Анализ инвестиционной и инновационной деятельности предприятия
Введение
В последнее время вопрос
развития инновационной деятельности приобрёл для России особую остроту и
актуальность. О внедрении инновационных технологий говорят на самом высоком
уровне. Учитывая, что наша страна позднее, чем многие другие, приступила к
инновационным преобразованиям в своей экономике, дальнейшее промедление в этом
плане может отодвинуть её на периферию развития мирового сообщества.
В современных условиях развития
конкурентной среды одним из основных способов решения экономических, социальных
и экологических проблем становится использование новейших достижений науки и
техники. Каждое предприятие стремится к тому, чтобы экономический рост был
интенсивным, т.е. был следствием применения более совершенных факторов
производства и технологий. Предпосылкой интенсивного роста является
использование в практической деятельности предприятий инновационной стратегии.
Технологические инновации играют
все большую роль в обеспечении устойчивого экономического роста, превращая
деятельность по исследованиям и разработкам в области науки и технологии в
более высокую производительность труда и другие показатели экономического
роста, разрешая другие экономические проблемы, стоящие перед каждым
предприятием.
Развитие любого успешно
действующего в условия рыночной экономики предприятия следует рассматривать как
постоянный процесс создания инноваций, как непрерывный процесс творческой
деятельности, направленный на создание новой продукции и услуг, технологии и
материалов, новых организационных форм, обладающих научно-технической новизной
и позволяющие удовлетворить новые общественные или индивидуальные потребности.
Таким образом, инновационная
деятельность понимается как вид деятельности, связанный с трансформацией идей (обычно
результатов научных исследований и разработок либо иных научно-технических
достижений) в технологические инновации - новые или усовершенствованные
продукты или услуги, внедренные на рынке, новые или усовершенствованные
технологические процессы или способы производства (передачи) услуг,
использованные в практической деятельности.
Необходимо отметить, что в основе
стратегического управления лежит фактор адаптации, приспособления фирмы к
изменяющимся условиям среды. Очевидно, что для этого фирма должна что-либо
изменить в своей структуре, т.е. внедрить инновацию, которая позволит во-первых
- сохранить существующее положение фирмы, и, во-вторых - получить новые
конкурентные преимущества.
Вместе с тем, инновации требуют
финансовых вложений. Для того чтобы получить дополнительную прибыль или
сохранить её существующий уровень необходимо осуществить финансовые вложения в
разработку и реализацию инноваций. При этом эмпирически установлена зависимость:
чем на больший успех в будущем рассчитывает организация, тем к большим затратам
она должна быть готова в настоящем.
Целью
данной курсовой работы является всестороннее рассмотрение вопроса
инвестиционной и инновационной деятельности, а именно состояние и перспективы развития
инновационных технологий в России, а также, понятие, цели, задачи и анализ
инвестиционной и инновационной деятельности.
1. Теоретические основы и правовое обеспечение инвестиционной и
инновационной деятельности
1.1 Инвестиционная и инновационная деятельность в России, проблемы и перспективы
В мировой экономической
литературе "инновация" интерпретируется как превращение
потенциального научно-технического прогресса в реальный, воплощающийся в новых
продуктах и технологиях. Проблематика нововведений в нашей стране на протяжении
многих лет разрабатывалась в рамках экономических исследований НТП.
Термин "инновация" стал
активно использоваться в переходной экономике России как самостоятельно, так и
для обозначения ряда родственных понятий: "инновационная деятельность",
"инновационный процесс", "инновационное решение" и т.п.
Инновация может быть рассмотрена
как в динамическом, так и статическом аспекте. В последнем случае инновация
представляется как конечный результат научно-производственного цикла. Иными
словами, мы имеем факт инновации как явления.
Вместе с тем инновация как
процесс представляет собой создание, освоение и распространение нововведений.
Научно-технические разработки
выступают как промежуточный результат научно-производственного цикла и по мере
практического применения превращаются в научно технические нововведения. Таким
образом происходит материализация новых идей и знаний в процессе производства с
целью их коммерческой реализации для удовлетворения новых потребностей
потребителей. Иными словами, непременными свойствами инновации как явления
являются научно-техническая новизна и производственная применимость. Коммерческая
реализуемость по отношению к инновации выступает как потенциальное свойство,
для реализации которого необходимы определенные усилия.
Из сказанного следует, что
инновацию как явление необходимо рассматривать неразрывно с инновацией как
процессом.
Необходимо также отметить, что
на практике понятия "новшество", "новация", "нововведение"
нередко отождествляются, хотя между ними есть определенные различия. Новшеством
может быть новый порядок, новый метод, изобретение. Нововведение означает, что
новшество используется. С момента принятия к распространению новшество
приобретает новое качество и становится инновацией.
Как уже было отмечено выше,
инновационный процесс, как правило, невозможен без инвестиций ("инвестиции
в инновации").
По результатам многочисленных
исследований, проведенных в США, экономическая отдача инвестиций в инновации
превышает окупаемость в любых других сферах применения финансовых ресурсов и
находится на уровне 35 - 50%. Если учесть сопутствующие выгоды для общества в
целом, зачастую существенно превышающие прямой эффект первоначального
назначения разработки, инвестиции в инновации и питающую их науку являются
наиболее эффективным способом размещения финансового капитала.
Однако необходимо принимать во
внимание противоречия между оптимистическими среднестатистическими данными и
необходимостью принятия решений по конкретному всегда высокорискованному
проекту в условиях ограниченных ресурсов. Применительно к инвестициям в НИОКР
недостаточность ресурсов становится общемировой проблемой: растущий уровень
общемировой конкуренции в условиях прозрачных границ делает необходимыми столь
значительные инвестиции в разработку новых продуктов и технологий, что это
становится все более непосильным ни большим корпорациям, ни бюджету даже в
преуспевающих странах запада. Достижение конкурентоспособности на мировом рынке
требует все более и более существенных финансовых затрат на реализацию новых
технологий, и при этом для их успешного внедрения требуется от пяти до десяти
лет. Часто ставкой подобного выбора (ценой ошибки) является кампания или целая
отрасль. В этой жесткой только конкуренция ресурсов на меньшем числе наиболее
перспективных проектов, профессионально отобранных на более ранних стадиях,
исходя из коммерческого потенциала, с последующей быстрой успешной
коммерциализацией разработок обеспечивает возврат инвестиций.
Один из аспектов разрешения
проблемы - интеграция усилий всех участников, заинтересованных в
коммерциализации технологий: частного сектора, исследовательских и учебных
организаций, государства.
Еще более важным представляется
качественный уровень самого инновационного процесса (или тождественного с ним
процесса коммерциализации технологий), определяющий возможный успех проекта -
отношение уровня финансовой отдачи к начальным инвестициям, а также риски
участников реализации инвестиции.
Учитывая все вышеизложенные
факторы повышения роли инноваций в низовой экономике и доступа к финансовым
ресурсам в сфере коммерциализации технологий, можно утверждать, что венчурный
капитал как специфический тип финансирования, разработанный специально для
инвестиций в проекты, связанными с высокими рисками, прежде всего
инновационные, играет критическую роль.
Внедрение инноваций в
хозяйственную жизнь организации естественно требует вложения финансовых средств
в их разработку и освоение. При этом установлена эмпирическая зависимость - чем
большую прибыль от нововведения рассчитывает получить в будущем организация,
тем к большим затратам она должна быть готова в настоящем.
Тем не менее, для организации
проблема выбора объекта финансовых вложений не исчерпывается предельной суммой
инвестиций. Исследования показали, что наибольшей эффективностью обладают
вложения в инновации, где организация имеет возможность получать монопольную
сверхприбыль. Иными словами, наиболее выгодны инвестиции в инновации,
развивающие отличительные способности организации.
Анализ зарубежного и
отечественного опыта показывает, что основными сценариями повышения
эффективности бизнеса в этой сфере являются: рост капитализации через учёт
инноваций как нематериальных активов; получение доходов через коммерциализацию
инноваций; повышение эффективности за счёт внедрения технических и
организационно-управленческих разработок. Одним из важнейших условий для
перевода инновационной деятельности в плоскость реальной экономики и активного
вовлечения бизнеса в этот процесс является формирование современного
конкурентного рынка инноваций - единого правового, информационного и торгового
пространства, которое объединило бы всех участников инновационного процесса.
Ежегодно во всем мире бизнес
тратит миллионы долларов на создание know how. Инновационный сектор - один из
самых опасных и рискованных. К чему стоит готовиться предпринимателю, который
решил удивить конкурентов и потребителей новым продуктом?
Каждая компания стремится
производить свой уникальный продукт, который не имел бы аналогов у конкурентов.
Он должен быть дешевле и, главное, пользоваться популярностью у потребителя. По
всему миру ежегодно появляются миллионы новых товаров и технологий. Компании
самостоятельно инвестируют в разработку, научные исследования, а затем внедряют
созданные новинки.
Процесс это недешевый. Вложения
в know how считаются едва ли не самыми рисковыми. Очень уж велика вероятность,
что деньги будут потрачены впустую, а новый продукт на выходе окажется просто
бесполезным - слишком дорогим или даже просто невостребованным покупателями. На
создание новинки могут уйти годы. Вначале надо разработать идею, потом внедрить
созданный товар в производство и, наконец, продвинуть на рынок. Нужны
значительные ресурсные затраты, внедрение дорогостоящих, иногда
узкоспециализированных технологических процессов, использование новейших
достижений науки. Ошибка возможна на любой стадии. Например, маркетинг может
оказаться столь дорогим, что сделает невыгодной даже самую удачную инновацию,
да и сроки окупаемости бывают достаточно длинными. Но и отказаться от расходов
на know how нельзя - ведь иначе можно отстать от конкурентов.
В России, где налоговых
послаблений для компаний практически нет, инвестиции в инновации опаснее в разы.
Неудивительно, что, по мировым стандартам, отечественный бизнес характеризуется
относительно низкой активностью. По результатам исследования, недавно
проведенного Ассоциацией менеджеров, доля инновационно активных предприятий не
превышает 10 - 12%. Средства тратятся в основном на постепенное
усовершенствование существующего продукта. В этом признались 43% респондентов. Лишь
16% компаний сообщили, что внедряют нововведения, серьезно изменяющие и
улучшающие качество. Совершенствованием производственного процесса, то есть
разработкой новых технологий, занимается еще меньшая доля респондентов - всего
9%. Цифры действительно небольшие. Для сравнения: порядка 70% ежегодного
экономического роста США было обеспечено именно за счет разработок новых
товаров. Американские компании тратят в год от 10 до 20% чистой выручки на
создание или улучшение своих товаров или производственных возможностей.
Все отечественные компании,
независимо от того, малый бизнес они представляют или крупные корпорации,
работают приблизительно по одной схеме. Отличия лишь в объеме денежных средств,
которые они направляют на новые разработки. Наверное, главная проблема
инвестиций в know how - никогда не знаешь, сколько денег от тебя потребует
создание готового продукта. Учесть все расходы на начальном этапе практически
невозможно.
Поиск денег сам по себе является
достаточно серьезной проблемой. По крайней мере, для тех компаний, которые
относятся к малому и среднему бизнесу. Традиционно в мире пользуются заемными
средствами, которые предоставляют венчурные фонды. Неудивительно, что компании
предпочитают не рисковать собственными деньгами - ведь расходы получаются
достаточно большими.
В мире, равно как и в России,
диапазон вложений в одну разработку составляет $0,1 млн - $50 млн. Типичный
средний показатель $0,5 млн - $5 млн на одно know how на срок от полугода до
двух лет. В российских условиях только составление финансово грамотного и
проработанного бизнес-плана, удовлетворяющего необходимым стандартам, стоит в
среднем около $7000.
При этом значительную часть
инвестиций предприятия осуществляют из собственных, а не заемных средств. В
России существует огромное количество институтов финансирования, но фактически
получение денег от них требует прохождения процедур, доступных лишь уже
развитому, успешно работающему бизнесу, который имеет для этого необходимые капитал,
кадровый состав и опыт.
Главное, что усложняет создание
новых продуктов - конечно, неопределенность результата. Риски инноваций
считаются едва ли не самыми серьезными из всех, которые несут предприятия. Повышенную
опасность таких инвестиций компенсирует высокий уровень доходности, если
инновация оказалась удачной. Из 10 разработок 5 приносят инвестору минус. Из
оставшихся 5 разработок только 3 позволят всего лишь "выйти в ноль". Утешает
потенциальных инвесторов то, что оставшиеся 2 новинки дают такую прибыль, что
она распределяется на все 10 разработок объемом не менее 40%.
Частота создания принципиально
новых, революционных решений в инновационном бизнесе крайне мала. Как
показывает статистика, 98% всех know how - это усовершенствования, улучшения
уже существующих товаров и услуг. Риски при внедрении таких разработок гораздо
ниже, чем у 2% гениальных инновационных идей.
Действительно, степень "градуса
опасности" для инвестиций в новинки отличается в разы. Традиционно
наиболее привлекательны для инвесторов предложения, связанные исключительно с
продвижением готового инновационного продукта. Значительно выше риск по
проектам, ориентированным на продукты или технологии, находящиеся в стадии разработки.
Наиболее неохотно выделяют деньги на инновационные разработки с незавершенной
стадией поисковых исследований. Здесь отдача от инвестиций и вовсе
непрогнозируема. В российских условиях имеется к тому же дополнительная
сложность. По отечественному законодательству риск неудач при выполнении
договоров несет заказчик. Между тем большинство инвесторов предпочитает
переложить на разработчиков хотя бы часть потенциальных опасностей.
Тем не менее в большинстве
компаний уже давно разработали целый ряд механизмов, позволяющих хотя бы
частично снизить угрозу потери денег при создании новых продуктов. Есть общие
стандарты, которые применяются повсеместно. Например, рекомендуется поэтапное
финансирование инновационных проектов. Каждое следующее финансовое отчисление
производится только после получения результатов предыдущего этапа. Кроме того,
корпорации практикуют вложение средств не в одну, а сразу в несколько различных
разработок, которые иногда даже конкурируют между собой. Чем больше новых
продуктов создается одновременно, тем больше шансов, что хоть одна из новинок
будет пользоваться спросом на рынке.
На государственном уровне тема
инноваций пробрела особый статус в последние 2 года, была создана специальная
комиссия при президенте по модернизации и технологическому развитию экономики
страны
Были выделены пять приоритетных
направлений. Ими стали энергоэффективность и энергосбережение, ядерные
технологии, космические технологии с уклоном в телекоммуникации, медицинские
технологии и стратегические информационные технологии, включая создание
суперкомпьютеров и программного обеспечения.
Что касается инвестиций то в прошлом
году, прошедшем под знаком мирового экономического кризиса, наша страна
недосчиталась достаточно большого числа миллионов долларов, утекших за рубеж. Сокращение
кредитных ресурсов, сокращение глобального спроса, чрезвычайная
неопределенность в мировой экономике и рост безработицы оказали отрицательное
воздействие на рост инвестиций и потребления в России.
Согласно данным Росстата, рост
совокупных инвестиций в основной капитал составил 9,8% в 2008 г. по сравнению с
21,1% в 2007 г. Большую тревогу вызывает снижение инвестиций в четвертом
квартале 2008 года на 2,3% по сравнению с аналогичным периодом предыдущего
года, что, в основном, было обусловлено усиливающимися проблемами с
ликвидностью в банковском секторе и, как следствие, кредитным сжатием. В тоже
время, рост потребления замедлился с 7.2% в четвертом квартале 2007 г. до 1.9%
в четвертом квартале 2008 г. в связи с ростом безработицы и негативным влиянием
кризиса на доходы населения.
В целях привлечения инвестиций,
улучшения инвестиционного климата, стимулирования инноваций и т.п., согласно
заверениям Путина, правительство в скором времени предложит пакет мер, который
позволит снять административные барьеры, улучшить налоговое законодательство и т.п.
Предполагается также, что
инновации государство должно стимулировать и с помощью госзаказа. “Доля
инновационной продукции в госзакупках должна быть увеличена до 10-15%.
1.2 Основные понятия, цели и задачи инвестиционной и инновационной деятельности
Основными законодательными актами,
регулирующими порядок осуществления инвестиционной деятельности в РФ, Федеральный
закон от 22 апреля 1996 г. № 39-ФЗ (с изм. и доп. от 26 ноября 1998 г.8 июля
1999 г., 7 августа 2001 г., 28 декабря 2002 г)"О рынке ценных бумаг" и
Федеральный закон от 25 февраля 1999 г. № 39-ФЗ (в ред. от 24.07.2007
N 215-ФЗ)"Об инвестиционной деятельности в Российской Федерации,
осуществляемой в форме капитальных вложений". Эти основополагающие
документы определяют перечень объектов капитальных вложений, субъектов
инвестиционной деятельности и экономико-правовой механизм ее осуществления в РФ.
Вступление в силу последнего из вышеприведенных законодательных актов
существенно усиливает роль экономического анализа на стадии предпроектных
исследований. Это связано с появлением требования о проведении обязательной
экспертизы инвестиционных проектов на предмет соответствия их установленным
стандартам (нормам и правилам), интересам государства и инвесторов (юридических
и физических лиц), а также для анализа и оценки эффективности осуществляемых
капитальных вложений (ст.14). Большая часть задач, относящихся к экспертизе
инвестиционных проектов, идентична задачам, стоящим перед экономическим
анализом долгосрочных инвестиций. Правовые и организационно-экономические
особенности лизинга, как одного из видов инвестиционной деятельности,
рассматриваются в Федеральном законе от 29 октября 1998 г. № 164-ФЗ (ред. от 26.07.2006)"О
лизинге".
Благоприятный инвестиционный климат
невозможен без законодательства, связанного с гарантиями прав иностранных
инвесторов. Федеральный закон от 9 июля 1999 г. № 160-ФЗ (в ред от 29.04.2008 г)
№ 58-ФЗ "Об иностранных инвестициях в РФ" и Федеральный закон от 30
декабря 1995 г. № 225-ФЗ "О соглашениях о разделе продукции" (с изм. и
доп. от 7 января 1999 г., 18 июня 2001 г., 6 июня 2003 г) определяют гарантии
прав иностранных инвесторов на инвестиции и получаемые от них доходы и прибыль,
оговаривают условия предпринимательской деятельности иностранных инвесторов на
территории РФ. Не менее важное информационное значение имеют законодательные
нормы и данные, содержащиеся в НК РФ, указах Президента, постановлениях
Правительства РФ и Положениях по бухгалтерскому учету в отношении различных
аспектов инвестиционной деятельности.
Отдельное место в методическом обеспечении
анализа инвестиционной деятельности занимают специальные нормативные и
инструктивные документы федерального и ведомственного уровней, типовые
методические разработки отечественных и зарубежных организаций.
В
соответствии с ФЗ "Об инвестиционной деятельности в
Российской Федерации, осуществляемой в форме капитальных вложений" инвестициями выступают денежные средства, ценные бумаги, иное
имущество, в том числе, имущественные права, иные права, имеющие денежную
оценку, вкладываемые в объекты предпринимательской и (или) иной деятельности в
целях получения прибыли и (или) достижения иного полезного эффекта.
Приведенные выше документы содержат ряд
важных понятий, которые широко используются в инвестиционном анализе.
Капитальные
вложения - это инвестиции в
основной капитал (основные средства), в том числе, затраты финансовых, трудовых
и материальных ресурсов на:
новое
строительство, расширение, реконструкцию, техническое перевооружение
действующих предприятий;
приобретение
машин, оборудования, инструмента;
проектно-изыскательские
работы;
другие
затраты.
Инвестиционный
проект - обоснование экономической
целесообразности, объема и сроков осуществления капитальных вложений, в том
числе необходимая проектно-сметная документация, разработанная в соответствии с
законодательством России и утвержденная по установленным стандартам (нормам и
правилам), а также описание практических действий по осуществлению инвестиций в
форме бизнес-плана.
Аналогичное
содержание вкладывается и в понятие "инновационный проект".
Инновация
определяется как конечный
результат инновационного процесса, получившего воплощение в виде новой или
усовершенствованной продукции или технологии.
Инновационный
процесс включает научно-исследовательские,
опытно-конструкторские, проектно-технологические и экспериментальные работы, а
также работы по производству (изготовлению) и эксплуатации новой продукции,
новых технологических процессов и новых способов организации производства, труда
и управления.
Создание
и реализация инвестиционного и инновационного проектов происходит, включая следующие этапы:
выбор
и предварительное обоснование инвестиционного замысла (идеи);
научно-исследовательские
и опытно-конструкторские работы (для инновационных проектов);
исследование
инвестиционных возможностей;
технико-экономическое
обоснование проекта;
подготовку
научно-исследовательской и проектной документации;
строительно-монтажные
работы;
подготовку
и освоение производства;
эксплуатацию
объекта и организацию выпуска продукции. Формирование инвестиционной идеи (инвестиционного замысла) предусматривает:
предварительное
обоснование замысла или научной идеи;
инновационный,
патентный, экологический анализ технического или научного решения;
проверку
необходимости выполнения сертификационных требований;
Предпроектное
исследование инвестиционных возможностей представляет собой:
предварительное
изучение спроса на продукцию (работы, услуги) с учетом экспорта и импорта;
оценку
уровня базовых, текущих и прогнозных цен на продукцию (работы, услуги);
Технико-экономическое
обоснование инвестиционного проекта включает:
проведение
полномасштабного маркетингового исследования (спроса, предложения, цены,
выявления основных конкурентов и т.п.);
подготовку
программы выпуска продукции в течение полезного срока использования
инвестиционного проекта;
подготовку
пояснительной записки, включающей в себя данные предварительного исследования
инвестиционных возможностей;
обеспечение
разрешительной документации на реализацию инвестиционного проекта;
оценку
рисков, связанных с осуществлением проекта;
определение
сроков реализации инвестиционного проекта.
Подготовленное
технико-экономическое обоснование инвестиционного или инновационного проекта
должно пройти вневедомственную, экологическую и другие виды экспертиз.
Подготовка
контрактной документации включает:
подготовку
тендерных торгов и по их результатам контрактной документации;
проведение
переговоров с потенциальными инвесторами;
тендерные
торги на дальнейшее проектирование объекта и разработку рабочей документации.
При
разработке инвестиционных проектов используются следующие формы инвестиций:
денежные
средства и их эквиваленты (целевые вклады, оборотные средства, паи и доли в
уставном капитале, ценные бумаги);
здания,
сооружения, машины, оборудование, измерительная и испытательная аппаратура,
оснастка, инструмент, любое другое имущество, используемое в производстве или
обладающее ликвидностью;
имущественные
права, оцениваемые, как правило, в денежных эквивалентах (секреты производства,
лицензии на передачу прав промышленной собственности, патенты на изобретения,
образцы, товарные знаки и фирменные наименования, сертификаты на продукцию и
технологию, права землепользования и др.).
Различаются
капиталообразующие
инвестиции, которые обеспечивают
создание и воспроизводство основных и оборотных фондов, и портфельные инвестиции - размещение
средств в финансовых активов других предприятий.
Наряду
с приведенной выше классификацией, определенной Методическими рекомендациями, в
экономической литературе существуют и другие подходы к классификации инвестиций.
Например, инвестиции рекомендуется подразделять на финансовые, реальные (прямые)
и интеллектуальные.
Финансовые
инвестиции представляют собой
вложения в акции, облигации и другие ценные бумаги, выпушенные частными
компаниями или государством.
Реальные
инвестиции - вложения частной фирмы
или государства в производство какой-либо продукции, предоставление каких-либо
услуг, вложения в основной или оборотный капитал.
Интеллектуальные
инвестиции - вложения в
научно-исследовательские и опытно-конструкторские научные разработки, лицензии,
ноу-хау и др.
Реальные
инвестиции состоят из двух частей. Первая часть представляет собой вложения в
основной капитал, т.е. новое строительство, расширение, реконструкцию и
техническое перевооружение предприятия, приобретение вновь произведенных
капитальных благ таких, как производственное оборудование, персональные
компьютеры, здания производственного назначения. Вторая часть - инвестиции в
товарно-материальные запасы, которые представляют собой накопление запасов
сырья, подлежащего использованию в производственном процессе, или
нереализованных товаров. Коммерческие товарно-материальные запасы считаются
составной частью общей величины запасов капитала в экономической системе. Они
необходимы, как и капитал, в форме оборудования и зданий производственного
назначения.
Субъект
инвестиций - организация,
использующая инвестиции для развития своего производства, внедрения и выпуска
новой продукции или иных аналогичных целей.
Под
объектами инвестиций понимают:
строящиеся,
реконструируемые или расширяемые предприятия, здания, сооружения,
предназначенные для производства новых товаров и услуг;
комплексы
строящихся и реконструируемых объектов, ориентированных на решение одной задачи
(программы); в этом случае под объектом инвестирования понимается программа
федерального, регионального или иного уровня;
производство
новых изделий, услуг на имеющихся производственных площадях в рамках
действующих производств и организаций.
Основными
субъектами инвестиционной деятельности являются инвесторы, заказчики,
исполнители работ и пользователи объектов.
Инвестором
является субъект,
осуществляющий вложения собственных, заемных или привлеченных средств,
обеспечивающий их целевое использование. Заказчик - это
субъект, непосредственно реализующий проект, осуществляющий для этого все
необходимые действия в пределах прав, предоставленных инвестором. Функции
заказчика может выполнять непосредственно инвестор.
Пользователями
объектов инвестиций могут
выступать любые юридические и физические лица, а также государственные и
муниципальные предприятия, для которых создается объект инвестиционной
деятельности и право пользования которым закреплено в договоре с инвестором. Инвестиционный
договор определяет взаимоотношения собственников или владельцев средств, вкладываемых
в объекты предпринимательской деятельности, их взаимодействие в процессе
реализации инвестиционного проекта, а также в распределении доходов от
последующего полезного использования инвестиционного проекта.
Инвестор
обладает правом самостоятельно определять объемы, характер инвестиций,
контролировать их целевое использование, владеть, пользоваться и распоряжаться
результатами реализации инвестиционного проекта.
Источниками
инвестиций могут выступать:
Собственные
финансовые средства - прибыль,
накопленные амортизационные отчисления, суммы, выплачиваемые страховыми
органами в виде возмещения за ущерб, иные виды активов - основные фонды,
земельные участки, промышленная собственность и привлеченные средства - средства
от продажи акций, благотворительные и иные взносы, средства, выделяемые
вышестоящими холдинговыми и акционерными компаниями, промышленно-финансовыми
группами на безвозмездной основе.
Ассигнования
из федерального,
регионального и местного бюджетов, фондов поддержки предпринимательства,
предоставляемые на безвозмездной основе.
Иностранные
инвестиции - финансовое или иное
участие в уставном капитале совместных предприятий, а также прямые вложения (в
денежной форме) международных организаций и финансовых институтов, государств,
предприятий и организаций различных форм собственности и частных лиц.
Заемные
средства - кредиты,
предоставляемые государством на возвратной основе, кредиты иностранных
инвесторов, облигационные займы, кредиты банков и других институциональных
инвесторов (инвестиционных фондов и компаний, страховых обществ, пенсионных
фондов), векселя и другие средства.
1.3 Цели и задачи анализа инвестиционной и инновационной деятельности
Понятие "инвестиции" широко
трактуется в экономической литературе. Одни экономисты определяют инвестиции
как "долгосрочные вложения средств в активы предприятия", другие дают
иное определение: "инвестиция - любой инструмент, в который можно
поместить деньги, рассчитывая сохранить или умножить их стоимость и (или) обеспечить
положительную величину дохода".
В первом случае указываются
временные рамки инвестиций: термин "долгосрочные" означает срок более
одного года. При этом инвестициями считаются также вложения в
непроизводственные фонды предприятия. Авторы такого подхода включают в
инвестиционный анализ оценку движения всех основных фондов и эффективности
использования уже существующих зданий, оборудования и т.п.
Во втором случае учитывается не
фактор времени, так как краткосрочные вложения также называют инвестициями. Краткосрочные
вложения с целью получения прибыли (в виде периодических выплат или курсовых
разниц) - это, как правило, либо спекуляции (высокорисковые вложения с высоко
ожидаемой доходностью), либо эффективное управление кассовыми остатками
предприятия.
В условиях рыночной экономики у
предприятия появилось значительно больше возможностей для инвестирования, чем
при существовавшей ранее командно-административной системе, однако финансовые
ресурсы предприятия ограничены, поэтому основная цель анализа - оптимизация
инвестиционного проекта.
Задачи комплексного анализа
инвестиционной деятельности предприятия могут быть следующие:
1) оценка структуры и динамики
инвестиций;
2) оценка эффективности
инвестиций, выбор наиболее оптимального источника финансирования, использование
полученных результатов в процессе принятия управленческих решений;
3) выявление резервов увеличения
объемов инвестирования.
дует начинать с исследования
общих показателей, таких как объем валовых инвестиций и объем чистых инвестиций.
Валовые инвестиции - это
объем всех видов и форм инвестиций в отчетном периоде.
Чистые инвестиции отличаются
от валовых на сумму амортизационных отчислений в отчетном периоде. В том
случае, если сумма чистых инвестиций является положительной величиной или если
в сумме валовых инвестиций чистые инвестиции занимают значительный удельный
вес, то это свидетельствует о повышении экономического потенциала предприятия,
направляющего значительную часть прибыли в инвестиционный процесс.
В случае если величина чистых
инвестиций будет отрицательна - это указывает на снижение производственного
потенциала предприятия, "съедающего" помимо прибыли и часть
амортизационного фонда. При нулевом значении чистых инвестиций следует, что
инвестирование осуществляется только за счет амортизационных отчислений и
экономический рост на предприятии отсутствует, т.е. база для роста прибыли не
создается.
Выбор системы показателей,
отражающих состояние инвестиций, их эффективное освоение, доходность зависят от
особенностей отрасли.
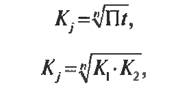
Совокупность исследуемых в
процессе анализа инвестиций дает комплексную характеристику состояния и
эффективности их использования:
где Кj -
комплексная оценка исследуемой совокупности показателей, рассматриваемых в
системе анализа состояния и эффективности инвестиций;
- произведение коэффициентов роста (снижения)
показателей;
n = 2 - количество исследуемых показателей (коэффициентов их
роста или снижения), входящих в систему оценки состояния и использования
инвестиций.
совокупность показателей (коэффициентов
роста или снижения) анализа капитальных вложений;
К1 - совокупность показателей (коэффициентов
их роста или снижения) анализа капитальных вложений
К2 - совокупность показателей (коэффициентов
их роста или снижения) анализа капитальных вложений.
Рисунок №1. Система комплексного экономического анализа состояния и оценка
эффективности инвестиций
Источниками информации для
анализа инвестиций являются:
Бизнес - план предприятия;
Данные бухгалтерского учета и
отчетности (форма №5, раздел IV "Движение средств
финансирования долгосрочных инвестиций и финансовых вложений");
Статистическая отчетность;
Проектно-сметная документация;
Целью анализа инновационной
деятельности является общая оценка ее эффективности и влияния на важнейшие
финансово-экономические показатели деятельности организации, определение
целесообразности и оптимальных вариантов реализации отдельных нововведений,
оперативная корректировка параметров осуществляемых инновационных проектов и
поддержка принятия стратегических инновационных решений. Цель анализа
инновационной деятельности вытекает из общих целей экономического анализа и
финансового управления (максимизация благосостояния собственников организации).
Экономическое содержание объекта
анализа инновационной деятельности - инновационных процессов, происходящих
в рамках отдельно взятой организации, и его цель ставят следующие задачи
анализа:
оценку, на основе анализа
предыдущего и прогнозирования будущих вариантов развития организации, общей
эффективности ее инновационной деятельности и определение, с учетом результатов
стратегического маркетингового анализа, потребности в инновациях;
предварительную, текущую и
последующую оценку эффективности инноваций (инновационных проектов);
выбор оптимальных вариантов
реализации инновационных проектов;
выявление и определение причин
отклонений в ходе реализации инновационных проектов (внедрения инноваций);
оценку и анализ рисков,
связанных с внедрением инноваций (реализацией инновационных проектов);
выявление внутренних и оценку
внешних резервов повышения эффективности финансово-хозяйственной деятельности,
определение направлений роста и развития, выработка рекомендаций для
руководства организации.
В коммерческой организации
анализ инновационной деятельности проводится, как правило, руководством (часто
в неформализованном виде) или специализированными структурными подразделениями,
на которые возложены функции анализа, управления проектами или финансами
компании. Информационной базой анализа служат нормативные акты, данные
бухгалтерского учета и отчетности, публикации отраслевых и специализированных
изданий (в том числе обзоры рынка, отраслевая и общеэкономическая статистика). Некоторые
исходные данные можно получить только в ходе непосредственного исследования
рынка (собственными силами или специализированной организацией), лабораторных
экспериментов или полевых испытаний (апробации), изучения контрольной среды
хозяйствующего субъекта и т.д.
В отличие от большинства других
разделов экономического анализа, в анализе инноваций, как и в
финансово-инвестиционном, делается акцент на предварительной оценке и
обосновании управленческих решений. Тем не менее текущий анализ инновационной
деятельности также имеет большое значение, поскольку обеспечивает контроль
выполнения принятых решений. Последующий (ретроспективный) анализ важен,
главным образом, для формирования информационной базы и создания предпосылок
для стратегического управления. При перспективном (предварительном) анализе
отдельных инноваций (инновационных проектов) применяются в основном широко
распространенные методы анализа и оценки инвестиций; текущий анализ
интегрирован в разработанную систему сметного контроля.
Однако в перспективном и
ретроспективном анализе применяются специальные методы, характерные для анализа
инноваций, такие, как построение и анализ 5-кривых жизненного цикла, и т.п. Внутренняя
структура и взаимосвязь отдельных разделов (блоков) анализа инновационной
деятельности представлены отражает комплексный и системный характер анализа. Подчеркивая
данный факт, можно говорить о комплексном анализе инновационной деятельности,
или о комплексном экономическом анализе инноваций.
2. Анализ эффективности инвестиционной и инновационной деятельности
2.1 Анализ и оценка состава, структуры и эффективности инвестиций
Инвестиции могут принимать
различные формы, что обусловлено разными объектами инвестирования; наличием
различных источников формирования инвестиционных ресурсов; особенностями
организации процесса инвестирования и другими факторами. Перечисленными выше
обстоятельствами вызвана и необходимость классификации инвестиций. Различают
следующие виды инвестиций, обусловленные различными классификационными
признаками.
По целевому назначению инвестиции
подразделяют на следующие виды:
формирование, пополнение и
обновление имеющейся материально-технической базы предприятия;
наращивание производственной
мощности предприятия;
затраты на освоение новых видов
услуг и технологий;
строительство объектов жилищного
фонда и фондов социально-культурного и бытового назначения;
расходы на экологию
С точки зрения организации и
управления инвестиционным процессом инвестиции могут быть:
локальные, осуществляемые в
соответствии с решениями об отдельных инвестиционных объектах;
глобальные, осуществляемые на
основе инвестиционных программ.
В зависимости от вида (предмета)
инвестиции различают:
нематериальные инвестиции (опыт
и знания специалистов, патенты, авторские права и т.п.).
Финансирование инвестиций обычно
осуществляется за счет:
собственных средств предприятия
(сюда входят: аморгизационные отчисления: прибыль, остающаяся в распоряжении
предприятия; средства от реализации активов; средства учредителей и акционеров);
кредитов международных
организаций, капитала иностранных юридических и физических лиц.
В комплексном анализе следует
установить изменения в структуре инвестиций (насколько оптимально сочетаются
собственные и заемные средства). Если доля заемных средств возрастает, то это
может привести к неустойчивости предприятия, увеличению его зависимости от
банков и других организаций.
Определение цены различных
источников финансирования может быть осуществлено следующими способами.
1. Если плату за пользование
финансовыми ресурсами можно отнести на внереализационные (коммерческие) расходы
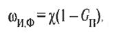
предприятия (например процент за кредит), го цена источника финансирования (ωиф)
определяется как плата за пользование финансовыми ресурсами (χ),
уменьшенная на уровень налога на прибыль (g n):
2. Если плата за пользование
финансовыми ресурсами осуществляется из чистой прибыли предприятия (например,
дивиденды по акциям), то цена источника финансирования принимается равной плате
за пользование финансовыми ресурсами:
Относительно более дешевым
источником финансирования по сравнению, например, с кредитами банков является
реинвестированная прибыль, но она ограничена в размерах. Кредиты банков
теоретически не ограничены, но в современных условиях они являются наиболее
дорогими и наименее доступными источниками финансирования.
Анализу также подвергаются
выполнение плана инвестирования по каждому объекту строительно-монтажных работ
и причины отклонения от плана. На выполнение плана строительно-монтажных работ
оказывают влияние следующие факторы: наличие утвержденной проектно-сметной
документации, финансирование, обеспеченность строительства трудовыми и
материальными ресурсами.
Один из основных показателей при
анализе реальных инвестиций - выполнение программы по вводу объектов
строительства в действие. Затягивание сроков строительства приводит к
увеличению остатков незавершенного производства, что нежелательно и
расценивается как нерациональное использование инвестиционного капитала. В
процессе анализа исчисляется техническая готовность каждого объекта,
определяемая как отношение плановой стоимости фактически выполненных работ с
начала строительства анализируемого объекта к его полной плановой стоимости. Сравнение
фактического уровня технической готовности объектов с плановым показывает
соблюдение сроков продолжительности строительства.
В рамках комплексного анализа
незавершенного строительства анализируется себестоимость строительных работ.
Большой удельный вес в общем
объеме инвестиций занимают расходы на приобретение основных средств. При
этом рассматривается выполнение плана приобретения основных средств по общему
объему и номенклатуре, своевременность их поступления и устанавливается их соответствие
потребностям предприятия.
2.1.1 Анализ объемов инвестиционной деятельности
Инвестиции имеют большое значение не
только для будущего положения предприятия, но и для экономики страны в целом. С
их помощью осуществляется расширенное воспроизводство основных средств как
производственного, так и непроизводственного характера, укрепляется
материально-техническая база субъектов хозяйствования. Это позволяет
предприятиям наращивать объемы производства продукции, увеличивать прибыль,
улучшать условия труда и быта работников. От них зависят себестоимость,
ассортимент, качество, новизна и привлекательность продукции, ее
конкурентоспособность.
Задача анализа
заключается в оценке динамики и степени выполнения плана инвестиционной
деятельности, а также в изыскании резервов увеличения объемов инвестиций.
Субъекты хозяйствования должны не только
увеличивать объемы инвестиций, но и повышать их экономическую эффективность. В
связи с этим одной из важнейших задач анализа является
изучение показателей эффективности инвестиционной деятельности и выявление
резервов ее роста.
Основными источниками информации для
анализа служат "Отчет о вводе в действие объектов основных средств и
использовании инвестиций в основной капитал", "Себестоимость
строительных работ, выполненных хозяйственным способом", "Отчет о
наличии и движении основных средств", данные аналитического бухгалтерского
учета, бизнес-плана предприятия, проектно-сметная документация.
Анализ объемов
инвестиционной деятельности следует начинать с изучения общих показателей. В первую очередь
нужно изучить динамику и выполнение плана инвестиций за отчетный год. Наряду с
абсолютными показателями нужно анализировать и относительные, такие, как размер
инвестиций на одного работника, коэффициент обновления основных средств производства.
После этого нужно изучить динамику и
выполнение плана по основным направлениям инвестиционной деятельности (строительство
новых объектов, приобретение основных средств, модернизация машин и
оборудования, освоение новых видов продукции, внедрение новых технологий,
инвестиции в нематериальные активы, долгосрочные финансовые вложения).
Следует проанализировать также выполнение плана инвестирования по каждому объекту строительно-монтажных
работ и изучить причины отклонения от плана. На выполнение плана
строительных работ оказывают влияние следующие факторы: наличие утвержденной
проектно-сметной документации, финансирования, обеспеченность строительства
трудовыми и материальными ресурсами.
Одним из основных показателей при анализе
реальных инвестиций является выполнение плана по
вводу объектов строительства в действие. Не рекомендуется начинать строительство новых объектов при
невыполнении плана сдачи в эксплуатацию начатых, так как это приводит к
распылению средств между многочисленными объектами, растягиванию сроков
строительства, замораживанию капитала в незавершенном строительстве и как
результат - к снижению отдачи капитальных вложений и эффективности деятельности
предприятия в целом.
В процессе анализа
исчисляется техническая готовность каждого объекта, определяемая как
отношение плановой стоимости фактически выполненных работ с начала
строительства анализируемого объекта к его полной плановой стоимости. Сравнение
фактического уровня технической готовности объектов с плановым показывает
соблюдение сроков продолжительности строительства.
Затягивание сроков строительства приводит
к увеличению остатков незавершенного производства, что нежелательно и
расценивается как нерациональное использование инвестированного капитала.
В связи с этим следует
выяснить, какие изменения произошли в остатках незавершенного строительства за
отчетный период. Для этого фактическую сумму затрат по незавершенному
строительству на конец года сравнивают с плановой и с суммой на начало года и
изучают причины отклонений от плана.
Если строительство выполняется
хозяйственным способом, то нужно проанализировать
себестоимость строительных работ. С этой целью фактическую себестоимость
выполненных работ сравнивают со сметной стоимостью капитального строительства в
целом и по отдельным объектам. После этого изучают причины перерасхода или
экономии средств по каждой статье затрат с целью изыскания резервов снижения
себестоимости строительства объектов.
Большой удельный вес в
общем объеме инвестиций занимают расходы на приобретение основных средств и их
модернизацию. При изучении этого вопроса нужно рассмотреть выполнение плана
приобретения основных средств по общему объему и по номенклатуре,
своевременность их поступления и установить их соответствие потребностям
предприятия.
При этом следует иметь в виду, что
увеличение суммы инвестиций на эти цели могло произойти не только за счет
количества приобретенного имущества (К), но и за счет повышения его стоимости (Ц).
Расчет влияния данных факторов можно произвести способом абсолютных разниц:
Особое внимание необходимо уделить анализу
выполнения плана инвестирования в инновационные проекты, обеспечивающие
повышение конкурентоспособности предприятия.
Следует изучить также объемы, динамику и
структуру инвестиций в финансовые инструменты (акции, облигации, совместные
предприятия и т.д.).
2.1.2 Анализ эффективности реальных инвестиций
При принятии решений в бизнесе о
долгосрочных инвестициях возникает потребность в анализе их эффективности,
основная цель которого - установить, оправдают ли будущие выгоды сегодняшние
затраты. Для этого нужен долгосрочный анализ доходов от инвестиционных проектов
и затрат на их осуществление.

Основные
методы оценки программы инвестиционной деятельности приведены на рис. № 2.
Рисунок №2 Методы оценки
эффективности инвестиционных проектов
В основу расчета этих показателей положено
сравнение объема предполагаемых инвестиций и будущих денежных поступлений. Первые
два могут базироваться как на учетной величине денежных поступлений, так и на
дисконтированных доходах с учетом времен - ной компоненты денежных потоков.
Первый метод оценки эффективности
инвестиционных проектов заключается в определении срока,
необходимого для того, чтобы инвестиции окупили себя. Он является наиболее
простым и по этой причине наиболее распространенным.
Если доходы от проекта распределяются
равномерно по годам, то срок окупаемости инвестиций определяется делением суммы
инвестиционных затрат на величину годового дохода:
При неравномерном поступлении доходов срок
окупаемости определяют прямым подсчетом числа лет, в течение которых доходы
возместят инвестиционные затраты в проект, т.е. доходы сравняются с расходами:
Недостатком данного метода является то,
что он не учитывает разницу в доходах по проектам, получаемых после периода
окупаемости. Следовательно, оценивая эффективность инвестиций, надо принимать
во внимание не только сроки их окупаемости, но и доход на вложенный капитал,
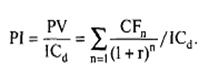
для чего рассчитывается индекс рентабельности (PI):
PI =
ожидаемая сумма дохода /ожидаемая сумма инвестиций
Вместе с тем и этот показатель,
рассчитанный на основании учетной величины доходов, имеет свои недостатки: он
не учитывает распределения притока и оттока денежных средств по годам. В
рассматриваемом примере денежные поступления на четвертом году имеют такой же
вес, как и на первом. Обычно же руководство предприятия отдает предпочтение
более высоким денежным доходам в первые годы. Поэтому более
научно обоснованной является
оценка эффективности инвестиций, основанная на 'методах наращения (компаундирования)
или дисконтирования денежных поступлений, учитывающих изменение стоимости денег
во времени
Рассмотрим методику расчета показателей,
приведенных на рис.3, на основе дисконтирования денежных доходов.
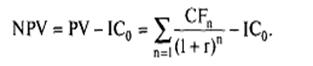
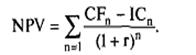
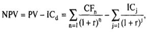
Метод чистого
приведенного эффекта (NPV) состоит в следующем.
1. Определяется текущая стоимость затрат (IС0), т.е.
решается вопрос, сколько инвестиций нужно зарезервировать для проекта.
2. Рассчитывается текущая стоимость
будущих денежных поступлений от проекта, для чего доходы за каждый год CF (кеш-флоу) приводятся
к текущей дате:
3. Текущая стоимость затрат (IС0) сравнивается
с текущей стоимостью доходов (PV). Разность между
ними составляет чистый приведенный эффект (NPV):
NPV показывает
чистые доходы или чистые убытки инвестора от помещения денег в проект по
сравнению с альтернативным вариантом их использования. Если NPV > 0, значит,
проект принесет больший доход, чем при альтернативном размещении капитала. Если
же NPV < 0, то проект имеет доходность ниже
рыночной, и поэтому деньги выгоднее хранить в банке. Проект ни прибыльный, ни
убыточный, если NPV = 0.
В случаях когда
деньги в проект инвестируются не разово, а частями на протяжении нескольких лет, для расчета NPV применяется
следующая формула:
где n - число периодов
получения доходов;
j - число периодов
инвестирования средств в проект
При совпадении времени и интервалов
инвестиционных доходов и расходов чистый приведенный эффект можно рассчитывать
следующим образом:
Дополняет данный показатель дисконтированный индекс рентабельности инвестиционных проектов, расчет которого
производится по формуле
В отличие от чистого приведенного эффекта
данный показатель является относительным. Инвестиция становится выгодной, когда
ее рентабельность превышает средний уровень доходности по денежным вкладам на
рынке капиталов. Индекс рентабельности удобно использовать при выборе варианта
проекта инвестирования из ряда альтернативных. Критерием выбора является
максимальная рентабельность инвестиционного проекта.
Анализ внутренней нормы доходности и дюрации
инвестиций. Очень популярным показателем, который
применяется для оценки эффективности инвестиций, является внутренняя норма доходности (IRR). Это та ставка дисконта, при которой дисконтированные доходы от
проекта равны инвестиционным затратам. Внутренняя норма доходности определяет
максимально приемлемую процентную ставку, при которой можно инвестировать
средстн.1 без каких-либо
потерь для собственника. Его значение находят и i следующего
уравнения:
Экономический смысл данного показателя
заключается в том, что он показывает ожидаемую норму доходности или максимально
допустимый уровень инвестиционных затрат в оцениваемый проект.
Инвестиция эффективна, если IRR превышает
заданную ставку дисконта (калькуляционного процента) или равна ей. Если это
условие выдерживается, инвестор может принять проект, в противном случае он
должен быть отклонен. При сравнении нескольких инвестиционных проектов
предпочтение отдается проекту с наивысшей внутренней нормой доходности.
Данный метод оценки эффективности
инвестиций является обратным методу исчисления NPV. Он ориентирован
не на нахождение NPV при заданной ставке дисконта, а на
определение IRR при заданной величине NPV, равной нулю.
Если инвестиционный проект генерирует
денежный доход только один раз (в конце периода его действия), то
внутреннюю норму доходности для него можно определить, используя следующее
уравнение:
Показатели NPV и IRR взаимно
дополняют друг друга. Если NPV измеряет массу
полученного дохода, то IRR оценивает способность проекта
генерировать доход с каждого рубля инвестиции Высокое значение NPV не может быть
единственным аргументом при выборе инвестиционного решения, так как оно во
многом зависит от масштаба инвестиционного проекта и может быть связано с
достаточно высоким риском. Поэтому менеджеры предпочитают относительные
показатели, несмотря на достаточно высокую сложность расчетов.
Если имеется несколько альтернативных
проектов с одинаковыми значениями NPV и IRR, то при выборе
окончательного варианта инвестирования учитывается длительность инвестиций - дюрация
(duration).
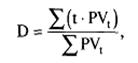
Дюрация (D) - это
средневзвешенный срок поступления денежных доходов от инвестиционных проектов. Она
рассчитывается следующим образом: приведенная стоимость каждого платежа
умножается на время, через которое этот платеж должен поступить, после чего все
полученные значения суммируются и делятся на сумму приведенной стоимости всех
платежей:
PVt - текущая
стоимость доходов за период t;
t - период
поступления доходов;
Ключевым моментом этой методики оценки
эффективности инвестиций является не то, как долго каждый инвестиционный проект
будет приносить доход, а прежде всего то, когда он будет приносить доход и
сколько поступлений дохода будет каждый месяц, квартал или год на протяжении
всего срока его действия. Дюрация измеряет эффективное время действия
инвестиционного проекта. В результате менеджеры получают сведения о скорости
поступления денежных доходов, приведенных к текущей дате. Чем короче дюрация,
тем эффективнее проект при прочих равных условиях.
После принятия инвестиционного решения
необходимо спланировать его осуществление и разработать систему послеинвестиционного
контроля (мониторинга). .
Послеинвестиционный контроль позволяет
убедиться, что затраты и техническая характеристика проекта соответствуют
первоначальному плану; повысить уверенность в том, что инвестиционное решение
было тщательно продумано и обосновано; улучшить оценку последующих
инвестиционных проектов.
2.1.3 Анализ эффективности финансовых вложений
Критерии оценки эффективности
инвестиций подразделяются натри группы:
1) срок окупаемости инвестиций;
2) отдачу инвестиций;
3) рентабельность (доходность) инвестиций.
Срок окупаемости инвестиций (Т°к)
определяется как отношение общей суммы инвестиций (Инв) к величине прибыли (Р) или
величине прироста прибыли (АР):
Ток = Инн/Л или Ток
= Инв/ДА
При значительной неравномерности
получения прибыли во времени срок окупаемости инвестиций может определяться
сопоставлением общей суммы инвестиций с суммой прироста прибыли.
Срок окупаемости соответствует
тому периоду, при котором сумма рассчитанного таким образом прироста прибыли
равна сумме инвестиций.
Отдача инвестиций может
оцениваться с помощью показателей дополнительного объема реализации услуг на 1
руб. инвестиций, дисконтированного дохода, будущей стоимости инвестиций.
Дополнительный объем
реализации услуг на 1 руб. инвестиций рассчитывается как отношение прироста
объема реализации продукции, полученной в результате дополнительных инвестиций
(∆N), к общей сумме инвестиций:
Эи =∆N /Инв,
где Эи - эффективность
инвестиций.
Научно обоснованной является
оценка эффективности инвестиций, основанная на методах наращений или
дисконтирования денежных поступлений, учитывающих изменение стоимости денег во
времени.
Оценка рентабельности (доходности)
производится сопоставлением полученного дохода отданного вида инвестиций с
величиной инвестиций.
В качестве оценочных параметров
можно использовать показатель общей экономической эффективности инвестиций и
более конкретный показатель - доход на вложенный капитал.
Общая экономическая
эффективность инвестиций по отдельно действующему предприятию определяется
как отношение прироста прибыли к общей сумме инвестиций, вызвавших этот прирост;
по вновь создающемуся предприятию - как отношение планируемой прибыли к
общей сумме инвестиций:
Эиобщ=∆N /Инв, Эиобщ=P
/Инв,
Доход на вложенный капитал (ДВК)
определяется отношением общей суммы прибыли к общей сумме инвестиций:
ДВК =P/Инв.
Соответственно доходность
каждого вида инвестиций можно рассчитать как обратный показатель:
P=ДВК - Инв.
Этот метод позволяет при наличии
альтернативных вариантов долгосрочных финансовых вложений выбрать вариант,
более выгодный для предприятия.
2.1.4 Оценка риска долгосрочных инвестиций
Инвестиционный риск может быть
диверсифицируемый и недиверсифицируемый. Диверсифицируемый риск, который
иногда называют несистематическим риском, представляет собой часть риска,
который обусловлен неуправляемыми или случайными событиями и может быть
устранен в результате диверсификации, т.е. путем такого сочетания объектов инвестирования
или производимых предприятием продуктов, которые снижают совокупный риск.
Недиверсифицируемый риск, или
систематический, - это риск, связанный с силами, воздействующими на все объекты
инвестирования, и не являющийся уникальным для какого-то одного объекта. Он
отражает процессы самой рыночной экономики. При количественной оценке риска используют
йота-коэффициент - измеритель риска, численно равный коэффициенту вариации
величины, в отношении которой делается оценка риска:
I= ( (σ (x) /M
(x)) *100%
где I - йота-коэффициент,
коэффициент вариации случайной величины х;
M (х) - математическое
ожидание величины x;
σ (х)
- среднеквадратичное отклонение величины х;
Математическое ожидание
дискретной случайной величины подсчитывается по формуле:
M (x) = ∑ (xj P (xj))
где M/ (х)
- математическое ожидание случайной величины х;
xj - j-й вариант возможного значения величины х;
P (xj) - вероятность j-го варианта
значения величины х;
J - номер
возможного варианта значения величины;
∑ - знак суммирования по
всем вариантам значений величины х;
По результатам большого числа
измерений математическое ожидание определяется как среднее арифметическое
полученных значений:
M (x) = xср = ∑ xj/n
где хср - среднее
значение случайной величины х;
хj.
- значение случайной величины, полученное при о-м измерении;
n - число
измерений;
∑ - знак суммирования по всем
измерениям.
Йота-коэффициент показывает
возможную амплитуду колебаний ожидаемой доходности с определенной (доверительной)
вероятностью. Этот показатель более предпочтительный по сравнению со
среднеквадратическим отклонением, так как характеризует риск на единицу
ожидаемой доходности.
Совокупный риск суммы доходов,
например, хозяйственного портфеля предприятия или портфеля ценных бумаг, как
правило, ниже входящих в него отдельных проектов или ценных бумаг. Это связано
с тем, что между входящими в портфель элементами существует либо отрицательная
корреляционная зависимость, либо неполная положительная.
Поэтому при принятии решения
относительно проекта или бумаги, входящей в портфель, необходимо оценивать их
риск с точки зрения влияния на совокупный риск портфеля.
2.2 Система показателей комплексного анализа инновационной деятельности
Рассмотрим
организационно-методические положения экономического анализа инновационной
деятельности, в первую очередь характерные для него приемы и методы.
Анализ 5-кривых жизненного
цикла инноваций проводится на основе данных о динамике объемов реализации и
доходов за длительные периоды времени (годы, десятки лет) по отрасли в целом. При
анализе жизненного цикла инноваций-продуктов необходимо выделить следующие
факторы:
1. Влияние на продажи (цена,
объем продаж): наличие, цены и объемы продаж конкурирующих продуктов (в том
числе конкурирующих новшеств), динамика спроса на совокупность указанных
конкурирующих продуктов и анализируемый продукт в целом (автономная динамика
спроса), общее влияние прочих внешних независимых факторов, таких как инфляция,
реальные доходы и ожидания потребителей. При наличии явных комплементарных (дополняющих)
или основных продуктов следует учитывать динамику их сбыта под воздействием
аналогичных факторов и перекрестную эластичность спроса.
2. Влияние на затраты (условно-переменные,
условно-постоянные): эффект масштаба (плавное нелинейное изменение затрат при
изменении объемов производства); неравномерный ввод в эксплуатацию (вывод из
эксплуатации) производственных мощностей (ступенчатое изменение затрат); изменение
пен на производственные ресурсы, замену материалов, изменение технологии и т.п.;
изменение норм расхода материалов и затрат труда (в том числе автономное
изменение (так называемые кривые опыта) и в результате организационных
мероприятий); изменение методов бухгалтерского учета и учетной политики.
Анализ жизненного цикла процесса
(технологии) невозможно провести в рамках перспективного или текущего анализа
инновационной деятельности из-за ограничений, накладываемых информационной
базой (в частности, нет данных о затратах отдельных организаций-конкурентов,
нет процессов-аналогов с завершенным жизненным циклом как базы для сравнения),
поэтому аналитики ограничиваются лишь качественными оценками и экспертными
суждениями.
Анализ финансовых результатов (в
том числе прогнозируемых) и денежных потоков инноваций не имеет принципиальных
отличий от анализа прибылей и денежных потоков по иным, не инновационным видам
деятельности, поскольку эксплуатация инноваций представляет собой всего лишь
одно из направлений (возможно, сегментов) текущей деятельности. Наибольшее
значение имеет текущий анализ; он решает задачи сметного контроля и
оперативного управления и заключается в оценке влияния внешних и внутренних,
зависимых и независимых факторов на отклонения от планов (смет) доходов и
расходов инновационных проектов. В ходе анализа необходимо выделить как минимум
влияние следующих факторов:
объем производства и реализации
продукции (товаров, услуг);
цены на продукцию и исходные
производственные ресурсы (приобретаемые товары);
нормы расхода производственных
ресурсов (расход материалов, затраты труда и т.д.).
При оценке деятельности
отдельных подразделений руководство обычно исходит из влияния последнего
фактора, два первых характеризуют адекватность и эффективность маркетинговой
политики и решений самого руководства. Текущий анализ отклонений целесообразно
интегрировать в систему управленческого учета, формируя соответствующую внутрифирменную
отчетность.
Система форм (регистров) внутрифирменной
отчетности может также включать:
отчет о выполнении сметы затрат
на исследования и разработки;
отчет о выполнении сметы
долгосрочных инвестиций (капиталовложений);
отчет о выполнении сметы текущих
доходов и расходов;
отчет об активах и источниках
финансирования проекта (вспомогательный);
и другие, в том числе сводные
формы внутрифирменной отчетности.
В соответствии с перечисленными
формами отчетности проводится факторный анализ и текущий контроль отклонений по
сметам расходов на исследования и разработки, на капитальные вложения и т.д.
Корректировки плановых и
фактических показателей при подготовке исходных данных для анализа проводятся
при помощи индекса (индексов) физического объема произведенной и проданной
продукции, индексов цен (укрупненных или по статьям затрат, видам ресурсов и т.д.),
а также на основе классификации затрат на переменные и постоянные. Какие из
отклонений могут быть отнесены к внешним независимым, а какие - к внутренним
факторам, зависит от конкретной ситуации. В данном примере изменение объема
продаж условно отнесено к влиянию внешних факторов (спрос со стороны
потребителей), в то время как изменение цен на продукцию - к внутренним
факторам (решение руководства). Наибольшую сложность представляет оценка и
классификация отклонений по налогу на прибыль и иным налоговым платежам. Можно
рекомендовать распределить отклонение по налогу на прибыль пропорционально
отклонениям прибыли от продаж как основного фактора формирования
налогооблагаемой прибыли; возможно, необходимо учесть влияние процентов к
уплате или иных существенных статей доходов и расходов.
Помимо анализа и контроля
отклонений от плановых (сметных) показателей в ходе текущего анализа
инновационной деятельности целесообразно оценивать достигнутую и ожидаемую, с
учетом фактических параметров проектов, чистую текущую стоимость инвестиций.
Это позволяет оперативно контролировать главный показатель количественной
оценки эффективности инноваций - прирост расчетной (оцениваемой по денежным
потокам) рыночной стоимости компании. Чистая текущая стоимость инноваций в
середине срока реализации проекта рассчитывается по фактическим денежным
потокам (поданным учета и отчетности), которые проект генерировал до настоящего
момента, и скорректированным ожидаемым денежным потокам (от настоящего момента
до конца срока реализации). Таким образом, эффективность проекта оценивается
смешанным показателем, рассчитанным частично по фактическим, частично по
прогнозным данным. Главным условием при подготовке исходных данных для анализа
является обеспечение сопоставимости расчетных и плановых показателей чистой
текущей стоимости, для чего проводят серию корректировок денежных потоков:
пересчитывают (прямым счетом или
укрупненно по статьям затрат) все ожидаемые показатели бизнес-плана (сметы или
бюджета) инноваций в цены текущего периода и, при необходимости, учитывают
ожидаемые темпы инфляции. учитывают отклонение уровня затрат в натуральном
выражении (норм расхода материалов, трудоемкости и т.д.) от заложенных в плане
для изменения величины ожидаемых затрат;
в зависимости от оценок и
прогнозов динамики спроса, вызванной независимыми внешними факторами, и
результатов оптимизационного (маржинального) анализа устанавливают будущие
значения объемов продаж (в натуральном выражении) и изменяют величины доходов
от продаж и переменных статей затрат;
учитывают изменение процентной
ставки в связи с колебаниями фондового рынка и оценкой собственного риска инновационной
деятельности.
Это отражает реальный процесс
снижения риска, происходящий с приближением окончания срока реализации проекта.
В итоге получают оценку ожидаемой текущей стоимости инноваций, использующую всю
доступную на текущий момент информацию, которую сравнивают с оценкой по плану,
учитывающей фактический уровень цеп и процентных ставок (для обеспечения
сопоставимости). Разница оценок покажет влияние изменений объемов производства
и продаж (фактор объема) и эффективности использования производственных
ресурсов (фактор норм), полностью или частично зависящих от самой организации.
Анализ эффективности затрат на
исследования и разработки проводится на основе предположения о наличии среднего
временного лага (лагов) между вложениями в исследования и разработки и эффектом
инноваций - результата данных разработок. В ходе анализа обобщаются и
соотносятся с учетом дисконтирования указанные затраты и экономический эффект
всех проектов, использовавших созданные или доработанные новшества. Анализ
основан также на следующих допущениях:
затраты на исследования и
разработку, проводимые до возникновения определенности относительно будущих
экономических выгод и до начала жизненного цикла конкретных инновационных
проектов, учитываются отдельно; их эффективность оценивается путем
сопоставления с приведенным экономическим эффектом всех сегментов инновационной
деятельности и отражает эффективность инновационной деятельности организации;
оценка эффективности
инновационных сегментов или инновационных проектов проводится без учета
альтернативной (вмененной) стоимости нематериальных активов, созданных в
результате исследований и разработок.
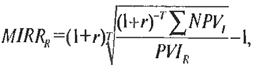
Показатель эффективности затрат
на исследования и разработки - модифицированная внутренняя норма рентабельности
затрат на исследования и разработки (МIRRR) определяется
по формуле:
где МIRRR
- модифицированная внутренняя норма рентабельности инновационной деятельности
организации (в период t);
r - ставка
дисконтирования (в период t);
Т - средний временной лаг между
началом исследований и Началом проектов выраженных в периодах t;
∑ NPV.
- сумма чистых текущих стоимостей инновационных проектов, начатых в отчетный
период t,
РVIR
- текущая стоимость затрат на исследования и разработки за период Т.
Показатель доли затрат,
относимых к проектам периода снижается по мере приближения к текущему моменту,
так как последние разработки еще не успели дать результата. Значение МIRRR больше ставки
дисконтирования, что говорит о высокой эффективности (и косвенно подтверждает
умеренные риски) инновационной деятельности.
В описанном виде анализ может
быть проведен только в крупных организациях, осуществляющих одновременно
большие объемы исследований и разработок и регулярно внедряющих их результаты в
практическую деятельность. Для небольших организаций из-за отсутствия
необходимой информационной базы достаточно сравнить общую сумму затрат на
исследования и разработки с общей суммой экономического эффекта инноваций.
Анализ инновационной
активности в организации также проводится на основе обширных статистических
данных, характерных для крупных компаний. В задачи данного анализа входит
оценка количественной динамики и качественного характера заявок или
предложений, возникающих внутри организации, анализ количества возможных и
использованных вариантов нововведений и т.п. Ниже приведен пример типичной
модели, используемой для анализа инновационной активности в крупной
корпоративной структуре:
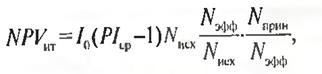
где NPVит
- итоговый суммарный экономический эффект от реализации предложений,
принятых к финансированию "данном периоде;
I0
- общая сумма инвестиционных затрат на реализацию принятых Предложений (текущая
стоимость инвестиций, если предполагались вложения в течение нескольких
периодов);
(РIср
- 1) - средняя экономическая эффективность 1 р. инвестиций в реализацию
инновационных предложений.
Показатель РI ср может быть рассчитан как:
N прин - количество проектов, принятых к
финансированию;
Анализ описанных моделей
зависимостей проводят интегральным методом или методом цепных подстановок,
выявляя влияние следующих качественных факторов:
Nэф/Nисх - удельный вес эффективных (полезных) инновационных
предложений;
Nприн/Nэф - показатель использования инновационных
предложений;
Nусп/Nприн - показатель фактической эффективности
инновационных мероприятий;
PIср
- 1 - средний уровень эффективности инновационных мероприятий;
Завершающим этапом анализа
инновационной деятельности служит комплексная оценка с использованием
рейтинговых моделей, или методов многокритериального анализа. Модели
рейтинговой оценки позволяют сравнивать между собой показатели инновационной
активности различных подразделений крупной организации или несколько
организаций в отрасли, однако их применение в анализе инноваций крайне
ограничено в связи с недостаточностью информационной базы. В тоже время
многокритериальный анализ чаше в неформализованном виде повсеместно применяется
при оценке инновационных решений, поскольку финансовые критерии сами по себе
малопригодны для оценки отдельных качественных последствий реализации
инновационных проектов, связанных с достижением нефинансовых стратегических
целей или с ограничениями, накладываемыми внешней средой.
В заключение необходимо
отмстить, что анализ инновационной деятельности выступает важной составной
частью систем стратегического и оперативного управления хозяйствующего
субъекта, обеспечивающих не только эффективное использование производственных
ресурсов и повышение финансовой устойчивости в краткосрочном периоде, но и
долгосрочное стабильное развитие и рост компании. Системное и регулярное
проведение анализа инноваций, несомненно, будет способствовать завоеванию и
удержанию конкурентных преимуществ и в конечном счете достижению главной цели -
росту благосостояния собственников организации.
Заключение
Непременным условием успешного
функционирования предприятий любой организационно-правовой формы является
активное осуществление стратегически направленного и детально проработанного
комплекса мероприятий по созданию или укреплению явных и скрытых преимуществ
перед своими конкурентами. Одним из определяющих факторов получения новых или
сохранения ранее полученных конкурентных преимуществ становится активная
инвестиционная деятельность. За счет реализации инновационных проектов,
организации новых производств в местах с более доступными сырьевыми
возможностями и близостью потребителей конечной продукции, модернизации и
технического перевооружения действующего производства ресурсосберегающими и
менее затратоемкими видами оборудования можно значительно повысить
эффективность функционирования организации.
За 90-е годы в России сложился мощный механизм
тормозящий инновационное развитие основных систем хозяйства и общества. Этот
механизм вполне рационален, нынешнему бизнесу выгоднее получать товары, или что
реже технологии за рубежом, чем организовать собственное научно-технические
производство. Современная российская экономика не восприимчива к отечественным
инновациям, и не стоит ждать, что бизнес начнет самостоятельно развивать
собственное научное производство. Задача государства устранить
этот механизм, посредством совершенствования законодательных баз, грамотной
подготовки кадров и финансирования.
Стоит напомнить, что попытки
перехода России на инновационный путь развития предпринимались и в 2001 г. и в
2007 г. но тогда дело так и не сдвинулось с мертвой точки. Поэтому необходимо
тщательно проанализировать допущенные ранее ошибки, и уже на основании анализа
формировать стратегию инновационного развития России.
Библиографический список
1. Федеральный закон "Об инвестиционной деятельности в
Российской Федерации, осуществляемой в форме капитальных вложений" от 25
февраля 1999 г. № 39-ФЗ (в ред. от 24.07.2007 N 215-ФЗ)
2.
Федеральный закон "О рынке ценных бумаг". № 39-ФЗ от 22 апреля 1996 г
(с изм. и доп. от 26 ноября 1998 г.8 июля 1999 г., 7 августа 2001 г., 28
декабря 2002 г)
3.
Крылов Э.И., Власова В.М., Журавкова И.В. Анализ эффективности инвестиционной и
инновационной деятельности. - М.: Финансы и статистика, 2003 - 602 с.
4.
Савицкая Г.В. Анализ хозяйственной деятельности предприятия. - М.:
ИНФРА-М, 2009. - 528 с.
5. Лысенко Д.В. Комплексный экономический анализ хозяйственной деятельности.
- М.: ИНФРА-М, 2008. - 305 с.
6. Гиляровская Л.Т., Лысенко Д.В., Ендовицкий Д.А., Комплексный экономический
анализ хозяйственной деятельности. - М.: ТК Вилби, Изд-во проспект, 2006. - 360
с.
7. "Российская газета" - Федеральный выпуск №4935 (111) от
19 июня 2009 г.
Приложение
1. Анализ имущественного
положения
Таблица № 1. Сравнительный
аналитический баланс
|
Статьи баланса
|
Абсолютные величины тыс. руб.
|
Относительные величины, %
|
Изменения (+/-)
|
|
|
на начало года
|
на конец года
|
на начало года
|
на конец года
|
В абсолютных величинах, тыс. руб.
|
В структуре
|
В% к величине на начало года
|
В% к изм-ю итого баланса
|
|
|
|
|
|
|
|
|
|
|
1. Внеоборотные активы
|
3974497
|
4063291
|
70,63
|
65,25
|
88794
|
-5,38
|
2,23
|
14,8
|
|
|
2. Оборотные активы:
|
|
|
|
|
|
|
|
|
|
|
Запасы и затраты
|
1553932
|
2021860
|
27,61
|
32,47
|
467928
|
4,85
|
30,11
|
78
|
|
|
Дебиторская задолженность и прочие оборотные активы.
|
61496
|
35923
|
1,09
|
0,58
|
-25573
|
-0,51
|
-41,58
|
-4,26
|
|
|
Денежные средства и краткосрочные финансовые вложения
|
37515
|
106267
|
0,67
|
1,71
|
68752
|
1,04
|
183,27
|
11,46
|
|
|
Всего оборотных средств
|
1652943
|
2164050
|
29,37
|
34,75
|
511107
|
5,38
|
30,92
|
85,2
|
|
|
Баланс
|
5627440
|
6227341
|
100
|
100
|
599 901
|
-
|
10,66
|
100
|
|
|
ПАССИВ
|
|
|
|
|
|
|
|
|
|
|
1. Кредиторская задолженность
|
390818
|
51414
|
6,94
|
0,83
|
-339404
|
-6,12
|
-86,84
|
-56,58
|
|
|
2. Краткосрочные кредиты и займы
|
5000
|
10000
|
0,09
|
0,16
|
5000
|
0,07
|
100
|
0,83
|
|
|
Всего краткосрочный заемный капитал
|
395818
|
61414
|
7,03
|
0,99
|
-334404
|
-6,05
|
-84,48
|
-55,74
|
|
|
3. Долгосрочный заемный капитал
|
15 000
|
20 000
|
0,27
|
0,32
|
5000
|
0,06
|
33,33
|
0,83
|
|
|
4. Собственный капитал
|
5216622
|
6145927
|
92,7
|
98,69
|
929305
|
5,99
|
17,81
|
154,91
|
|
|
Баланс
|
5627440
|
6227341
|
100
|
100
|
599 901
|
-
|
10,66
|
100
|
|
Вывод: Как видно из таблицы
стоимость имущества на конец года по сравнению с началом увеличилась на 599901
т. р. или на 10,66%, увеличение произошло в основном за счет увеличения
оборотных средст которые в свою очередь увеличились на 511107 т. р. Изменения
вызвали структурные сдвиги в составе активов увеличилась доля оборотных средств
29,37% до 34,75%.
В составе пассивов наибольший
прирост произошел в собственном капитале на 929305 т. р или на 5,99%. Вместе с
тем краткосрочные обязательства сократились на 334404 т. р. Динамика отдельных
групп пассивов организации привела к незначительным значительным изменениям в
структуре. Например, доля собственного капитала увеличилась с 92,7% до 98,69%
Таблица № 2. Сравнительный отчет
о прибылях и убытках
|
Показатели
|
За прошлый год
тыс. руб.
|
За отчетный год
тыс. руб.
|
Абсолютное отклонение
тыс. руб.
|
Темп роста, %
|
|
Выручка
|
1035472
|
1120452
|
84 980
|
108,21
|
|
Прибыль до налогообложения
|
241234
|
296361
|
55127
|
122,85
|
|
Чистая прибыль
|
183337
|
225234
|
41897
|
122,85
|
Вывод: Как показывают данные
таблицы №2 в отчетном году по сравнению с предыдущим выручка увеличилась на
84980 т. р. или на 8,21%. Прибыль до налогообложения увеличилась на 55127 р. или
на 22,85%. Темп роста чистой прибыли выше темпа роста выручки, что следует
оценить как положительный факт.
2. Ликвидность бухгалтерского
баланса.
Таблица №3. Анализ ликвидности
баланса
|
Активы
|
На начало отчетного года
тыс. руб.
|
На конец
отчетного
года
тыс. руб
|
Пассивы
|
На начало
отчетного
года
тыс. руб
|
На конец
отчетного
года
тыс. руб
|
|
|
|
Наиболее ликвидные активы (А1)
|
37515
|
106267
|
Наиболее срочные
обязательства (П1)
|
390818
|
51414
|
|
|
Быстрореализуемые активы (А2)
|
51142
|
33665
|
Краткосрочные
пассивы (П2)
|
5000
|
10000
|
|
|
Медленно реализуемые активы (А3)
|
1885738
|
2225566
|
Долгосрочные
пассивы (П3)
|
15 000
|
20 000
|
|
|
Труднореализуемые активы (А4)
|
3653045
|
3861843
|
Постоянные
пассивы (П4)
|
5216622
|
6145927
|
|
|
Итого
|
5627440
|
6227341
|
Итого
|
5627440
|
6227341
|
|
Таблица №3.1 Показатели
ликвидности
|
Наименование показателя
|
На начало отчетного года
тыс. руб.
|
На конец отчетного года
тыс. руб.
|
|
Текущая ликвидность (ТЛ)
|
-307161
|
78518
|
|
Перспективная ликвидность (ПЛ)
|
1870738
|
2205566
|
Вывод: Баланс предприятия на
начало года не считается абсолютно ликвидным т.к. не выполняются условия А1≥П1,
А2≥П2, А3≥П3, А4≤П4. Но в конце года в связи с увеличением
НЛА и уменьшением НСО предприятие стало абсолютно ликвидным. Как видно из
таблица среди всех видов активов заметно преобладает доля медленно реализуемых,
а в пассиве доля постоянных, из чего можно сделать вывод что предприятие в
основном финансирование направлено на пополнение оборотных средств и в основном
за счет собственного капитала.
3. Абсолютная и относительная
платежеспособность предприятия
Таблица №4. Финансовые
коэффициенты платежеспособности
|
Наименование показателя
|
На начало отчетного года
|
На конец отчетного года
|
Нормальное ограничение
|
Пояснение
|
|
1. Общий показатель плат-сти (L1)
|
1,58
|
12,67
|
L1≥1
|
-
|
|
2. Коэффициент абсолютной ликвидности (L2)
|
0,09
|
1,73
|
L2≥0,1-0,7 (зависит от отраслевой
принадлежности организации)
|
Показывает, какую часть текущей краткосрочной задолженности
организации может погасить в ближайшее время за счет денежных средств.
|
|
3. Коэффициент "критической оценки" (L3)
|
0,22
|
2,28
|
Допустимое 0,7-0,8; желательно
L3 ≈1
|
Показывает, какая часть кр-ых обяз-ств организации может быть
немедленно погашена за счет д. с., средств в краткосрочных ценных бумагах
|
|
4. Коэффициент текущей ликвидности (L4)
|
4,99
|
38,52
|
Необходимое 1,5; оптимальное L4=2,0-3,5
|
Показывает, какую часть текущих обязательств можно погасить,
мобилизовав все оборотные средства
|
|
5. Коэффициент маневренности функционирующего каптала (L5)
|
1, 19
|
0,97
|
Уменьшение показателя в динамике положительный факт
|
Показывает, какая часть функционирующего капитала обездвижена в
производственных запасах и долгосрочной деб. зад-ти
|
|
6. Доля оборотных средств в активах (L6)
|
0,35
|
0,38
|
L6≥0,5
|
Зависит от отраслевой принадлежности организации
|
|
7. Коэффициент обеспеченности собс. средствами (L7)
|
0,79
|
0,96
|
L7>0,1 (чем больше, тем лучше)
|
Характеризует наличие собственных обор. ср-в, необходимых для ее
текущей деятельности
|
Вывод: Коэффициент абсолютной
ликвидности как на начало так и на конец года соответствует нормальному
ограничению. Коэффициент абсолютной ликвидности на начало года составлял 0,09 (что
меньше нормального значения при любой отраслевой принадлежности организации) то
к концу года данный показатель заметно увеличился и стал составлять 1,73, то
есть на предприятии имеется излишек денежных средств. Заметно увеличился
коэффициент текущей ликвидности, который к концу года стал составлять 38,52,
увеличение произошло в основном вследствие уменьшения текущих обязательств. Коэффициент
маневренности функционирующего капитала уменьшился с 1,19 до 0,97, уменьшение
данного показателя трактуется как положительный факт. Коэффициент
обеспеченности собственными средствами увеличился с 0,79 до 0,96, наблюдается
положительная тенденция. Предприятие все больше финансирует оборотные активы за
счет собственного капитала.
4. Финансовая устойчивость
предприятия и его независимость
Таблица №5. Анализ источников
формирования запасов и затрат
|
Наименование показателя
|
На начало отчетного года тыс. руб.
|
На конец отчетного года тыс. руб.
|
Отклонение
тыс. руб.
|
|
|
|
Собственные оборотные средства (СОС)
|
1560323
|
2281613
|
721290
|
|
|
Собственные и долгосрочные источники формирования запасов и
затрат (СДОС))
|
1575323
|
2301613
|
726290
|
|
|
Общая величина основных источников формирования запасов и затрат
(ООС)
|
192484
|
2357138
|
432454
|
|
|
Запасы и затраты (ЗИЗ)
|
1564286
|
2024118
|
459832
|
|
|
Ф1 (Достаточность собственных основных средств для финансирования
ЗИЗ)
|
-3963
|
257495
|
261458
|
|
|
Ф2 (Достаточность собственных и долгосрочных источников средств для
финансирования ЗИЗ)
|
11037
|
277495
|
266458
|
|
|
Ф3 (Достаточность ООС для финансирования ЗИЗ)
|
360398
|
333020
|
-27378
|
|
Вывод: СОС на конец года по
сравнению с началом увеличился на 721290 р. что свидетельствует о дальнейшем
развитии деятельности предприятия. СДОС на конец года по сравнению с началом
также увеличился на 726290 р.
Если на начало года финансовое
состояние предприятия считалось нормальным или относительно устойчивым, то к
концу года состояние стало абсолютно устойчивым, то есть предприятие обладает
высокой платежеспособностью и не допускает задержек расчетов и платежей. состояние
стало абсолютно устойчивым.
Таблица № 6. "Коэффициенты
финансовой устойчивости"
|
Наименование коэффициентов
|
На начало
отчетного года
|
На конец
отчетного года
|
|
Коэффициент автономии (Ка)
|
0,93
|
0,987
|
|
Коэффициент финансирования (Кф)
|
0,08
|
0,01
|
|
Коэффициент долгосрочной финансовой независимости (Кдн)
|
0,93
|
0,99
|
|
Уточненный коэффициент финансирования (Кфу)
|
0,08
|
0,01
|
|
Коэффициент маневренности собственного капитала (Км)
|
0,3
|
0,37
|
Вывод: Нормальное значение для
коэффициента автономии Ка ≥0,5, как видно из таблицы и на начало ни на
конец года показатель соответствует этим требованиям, в конце года предприятие
почти полностью только собственными средствами Коэффициент финансирования
уменьшился с 0,08 до 0,01, что также вызвано увеличением доли собственного.
5. Общая оценка деловой
активности организации
Таблица №7 Коэффициенты деловой
активности
|
Наименование коэффициентов
|
На начало отчетного года
|
На конец отчетного года
|
Пояснение
|
|
1. Коэффициент общей оборачиваемости капитала.
|
0,17
|
0, 19
|
Показывает эффективность использования имущества. Отражает
скорость оборота (в количестве оборотов за период всего капитала организации)
|
|
2. Коэффициент оборачиваемости оборотных средств
|
0,48
|
0,52
|
Показывает скорость оборота всех оборотных средств организации (как
материальных, так и денежных)
|
|
3. Коэффициент отдачи нематериальных активов
|
23,82
|
25,78
|
Показывает эффективность использования нематериальных активов
|
|
4. Фондоотдача
|
0,28
|
0,3
|
Показывает эффективность использования только основных средств
организации
|
|
5. Коэффициент отдачи собственного капитала
|
0,18
|
0,2
|
Показывает скорость оборота собственного капитала. Сколько рублей
выручки приходится на 1 рубль вложенного собственного капитала
|
|
6. Оборачиваемость материальных средств (в днях)
|
602,84
|
557,11
|
Показывает, за сколько в среднем дней оборачиваются запасы в
анализируемом периоде
|
|
7. Оборачиваемость денежных средств (в днях)
|
23,07
|
21,32
|
Показывает срок оборота денежных средств
|
|
8. Коэффициент оборачиваемости средств в расчетах.
|
3,96
|
4,29
|
Показывает количество оборотов средств в дебиторской
задолженности за отчетный период
|
|
9. Срок погашения дебиторской задолженности (в днях)
|
92,16
|
85,17
|
Показывает, за сколько в среднем дней погашается дебиторская
задолженность организации
|
|
10. Коэффициент оборачиваемости кредиторской задолженности
|
5,1
|
Показывает расширение или снижение коммерческого кредита,
предоставляемого организации
|
|
11. Срок погашения кредиторской задолженности (в днях)
|
77,37
|
71,5
|
Показывает средний срок возврата долгов организации по текущим
обязательствам
|
Вывод: Коэффициент общей
оборачиваемости увеличился. Если на начало года предприятие на 1 рубль
вложенного имущества получало 17 коп. выручки, то в конце года это цифра
составила уже 19 коп. В целом по всем показателям наблюдаются положительные
тенденции, деятельность предприятия на конец года по сравнению с началом стала
эффективнее.
Срок погашения дебиторской
уменьшился, если на начало года он в среднем составлял 92,16 дней то на конец
года уже 85,17 дней это свидетельствует о улучшении платежной дисциплины
покупателей и об уменьшении продаж с отсрочкой платежа. Срок погашения
кредиторской задолженности также уменьшился, из чего можно сделать вывод что на
предприятии улучшилась дисциплина в отношении кредиторов или предприятие
сократило покупки с отсрочкой платежа
6. Анализ безубыточности
Таблица №9. Классификация затрат
|
Показатели
|
На начало отчетного года, тыс. руб.
|
На конец отчетного
года, тыс. руб.
|
|
Материальных затрат в себестоимости продукции
|
514829,70
|
566358,75
|
|
Переменные затраты в материальных затратах
|
463346,73
|
538040,81
|
|
Постоянные затраты в материальных затратах
|
51482,97
|
28317,94
|
|
ФОТ в себестоимости продукции
|
110320,65
|
113271,75
|
|
Переменные затраты в ФОТ
|
77224,46
|
101944,58
|
|
Постоянные затраты в ФОТ
|
33096, 20
|
11327,18
|
|
Амортизации в себестоимости продукции (100% постоянные затраты)
|
36773,55
|
30205,80
|
|
Доля прочих расходов
|
110320,65
|
83065,95
|
|
Переменные затраты в прочих расходах
|
11032,07
|
830,66
|
|
Постоянные затраты в прочих расходах
|
99288,59
|
82235,29
|
|
Переменные затраты
|
551603,25
|
640816,05
|
|
Постоянные затраты
|
220641,30
|
152086, 20
|
|
Полная себестоимость
|
772244,55
|
792902,25
|
Таблица №10 Показатели
безубыточности
|
Показатели
|
На начало отчетного года
|
На конец отчетного года
|
Отклонение
|
|
Расчет точки безубыточности в стоймосном выражении (Тст без-ти)
тыс. руб.
|
406663,98
|
267749,03
|
-138914,95
|
|
Расчет точки безубыточности в натуральном выражении (Т нат
без-ти)
|
393
|
287
|
-106
|
|
Расчет запаса операционной прочности (Зфп)%
|
60,73
|
76,10
|
15,38
|
|
Расчет эффекта операционного рычага (Сила рычага)
|
1,65
|
1,31
|
-0,33
|
Вывод: Точка безубыточности в
стоимостном выражении уменьшилась на 138914,95т. р. и составила в конце года
267749,03 т. р. это сумма выручки при которой предприятие не получает ни
прибыли ни убытка. В натуральном выражении точка безубыточности так же
уменьшилась, организации для того чтобы выйти в "ноль" необходимо
произвести в конец года примерно 287 (ед) продукции что на 106 ед. меньше чем в
начале. Запас финансовой прочности увеличился это говорит о том, что уменьшился
риск получения убытка. Если на начало года эта ЗПФ составлял 60,73% то в конце
года уже 76,10%.
7. Оценка эффективности
использования материальтных затрат, основных фондов, нематериальных активов и
производительности труда.
Таблица №11
Показатели эффективного использования ресурсов предприятия
|
Показатель
|
За прошлый год
|
За отчетный год
|
Отклонение
|
|
Исходные показатели
|
|
|
1. Выручка от реализации, тыс. руб.
|
1035472
|
1120452
|
84980
|
|
2. Прибыль от продаж тыс. руб.
|
300001
|
365307
|
65306
|
|
3. Основные фонды, тыс. руб.
|
3568741
|
3784665
|
215924
|
|
4. Численность персонала, чел
|
15
|
20
|
5
|
|
5. Материальные затраты, тыс. руб.
|
514829,7
|
566358,75
|
51529,05
|
|
6. Фонд оплаты труда, тыс. руб.
|
110320,65
|
113271,75
|
2951,1
|
|
Расчетные показатели
|
|
1. Материалоотдача,. руб.
|
2,01
|
1,98
|
-0,03
|
|
2. Материалоемкость,. руб.
|
0,5
|
0,51
|
0,01
|
|
3. Прибыль на 1 руб. МЗ, руб.
|
0,58
|
0,65
|
0,06
|
|
4. Фондоотдача, руб.
|
0,28
|
0,30
|
0,01
|
|
5. Фондоемкость, руб.
|
3,45
|
3,38
|
-0,07
|
|
6. Фондовооруженность, руб.
|
237916,07
|
189233,25
|
-48682,82
|
|
7. Темп роста ФОТ, руб.
|
103
|
|
|
8. Производительность труда,. тыс. руб.
|
69031,47
|
56022,6
|
-13008,87
|
|
9. Темп роста производительности труда
|
81
|
|
|
10. ФОТ на 1 работника, руб.
|
7354,71
|
5663,59
|
-1691,12
|
|
11. Прибыль на 1 руб. ФОТ, руб.
|
2,72
|
3,23
|
0,51
|
Вывод: Как можно заметить из
таблицы на предприятии увеличилась численность персонала, в следствии чего
уменьшилась фондовооруженность, также уменьшилась материалоотдача, если на
начало года на 1 р. вложенных материальных затрат приходилось 2,01 р. выручки
то на конец года этот показатель составил 1,98 р., зато увеличилась прибыл на
1р. МЗ с 0,58 р. до 0,65 р. Производительность труда к концу года по сравнению
с началом уменьшилась на 19% или на 13008,87 тыс. руб.
8. Оценка вероятности
банкротства
Таблица №12 Модель Р. Таффлера и
Тишоу
|
Показатели
|
На начало отчетного года
|
На конец отчетного года
|
|
x1
|
0,75
|
5,72
|
|
x2
|
4,77
|
28, 20
|
|
x3
|
0,07
|
0,01
|
|
x4
|
0,18
|
0,18
|
|
Z
|
1,06
|
6,73
|
Если Z>0,3,
риск банкротства минимальный; 0,2< Z < 0,3 -
"темная зона"; Z< 0,2 - риск банкротства
высок
Z≥0,3.
Как на начало года, так и на конец риск банкротства минимальный.
Таблица №13 Пятифакторная модель
Э. Альтмана
|
Показатели
|
На начало отчетного года
|
На конец отчетного года
|
|
Х1
|
0,28
|
0,37
|
|
Х2
|
0,03
|
0,07
|
|
Х3
|
0,05
|
0,05
|
|
Х4
|
12,59
|
73,24
|
|
X5
|
0,18
|
0,18
|
|
Z
|
8,27
|
44,83
|
Если Z<
1,81, вероятность банкротства очень велика; 1,81< Z
< 2,675 - вероятность банкротства средняя; 2,675< Z
< 2,99 - о риске ничего сказать нельзя; Z > 2,99
- риск банкротства минимальный.
Z >
2,99 как на начало так и на конец риск банкротства минимальный
Таблица №14. Модель Г. Спрингера
|
Показатели
|
На начало отчетного года
|
На конец отчетного года
|
|
Х1
|
0,28
|
0,37
|
|
Х2
|
0,05
|
0,05
|
|
Х3
|
0,07
|
0,01
|
|
Х4
|
0,18
|
0,18
|
|
Z
|
0,55
|
0,62
|
Если Z
> 0,862, то риск банкротства невелик; 0,862< Z - вероятность
банкротства увеличивается
Z ≥ 0, 862, как на начало года так и на конец риск
банкротства невелик.
Таблица №15. Модель А.Д. Шеремета,
Р.С. Сайфуллина, Г.Г. Садыкова
|
Показатели
|
На начало отчетного года
|
На конец отчетного года
|
|
Х1
|
0,80
|
0,97
|
|
Х2
|
4,95
|
37,03
|
|
Х3
|
0,18
|
0,18
|
|
Х4
|
0,29
|
0,33
|
|
Х5
|
0,04
|
0,04
|
|
Z
|
2,27
|
5,85
|
Если Z
> 1, вероятность банкротства низкая; Z < 1 - вероятность
банкротства увеличивается.
Z > 1
как на начало года так и на конец вероятность банкротства низкая
Таблица №16. Модель А.В. Постюшкова
|
Показатели
|
На начало отчетного года
|
На конец отчетного года
|
|
Х1
|
4,95
|
37,03
|
|
Х2
|
0,80
|
0,97
|
|
Х3
|
0,52
|
0,47
|
|
Х4
|
0,06
|
0,06
|
|
Z
|
2,71
|
7,15
|
Если Z
> 1, вероятность банкротства низкая; Z< 1 - вероятность
банкротства увеличивается
Z ≥1, вероятность банкротства как на начало так и на
конец года незначительна.
Вывод: Рассмотрев пять моделей
оценки банкротства предприятия можно сделать вывод, что в ближайшем бедующем
банкротство предприятия мало вероятно.
Выводы по предприятию.
Проанализировав деятельность
организации за отчетный год можно сделать вывод об эффективной работе
предприятия, увеличилась выручка и чистая прибыль, темп роста чистой прибыли
больше темпа роста выручки. Из без того маленькая доля заемного капитала стала
ещё меньше и к конку года предприятие почти на 99% обходится собственным
средствами. Также на конец года на предприятии сформировалось устойчивое
финансовое состояние, предприятие имеет излишки всех источников формирования
ЗИЗ, увеличились СОС как показатель свидетельствующий о дальнейшем развитии
предприятия. Из оценки вероятности банкротства следует, что все 5 моделей едины
в том, что предприятию в ближайшем бедующем не грозит разорение.