Эффективность инвестиционной и инновационной деятельности предприятия

  • Вид работы:
    Дипломная (ВКР)
  • Предмет:
    Эктеория
  • Язык:
    Русский
    ,
    Формат файла:
    MS Word
    510,87 kb
  • Опубликовано:
    2011-10-21
Вы можете узнать стоимость помощи в написании студенческой работы.
Помощь в написании работы, которую точно примут!

Эффективность инвестиционной и инновационной деятельности предприятия

Содержание

Введение

. Инновационная деятельность предприятия

.1 Стратегия инновационной деятельности предприятия

.2 Аспекты развития инновационной деятельности в развитии предприятия

.3 Анализ и оценка эффективности инноваций

. Инвестиционная деятельность предприятия

.1 Сущность, понятия и виды инвестиций

.2 Общеметодологические вопросы оценки эффективности инвестиций

.3 Анализ и оценка эффективности инвестиционных проектов

Заключение

Глоссарий

Список сокращений

Список использованных источников

Приложения

Введение

Характерными чертами рыночной экономики являются динамичность экономической среды, постоянное изменение внешних факторов, определяющих политику предприятия, изменение конкурентных цен на продукцию, колебание курсов валют, инфляционное обесценивание средств хозяйствующего субъекта, появление конкурентов, предоставляющих продукцию идентичную или превосходящую по качеству продукцию. Для поддержания конкурентоспособности предприятия и его доли рынка сбыта, предприятию постоянно необходимо производить реконструкцию производственных мощностей, обновление имеющейся материально-технической базы, наращивание объемов производственной деятельности, освоение новых видов деятельности.

Для проведения реконструкции старого и покупки нового оборудования предприятию необходимо крупное вложение денег, которое предприятию, чаще всего, недоступно по причине отсутствия свободных денежных средств. Для привлечения необходимых средств предприятие должно проводить агрессивную инвестиционную политику.

Инвестиционная деятельность в той или иной степени присуща любому предприятию. При большом выборе видов инвестиций предприятие постоянно сталкивается с задачей выбора инвестиционного решения. Принятие инвестиционного решения невозможно без учета следующих факторов: вид инвестиции, стоимость инвестиционного проекта, множественность доступных проектов, ограниченность финансовых ресурсов, доступных для инвестирования, риск, связанный с принятием того или иного решения и др.

В условиях рыночной экономики возможностей для инвестирования довольно много. Однако весьма существен фактор риска. Инвестиционная деятельность всегда осуществляется в условиях неопределенности, степень которой может значительно варьировать. Так, в момент приобретения новых основных фондов никогда нельзя точно предсказать экономический эффект этой операции. Поэтому нередко решения принимаются на интуитивной основе.

Активизация инновационной деятельности в России является важнейшей предпосылкой использования научно-технического потенциала, роста конкурентоспособности промышленной продукции, выхода из экономического кризиса, повышения уровня жизни населения. На развитие инновационных процессов, на территории России, влияют различные группы факторов: экономические, технологические, политические, правовые, социально-психологические и организационно-управленческие. В этом и заключается актуальность выбранной мной темы.

Цель моей курсовой работы состоит в определении вопросов формирования стратегии инновационной и инвестиционной деятельности на предприятии, анализе ее эффективности.

В связи с поставленной целью необходимо решить следующие задачи:

изучить стратегию инновационной деятельности на предприятии;

определить аспекты развития инновационной деятельности в развитии предприятия;

проанализировать и дать оценку эффективности инноваций;

определить сущность, понятия и виды инвестиций;

рассмотреть общеметодологические вопросы оценки эффективности инвестиций;

проанализировать и дать оценку эффективности инвестиционных проектов.

1. Инновационная деятельность предприятия

.1 Стратегия инновационной деятельности предприятия

Стратегия представляет собой обобщенную модель действий, необходимых для достижения поставленных целей. Стратегические инновации носят упреждающий характер и направлены на получение значительных конкурентных преимуществ в перспективе. Значение выработки стратегии, позволяющей фирме выживать в конкурентной борьбе в долгосрочной перспективе, чрезвычайно велико. В условиях жесткой конкуренции и быстроменяющейся ситуации на рынке очень важно не только концентрировать внимание на внутреннем состоянии дел фирмы, но и вырабатывать долгосрочную стратегию. В прошлом многие фирмы могли успешно функционировать, ежедневно решая внутренние проблемы, связанные с повышением эффективности использования ресурсов в текущей деятельности. В настоящее время исключительно важна стратегия, обеспечивающая адаптацию фирмы к быстроменяющейся окружающей среде.

Например, стратегия японских фирм характеризуется ориентацией на постоянные изменения, как во внешней среде, так и внутри фирмы; ориентацией на место в этой среде; отсутствием детерминированного курса; учетом и использованием всех возможностей для выживания и усилением своей роли в изменяющемся мире не только в текущий момент, но и на длительную перспективу; выделением в качестве основного фактора - интеллектуальный потенциал работников фирмы и постоянно развивающиеся технологии.

При данной стратегии, отличающейся гибкостью, способностью к адаптации, стремлением быть на гребне изменений, объективно сказывается потребность в умении отвоевывать свое место на рынке. Единой стратегии не существует. Каждая фирма уникальна, поэтому и процесс выработки стратегии специфичен, так как зависит от позиции фирмы на рынке, динамики ее развития, потенциала, поведения конкурентов, характеристик производимого ею товара или оказываемых услуг, состояния экономики и др. В то же время есть основополагающие моменты, позволяющие выделить некоторые обобщенные принципы выработки стратегии бизнеса. Выбор стратегии бизнеса осуществляет руководство фирмы на основе анализа ключевых факторов, характеризующих ее состояние и состояние портфеля продукции. Из ключевых факторов прежде всего исследуются сильные стороны отрасли и сильные стороны фирмы, являющиеся зачастую решающими при выборе стратегии. Необходимо стремиться к максимальному использованию имеющихся возможностей. При этом важно искать пути развертывания бизнеса в новых отраслях, обладающих потенциальными задатками для роста [6].

Существенно влияют на выбор стратегии финансовые возможности фирмы. Такие шаги в поведении фирмы, как выход на неисследованные рынки, разработка нового продукта или переход в новую отрасль, требуют значительных финансовых затрат. Поэтому фирмы, имеющие большие финансовые ресурсы либо обладающие легким доступом к ним, находятся в гораздо лучшем положении для выбора вариантов стратегии.

Квалификация работников, так же как и финансовые ресурсы, играет значительную роль при выборе стратегии фирмы. Углубление и расширение квалификационного потенциала работников - важнейшее условие, обеспечивающее возможность перехода к новым производствам либо качественному технологическому обновлению существующего. Большое влияние на выбор стратегии фирмы оказывает степень зависимости от внешней среды. Бывают такие ситуации, когда фирма настолько зависит от поставщиков или покупателей, что не вольна делать выбор стратегии исходя из возможного более полного использования своего потенциала. В этом случае внешняя зависимость играет более значительную роль в выборе стратегии фирмы, чем все остальные факторы. Сильная внешняя зависимость может быть обусловлена также правовым регулированием поведения фирмы, например антимонопольным законодательством, социальными ограничениями, влиянием природной среды, политическими факторами и т.д. Еще один ключевой фактор - интересы руководства фирмы. Например, руководство любит рисковать или, наоборот, оно стремится всеми способами избегать риска. Это может стать решающим фактором в выборе стратегии. В другом случае руководство может взять курс на поглощение другой фирмы исходя только из того, что оно решило свести личные счеты или доказать что-то определенным лицам [6].

Обязательно должен приниматься во внимание временной фактор. Дело в том, что и возможности, и угрозы для фирмы, и планируемые изменения всегда имеют определенные временные границы. При этом важно учитывать и календарное время, и продолжительность интервалов осуществления конкретных действий по реализации стратегии. Часто успеха добивается та фирма, которая успешно управляет процессами во времени.

При анализе портфеля продукции, то есть вариантов инвестиций, сравнивают долю фирмы или ее изделий на рынке с темпами роста всей хозяйственной деятельности. Здесь может быть использована матрица Бостонской консультативной группы, которая поможет при выборе той или иной стратегии (рисунок А.1 приложение А). Например, если изделие фирмы занимает большую долю рынка и имеет высокие темпы роста "звезда", фирма скорее всего будет придерживаться стратегии роста, и наоборот, если изделие занимает малую долю рынка и имеет низкие темпы роста "собака", фирма может выбрать стратегию сокращения.

С помощью анализа портфеля продукции могут быть сбалансированы такие важнейшие факторы бизнеса, как риск, поступление денег, обновление и отмирание определенных видов деятельности. Заключительный этап выбора стратегии - ее оценка. Вся процедура в конечном счете сводится к одному: приведет ли выбранная стратегия к достижению поставленных целей. Затем проводится оценка стратегии по следующим направлениям:

) соответствие выбранной стратегии состоянию и требованиям субъектов окружения. Проверяется то, насколько стратегия увязана с требованиями со стороны основных субъектов окружения, цикла продукта, приведет ли реализация стратегии к появлению новых конкурентных преимуществ и т.д.;

) соответствие выбранной стратегии потенциалу и возможностям фирмы. В данном случае оценивается то, насколько выбранная стратегия соответствует возможностям персонала, финансовым ресурсам фирмы, позволяет ли существующая структура фирмы успешно реализовать стратегию, выверена ли программа реализации во времени и т.п.;

) приемлемость риска, заложенная в стратегии. Оценка оправданности риска проверяется по трем направлениям: реалистичность предпосылок, заложенных в основу выбора стратегии; негативные последствия для фирмы, к которым может привести провал стратегии; оправданность при возможном положительном результате риска потерь от провала в реализации стратегии;

) эффективность стратегии оценивается по следующим показателям: экономический эффект - воздействие стратегии на массу и норму прибыли, чистой прибыли, срок окупаемости инвестиций, объем продаж на внутреннем и внешнем рынке; социальный эффект - влияние на условия и привлекательность труда, развитие культуры и образования, качество жизни; экологический эффект - воздействие на степень загрязнения окружающей среды, комплексность использования природных ресурсов; технический (качественный) эффект - изменение уровня новизны, качества, конкурентоспособности продукции; системный (синергический) эффект - дополнительный доход от продажи и эксплуатации взаимодополняющих и сопряженных изделий, систем машин и т.п.

На основе проведенного анализа и оценки возможных вариантов принимается окончательное решение о выборе наиболее целесообразной стратегии [10].

1.2 Аспекты развития инновационной деятельности на предприятии

инновационный деньги финансовый рынок

Инновационная деятельность предприятия направлена, прежде всего, на повышение конкурентоспособности выпускаемой продукции (услуг). Конкурентоспособность - это характеристика товара (услуги), отражающая его отличие от товара-конкурента как по степени соответствия конкретной потребности, так и по затратам на ее удовлетворение. Два элемента - потребительские свойства и цена - являются главными составляющими конкурентоспособности товара (услуги). Однако рыночные перспективы товаров связаны не только с качеством и издержками производства. Причиной успеха или неудачи товара могут быть и другие нетоварные факторы, такие, как рекламная деятельность, престиж фирмы, предлагаемый уровень обслуживания.

И все же, как ни важны внепроизводственные аспекты деятельности фирм по обеспечению конкурентоспособности, основой являются качество и цена. Вместе с тем обслуживание на высшем уровне создает большую привлекательность. Исходя из этого, формулу конкурентоспособности можно представить в следующем виде: Конкурентоспособность = Качество + Цена + Обслуживание.

Управлять конкурентоспособностью - значит обеспечивать оптимальное соотношение названных составляющих, направлять основные усилия на решение следующих задач: повышение качества продукции, снижение издержек производства, повышение экономичности и уровня обслуживания. Указанные составляющие конкурентоспособности являются многофакторными, и каждая из них может рассматриваться как сложный самостоятельный объект управления [2].

Для анализа положения изделия на рынке, оценки перспектив его сбыта, выбора стратегии продаж используется концепция "жизненного цикла товара". Стратегия производства зависит от стадии жизненного цикла товара (рисунок А.2 приложение А). Одновременная работа с товарами, находящимися на различных стадиях жизненного цикла, под силу лишь крупным компаниям. Небольшие фирмы вынуждены идти по пути специализации.

Как показывает опыт, небольшие фирмы особенно активно действуют в производстве товаров, проходящих стадии формирования рынка и ухода с него. Дело в том, что крупная фирма обычно неохотно идет первой на производство принципиально новой продукции. Последствия возможной неудачи для нее намного тяжелее, чем для небольшой вновь образовавшейся фирмы. И если речь идет не о фундаментальных разработках в области технологии, а о доведении оригинальной идеи нового изделия до стадии материального воплощения, то это вполне под силу относительно небольшим фирмам-новаторам. Именно они сегодня определяют инновационный процесс в развитых странах.

Таким образом, специализация малых фирм на работе с товарами, находящимися на конкретных стадиях жизненного цикла, порождается стремлением фирмы наиболее эффективно использовать свой потенциал и обеспечить конкурентоспособность товара на рынке [8].

Согласно закону о конкуренции в мире происходит объективный процесс повышения качества продукции и услуг, а также снижения их удельной цены, отражающей отношение цены товара к его полезному эффекту. Движущей силой конкуренции является стимул к нововведениям. Именно на основе нововведений удается повышать качество продукции или услуг, улучшать полезный эффект товара, тем самым добиваться конкурентного преимущества данного товара. Таким образом, обеспечение конкурентоспособности товара требует новаторского, предпринимательского подхода, сутью которого являются поиск и реализация инноваций.

Главной предпосылкой инновационной стратегии является моральное старение выпускаемой продукции и технологии. В связи с этим каждые три года на предприятиях следует проводить аттестацию выпускаемых изделий, технологий, оборудования и рабочих мест, анализировать рынок и каналы распределения товаров. Иными словами, должна проводиться рентгенограмма бизнеса. Каковы же основополагающие принципы новаторской деятельности? П.Друкер считает, что нужно провести четкую линию между тем, что нужно делать, и тем, чего делать не следует. Целенаправленная систематическая инновационная деятельность требует непрерывного анализа возможностей источников инноваций.

Инновация должна соответствовать нуждам, желаниям, привычкам людей, которые будут ею пользоваться. Следует задать себе вопрос: "Что должна отражать данная инновация, чтобы у будущих потребителей возникло желание ею пользоваться?"

Инновация должна быть простой и иметь точную цель. Величайшая похвала инновации звучит так: "Смотрите-ка, как все просто! Как я до этого не додумался?"

Внедрять инновации эффективнее, имея небольшие деньги и небольшое количество людей, ограниченный риск. В противном случае почти всегда не хватает времени и средств для многочисленных доработок, в которых нуждается инновация.

Эффективная инновация должна быть нацелена на лидерство на ограниченном рынке, в своей нише. Иначе она создает ситуацию, когда конкуренты вас опередят.

Инновация - это работа, требующая знаний, изобретательности, таланта. Подмечено, что новаторы в основном работают только в одной области. Например, Эдисон сосредоточил силы только на электричестве. Успешная инновация требует упорнейшей сосредоточенной работы. Если вы к ней не готовы, не помогут ни знания, ни талант. Чтобы преуспеть, необходимо использовать свои сильные стороны, люди должны увлечься инновацией всерьез [14].

Наконец, инновация означает изменения в экономике, промышленности, обществе, в поведении покупателей, производителей, работников. Поэтому она всегда должна ориентироваться на рынок, руководствоваться его потребностями. Для осуществления предприятием инновационной деятельности, оно должно иметь такую структуру и такой настрой, которые способствовали бы созданию атмосферы предпринимательства, атмосферы восприятия нового как благоприятной возможности. При этом необходимо учесть ряд важных моментов.

Основной организационный принцип для инновации заключается в создании команды из лучших работников, освобожденных от текущей работы. Как показывает опыт, все попытки превратить существующее подразделение в носителя инновационного проекта заканчиваются неудачей. Причем этот вывод касается как предприятий крупного, так и малого бизнеса. Дело в том, что поддержание производства в рабочем состоянии - уже большая задача для людей, этим занятых. Поэтому на создание нового у них практически не остается времени.

Предпринимательская и инновационная деятельность не обязательно должна проводиться на постоянной основе, тем более в малых предприятиях, где такая постановка дела зачастую невозможна. Однако необходимо назначить работника, персонально ответственного за успех инноваций. Он должен отвечать за своевременное выявление и замену устаревающей продукции, техники, технологии, за всесторонний анализ производственно-хозяйственной деятельности, рентгенограмму бизнеса, за разработку инновационных мероприятий. Работник, ответственный за инновационную деятельность, должен быть лицом достаточно авторитетным на предприятии [6].

Необходимо оградить инновационное подразделение от непосильных нагрузок. Вложения в разработку инноваций не должны включаться в регулярно проводимый анализ отдачи от капиталовложений до тех пор, пока новые изделия или услуги не утвердятся на рынке. В противном случае дело будет загублено. Прибыль от реализации инновационного проекта существенно отличается от прибыли, получаемой за выпуск отлаженной продукции. На протяжении длительного времени новаторские начинания могут не давать ни прибыли, ни роста, а только потреблять ресурсы. Затем инновация в течение длительного времени должна быстро разрастаться и возвращать вложенные в ее разработку средства по меньшей мере в пяти-десятикратном размере, иначе ее можно рассматривать как неудачную. Нововведение начинается с самого малого, но результаты его должны быть масштабными.

Предприятием следует управлять таким образом, чтобы в нем создавалась атмосфера восприятия нового не как угрозы, а как благоприятной возможности. Сопротивления изменениям коренятся в страхе перед неизвестным. Каждый работник должен осознать, что нововведения - это лучшее средство сохранить и укрепить свое предприятие. Более того, необходимо понять, что нововведения - это гарантия занятости и благополучия каждого работника. Организация инновационной деятельности на основе указанных принципов позволит предприятию продвинуться вперед и добиться успеха.

.3 Анализ и оценка эффективности инноваций

В настоящее время при оценке эффективности инвестиционного проекта руководствуются Методическими рекомендациями по оценке эффективности инвестиционных проектов. Однако они не в полной мере подходят для оценки эффективности инноваций. Это обусловлено тем, что в создании и использовании инноваций, как правило, задействован более широкий круг участников по сравнению с инвестиционным проектом (ИП). В инновационном процессе участвуют инвесторы, научно-исследовательские, опытно-конструкторские, проектные организации, заводы-изготовители новой продукции и ее потребители. В осуществлении ИП заинтересованы финансирующие его инвесторы и предприятие, занимающееся реализацией проекта [6].

Реализация нововведений имеет конечной целью достижение лучших результатов в сравнении с аналогом. В Методических рекомендациях этому вопросу не уделено должного внимания. Цена на принципиально новую продукцию должна найти признание у потребителя, в то время как цена на продукцию, выпуск которой предусмотрен инвестиционным проектом, уже получила свое подтверждение на рынке. Достижение конечного результата инновационного процесса связано с высокими рисками. Воздействие перечисленных факторов обусловливает особенности определения экономической эффективности инноваций. Эти особенности должны состоять в следующем.

. При оценке эффективности инноваций необходимо учитывать не только общую массу дохода, который возможно получить за весь срок полезного использования нововведения, но и его прирост в сравнении с аналогом.

. При оценке эффективности инноваций рекомендуется различать: расчетный год внедрения, первый год после окончания нормативного срока освоения нововведения, начальный год срока полезного использования инноваций, срок полезного использования нововведения, последний год срока полезного использования инноваций.

В качестве расчетного года принимается второй или третий календарный год серийного выпуска новой продукции или второй год использования новой технологии, новых методов организации управления, производства, труда. Исходя из этого, при оценке эффективности инноваций все затраты (текущие и единовременные), а также результаты приводятся к расчетному году при помощи как коэффициентов дисконтирования, так и коэффициентов наращивания [6].

. Метод оценки эффективности инноваций должен базироваться на системе оценочных показателей, учитывающих государственные интересы, интересы создателей, производителей, потребителей и бюджета.

С учетом изложенного, можно сказать, что для оценки эффективности инноваций должна использоваться система показателей, а не один из них, как бы ни был он богат по экономическому содержанию.

Эффективность инноваций характеризуется системой показателей, отражающих конечные результаты реализации, а также соотношение результатов и затрат, обусловленных разработкой, производством, эксплуатацией нововведений.

При оценке эффективности инноваций необходимо различать следующие показатели: народно-хозяйственной (интегральной) эффективности, учитывающие конечные результаты реализации инноваций в целом по народному хозяйству, т.е. интегральный эффект инноваций у разработчиков, производителей, потребителей и бюджета; производственной (или оперативной), финансовой и инвестиционной эффективности, учитывающие конечные результаты реализации инноваций у каждого из участников инновационного процесса; бюджетной активности, учитывающие финансовые последствия осуществления инноваций для федерального, регионального и местного бюджетов.

Значимость определения эффекта от реализации инноваций возрастает в условиях рыночной экономики. Однако не менее важной она является и для переходной экономики.

В зависимости от временного периода учета результатов и затрат различают показатели эффекта за расчетный период, показатели годового эффекта.

Продолжительность принимаемого временного периода зависит от следующих факторов, а именно: продолжительности инновационного периода; срока службы объекта инноваций; степени достоверности исходной информации; требований инвесторов.

Общим принципом оценки эффективности является сопоставление эффекта (результата) и затрат (приложение Б). Отношение может быть выражено как в натуральных, так и в денежных величинах и показатель эффективности при этих способах выражения может оказаться разным для одной и той же ситуации. Но, главное, нужно четко понять: эффективность в производстве - это всегда отношение.

В целом проблема определения экономического эффекта и выбора наиболее предпочтительных вариантов реализации инноваций требует, с одной стороны, превышения конечных результатов от их использования над затратами на разработку, изготовление и реализацию, а с другой - сопоставления полученных при этом результатов с результатами от применения других аналогичных по назначению вариантов инноваций. Особенно остро возникает необходимость быстрой оценки и правильного выбора варианта на фирмах, применяющих ускоренную амортизацию, при которой сроки замены действующих машин и оборудования на новые существенно сокращаются.

Метод исчисления эффекта (дохода) инноваций, основанный на сопоставлении результатов их освоения с затратами, позволяет принимать решение о целесообразности использования новых разработок [14].

В результате инновационной деятельности рождаются новые идеи, новые и усовершенствованные продукты, новые или усовершенствованные технологические процессы, появляются новые формы организации и управления различными сферами экономики и ее структурами.

2. Инвестиционная деятельность предприятия

.1 Сущность, понятия и виды инвестиций

Под инвестициями понимают долгосрочное вложение капитала в отрасли экономики. Под инвестиционной деятельностью понимают совокупность практических действий граждан, юридических лиц и государства, направленных на расширенное воспроизводство основного и оборотного капитала с целью удовлетворения потребностей общества на основе привлечения и вложение всех видов имущественных и интеллектуальных ценностей в хозяйственные, коммерческие, научные, культурные, благотворительные и любые иные предприятия и проекты, цели которых не противоречат законодательству Российской Федерации.

Инвестиционный цикл - комплекс мероприятий от момента принятия решения об инвестировании до завершающей стадии инвестиционного проекта, в частности, например, научно-исследовательские и опытно-конструкторские работы, принятие инвестиционных решений, планирование и проектирование, подготовка к строительству, строительство, выход на проектные показатели и режим окупаемости вложений.

Инвестиционный цикл состоит из трех основных периодов: прединвестиционная фаза; фаза инвестиций - собственно затраты, вложения средств; эксплутационная фаза - возмещение затраченных средств.

Как уже говорилось, инвестиции представляют собой вложения капитала с целью последующего его увеличения. При этом прирост капитала должен быть достаточным для того, чтобы компенсировать инвестору отказ от использования имеющихся средств на потребление в текущем периоде, вознаградить его за риск, возместить потери от инфляции в текущем периоде [6].

Источником прироста капитала и движущим мотивом осуществления инвестиций является получаемая от них прибыль. Эти два процесса - вложение капитала и получение прибыли - могут происходить в различной временной последовательности. При последовательном протекании этих процессов прибыль получается сразу же после завершения инвестиций в полном объеме. При параллельном их протекании, получение прибыли возможно еще до полного завершения процесса. При интервальном протекании этих процессов между периодом завершения инвестиций и получения прибыли проходит определенное время, продолжительность которого зависит от особенностей конкретного инвестиционного проекта.

В ряде определений отмечается, что инвестиции представляют собой долгосрочные вложения денежных средств. Безусловно, отдельные формы инвестиций (в первую очередь, капитальные вложения) носят долгосрочный характер, однако инвестиции могут быть и краткосрочными (например, кратко- срочные финансовые вложения в акции, сберегательные сертификаты и т.п.).

Для закрепления понятия "инвестиции", как категории объединяющей в себе различные виды предпринимательской деятельности, приведем наиболее распространенную его классификацию:

По объекту вложений:

финансовые инвестиции - приобретение корпоративных прав, ценных бумаг и других финансовых инструментов;

реальные (капитальные) инвестиции - вложение средств в реальные активы;

По характеру участия в инвестировании:

прямые инвестиции - непосредственное вложение средств инвестором в объекты инвестирования;

непрямые инвестиции - инвестирование, опосредованное другими лицами (инвестиционными или финансовыми посредниками).

По периоду инвестирования:

краткосрочные инвестиции - вложение капитала на период, не более одного года;

долгосрочные инвестиции - вложение капитала на период более одного года.

В практике больших инвестиционных компаний долгосрочные инвестиции детализируются следующим образом: до 2 лет; от 2 до 3 лет; от 3 до 5 лет; больше 5 лет.

По региональному признаку:

внутренние инвестиции - вложение средств в объекты инвестирования, расположенные в границах данной страны;

инвестиции за границей - вложение средств в объекты инвестирования, расположенные за пределами данной страны.

По форме собственности:

частные - вложения средств, осуществляемые гражданами, а также предприятиями негосударственных форм собственности;

государственные - вложения, осуществляемые центральными и местными органами власти и управления за счет средств бюджетов, внебюджетных фондов, а также государственными предприятиями за счет собственных и заемных средств.

иностранные - вложения, осуществляемые иностранными гражданами, юридическими лицами и государствами;

совместные - вложения, осуществляемые лицами данной страны и иностранных государств.

Главной особенностью инвестиционных проектов предприятия является то, что они практически не создают какого-то принципиально нового продукта, продажа которого могла бы принести предприятию повышенные доходы и прибыль.

Многие инвестиционные проекты не дают прямого экономического эффекта, однако опосредованный эффект может быть (в случае успешной деятельности маркетинговой службы) довольно значительным. При высокой стоимости большинства инвестиционных проектов происходит замена технологического оборудования без кардинального снижения себестоимости продукции [6].

Внедрение новых технологических линий позволит значительно повысить качество продукции, ее рыночную привлекательность за счет новых видов упаковки и, тем самым, создаст больше гарантий для сбыта продукции. Не меньший парадокс возникает при внедрении на предприятии современной корпоративной информационной системы (КИС): налицо отсутствие прямого экономического эффекта, однако опосредованный эффект будет очень высоким, но, естественно, только при строгом соблюдении определенной последовательности и комплексности проведения работ в целом. При этом следует иметь в виду, что стоимость всех вышеуказанных проектов очень высока и измеряется в совокупностях миллионами долларов США.

.2 Общеметодологические вопросы оценки эффективности инвестиций

Инвестиционные проекты рождаются из потребностей предприятия. Условием жизнеспособности инвестиционных проектов является их соответствие инвестиционной политике и стратегическим целям предприятия, находящим основное выражение в повышении эффективности его хозяйственной деятельности. Оценка эффективности инвестиционных проектов - один из главных элементов инвестиционного анализа; является основным инструментом правильного выбора из нескольких инвестиционных проектов наиболее эффективного, совершенствования инвестиционных программ и минимизации рисков.

Методы оценки инвестиционных проектов не во всех случаях могут быть едиными, так как инвестиционные проекты весьма значительно различаются по масштабам затрат, срокам их полезного использования, а также по полезным результатам. К мелким инвестиционным проектам можно применять простейшие способы расчета.

В то же время реализация более масштабных инвестиционных проектов (новое строительство, реконструкция и т.д.), требующих больших инвестиционных затрат, вызывает необходимость учета большого числа факторов и, как следствие, проведение более сложных расчетов, а также уточнения методов оценки эффективности. Чем масштабнее инвестиционный проект и чем больше значительных изменений он вызывает в результатах хозяйственной деятельности предприятия, тем точнее должны быть расчеты денежных потоков и методы оценки эффективности инвестиционного проекта [6].

То обстоятельство, что движение денежных потоков, вызванное реализацией инвестиционных проектов, происходит в течение ряда лет, усложняет оценку их эффективности. С учетом того, что внедрение инвестиционных проектов в течение длительного периода времени оказывает влияние на экономический потенциал и результаты хозяйственной деятельности предприятия, ошибка в оценке их эффективности чревата значительными финансовыми рисками и потерями.

Экономической науке известны несколько основных причин расхождения между проектными и фактическими показателями эффективности инвестиционных проектов. К первой группе причин относится сознательное завышение эффективности инвестиционного проекта, обусловленное субъективной позицией отдельных ученых, научных работников и специалистов предприятия и их борьбой за ограниченные финансовые ресурсы. Вторая группа причин обусловлена недостаточным учетом факторов риска и неопределенности, возникающих в процессе использования инвестиционных проектов.

Из этого следует, что при перспективной оценке эффективности инвестиционных проектов возникает множество проблем. Избежать или свести их к минимуму в значительной мере поможет выбор наиболее объективных методов оценки эффективности инвестиций.

В настоящее время в европейских странах и в США существует ряд методов оценки эффективности инвестиций. Их можно разделить на две основные группы: методы оценки эффективности инвестиционных проектов, не включающие дисконтирование и включающие дисконтирование.

К методам, не включающим дисконтирование, относятся: метод, основанный на расчете сроков окупаемости инвестиций (срок окупаемости инвестиций); метод, основанный на определении нормы прибыли на капитал (норма прибыли на капитал); метод. Основанный на расчете разности между суммой доходов и инвестиционными издержками (единовременными затратами) за весь срок использования инвестиционного проекта или накопленное сальдо денежного потока; метод сравнительной эффективности приведенных затрат на производство продукции; метод выбора вариантов капитальных вложений на основе сравнения массы прибыли (метод сравнений прибыли).

Методы оценки эффективности, не включающие дисконтирование, иногда называют статистическими методами оценки эффективности инвестиций. Эти методы опираются на проектные, плановые и фактические данные о затратах и результатах, обусловленные реализацией инвестиционных проектов. При использовании этих методов в отдельных случаях прибегают к такому статистическому методу, как расчет среднегодовых данных о затратах и результатах за весь срок использования инвестиционного проекта. Статистические методы оценки эффективности инвестиций наиболее рационально применять в тех случаях, когда затраты и результаты равномерно распределены по годам реализации инвестиционных проектов и срок их окупаемости охватывает небольшой промежуток времени - до пяти лет. Однако, благодаря своей простоте, общедоступности для понимания большинством специалистов фирм, высокой скорости расчета эффективности инвестиционных проектов, доступности к получению необходимых данных, эти методы получили самое широкое распространение на практике. Основные их недостатки - охват краткого периода времени, игнорирование временного аспекта стоимости денег и неравномерного распределения денежных потоков в течение всего срока функционирования инвестиционных проектов [14].

Всю совокупность статистических методов оценки эффективности инвестиций можно условно разделить на две группы: 1) методы абсолютной эффективности инвестиций; 2) методы сравнительной эффективности вариантов капитальных вложений. К первой группе относятся: метод, основанный на расчете сроков окупаемости инвестиций и метод, основанный на определении нормы прибыли на капитал. Ко второй группе относятся: метод накопленного сальдо денежного потока за расчетный период; метод сравнительной эффективности - метод приведенных затрат; метод сравнения прибыли.

Дисконтирование - метод оценки инвестиционных проектов путем выражения будущих денежных потоков, связанных с реализацией проектов, через их стоимость в текущий момент времени. Методы оценки эффективности инвестиций, основанные на дисконтировании, применяются в случаях крупномасштабных инвестиционных проектов, реализация которых требует значительного времени. К методам оценки эффективности инвестиций, основанным на дисконтировании относятся: метод чистой приведенной стоимости; метод внутренней нормы прибыли; дисконтированный срок окупаемости инвестиций; индекс доходности; метод аннуитета.

Следствием инновационной деятельности являются новые художественно-конструкторские (дизайнерские) решения внешнего вида изделия - промышленные образцы. Промышленные образцы отражают единство технических, функциональных и эстетических свойств изделия, входят в состав нематериальных активов, являются предметом лицензионных соглашений и объектом охраны промышленной собственности. Права на изобретения, товарные знаки и другие результаты инновационной деятельности оформляются лицензией. Лицензии различаются по характеру и объему прав, по наличию правовой охраны, по способам передачи и условиям использования и другим признакам (приложение В). Материальные результаты инновационной деятельности выступают в виде созданных и освоенных новых машин, оборудования, аппаратов, приборов и средств автоматизации. Созданные и освоенные образцы машин, оборудования, аппаратов, приборов и средств автоматизации делятся на новые, модернизированные и модифицированные. Эффективность инновационной деятельности можно оценить через конкурентоспособность новой продукции, успешное представление ее на внутреннем и внешнем рынках.

.3 Анализ и оценка инвестиционных проектов

Методология и методы оценки эффективности инвестированных проектов в Российской Федерации независимо от форм собственности определены в Методических рекомендациях по оценке эффективности инвестиционных проектов и их отбору для финансирования.

Основу оценки эффективности инвестиционных проектов составляют определение и соотнесение затрат и результатов их осуществления.

Оценку эффективности инвестиционных проектов следует производить с учетом дисконтирования указанных показателей, т.е. путем приведения их к стоимости на момент сравнения. Это обусловливается тем, что денежные поступления и затраты осуществляются в различные временные периоды и, следовательно, имеют разное значение. Доход, полученный в более ранний период, имеет большую стоимость, чем полученный в более поздний период. То же касается и затрат: произведенные в более ранний период, они имеют большую стоимость, чем произведенные позже.

В расчетах по оценке эффективности инвестиционных проектов целесообразно учитывать влияние изменения цен на продукцию и потребляемые ресурсы под воздействием изменения объема продаж влияние удовлетворения спроса и предложения на рынке товаров и услуг [6].

Оценка эффективности инвестиционных проектов производится путем расчета ряда показателей:

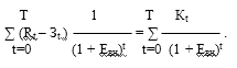
Чистый дисконтированный доход (ЧДД), т.е. Эинт определяется как сумма текущих эффектов за весь расчетный период, приведенная к начальному шагу, или как превышение интегральных результатов над интегральными затратами и рассчитывается по формуле:


где    Rt - результаты, достигаемые на t-м шаге расчета;

Зt - затраты, осуществляемые на t-м шаге;

Т - временной период расчета;

Е - норма дисконта.

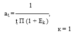
Временной период расчета принимается исходя из сроков реализации проекта, включая время создания предприятия и производства, его эксплуатации и ликвидации. Если величина ЧДД инвестиционного проекта положительна, то он признается эффективным, т.е. обеспечивающим уровень инвестиционных вложений не меньший, чем принятая норма дисконта. Приведение величин затрат и их результатов осуществляется путем умножения их на коэффициент дисконтирования (аt), определяемый для постоянной нормы дисконта Е по формуле:

Где t - время от момента получения результата (произведения затрат) до момента сравнения, измеряемое в годах.

Норма дисконта Е - коэффициент доходности капитала (отношение величины дохода к капитальным вложениям), при которой другие инвесторы согласны вложить свои средства в создание проектов аналогичного профиля.



Где Еk - норма дисконта в k-м году;- учитываемый временной период, год.

При определении показателей экономической эффективности инвестиционных проектов могут использоваться базисные, мировые, прогнозные расчетные цены на продукцию и потребляемые ресурсы.

Базисные цены - это цены, сложившиеся на определенный момент времени. Они используются, как правило, на стадии технико-экономических исследований инвестиционных возможностей.

Прогнозные цены - цены на конец t-ro года реализации инвестиционного проекта в соответствии с прогнозируемым индексом изменения цен на продукцию, ресурсы, услуги. Они определяются по формуле:

Цt = Цб - It , (4)

Где Цt - прогнозируемая цена на конец t-го года реализации инвестиционного проекта;

Цб - базисная цена продукции или ресурса;

It - прогнозный коэффициент (индекс) изменения цен соответствующей продукции или соответствующих ресурсов на конец t-го года реализации инвестиционного проекта по отношению к моменту принятия базисной цены.

Индекс доходности (ИД) инвестиций представляет собой отношение сумм приведенного эффекта к величине инвестиций К:


Если индекс доходности равен или больше единицы (ИД ≥ 1), то инвестиционный проект эффективен, а если меньше - неэффективен.

Внутренняя норма доходности (ВНД) инвестиций представляет собой ту норму дисконта Евн, при которой величина приведенного эффекта равна приведенным инвестиционным вложениям, т.е. Евн (ВНД) определяется из равенства:


Рассчитанная по этой формуле величина нормы доходности сравнивается с требуемой инвестором величиной дохода на капитал. Если ВНД равна или больше требуемой нормы доходности, то проект считается эффективным.

Окупаемость. Этот показатель важен с позиции знания времени возврата первоначальных вложений, т.е. окупятся ли инвестиции в течение срока их жизненного цикла? Окупаемость рассчитывается по следующей формуле:


Где Кок - окупаемость, месяцы (годы);

С - чистые инвестиции, руб.;

Дсг - среднегодовой приток денежных средств от проекта, руб.

Вместе с тем с экономической точки зрения просто возврат вложенных средств неприемлем, поскольку инвестор должен зарабатывать прибыль на инвестированные средства. Из этого следует, что он должен получать прибыль в течение всего жизненного цикла инвестиций: оборудование, освоение нового проекта и после наступления срока окупаемости.

При определении эффективности инвестиционного проекта необходимо учитывать риски, связанные с его осуществлением. Возникновение рисков обусловливается рядом обстоятельств: нестабильностью экономического законодательства и текущей экономической ситуации, нестабильностью условий инвестирования и использования прибыли; неопределенностью политической ситуации, риском, связанным с неблагоприятными социально-экономическими изменениями в стране, регионе; неполнотой или неточностью информации о динамике технико-экономических показателей, параметрах новой техники и технологии; колебаниями рыночной конъюнктуры, цен, валютных курсов и т.п.

Поэтому, осуществляя инвестиции, предприятия должны разработать организационно-экономический механизм реализации проекта, позволяющий снизить риск или уменьшить связанные с ним неблагоприятные последствия. Проект считается устойчивым и эффективным, если во всех установленных ситуациях интересы участников соблюдаются, а возможные неблагоприятные последствия устраняются за счет созданных запасов или возмещаются страховыми выплатами [6].

Для повышения качества инвестиционного проектирования необходимо научиться выполнять финансовые расчеты вручную или с использованием компьютерных программ для многовариантности обоснования, а также проводить мониторинг осуществления проектов.

Заключение

Существование российских компаний в рыночных условиях значительно усложняется повышающейся конкурентной активностью предприятий, которые стремятся завоевать передовые позиции. Инновационная деятельность представляет собой систему мероприятий по использованию научного, научно-технического и интеллектуального потенциала с целью получения нового или улучшенного продукта или услуги, нового способа их производства для удовлетворения как индивидуального спроса, так и потребности общества в новшествах в целом.

В условиях рыночной экономики анализ эффективности инновационной деятельности усложняется, приобретая многоступенчатый характер. В условиях расширяющегося рыночного пространства, множественной диверсификации усиливаются темпы обновления. В производстве одновременно оказываются товары, техника и технология на разных стадиях жизненного цикла, принадлежащие к разным моделям и поколениям. Полезный эффект новшеств как в производстве, так и в эксплуатации не всегда можно оценить с помощью стоимостных оценок. Позиции повышения конкурентоспособности определяются прежде всего лидерством в производимой продукции, лидерством в технологии и т.д.

Инновации имеют огромное значение для развития национальной экономики в целом, и приоритетных отраслей в первую очередь.

Одновременно перед народным хозяйством страны стоит задача оживить инвестиционную деятельность, и как можно скорее. Без нормального инвестиционного климата из кризиса не выйти. Нужна стабильная валюта, стабильные законы, стабильные налоги, компетентное руководство. Необходимо добиться такого развития экономики, чтобы сбережения пошли в банки, в инвестиционные фонды, финансовые компании и стали работать на пользу народного хозяйства.

Соотношение между зарубежным капиталом и частным национальным капиталом, вкладываемый в инвестиционные процессы, только на первый взгляд кажется простым. Опыт других стран свидетельствует, что нельзя создать привлекательные условия для зарубежного капитала, не создав для своего, национального. Необходимо ясно представлять, что внешние инвестиции не пойдут в экономику пока в ней не будет внутренних инвестиций. Вложение средств должно стать привлекательным для национального капитала в первую очередь, а затем для иностранного.

В этой связи важно как можно скорее разобраться с факторами, которые способствуют созданию благоприятных условий для оживления инвестиционного процесса.

В числе путей решения этого вопроса можно назвать следующие:

- децентрализация инвестиционного процесса;

повышение роли амортизационных отчислений;

расширение практики страхования инвестиций;

- переход к размещению государственных средств на конкурсной основе под эффективные инвестиционные проекты;

создание благоприятных условий для привлечения зарубежного капитала.

Глоссарий

№ п/п

Новые понятия

Содержание

1

Дисконтирование

Метод оценки инвестиционных проектов путем выражения будущих денежных потоков, связанных с реализацией проектов, через их стоимость в текущий момент времени

2

Жизненный цикл инноваций

Промежуток времени от зарождения целей до снятия с производства реализованного на ее основе инновационного продукта

3

Инвестиции

Виды финансовых и материальных ресурсов, а также имущественных и интеллектуальных ценностей, вкладываемые в объекты предпринимательских и других видов деятельности с целью получения прибыли или социального эффекта

4

Инвестиционная деятельность

Процесс формирования и реализации инвестиционных ресурсов

5

Инвестиционные проект

Обоснование экономической целесообразности, объема и сроков осуществления капитальных вложений

6

Инвестор

Собственник инвестиционных ресурсов

7

Инновация

Усовершенствование деятельности субъекта хозяйствования, приносящее положительный экономический, социальный или экологический результат

8

Капитальные вложения

Затраты на создание новых, расширение, реконструкцию, техническое перевооружение действующих основных фондов производственного и непроизводственного значения

9

Нетто-инвестиции

Начальные (стартовые) инвестиции, осуществляемые при создании или покупке предприятия, а также вкладываемые в расширение производственной мощности

10

Объекты инвестирования

11

Процессная инновация

Освоение новых или значительно усовершенствованных способов производства и технологий, изменения в оборудовании или организации производства

12

Реинвестиции

Средства, направляемые на восстановление изношенных основных фондов

13

Рентабельность

Отношение прибыли к среднегодовой стоимости основных средств

14

Риск в инновационном предпринимательстве

Вероятность потерь, возникающих при вложении предпринимательской фирмой средств в производство новых товаров и услуг, в разработку новой техники и технологий, которые, возможно, не найдут ожидаемого спроса на рынке

15

Страхование

Система экономических отношений, включающая образование специального фонда средств (страхового фонда) и его использование для преодоления и возмещения разного рода потерь, ущерба, вызванных неблагоприятными событиями путем выплаты страхового возмещения и страховых сумм

16

Субинвестор

Юридическое и физическое лицо, которое осуществляет организацию и управление инвестиционной деятельностью на всех этапах ее реализации по договору с инвестором и действует от его имени

17

Субъект инвестиций

Организация, использующая инвестиции для развития своего производства, внедрения и выпуска новой продукции или иных аналогичных целей


Список сокращений

И др. - и другие;

И т.д. - и так далее;

И т.п. - и тому подобное;

ИП - инвестиционный проект;

КИС - корпоративная информационная система;

ЧДД - чистый дисконтированный доход.

Список использованных источников

1. Полный сборник кодексов Российской Федерации [текст]: М.: ЗАО "Славянский дом книги", 1999. - ISBN 5-93220-002-2.

. Войтов, А.Г. Экономика. Общий курс (Фундаментальная теория экономики) [текст]: учебник/А.Г.Войтов- 6-е перераб и доп. Изд.- М.: Издательско-книготорговый центр "Маркетинг", 2002. - 584 с. - ISBN 5-94462-217-2.

. Головачев, А.С. Экономика предприятия [текст]: учебно-метод. Комплекс / А.С.Головачев [и др.] / под ред.В.И.Кудашова. - Мн.: Изд-во МИУ, 2007. - 340 с. - ISBN 978-985-490-304-0.

. Золотогоров, В.Г. Организация и планирование производства [текст]: Практическое пособие / В.Г.Золотогоров. - Мн.: ФУАинформ, 2001. - 528 с. - ISBN 985-6564-12-3.

. Кожекин, Г.Я. Организация производства [текст]: учебное пособие / Г.Я.Кожекин, Л.М.Синица. - Мн.: ИП "Экоперспектива", 1998. - 334 с. - ISBN 985-6102-32-4.

. Крылов, Э.И. Анализ эффективности инвестиционной и инновационной деятельности предприятия [текст]: учебное пособие / Э.И.Крылов, В.М.Власова, И.В.Журавлева. - 2-е изд., перераб. и доп. - М.: Финансы и статистика, 2003. - 608 с.: ил. - ISBN 5-279-02616-6.

. Организация производства на предприятии [текст]: учебник для технических и экономических специальностей ВУЗов / под редакцией О.Г.Туровца, Б.Ю.Сербиновского, Ростов-на-Дону, издательский центр "МарТ", 2002. - 464 с. - ISBN 5-241-00098-4.

. Пасюк, М.Ю. Организация производства и управление предприятием [текст]: учебно-методическое пособие / М.Ю.Пасюк, Т.Н.Долинина. - Мн.: "ФУАинформ", 2006. - 88 с. - ISBN 985-6721-19-9.

. Прогнозирование и планирование экономики [текст]: учебное пособие / В.И.Борисевич, Г.А.Кандаурова, Н.Н.Кандауров [и др.] / под общ. ред. В.И.Борисевича, Г.А.Кандауровой. - Мн.: Интерпрессервис; Экоперспектива, 2001. - 380 с. - ISBN 985-6656-04-4, ISBN 985-6598-78-8.

. Титов, В.И. Экономика предприятия [текст]: учебник / В.И.Титов. - М.: Издательско-торговая корпорация "Дашков и К", 2004. - 462 с. - ISBN 5-94798-292-7.

. Феденя, А.К. Организация производства и управление предприятием [текст]: учебное пособие / А.К.Феденя. - Мн.: ТетраСистемс. 2004. - 192 с. - ISBN 985-470-227-8.

. Шепеленко, Г.И. Экономика, организация и планирование производства на предприятии [текст]: учебное пособие для студентов экономических факультетов и ВУЗов./ Г.И.Шепеленко. 2-е издание, дополненное и переработанное. - Ростов-на-Дону: Издательский центр "МарТ", 2000. - 544 с. - ISBN 5-241-00014-3.

. Экономика труда [текст]: учебник для вузов / Л.И.Жуков, Г.Р.Погосян, В.И.Сивцов [и др.] / под ред. Г.Р.Погосяна, Л.И.Жукова. - М.: Экономика, 1991. - 304 с. - ISBN 5-282-00830-0.

. Экономика предприятия [текст]: учебное пособие / Л.Н.Нехорошева, Н.Б.Антонова, М.А.Зайцева [и др.] / под общ. ред. Л.Н.Нехорошевой. - Мн.: Выш. шк., 2003. - 383 с.: ил. - ISBN 985-06-0795-5.

Приложение А

Рисунок А.1 - Матрица Бостонской консультативной группы

Рисунок А.2 - Стратегия производства в области конкурентоспособности в зависимости от стадии жизненного цикла товара

Приложение Б

Виды эффекта от реализации новшеств

Вид эффекта

Факторы, показатели

1. Экономический

Показатели учитывают в стоимостном выражении все виды результатов и затрат, обусловленных реализацией инноваций

2. Научно-технический

Новизна, простота, полезность, эстетичность, компактность

3. Финансовый

Расчет показателей базируется на финансовых показателях

4. Ресурсный

Показатели отражают влияние инновации на объем производства и потребления того или иного вида ресурса

5. Социальный

Показатели учитывают социальные результаты реализации инноваций

6.Экологический

Шум, электромагнитное поле, освещенность (зрительный комфорт), вибрация. Показатели учитывают влияние инноваций на окружающую среду


Приложение В

Классификация лицензий

Похожие работы на - Эффективность инвестиционной и инновационной деятельности предприятия

 

Не нашли материал для своей работы?
Поможем написать уникальную работу
Без плагиата!
Без нейросетей!