,29 Кб
  • Опубликовано:
    2014-12-25
Вы можете узнать стоимость помощи в написании студенческой работы.
Помощь в написании работы, которую точно примут!

Анализ эффективности инвестиционной и инновационной деятельности предприятия

Содержание

Введение

. Теоретическая часть: Анализ эффективности инвестиционной и инновационной деятельности предприятия

.1 Сущность, понятие и виды инвестиционной деятельности предприятия

.2 Инновационная деятельность: понятие, классификация, функции

.3 Анализ эффективности инвестиционной и инновационной деятельности

. Практическая часть: Задача

Заключение

Список использованной литературы

Введение

В условиях рыночной экономики возможностей для инвестирования довольно много. Однако весьма существен фактор риска. Инвестиционная деятельность всегда осуществляется в условиях неопределенности, степень которой может значительно варьировать. Так, в момент приобретения новых основных фондов никогда нельзя точно предсказать экономический эффект этой операции. Поэтому нередко решения принимаются на интуитивной основе.

Активизация инновационной деятельности является важнейшей предпосылкой использования научно-технического потенциала, роста конкурентоспособности промышленной продукции, выхода из экономического кризиса, повышения уровня жизни населения. На развитие инновационных процессов, влияют различные группы факторов: экономические, технологические, политические, правовые, социально-психологические и организационно-управленческие.

Исходя из этого, можно сделать вывод, что данную тему контрольной работы можно считать актуальной.

Объектом исследования данной работы является инновационная и инвестиционная деятельность предприятия.

Целью написания данной контрольной работы является анализ показателей эффективности инновационной и инвестиционной деятельности.

Для достижения поставленной цели необходимо решение следующих  задач:

Рассмотреть теоретические аспекты инвестиционной и инновационной деятельности, а именно, раскрыть ее понятие, сущность, значение, функции и источники формирования;

Проанализировать формирование и динамику инвестиционной и инновационной деятельности на основе показателей.

Осуществить решение задачи в практической части.

Теоретическая часть: Анализ эффективности инвестиционной и инновационной деятельности предприятия

.1 Сущность, понятие и виды инвестиционной деятельности предприятия

Под инвестициями понимают долгосрочное вложение капитала в отрасли экономики. Под инвестиционной деятельностью понимают совокупность практических действий граждан, юридических лиц и государства, направленных на расширенное воспроизводство основного и оборотного капитала с целью удовлетворения потребностей общества на основе привлечения и вложение всех видов имущественных и интеллектуальных ценностей в хозяйственные, коммерческие, научные, культурные, благотворительные и любые иные предприятия и проекты, цели которых не противоречат законодательству Российской Федерации.

Инвестиционный цикл - комплекс мероприятий от момента принятия решения об инвестировании до завершающей стадии инвестиционного проекта, в частности, например, научно-исследовательские и опытно-конструкторские работы, принятие инвестиционных решений, планирование и проектирование, подготовка к строительству, строительство, выход на проектные показатели и режим окупаемости вложений.

Инвестиционный цикл состоит из трех основных периодов:

прединвестиционная фаза;

фаза инвестиций - собственно затраты, вложения средств;

эксплутационная фаза - возмещение затраченных средств.

Источником прироста капитала и движущим мотивом осуществления инвестиций является получаемая от них прибыль. Эти два процесса - вложение капитала и получение прибыли - могут происходить в различной временной последовательности. При последовательном протекании этих процессов прибыль получается сразу же после завершения инвестиций в полном объеме. При параллельном их протекании, получение прибыли возможно еще до полного завершения процесса. При интервальном протекании этих процессов между периодом завершения инвестиций и получения прибыли проходит определенное время, продолжительность которого зависит от особенностей конкретного инвестиционного проекта.

В ряде определений отмечается, что инвестиции представляют собой долгосрочные вложения денежных средств. Безусловно, отдельные формы инвестиций (в первую очередь, капитальные вложения) носят долгосрочный характер, однако инвестиции могут быть и краткосрочными (например, кратко- срочные финансовые вложения в акции, сберегательные сертификаты и т.п.).

Приведем наиболее распространенную его классификацию (таблица 1).

Таблица 1 - Классификация инвестиций

1

По объекту вложений

финансовые инвестиции - приобретение корпоративных прав, ценных бумаг и др.



реальные инвестиции - вложение средств в реальные активы

2

По характеру участия в инвестировании

прямые инвестиции - непосредственное вложение средств инвестором в объекты инвестирования



непрямые инвестиции - инвестирование, опосредованное другими лицами (посредниками)

3

По периоду инвестирования

краткосрочные инвестиции - вложение капитала на период, не более одного года



долгосрочные инвестиции - вложение капитала на период более одного года

4

По региональному признаку

внутренние инвестиции - вложение средств в объекты инвестирования, расположенные в границах данной страны



инвестиции за границей - вложение средств в объекты инвестирования, расположенные за пределами данной страны

5

По форме собственности

частные - вложения средств, осуществляемые гражданами, а также предприятиями негосударственных форм собственности



государственные - вложения, осуществляемые центральными и местными органами власти и управления за счет средств бюджетов, внебюджетных фондов, а также государственными предприятиями за счет собственных и заемных средств



иностранные - вложения, осуществляемые иностранными гражданами, юридическими лицами и государствами



совместные - вложения, осуществляемые лицами данной страны и иностранных государств


Главной особенностью инвестиционных проектов предприятия является то, что они практически не создают какого-то принципиально нового продукта, продажа которого могла бы принести предприятию повышенные доходы и прибыль.

Многие инвестиционные проекты не дают прямого экономического эффекта, однако опосредованный эффект может быть (в случае успешной деятельности маркетинговой службы) довольно значительным. При высокой стоимости большинства инвестиционных проектов происходит замена технологического оборудования без кардинального снижения себестоимости продукции.

Внедрение новых технологических линий позволит значительно повысить качество продукции, ее рыночную привлекательность за счет новых видов упаковки и, тем самым, создаст больше гарантий для сбыта продукции. Не меньший парадокс возникает при внедрении на предприятии современной корпоративной информационной системы (КИС): налицо отсутствие прямого экономического эффекта, однако опосредованный эффект будет очень высоким, но, естественно, только при строгом соблюдении определенной последовательности и комплексности проведения работ в целом. При этом следует иметь в виду, что стоимость всех вышеуказанных проектов очень высока и измеряется в совокупностях миллионами долларов США.

Субъект инвестиций - организация, использующая инвестиции для развития своего производства, внедрения и выпуска новой продукции или иных аналогичных целей.

Под объектами инвестиций понимают:

строящиеся, реконструируемые или расширяемые предприятия, здания, сооружения, предназначенные для производства новых товаров и услуг;

комплексы строящихся и реконструируемых объектов, ориентированных на решение одной задачи (программы); в этом случае под объектом инвестирования понимается программа федерального, регионального или иного уровня;

производство новых изделий, услуг на имеющихся производственных площадях в рамках действующих производств и организаций.

Основными субъектами инвестиционной деятельности являются инвесторы, заказчики, исполнители работ и пользователи объектов.

Инвестором является субъект, осуществляющий вложения собственных, заемных или привлеченных средств, обеспечивающий их целевое использование. Заказчик - это субъект, непосредственно реализующий проект, осуществляющий для этого все необходимые действия в пределах прав, предоставленных инвестором. Функции заказчика может выполнять непосредственно инвестор.

Пользователями объектов инвестиций могут выступать любые юридические и физические лица, а также государственные и муниципальные предприятия, для которых создается объект инвестиционной деятельности и право пользования которым закреплено в договоре с инвестором. Инвестиционный договор определяет взаимоотношения собственников или владельцев средств, вкладываемых в объекты предпринимательской деятельности, их взаимодействие в процессе реализации инвестиционного проекта, а также в распределении доходов от последующего полезного использования инвестиционного проекта.

Инвестор обладает правом самостоятельно определять объемы, характер инвестиций, контролировать их целевое использование, владеть, пользоваться и распоряжаться результатами реализации инвестиционного проекта.

Источниками инвестиций могут выступать:

Собственные финансовые средства - прибыль, накопленные амортизационные отчисления, суммы, выплачиваемые страховыми органами в виде возмещения за ущерб, иные виды активов - основные фонды, земельные участки, промышленная собственность и привлеченные средства - средства от продажи акций, благотворительные и иные взносы, средства, выделяемые вышестоящими холдинговыми и акционерными компаниями, промышленно-финансовыми группами на безвозмездной основе.

Ассигнования из федерального, регионального и местного бюджетов, фондов поддержки предпринимательства, предоставляемые на безвозмездной основе.

Иностранные инвестиции - финансовое или иное участие в уставном капитале совместных предприятий, а также прямые вложения (в денежной форме) международных организаций и финансовых институтов, государств, предприятий и организаций различных форм собственности и частных лиц.

Заемные средства - кредиты, предоставляемые государством на возвратной основе, кредиты иностранных инвесторов, облигационные займы, кредиты банков и других институциональных инвесторов (инвестиционных фондов и компаний, страховых обществ, пенсионных фондов), векселя и другие средства.


В мировой экономическом литературе понятие «инновация» интерпретируется как превращение потенциального научно-технического прогресса в реальный, воплощающийся, в новых продуктах и технологиях. Проблематика нововведений в нашей стране на протяжении многих лет разрабатывалась в рамках экономических исследований научно-технического прогресса (НТП).

Термин «инновация» стал активно использоваться в переходной экономике России как самостоятельно, так и для обозначения ряда родственных понятий: «инновационная деятельность», «инновационный процесс», «инновационное решение» и т.п. Для уточнения понятия «инновации» познакомимся с различными взглядами на ее сущность.

Методология системного описания инноваций в условиях рыночной экономики базируется на международных стандартах (Руководство Фраскати). В соответствии с этими стандартами, инновация - это конечный результат инновационной деятельности, получивший воплощение в виде нового или усовершенствованного продукта, внедренного на рынке, нового или усовершенствованного технологического процесса, используемого в практической деятельности либо в новом подходе к социальным услугам. Инновация является следствием инновационной деятельности.

Создание нововведений происходит в ходе деятельности, которая может быть названа инновационной. Условно совокупность процессов инновационной деятельности в разных отраслях может быть названа инновационной сферой.

Инновационная сфера не является единой организационной системой, ее составляющие присутствуют как в производственном, так и в непроизводственном секторах экономики. В состав инновационной сферы входят подразделения, разрабатывающие и внедряющие инновации на предприятиях, в организациях и учреждениях, самостоятельные научно-технические организации, ВУЗы, система образования, отдельные ученые и изобретатели.

Инновационная стратегия - система концептуальных установок, вытекающих из долгосрочных целей, определяющих характер распределения ресурсов между траекториями инновационного развития системы, а также их перераспределения при изменении внутренних и внешних условий ее функционирования.

Инновационная стратегия на уровне предприятия или на микроуровне очень сильно зависит от инновационных стратегий более высоких уровней. Макроуровень создает условия функционирования предприятия в научно-технических направлениях, соответствующих мировым тенденциям развития. Инновационная деятельность предприятия посредством прямого и косвенного воздействия направляется в русло этих тенденций. Региональные инновационные стратегии нацелены на привязку деятельности предприятия к достижению целей региона, в том числе инновационных. В зависимости от того, что представляет из себя регион, каковы его цели, определяется тип региональной стратегии. Поскольку предприятие территориально привязано к региону, оно не может напрямую противоречить его политике и должно учитывать при формировании своей стратегии региональные интересы.

Для успешного управления инновационной деятельностью необходимо тщательное изучение инноваций. Прежде всего, необходимо уметь отличать инновации от несущественных видоизменений в продуктах и технологических процессах (например, эстетические изменения - цвета, формы и т. п.); незначительных технических или внешних изменений в продуктах, оставляющих неизменными конструктивное исполнение и не оказывающих достаточно заметного влияния на параметры, свойства, стоимость изделия, а также входящих в него материалов и компонентов; от расширения номенклатуры продукции за счет освоения производства не выпускавшихся прежде на данном предприятии, но уже известных на рынке продуктов, с целью удовлетворения текущего спроса и увеличения доходов предприятия. Новизна инноваций оценивается по технологическим параметрам, а также с рыночных позиций. С учетом этого строится классификация инноваций (таблица 2).

Таблица 2 - Классификация инноваций

1

В зависимости от технологических параметров

- продуктовые инновации - процессные инновации

2

По типу новизны для рынка

- новые для отрасли в мире - новые для отрасли в стране  - новые для данного предприятия

3

По месту в системе (на предприятии, в фирме)

- инновации на входе предприятия (изменения в выборе и использовании сырья, материалов, и др.) - инновации на выходе предприятия (изделия, услуги, технологии, и др.) - инновации системной структуры предприятия

4

В зависимости от глубины вносимых изменений

- радикальные (базовые) - улучшающие - модификационные (частные).

5

Классификация с учетом сфер деятельности предприятия

- технологические - производственные - экономические - торговые - социальные - в области управления


Инновация есть реализованный на рынке результат, полученный от вложения капитала в новый продукт или операцию (технологию, процесс). При реализации инновации, предложенной к продаже, происходит обмен «деньги-инновация». Денежные средства, полученные предпринимателем (продуцентом, инвестором-продавцом) в результате такого обмена, во-первых, покрывают расходы по созданию и продаже инноваций, во-вторых, приносят прибыль от реализации инноваций, в-третьих, выступают стимулом к созданию новых инноваций, в-четвертых, являются источником финансирования нового инновационного процесса.

Исходя из этого можно сказать, что инновация выполняет следующие три функции:

воспроизводственную;

инвестиционную;

стимулирующую.

Инновационная деятельность представляет собой взаимосвязанную совокупность видов работ по созданию и распространению инноваций. Основными видами инновационной деятельности являются:

научно-исследовательские опытно-конструкторские работы (НИОКР);

технологические работы, подготовка производства и проведение промышленных испытаний;

приобретение патентов, лицензий и ноу-хау;

инвестиционная деятельность, необходимая для реализации инновационных проектов;

сертификация и стандартизация инновационных продуктов и изделий, необходимых для их изготовления;

маркетинг и организация рынков сбыта инновационной продукции;

подготовка и переподготовка кадров для инновационной деятельности и др.

Инновационная деятельность, как правило, характеризуется достаточно высокой степенью неопределенности и риска, поэтому важными принципами системы финансирования инноваций являются множественность источников, гибкость и адаптивность к быстро меняющейся, турбулентной среде инновационных процессов.

Источниками финансирования инновационной деятельности могут быть предприятия, финансово-промышленные группы, малый инновационный бизнес, инвестиционные и инновационные фонды, органы местного управления, частные лица и т.д. Все они участвуют в хозяйственном процессе и тем или иным образом способствуют развитию инновационной деятельности.

1.3 Анализ эффективности инвестиционной и инновационной деятельности

Система показателей комплексного анализа инвестиционной деятельности.

Инвестиции могут принимать различные формы, что обусловлено разными объектами инвестирования; наличием различных источников формирования инвестиционных ресурсов; особенностями организации процесса инвестирования и другими факторами.

В комплексном анализе следует установить изменения в структуре инвестиций (насколько оптимально сочетаются собственные и заемные средства). Если доля заемных средств возрастает, то это может привести к неустойчивости предприятия, увеличению его зависимости от банков и других организаций.

Определение цены различных источников финансирования может быть осуществлено следующими способами.

. Если плату за пользование финансовыми ресурсами можно отнести на внереализационные (коммерческие) расходы предприятия (например процент за кредит), го цена источника финансирования (ωиф) определяется как плата за пользование финансовыми ресурсами (χ), уменьшенная на уровень налога на прибыль (g n) (формула 1):

                    (формула 1)

. Если плата за пользование финансовыми ресурсами осуществляется из чистой прибыли предприятия (например, дивиденды по акциям), то цена источника финансирования принимается равной плате за пользование финансовыми ресурсами (формула 2):

                                               (формула 2)

Анализ объемов инвестиционной деятельности следует начинать с изучения общих показателей. В первую очередь нужно изучить динамику и выполнение плана инвестиций за отчетный год. Наряду с абсолютными показателями нужно анализировать и относительные, такие, как размер инвестиций на одного работника, коэффициент обновления основных средств производства.

Большой удельный вес в общем объеме инвестиций занимают расходы на приобретение основных средств и их модернизацию. При изучении этого вопроса нужно рассмотреть выполнение плана приобретения основных средств по общему объему и по номенклатуре, своевременность их поступления и установить их соответствие потребностям предприятия.

При этом следует иметь в виду, что увеличение суммы инвестиций могло произойти не только за счет количества приобретенного имущества (К), но и за счет повышения его стоимости (Ц). Расчет влияния данных факторов можно произвести способом абсолютных разниц (формула 3):

                                       (формула 3)

Особое внимание необходимо уделить анализу выполнения плана инвестирования в инновационные проекты, обеспечивающие повышение конкурентоспособности предприятия.

При принятии решений в бизнесе о долгосрочных инвестициях возникает потребность в анализе их эффективности, основная цель которого - установить, оправдают ли будущие выгоды сегодняшние затраты. Для этого нужен долгосрочный анализ доходов от инвестиционных проектов и затрат на их осуществление

В основу расчета этих показателей положено сравнение объема предполагаемых инвестиций и будущих денежных поступлений. Первые два могут базироваться как на учетной величине денежных поступлений, так и на дисконтированных доходах с учетом времен - ной компоненты денежных потоков.

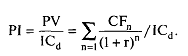
Первый метод оценки эффективности инвестиционных проектов заключается в определении срока, необходимого для того, чтобы инвестиции окупили себя. Он является наиболее простым и по этой причине наиболее распространенным.

Если доходы от проекта распределяются равномерно по годам, то срок окупаемости инвестиций определяется делением суммы инвестиционных затрат на величину годового дохода. Недостатком данного метода является то, что он не учитывает разницу в доходах по проектам, получаемых после периода окупаемости. Следовательно, оценивая эффективность инвестиций, надо принимать во внимание не только сроки их окупаемости, но и доход на вложенный капитал, для чего рассчитывается индекс рентабельности (PI) (формула 4):

=ожидаемая сумма дохода /ожидаемая сумма инвестиций  (формула 4)

Рассмотрим методику расчета показателей, на основе дисконтирования денежных доходов.

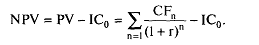
Метод чистого приведенного эффекта (NPV) состоит в следующем.

. Определяется текущая стоимость затрат (IС0), т.е. решается вопрос, сколько инвестиций нужно зарезервировать для проекта.

. Рассчитывается текущая стоимость будущих денежных поступлений от проекта, для чего доходы за каждый год CF приводятся к текущей дате (формула 5):

                                                                   (формула 5)

. Текущая стоимость затрат (IС0) сравнивается с текущей стоимостью доходов (PV). Разность между ними составляет чистый приведенный эффект (NPV) (формула 6):

                                        (формула 6)

показывает чистые доходы или чистые убытки инвестора от помещения денег в проект по сравнению с альтернативным вариантом их использования. Если NPV > 0, значит, проект принесет больший доход, чем при альтернативном размещении капитала. Если же NPV < 0, то проект имеет доходность ниже рыночной, и поэтому деньги выгоднее хранить в банке. Проект ни прибыльный, ни убыточный, если NPV = 0.

Дополняет данный показатель дисконтированный индекс рентабельности инвестиционных проектов, расчет которого производится по формуле 7:

                                                         (формула 7)

Система показателей комплексного анализа инновационной деятельности.

Анализ 5-кривых жизненного цикла инноваций проводится на основе данных о динамике объемов реализации и доходов за длительные периоды времени (годы, десятки лет) по отрасли в целом. При анализе жизненного цикла инноваций-продуктов необходимо выделить следующие факторы:

. Влияние на затраты (условно-переменные, условно-постоянные): эффект масштаба (плавное нелинейное изменение затрат при изменении объемов производства); неравномерный ввод в эксплуатацию (вывод из эксплуатации) производственных мощностей (ступенчатое изменение затрат); изменение пен на производственные ресурсы, замену материалов, изменение технологии и т.п.; изменение норм расхода материалов и затрат труда (в том числе автономное изменение (так называемые кривые опыта) и в результате организационных мероприятий); изменение методов бухгалтерского учета и учетной политики.

Корректировки плановых и фактических показателей при подготовке исходных данных для анализа проводятся при помощи индекса (индексов) физического объема произведенной и проданной продукции, индексов цен (укрупненных или по статьям затрат, видам ресурсов и т.д.), а также на основе классификации затрат на переменные и постоянные. Какие из отклонений могут быть отнесены к внешним независимым, а какие - к внутренним факторам, зависит от конкретной ситуации.

Главным условием при подготовке исходных данных для анализа является обеспечение сопоставимости расчетных и плановых показателей чистой текущей стоимости, для чего проводят серию корректировок денежных потоков:

пересчитывают (прямым счетом или укрупненно по статьям затрат) все ожидаемые показатели бизнес-плана (сметы или бюджета) инноваций в цены текущего периода и, при необходимости, учитывают ожидаемые темпы инфляции. учитывают отклонение уровня затрат в натуральном выражении (норм расхода материалов, трудоемкости и т.д.) от заложенных в плане для изменения величины ожидаемых затрат;

в зависимости от оценок и прогнозов динамики спроса, вызванной независимыми внешними факторами, и результатов оптимизационного (маржинального) анализа устанавливают будущие значения объемов продаж (в натуральном выражении) и изменяют величины доходов от продаж и переменных статей затрат;

учитывают изменение процентной ставки в связи с колебаниями фондового рынка и оценкой собственного риска инновационной деятельности.

Анализ эффективности затрат на исследования и разработки проводится на основе предположения о наличии среднего временного лага (лагов) между вложениями в исследования и разработки и эффектом инноваций - результата данных разработок. В ходе анализа обобщаются и соотносятся с учетом дисконтирования указанные затраты и экономический эффект всех проектов, использовавших созданные или доработанные новшества. Анализ основан также на следующих допущениях:

затраты на исследования и разработку, проводимые до возникновения определенности относительно будущих экономических выгод и до начала жизненного цикла конкретных инновационных проектов, учитываются отдельно; их эффективность оценивается путем сопоставления с приведенным экономическим эффектом всех сегментов инновационной деятельности и отражает эффективность инновационной деятельности организации;

оценка эффективности инновационных сегментов или инновационных проектов проводится без учета альтернативной (вмененной) стоимости нематериальных активов, созданных в результате исследований и разработок.

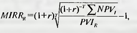
Показатель эффективности затрат на исследования и разработки - модифицированная внутренняя норма рентабельности затрат на исследования и разработки (МIRRR) определяется по формуле 8:

 (формула 8)

где МIRRR - модифицированная внутренняя норма рентабельности инновационной деятельности организации (в период t);- ставка дисконтирования (в период t);

Т - средний временной лаг между началом исследований и Началом проектов выраженных в периодах t;

∑ NPV. - сумма чистых текущих стоимостей инновационных проектов, начатых в отчетный период t,

РVIR - текущая стоимость затрат на исследования за период Т.

Показатель доли затрат, относимых к проектам периода снижается по мере приближения к текущему моменту, так как последние разработки еще не успели дать результата. Значение МIRRR больше ставки дисконтирования, что говорит о высокой эффективности (и косвенно подтверждает умеренные риски) инновационной деятельности.

В описанном виде анализ может быть проведен только в крупных организациях, осуществляющих одновременно большие объемы исследований и разработок и регулярно внедряющих их результаты в практическую деятельность. Для небольших организаций из-за отсутствия необходимой информационной базы достаточно сравнить общую сумму затрат на исследования и разработки с общей суммой экономического эффекта инноваций.

Анализ инновационной активности в организации также проводится на основе обширных статистических данных, характерных для крупных компаний. В задачи данного анализа входит оценка количественной динамики и качественного характера заявок или предложений, возникающих внутри организации, анализ количества возможных и использованных вариантов нововведений и т.п. Ниже приведен пример типичной модели, используемой для анализа инновационной активности в крупной корпоративной структуре (формула 9):

 (формула 9)

где NPVит - итоговый суммарный экономический эффект от реализации предложений, принятых к финансированию "данном периоде;- общая сумма инвестиционных затрат на реализацию принятых Предложений (текущая стоимость инвестиций, если предполагались вложения в течение нескольких периодов);

(РIср - 1) - средняя экономическая эффективность 1 р. инвестиций в реализацию инновационных предложений.

Показатель РI ср может быть рассчитан как (формула 10):

 (формула 10)прин - количество проектов, принятых к финансированию;

Анализ описанных моделей зависимостей проводят интегральным методом или методом цепных подстановок, выявляя влияние следующих качественных факторов:

Nэф/Nисх - удельный вес эффективных (полезных) инновационных предложений;

Nприн/Nэф - показатель использования инновационных предложений;

Nусп/Nприн - показатель фактической эффективности инновационных мероприятий;

PIср - 1 - средний уровень эффективности инновационных мероприятий.

Завершающим этапом анализа эффективности инновационной деятельности служит комплексная оценка с использованием рейтинговых моделей, или методов многокритериального анализа. Модели рейтинговой оценки позволяют сравнивать между собой показатели инновационной активности различных подразделений крупной организации или несколько организаций в отрасли, однако их применение в анализе инноваций крайне ограничено в связи с недостаточностью информационной базы. В тоже время многокритериальный анализ чаше в неформализованном виде повсеместно применяется при оценке инновационных решений, поскольку финансовые критерии сами по себе малопригодны для оценки отдельных качественных последствий реализации инновационных проектов, связанных с достижением нефинансовых стратегических целей или с ограничениями, накладываемыми внешней средой.

2. Практическая часть: Задача

Условие: Рассчитайте фонд оплаты труда (ФОТ) по следующим данным: объем выпуска продукции в базисном и отчетном году - 10 млн. рублей и 13 млн. руб. соответственно, ФОТ в базисном году составлял 2,6 млн. руб. Норматив заработной платы в планируемом году из-за структурных изменений в товарной продукции увеличился на 30 %.

Решение: инвестиционная инновационная оплата труд

Введем условные обозначения:

ФОТ - фонд оплаты труда

Нзп - норматив заработной платы

ВР - выручка от реализации

индекс «0» - значение для базисного года

индекс «1»  - значение для отчетного года

. Для того чтобы рассчитать фонд оплаты труда необходимо применить следующую формулу 11:

ФОТ = ВР * Нзп             (формула 11)

Из этой формулы можно выразить норматив заработной платы (формула 12):

Нзп = ФОТ / ВР                   (формула 12)

А это значит, что норматив заработной платы для базисного года можно определить как отношение фонда оплаты труда в базисном году к выручке от реализации базисного года (формула 13):

Нзп0 = ФОТ0 / ВР0                   (формула 13)

. Норматив заработной платы для отчетного года можно выразить через норматив заработной платы для базисного, так как в условии сказано, что Норматив заработной платы в планируемом году из-за структурных изменений в товарной продукции увеличился на 30 %, а значит (формула 14):

Нзп1 = Нзп0 + 0,3 * Нзп0 = 1,3 * Нзп0                                         (формула 14)

. Теперь можно приступить непосредственно к нахождению фонда оплаты труда отчетного года, подставив все имеющиеся данные:

ФОТ1 = ВР1 * Нзп1 = ВР1 *1,3 * Нзп0  = ВР1 * 1,3 * ФОТ0 / ВР0 =

= 13 * 1,3 * 2,6 / 10 = 4, 394 (млн. руб.)

Для наглядности представим полученный результат графически (рисунок 1).

Рисунок 1 - Размер фонда оплаты труда в базисном и отчетном году.

Проверка:

. Норматив заработной платы в отчетном году равен 0,338.

Нзп1 = ФОТ1 / ВР1= 4,394 / 13 = 0,338

. Норматив заработной платы в отчетном году с одной стороны можно найти через норматив заработной платы в базисном:

Нзп0 = Нзп1 / 1,3 = 0,26

С другой стороны, определим это значение через фонд оплаты труда и выручку от реализации:

Нзп0 = ФОТ0 / ВР0 = 2,6 / 10 = 0,26

Полученные данные одинаковы, а значит решение верно.

Ответ: Фонд оплаты труда в отчетном году составляет 4,392 млн. руб.

Заключение

Проведенный анализ показателей эффективности инновационной и инвестиционной деятельности  показал,  какое огромное значение для развития национальной экономики в целом, и приоритетных отраслей в первую очередь, представляет инновационная и инвестиционная деятельность.

Под воздействием инновационной деятельности изменяются практически все подсистемы промышленного предприятия, выходя на качественно новый уровень. Вместе с тем современные условия экономического развития требуют от промышленных предприятий не только активизации инновационной деятельности, но и совершенствования методов ее организации, в частности, за счет выявления и использования резервов, направленных на повышение эффективности ее проведения.

Процесс организации инновационной деятельности на предприятии состоит из следующих взаимосвязанных этапов:

определение цели управления инновацией;

выбор стратегии менеджмента инновации;

определение приемов управления инновацией;

разработка программы управления инновацией;

организация работ по выполнению программы;

анализ и оценка эффективности приемов управления инновацией.

Целью инновационной деятельности на предприятии может быть прибыль, расширение сегмента рынка, выход на новый рынок. Важными этапами организации инновационной деятельности на исследуемом предприятии являются разработка программы управления инновацией и организация работы по выполнению намеченной работы. Программа управления инновацией представляет собой согласованный по срокам, результатам и финансовому обеспечению комплекс действий для достижения поставленной цели.

Одновременно перед народным хозяйством страны стоит задача оживить инвестиционную деятельность, и как можно скорее. Без нормального инвестиционного климата из кризиса не выйти. Нужна стабильная валюта, стабильные законы, стабильные налоги, компетентное руководство. Необходимо добиться такого развития экономики, чтобы сбережения пошли в банки, в инвестиционные фонды, финансовые компании и стали работать на пользу народного хозяйства.

Соотношение между зарубежным капиталом и частным национальным капиталом, вкладываемый в инвестиционные процессы, только на первый взгляд кажется простым. Опыт других стран свидетельствует, что нельзя создать привлекательные условия для зарубежного капитала, не создав для своего, национального. Необходимо ясно представлять, что внешние инвестиции не пойдут в экономику пока в ней не будет внутренних инвестиций. Вложение средств должно стать привлекательным для национального капитала в первую очередь, а затем для иностранного.

В этой связи важно как можно скорее разобраться с факторами, которые способствуют созданию благоприятных условий для оживления инвестиционного процесса.

В числе путей решения этого вопроса можно назвать следующие:

децентрализация инвестиционного процесса;

повышение роли амортизационных отчислений;

расширение практики страхования инвестиций;

переход к размещению государственных средств на конкурсной основе под эффективные инвестиционные проекты;

создание благоприятных условий для привлечения зарубежного капитала.

При решении практической части был осуществлен расчет фонда оплаты труда, представлен полученный результат графически, а также осуществлена проверка решения.

Список использованной литературы

Аньшин, В. М. Инновационный менеджмент:: учебное пособие / под ред. В.М. Аньшина. - М.: Дело, 2010. - 462 с.

Базилевич, А. И. Инновационный менеджмент предприятия: учеб. пособие для студентов вузов. - М.: ЮНИТИ-ДАНА, 2008. - 231 с.

Безрукова Т.Л., Бугаков В.М., Кочетова А.Н. Экономическая оценка инвестиций на предприятиях: Воронеж:, 2009. - 228 с.

Головачев, А.С. Экономика предприятия: учебно-метод. Комплекс / под ред.В.И.Кудашова. - Мн.: Изд-во МИУ, 2007. - 340 с.

Елизаров Ю.Ф, Экономика организации. Учебник для вузов.- М.: изд-во «Экзамен», 2009.-496 с.

Канаев В.Д. Экономика и бизнес.-М.:МГТУ, 2008.-464 с.

Крылов Э.И., Власова В.М., Анализ эффективности инвестиционной и инновационной деятельности. - М.: Финансы, 2008 - 602 с.

Нехорошева Л.Н. Экономика предприятия [текст]: учебное пособие /, Н.Б.Антонова, М.А.Зайцева [и др.] - Мн.: Выш. шк., 2008. - 383 с.

Пасюк, М.Ю. Организация производства и управление предприятием: учебно-методическое пособие : "ФУАинформ", 2009. - 88 с.

Титов, В.И. Экономика предприятия: учебник / В.И.Титов. - М.: Издательско-торговая корпорация "Дашков и К", 2007. - 462 с.

ФЗ "Об инвестиционной деятельности в РФ, осуществляемой в форме капитальных вложений" от 25.02.99 № 39-ФЗ (ред. 12.12.2011).

ФЗ "О рынке ценных бумаг" № 39ФЗ от 22.04.96 (ред.  23.07.2013).

Хунгуреева И.П., Шабыкова Н.Э. Экономика предприятия. уч. пособие.- Улан-Удэ: ВСГТУ, 2008.-240 с.

Шепеленко, Г.И. Экономика, организация и планирование производства на предприятии 2-е издание, дополненное и переработанное. - Ростов-на-Дону: Издательский центр "МарТ", 2008. - 544 с.

Похожие работы на - Анализ эффективности инвестиционной и инновационной деятельности предприятия

 

Не нашли материал для своей работы?
Поможем написать уникальную работу
Без плагиата!
Без нейросетей!