Производные функций
Министерство
образования и науки Российской Федерации
Федеральное
государственное бюджетное образовательное учреждение высшего профессионального
образования
«Национальный
исследовательский Томский политехнический Университет»
Институт
дистанционного образования
Автоматизация
технологических процессов и производств (в нефтегазовой области)
Индивидуальное
домашнее задание № 1
по
дисциплине:
Математический
анализ 2
Вариант
14
Томск
¾
2013
. Найдите частные производные первого порядка
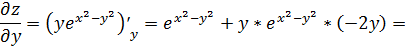
.1
; 1.3.
;
.2
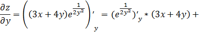
; 1.4.
;
Решение
.1
;
При нахождении частной производной
переменную
y рассматриваем как константу
.
При нахождении частной производной
переменную
x рассматриваем как константу
.
1.2
При нахождении частной производной
переменную
y рассматриваем как константу
.
При нахождении частной производной
переменную
x рассматриваем как константу
.
.3
При нахождении частной производной
переменную
y рассматриваем как константу
.
При нахождении частной производной
переменную
x рассматриваем как константу
.
.4
При нахождении частной производной
переменную
y рассматриваем как константу
.
При нахождении частной производной
переменную
x рассматриваем как константу
.
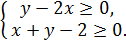
2. Найдите и постройте область определения
функции
.
Решение
Областью определения функции
является
множество всех точек плоскости, для которых определены выражения
и
.
Выражение
определенно тогда и
только тогда, когда подкоренное выражение неотрицательно, т.е. при
≥0.
То же самое можно сказать и о выражении
,
т.е.
≥0.
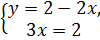
Таким образом, область определения данной
функции задается системой неравенств
Первому неравенству
удовлетворяют
координаты всех точек плоскости, расположенных выше и на прямой
.
Второму неравенству
удовлетворяют
координаты всех точек плоскости, расположенных выше и на прямой
.
Область определения функции
получается
в результате пересечения указанных множеств.
Найдем хотя бы по две точке:
|
|
|
|
|
x
|
0
|
1
|
|
x
|
0
|
1
|
|
y
|
0
|
|
y
|
2
|
1
|
Указанной совокупности удовлетворяет множество
точек плоскости, расположенных в первой и второй координатных четвертях.
3. Найдите производную
от
функции, заданной неявно
.
Решение
Равенство F(x,y)=0 определяет функцию одной
переменной y=y(x), заданную неявно. Для нахождения производной
воспользуемся
формулой
, где
.
Найдем сначала
и
;
;
Подставим
и
в
формулу
.
Получим
.
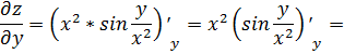
4. Найдите полный дифференциал dz функции
.
Решение
Полный дифференциал функции двух переменных
находится
по формуле
.
Найдем сначала частные производные первого
порядка
и
данной
функции
;
;
;
Тогда
.
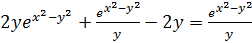
5. Докажите, что функция
удовлетворяет
уравнению
.
Решение
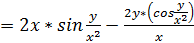
Найдем сначала частные производные первого
порядка
и
данной
функции
;
.
.
Теперь подставим частные производные. Получаем
.
.
.
Умножаем правую и левую часть на y и делим на
.
Получаем
,
=1.
Получили тождество, следовательно, функция
удовлетворяет
уравнению
6. Исследуйте функцию
на
экстремум.
Решение
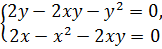
Сначала найдем стационарные точки заданной
функции
.
Для этого:
Находим частные производные первого порядка
.
.
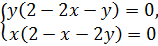
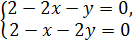
Приравниваем частные производные к нулю и решаем
систему уравнений
⇒
Решим систему уравнений
⇒
⇒
⇒
⇒
Таким образом, у нас две точки. Точка М1(0;0) и
точка М2(2/3;2/3), они являются стационарными для исследуемой функции. Проверим
достаточные условия экстремума в точке М1(0;0). Для этого найдем частные
производные второго порядка заданной функции и вычислим их значения в
стационарной точке
.
.
.
,
,
.
Составим ∆=
.
Так как ∆=0, это значит неопределенность.
Для исследования привлекают высшие производные. Мы этого делать не будем, по
крайней мере в этом семестре.
Рассмотрим точно также точку М2(2/3;2/3),
,
,
.
Составим ∆=
Так как ∆>0 и
<0,
то точка М2(2/3;2/3) является для исследуемой функции точкой максимума.
Чтобы найти значения максимума, координаты точки
максимума x=2/3, y=2/3 подставим в функцию
Ответ:
.
7. Найдите наименьшее и наибольшее значения
функции
производная функция
дифференциал экстремум
в
замкнутой области, ограниченной линиями
.
Решение
Сначала находим частные производные первого
порядка заданной функции
;
.
Так как частные производные не равны нулю, то
функция не имеет стационарных точек.
Исследуем функцию на границе области. Уравнения
определяют на
плоскости треугольник OAB.
На отрезке OA , где у=2, имеем
,
. Задача сводится к
отысканию наибольшего и наименьшего значений функции
на
отрезке
.
Так как z'=1>0, то функция всюду возрастает на отрезке
.
Следовательно, достигает своих наибольшего и наименьшего значений на концах
отрезка, т.е. в точках А
и О
,
соответственно. Находим
z(А)=z(-1,2)=-8,(O)=z(2,2)=-5.
На отрезке ОВ где х=2, имеем
,
,
,
.
Задача сводится к отысканию наибольшего и наименьшего значений функции
на
отрезке
.
Так как z'=-2<0, то функция всюду убывает на отрезке
.
Следовательно, достигает своих наибольшего и наименьшего значений на концах
отрезка, т.е. в точках В
и О
,
соответственно. Находим
z(В)=z(2,-1)=
,(O)=z(2,2)=-5
На отрезке АВ где
,
т.е.
,
имеем
,
,
,
.
Задача сводится к отысканию наибольшего и наименьшего значений функции
на отрезке
. Так как
z'=3>0, то функция всюду возрастает на отрезке
.
Следовательно, достигает своих наибольшего и наименьшего значений на концах
отрезка, т.е. в точках А
и В
,
соответственно. Находим
z(В)=z(2,-1)=1(А)=z(-1,2)=-8
Выбирая из всех полученных значений исходной
функции наибольшее и наименьшее значения, имеем
и
.
Ответ:
и
.
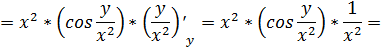
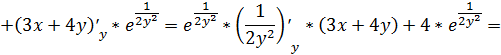
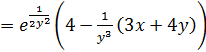
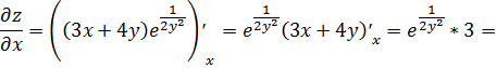
8. Найдите частные производные второго порядка
от функций
8.1
; 8.2
.
Решение
8.1
Найдем сначала частные производные первого
порядка
=
.
.
Тогда
.
.
.
.
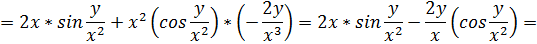
.2
Найдем сначала частные производные первого
порядка
.
.
Тогда
.
.
.
.
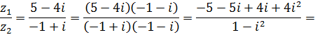
. Даны комплексные числа
и
.
Найдите
.
Ответы представьте в алгебраической форме
Решение
.

.
10. Постройте множество точек D комплексной
плоскости, удовлетворяющих условию
≤2
Решение
Преобразуем выражение под знаком модуля:
.
Найдем модуль этого выражения
.
Получилось вот такое неравенство
Таким образом, область D представляет собой
круговое кольцо, ограниченное окружностью
,
с центром в точке (-1;1) радиусом r=2.
Список использованной литературы
Высшая
математика. Ч. Ш: учебное пособие / А. В. Козловских; Томский политехнический
университет 2-е изд., перераб. доп. - Томск: Изд-во Томского политехнического
университета, 2007. - 91 с.