Оценка экономической эффективности инвестиционных проектов
ОЦЕНКА
ЭКОНОМИЧЕСКОЙ ЭФФЕКТИВНОСТИ ИНВЕСТИЦИОННЫХ ПРОЕКТОВ
Сравнение различных инвестиционных проектов (или
вариантов проекта) и выбор лучшего из них рекомендуется проводить с
использованием различных показателей, к которым относятся:
· чистый дисконтированный доход (ЧДД)
(интегральный доход);
· индекс доходности (ИД);
· внутренняя норма доходности (ВНД);
· срок окупаемости (Ток).
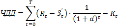
Чистый дисконтированный доход (ЧДД),
представляет собой оценку сегодняшней стоимости потока будущего дохода. Он определяется
как сумма текущих эффектов за весь расчетный период, приведенная к начальному
шагу, или как превышение интегральных результатов над интегральными затратами.
Если в течение расчетного периода не происходит
информационного изменения цен или расчет производится в базисных ценах, то
величина ЧДД для постоянной нормы дисконта (Эинт) вычисляется по формуле:
где Rt
- результаты, достигнутые на t-м
шаге расчета;
t - затраты,
осуществляемые на том же шаге;
Т - горизонт расчета (равный номеру расчета, на
котором производится ликвидация объекта);
d - ставка дисконта
проекта (внутренняя рентабельность): d
= k + i
+ r,
где k - цена капитала (процентная ставка), доли
единицы;- инфляция на рынке, доли единицы;- уровень риска проекта, доли
единицы.
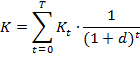
На практике часто пользуются модифицированной
формулой для определения ЧДД. Для этого из состава 3t
исключают капитальные вложения, которые обозначают через:
Кt
- капиталовложения на t-м
шаге;
К - сумма дисконтированных капиталовложений.
Тогда вышеприведенная формула ЧДД примет вид:
где 
- затраты на t-м шаге без
учета капитальных вложений.
Если ЧДД инвестиционного проекта
положителен, является эффективным (при данной норме дисконта), то может рассматриваться
вопрос о его принятии. Чем больше ЧДД, тем эффективнее проект. Если ЧДД
отрицателен, то проект считается неэффективным, т. е. убыточным для инвестора.
Величину ЧДД можно представить еще
следующей формулой:
где Пt - чистая
прибыль, полученная на t-м шаге;
Аt -
амортизационные отчисления на t-м шаге;
Нt - налог на
прибыль на t-м шаге, в
долях ед.
Таким образом, ЧДД - это сумма
приведенных величин чистой прибыли и амортизационных отчислений за минусом
приведенных капитальных вложений.
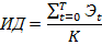
Индекс доходности (ИД) представляет
собой отношение суммы приведенных эффектов к величине капиталовложений:
где 
- сумма приведенных эффектов;
К - приведенные капитальные
вложения.
С достаточной степенью точности
индекс рентабельности можно определить как отношение дисконтированных прибылей
и амортизационных отчислений к капитальным вложениям.
Индекс доходности тесно связан с
ЧДД. Он строится из тех же элементов, и его значение связано со значением ЧДД:
если ЧДД положителен, то ИД больше 1, и наоборот.
Правило. Если ИД больше 1, проект
эффективен, если ИД меньше 1 - неэффективен.
Внутренняя норма доходности (ВНД)
представляет собой ту норму дисконта (dвн), при
которой величина приведенных эффектов (доходов) равна приведенным
капиталовложениям (затратам). Иными словами, dвн (ВНД)
является решением уравнения:
Если расчет ЧДД инвестиционного
проекта дает ответ на вопрос, является он эффективным или нет при некоторой
заданной норме дисконта (d), то ВНД проекта определяется в
процессе расчета и затем сравнивается с требуемой инвестором нормой дохода на
вкладываемый капитал.
Если ВНД равна или больше требуемой
инвестором нормы дохода на капитал, то инвестиции в данный инвестиционный
проект оправданны и может рассматриваться вопрос о его принятии. В противном
случае инвестиции в данный проект нецелесообразны.
Если сравнение альтернативных
(взаимоисключающих) инвестиционных проектов (вариантов проекта) по ЧДД и ВНД
приводит к противоположным результатам, предпочтение следует отдать ЧДД.
Приближенно ВНД определяется
графическим способом. Для этого определяют две точки с координатами (d1,ЧДД1) и (d2,ЧДД2).
Координаты первой и второй точек задаются величинами ставки дисконта и
соответствующих им ЧДД. По точкам в масштабе строят линейную зависимость ЧДД от
ставки дисконта.
Точки пересечения зависимости ЧДД от ставки
дисконтирования с осью абсцисс соответствуют искомой внутренней норме
доходности.
Рис. 1. Нахождение внутренней нормы доходности
графическим способом
Срок окупаемости проекта Ток - время, за которое
поступления от производственной деятельности предприятия покроют затраты на
инвестиции. Измеряется он в годах или месяцах. Рассчитывается с использованием
чистой текущей стоимости ЧТС (см. пример), в формулу подставляются значения тех
значений ЧТС, когда они меняют знак.
Среднегодовая рентабельность проекта связана с
индексом доходности и нормативным сроком работы оборудования:
инвестиционный
проект дисконтированный доходность
где n - срок работы оборудования.
Наряду с перечисленными критериями в ряде
случаев возможно использование и ряда других: интегральной эффективности
затрат, точки безубыточности, простой нормы прибыли, капиталоотдачи и так
далее, но ни один из перечисленных критериев сам по себе не является
достаточным для принятия проекта. Решение об инвестировании средств в проект
должно приниматься с учетом знания всех перечисленных критериев и интересов
всех участников инвестиционного проекта.
Пример. Определить показатели: ЧДД , ИД, Ток и
сделать вывод об эффективности инновационного проекта, если дисконт составляет
40% годовых.
|
Показатели,
тыс. руб.
|
I
квартал
|
II
квартал
|
III
квартал
|
IV
квартал
|
|
Доходы
|
0
|
30
|
40
|
50
|
|
Единовременные
затраты
|
20
|
10
|
15
|
0
|
|
Текущие
затраты
|
0
|
15
|
15
|
Решение:
) Определим ставку дисконта за квартал:
2) Определим ЧДД проекта:

(тыс. руб.)
) Определим индекс доходности:

(тыс. руб.)

(тыс. руб.)
ИД=61,8/41,8 ≈ 1,5
) Для определения Ток рассчитаем ЧДД
и ЧТС для кварталов:

(тыс. руб.)

(тыс. руб.)

(тыс. руб.)

(тыс. руб.)

(тыс. руб.)

(тыс. руб.)

(тыс. руб.)

(года)
Вывод: ИД > 1, ЧДД > 0, Ток
3,5 года - инновационный проект
эффективен.
. Определить: чистый
дисконтированный доход проекта (ЧДД); индекс доходности (ИД); среднегодовую
рентабельность проекта 
; внутреннюю норму доходности (ВНД);
срок окупаемости проекта Ток и выбрать наиболее эффективный проект.
|
Доходы
|
Единовременные
затраты
|
Текущие
затраты
|
Дисконт.
% годовых
|
|
2011
|
2012
|
2013
|
2011
|
2012
|
2013
|
2011
|
2012
|
2013
|
30
|
|
1
проект
|
250
|
350
|
350
|
300
|
50
|
50
|
120
|
120
|
120
|
|
|
2
проект
|
270
|
500
|
500
|
180
|
270
|
300
|
110
|
130
|
130
|
40
|
Решение:
. Характеристики 1го проекта
) Определим ЧДД проекта:
) Определим индекс доходности:
ИД=443/368.1≈ 1,2
) Для определения Ток рассчитаем ЧДД и ЧТС:

ИД > 1, ЧДД > 0, Ток
2.3 года - инновационный проект
эффективен.
. Характеристики 2го проекта
) Определим ЧДД проекта:
) Определим индекс доходности:
ИД=613/526≈ 1,16
) Для определения Ток рассчитаем ЧДД
и ЧТС:

(года)
ИД > 1, ЧДД > 0, Ток
1.22 года - инновационный проект
эффективен.
Вывод: Можно сделать вывод, что оба проекта
эффективны при этом срок окупаемости второго проекта значительно меньше, хотя и
при меньшем индексе доходности. ЧДД1<ЧДД2, ИД1>ИД2, Ток1>Ток2.