Параметри інтегралів
Завдання 1. Знайти невизначені інтеграли (результати у випадках «a» i «б»
перевірити диференціюванням).
а) 
;
б) 
;
в) 
;
г) 
Завдання
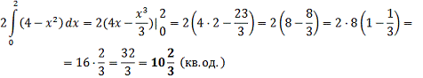
2. Обчислити площу фігури, обмежену вказаними лініями 
, 𝑦= 4 - 3𝑥. Виконати рисунок.
Завдання 3. Знайти загальний розв’язок диференціального рівняння першого
порядку:
𝑦ʹ+
2𝑥𝑦 = 2𝑥
Завдання
4. Знайти частинний розв’язок диференціального рівняння
𝑦"-
2𝑦ʹ + 5𝑦 = 5
- 4𝑥 +2
який задовольняє
початкові умови:
𝑦(0)
= 0, 𝑦ʹ(0) = 2.
Завдання
5. Дослідити на збіжність числові ряди
а)
б)
в)
інтеграл диференційний рівняння числовий
Завдання 6. Знайти інтервал збіжності степеневого ряду й дослідити його
збіжність на кінцях інтервалу.
Вирішення завдання 1
а) Знайдемо 
методом підстановки.
Замінюємо 
.
Отже, 
𝑑
𝑥𝑑𝑥=2𝑡𝑑𝑡
𝑥𝑑𝑥=𝑡𝑑𝑡

=
+𝑐=
б)
Знайдемо 
методом інтегрування
частинами:
𝑢=𝑥
𝑑𝑢=𝑑𝑥
𝑑𝑣=
𝑑𝑥
𝑣=- 
Отже,
=𝑥(- 
-
= -𝑥
+
=-𝑥
в) 
Розкладемо
підінтегральну функцію на прості дроби:

=
+
+ 
= 𝐴𝑥(𝑥+1) + 𝐵(𝑥+1)+ 𝐶𝑥²
=𝐴𝑥² + 𝐴𝑥 + 𝐵𝑥 + 𝐵 + 𝐶𝑥²
=(𝐴+𝐶)𝑥² + (𝐴+𝐵)𝑥 + 𝐵
|
𝑥²
|
0 = 𝐴+𝐶
|
⥤
𝐶 = -𝐴 = -(-1) = 1
|
|
𝑥¹
|
0 = 𝐴+𝐵
|
⥤
𝐴 = -𝐵 = -1
|
|
𝑥°
|
1 = 𝐵
|
⥤
𝐵 = 1
|
Тоді, 
Тоді,
+ 
+ 
= - 𝑙𝑛|𝑥|
- 
+ 𝑙𝑛|𝑥+1|
+𝑐
г) 
= 
= 
Замінюємо 
, тоді 
Розкладемо
підінтегральну функцію на прості дроби:

= 
(1)
Зводимо до спільного
знаменника і прирівнюємо чисельники:
= 𝐴𝑡(𝑡²-1)+𝐵(𝑡²-1)+𝐶𝑡²(𝑡+1)+𝐷𝑡²(𝑡-1)
= 𝐴𝑡³
- 𝐴𝑡 + 𝐵𝑡²
- 𝐵 +𝐶𝑡³ + 𝐶𝑡²
+ 𝐷𝑡³ - 𝐷
= (𝐴+𝐶+𝐷)𝑡³
+ (𝐵+𝐶)𝑡² + (-𝐴)𝑡+ (-𝐵-𝐷)
Прирівнюємо коефіцієнти
при однакових степенях лівої та правої частини:
|
𝑡³𝐴+𝐶+𝐷=0⥤ -𝐶 + 𝐷=0
|
|
|
|
𝑡²
|
𝐵+𝐶=0
|
⥤
 ⥤ 𝐵=𝐷
|
|
𝑡¹
|
-𝐴=0
|
⥤
𝐴 = 0
|
|
𝑡°
|
-𝐵-𝐷=0
|
⥤
-𝐵-𝐵=1 ⥤
-2𝐵=1 ⥤ 𝐵= - -
|
𝐷
=- -
𝐴=0
Підставляємо знайдені
значення у тотожність (1):

= 
Тоді, 
= 

- 

𝑙𝑛|𝑡-1| +
+ 
𝑙𝑛|𝑡+1|+𝑐 = - 
𝑙𝑛|
-1| + 
𝑙𝑛|
+1|+𝑐.
Вирішення
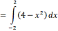
завдання 2

, 𝑦= 4 - 3𝑥; 𝑆 -?
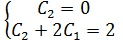
Знайдемо точки
перетину параболи і прямої із системи їхніх рівнянь

⥤ 
=±2 ⥤
⥤ 
Отже, точки перетину
будуть (-2;10);(2;-2)
Зробимо малюнок.
Знайдемо вершину параболи із рівняння
𝑦'=(𝑥²-3𝑥)'=2𝑥-3=0
C (1,5;-2,25)
- вершина параболи.
Вітки параболи
направлені вгору, тому фігура знизу обмежена параболою, а зверху - прямою,
тому:
Площа такої
фігури:
𝑆=

Оскільки функція
парна, тому
Відповідь: Площа фігури, обмежена вказаними лініями 
, 𝑦= 4 - 3𝑥 складає 
Вирішення
завдання 3
𝑦'+2𝑥𝑦=2𝑥
Дане рівняння є
лінійним, тому його розв’язок будемо шукати методом Бернуллі, тобто невідому функцію 𝑦 будемо шукати у вигляді добутку двох невідомих функцій 𝑢(𝑥)та 𝑣(𝑥):
𝑦=𝑢·𝑣 ⥤ 𝑦'= 𝑢'𝑣+𝑣'𝑢
Підставляємо в
рівняння:
𝑢'𝑣+𝑣'𝑢+2𝑥𝑢𝑣=2𝑥
Виносимо за дужки
𝑢:
𝑢'𝑣+𝑢(𝑣'+2𝑥𝑣)=2𝑥
Нехай 𝑣'+2𝑥𝑣=0 (1)
Тоді 𝑢'𝑣=2𝑥
(2)
Розв’яжемо
рівняння (1):
𝑣'+2𝑥𝑣=0
⥤ 
⥤ 
2𝑥𝑣 ⥤ 
⥤ 𝑙𝑛 𝑣 = - 
⥤
⥤ 𝑣 =
Тоді рівняння(2) ⥤ 𝑢'
⥤
𝑢'=2𝑥 ⥤ 𝑢=
=𝑥²+𝑐 ⥤
⥤ 𝑢=𝑥²+𝑐
Тоді, 
=𝑢·𝑣=
(𝑥²+𝑐) - загальний розв'язок.
Відповідь: Загальний розв’язок диференціального рівняння першого порядку 𝑦ʹ+
2𝑥𝑦 = 2𝑥
становить
(𝑥²+𝑐).
Вирішення
завдання 4
𝑦"- 2𝑦ʹ + 5𝑦
= 5
- 4𝑥 +2
𝑦(0)
= 0, 𝑦ʹ(0)
= 2.
Дане рівняння є
неоднорідним ІІ-го порядку із сталими коефіцієнтами.
Його загальний розв’язок:
Знайдемо загальний
розв’язок відповідного однорідного рівняння:
Зробимо заміну 
Складемо характеристичне
рівняння:
Знайдемо його корені:
Тоді, 
(
)=
.
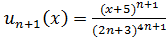
Шукаємо частинний розв’язок 
за виглядом правої
частини:
Знайдемо похідні:
Підставимо їх в
початкове рівняння:
𝑦"- 2𝑦ʹ + 5𝑦
= 5
- 4𝑥 +2
Одержимо:

|
𝑥²
|
5𝐴=5
|
⥤
𝐴 = 1
|
|
𝑥¹
|
|
⥤
-4 +5𝐵 = -4 ⥤𝐵=0
|
|
𝑥°
|
|
⥤
 ⥤
𝐶=0
|
Тоді, 
Тоді,
=
+𝑥².
Знайдемо його
похідну:

=
+
+2𝑥
Підставимо в 
та в його похідну 
початкові умови

Де 
,
Тоді,
⥤

Підставимо
значення сталих 
в 
і одержимо частинний
розв’язок:
Відповідь: Частинний розв’язок диференціального рівняння
𝑦"- 2𝑦ʹ + 5𝑦
= 5
- 4𝑥 +2, який задовольняє початкові
умови: 𝑦(0) = 0, 𝑦ʹ(0) = 2 складає 
.
Вирішення
завдання 5
а) 
- це числовий рід з
додатніми членами. Його збіжність перевіряється за необхідною ознакою:
Якщо границя
загального члена 
, то ряд розбіжний.
Обчислюємо 
=12 ≠0, тому ряд
розбіжний.
б) 
Збіжність
перевіримо за ознакою порівняння.
Підберемо ряд,
який обмежує даний ряд зверху або знизу.
Очевидно, що при 𝑛 
буде

⥤ 


⥤

Розглянемо ряд із
загальним членом 
Члени цього ряду
утворюють нескінченно спадну геометричну прогресію із знаменником 
.
Тому за ознакою
Даламбера ряд 
- збіжний.
Оскільки, члени
досліджуваного ряду менші членів збіжного ряду, то даний ряд теж збіжний.
в)
-це ряд Лейбніца.
Його збіжність
перевіряється за ознакою Лейбніца.
1) Члени ряду
повинні спадати по модулю.
Дійсно, 
2) Загальний член
ряду має прямувати до нуля:

.
Обидві умови
виконуються, тому за ознакою Лейбніца даний ряд збігається.
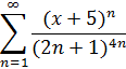
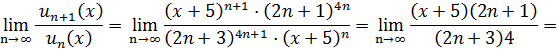
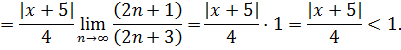
Вирішення завдання 6
За умовою, загальний
член цього ряду 
Знайдемо наступний член
Знайдемо границю їхнього
відношення і накладемо умові, що вона 
:
Із нерівності знайдемо
межі для 𝑥:

інтервал збіжності
данного ряду.
Перевіримо ряд на
збіжність на кінцях цього інтервалу:
1) 𝑥
, тоді 
.
Ряд з таким загальним членом є
знакозмінним рядом Лейбніца, тому його збіжність перевіряють за ознакою
Лейбніца:
1) 
виконується
) 
виконується
Тому ряд збіжний, і тому

належить до області
збіжності данного ряду.
3)

, тоді 
Ряд 
перевіряється на
збіжність за інтегральною ознакою:
Оскільки, функція 𝑓(𝑥)

- неперервна і спадна
на інтервалі [1;
, то існує невласний
інтеграл 
Оскільки, невласний
інтеграл розбіжний, то даний ряд теж розбіжний. Тому точка 
не належить до області
збіжності початкового степеневого ряду.

-
область збіжності.