Розв’язування рівнянь з параметрами
ВСТУП
На актуальність даної проблеми
вказують проблеми шкільної практики: завдання пов'язані з розв'язуванням
рівнянь з параметрами, часто трапляються на шкільних олімпіадах різних рівнів,
на різноманітних конкурсах. Також слід відмітити, що результати зовнішнього
оцінювання показали, що значних труднощів викликали в учнів розв'язування
рівнянь з параметрами.
Значний внесок у вивчення питання
методики розв’язування рівнянь з параметрами зробили такі вчені як Горнштейн
П.І., Полонський В.Б., Якір М.С., Ципкін А.Г., Пінський А.І., Новосьолов С.І.,
Никонов Е.Ю., Ткачук В.В., Лікоть В.В., Мордкович А.Г та ін.
Мета даної роботи полягає у
систематизації і розробці методичної системи навчання рівнянь з параметрами.
Об'єктом дослідження в курсовій
роботі є процес навчання учнів розв’язуванню рівнянь з параметрами в курсі
алгебри.
Предметом даної курсової роботи є
навчання учнів розв’язуванню рівнянь з параметрами.
Для досягнення мети даної курсової
роботи були поставлені такі завдання:
систематизувати відомості про
розв'язування рівнянь з параметрами в шкільному курсі алгебри;
систематизувати методи розв'язування
рівнянь з параметрами;
подати приклади розв'язування
рівнянь з параметрами різної складності та задачі самостійного розв'язування;
розробити систему розв’язування
рівнянь з параметрами для 9-го класу;
зробити висновки.
Гіпотеза дослідження: розробка
методичної системи навчання розв’язування рівнянь з параметрами сприятиме
підвищенню вмінь та навиків учнів.
Структура роботи побудована за
логічним принципом і складається з вступу, 3 розділів, які включають в себе
теоретичні основи розв’язування рівнянь з параметрами, основні види рівнянь з
параметрами та методи їх розв’язування, системи розв’язування задач з
параметрами, висновків, списку використаної літератури.
Теоретичне і практичне значення
даної роботи полягає у тому, що його висновки, основні положення та методичні
рекомендації можуть бути використані вчителями школи при організації вивчення
теми "Розв'язування рівнянь з параметрами" для підвищення якості знань
учнів, активізації їх пізнавальної діяльності.
РОЗДІЛ 1.
ТЕОРЕТИЧНІ ОСНОВИ РОЗВ’ЯЗУВАННЯ РІВНЯНЬ З ПАРАМЕТРАМИ
В програмах по математиці для
середніх шкіл задачам з параметрами відводять незначне місце. Тому, в перше
чергу, необхідно вказати розділи загальноосвітньої математики, в яких присутня
сама ідея параметра.
Так, з параметрами учні
зустрічаються при введенні деяких понять. Розглянемо як приклади наступні
об’єкти:
функція пряма пропорційність
(де -
змінні,
- параметр,
);
лінійна функція
(де
- змінні,
-
параметри);
лінійне рівняння
(де
- змінна,
-
параметри);
рівняння першої степені
(де
- змінна,
- параметри,
);
квадратне рівняння
(де
- змінна,
- параметри,
);
До задач з параметрами, які
розглядаються в курсі середньої школи, можна віднести, наприклад, пошук
розв’язків лінійних та квадратних рівнянь в загальному виді, дослідження
кількості їх коренів в залежності від значень параметрів.
Природно, що такий невеликий
клас задач багатьом учням не дозволяє усвідомити головне: параметр (фіксоване,
але невідоме число) має двоїсту природу.
По-перше, параметр можна
розглядати як число, а по-друге, - це невідоме число.
Таким чином, ділення на
вираз, який містить параметр, добування кореня парного ступеня із таких виразів
потребує попередніх досліджень.
Як правило, результати
досліджень впливають і на розв’язок, і на відповідь.
Не випадково задачі з
параметром є невід’ємним атрибутом завдань вступних іспитів з математики до
ВНЗ, а також зовнішнього незалежного оцінювання, оскільки вміння розв’язувати
такі задачі свідчать, що учень має ґрунтовну математичну підготовку, високий
рівень логічного мислення, навички дослідницької діяльності.
Незважаючи на те що програма
з математики загальноосвітньої школи не передбачає формування в учнів умінь
розв’язувати задачі з параметрами, реалії сьогодення (обов’язкове ЗНО) диктують
необхідність ознайомлення учнів із задачами з параметрами та методами їх
розв’язування.
Якщо в рівняння (нерівність,
систему рівнянь, систему нерівностей) крім невідомих величин, входять числа, що
позначені буквами, які не вказані, але вважаються відомими та заданими на
деякій числовій множині, то вони називаються параметрами.
Якщо в рівняння (нерівність,
систему рівнянь, систему нерівностей) містить параметр і треба знайти його корені
(розв’язки) залежно від параметра, то таке завдання відносять до задач із
параметрами.
Існують завдання, в яких
треба знайти всі значення параметра, при яких корені рівняння (розв’язки
нерівності або системи) задовольняють певну умову. Такі завдання теж вважають
задачами з параметрами. У деяких посібниках ці задачі ще називають
«дослідницькі задачі з параметрами».
Розв’язати рівняння
(нерівність, систему рівнянь, систему нерівностей) з параметрами означає знайти
всі розв’язки для кожної системи допустимих значень параметрів.
Під час розв’язування задач
із параметрами область зміни параметрів може бути заданою.
Якщо не вказані межі зміни
параметрів, то вважається, що параметри набувають усіх своїх допустимих
значень.
РОЗДІЛ 2.
ОСНОВНІ ВИДИ РІВНЯНЬ З ПАРАМЕТРАМИ
ТА МЕТОДИ ЇХ РОЗВ’ЯЗУВАННЯ
Універсального методу розв’язування
задач із параметрами не існує.
Часто користуються аналітичним (із
використанням формул, властивостей функцій) та графічними методами.
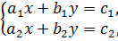
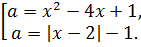
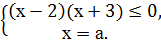
Приклад. Знайдіть усі дійсні
значення параметра а, при яких система рівнянь
рівняння параметр
пропорційність задача
має рівно три розв’язки.
Розв’язання
Спосіб 1 (аналітичний)
(1)
Система (1) рівносильна сукупності
систем рівнянь:
Розв’яжемо першу систему сукупності.
Оскільки рівняння системи (2) не
містять параметра, то при будь-яких значеннях а система (1) має два розв’язки.
Система
(1) матиме рівно три розв’язки, якщо система (3) матиме рівно один розв’язок
або якщо один із розв’язків системи (3) такий самий, як розв’язок системи (2).
А це можливо при
Здобута система має один розв’язок,
якщо рівняння
матиме один
корінь. Отже,
, звідки
.
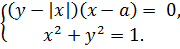
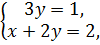
Під
час знаходження значень параметра a, при яких система (3) має один розв’язок,
можна скористатися геометричними міркуваннями.
На
координатній площині ХОУ побудуємо графіки рівнянь системи (3) (рис.1).
y
-1
1
х=а
Рис.
1
Коло і пряма мають одну спільну
точку, якщо пряма
є дотичною до кола.
Зрозуміло, що пряма
буде дотичною до
кола з центром (0;0) і радіусом R=1 при
.
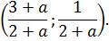
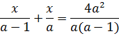
Спосіб 2 (графічний)
На координатній площині х0а побудуємо
графіки рівняння
- коло з центром
(0;0) і радіусом 1 та графік функції
-
кут із вершиною в початку координат, його сторони - бісектриси першого та
другого координатних кутів.
Розташування прямої
,
що задовольняє умову, може бути таким, як на рисунку 2, звідки
або
.
y
1
-1
1
x
x=-1
x=1
Рис.
2
Відповідь. При
.
Наведений приклад демонструє
перевагу використання графічного методу над аналітичним під час знаходження
кількості розв’язків залежно від параметра.
Дістати вичерпну інформацію про
кожний із параметрів на проміжку (
під час розв’язування рівнянь із параметрами можна, використовуючи графічний
метод («Метод Оха»).
На графіку видно, при яких значеннях
параметра рівняння має корені (і скільки), при яких - не має.
Метод графічного розв’язування
рівнянь з параметрами складається з таких етапів:
Знаходимо область допустимих значень
невідомого і параметрів, що входять до рівняння (область визначення рівняння).
Виражаємо параметр а як функцію від
х.
У системі координат х0а будуємо
графік функції
для тих значень х,
які входять в область визначення рівняння.
Знаходимо точки перетину прямої
,
де с належить проміжку
з графіком
.
Можливі випадки:
пряма
не
перетинає графік функції
. При цьому
значення a рівняння коренів не має;
пряма
перетинає
графік функції
. Тоді визначаємо
абсциси точок перетину. Для цього достатньо розв’язати рівняння
відносно
х.
Записуємо відповідь.
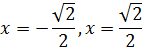
Приклад. При яких значеннях
параметра а рівняння
має рівно три корені?
Розв’язання
Рівняння
рівносильне сукупності рівнянь
На координатній площині х0а
побудуємо графіки функцій
(рис.
3)
Рис. 3
Пряма
має
з графіками функцій рівно три точки перетину, якщо
Відповідь. При
Лінійні рівняння з параметрами
Рівняння виду
,
де
-
сталі коефіцієнти, називаються лінійним відносно невідомого х.
Рис. 4
Під час розв’язування лінійних
рівнянь, що містять параметри в знаменнику, обов’язково треба враховувати
область допустимих значень параметра.
Приклад. Розв’яжіть рівняння
відносно х.
Розв’язання
ОДЗ:
Після зведення дробів до спільного
знаменника, перейдемо до лінійного рівняння відносно х.
Якщо
,
то рівняння набуває вигляду
При
Врахувавши ОДЗ параметра, запишемо
відповідь.
Відповідь. При
-
будь-яке число, при
при
коренів
немає.
Системи лінійних рівнянь з
параметрами
Системою двох лінійних рівнянь з
двома невідомими х і у називається система рівнянь виду
де
довільні
дійсні числа.
Дослідити систему означає за її
коефіцієнтами встановити, який із випадків має місце:
Система має єдиний розв’язок;
Система не має розв’язків;
Система має безліч розв’язків.
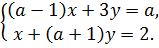
Приклад. Визначте, при яких
значеннях параметра а система рівнянь
(1)
Система має єдиний розв’язок, якщо
Отже, при
система
рівнянь має єдиний розвязок, знайдемо його. Систему (1) розв’яжемо способом
додавання, для цього обидві частини другого рівняння домножимо на 1-а (а
і здобуте рівняння додамо до першого.
Дістанемо рівняння
(2)
При
рівняння
(2) має безліч коренів, а отже, й система (1) має безліч розв’язків.
При
рівняння
(2) не має коренів й система (1) не має розв’язків. При
система
(1) набуває вигляду
звідки маємо єдиний розв’язок
системи
При
рівнянння
(2) має єдиний корінь
система (1) має єдиний розв’язок
Відповідь. При
система
має єдиний розвязок
при
система
має безліч розв’язків; при
система не має
розв’язків. Квадратні
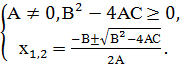
рівняння з параметрами. Алгоритм розв’язання рівняння
з
параметром. Рівняння виду
-
сталі коефіцієнти або функції від параметра, х - невідома, називається
квадратним рівнянням з параметрами.
Рис. 5
Приклад. Залежно від параметра а
розв’яжіть рівняння
Розв’язання
0
Рис. 6
Відповідь. При
-
будь-яке число; при
x=1; при
.
Дробово-раціональні рівняння з
параметрами, що зводяться до лінійних.
Процес розв’язування дробових
рівнянь протікає за звичайною схемою: дробове рівняння замінюється цілим шляхом
множення обох частин рівняння на спільний знаменник лівої і правої його частин.
Після чого учні вирішують відомим їм способом ціле рівняння, виключаючи
сторонні корені, тобто числа, які вертають загальний знаменник в нуль. У
випадку рівнянь з параметрами це завдання більш складне. Тут, щоб виключити
сторонні корені, потрібно знаходити значення параметра, що звертає загальний
знаменник в нуль, тобто вирішувати відповідні рівняння щодо параметра.
Приклад. Розв’яжіть рівняння:
(4)
Розв`язання
Значення а = 0 є контрольним.
При а = 0 рівняння (4) втрачає сенс і, отже, не має коренів. Якщо а ≠ 0,
то після перетворень рівняння (4) набуде вигляду:
х2+2 (1 - а) х +а2 - 2а -
3=0. (5)
Знайдемо дискримінант
рівняння (5)
= (1 - a)2 - (a2 - 2а - 3) = 4.
Знаходимо корені рівняння
(5):
х1 = а + 1, х2 = а - 3.
При переході від рівняння (4)
до рівняння (5) розширилася область визначення рівняння (4), що могло призвести
до появи сторонніх коренів. Тому необхідна перевірка.
Перевірка. Виключимо зі
знайдених значень х такі, при яких х1+1=0, х1+2=0, х2+1=0, х2+2=0.
Якщо х1 + 1 = 0, тобто (а +
1) + 1 = 0, то а= - 2. Таким образом, при а= - 2 х1 - сторонній корінь рівняння
(4).
Якщо х1 + 2 = 0, тобто (а +
1) + 2 = 0, то а= - 3. Таким образом, при а= - 3 x1 - сторонній корінь рівняння
(4).
Якщо х2 + 1 = 0, тобто (а -
3) + 1 = 0, то а = 2. Таким образом, при а=2 х2 - сторонній корінь рівняння
(4).
Якщо х2 + 2 = 0, тобто (а -
3) + 2 = 0, то а = 1. Таким образом, при а= 1 х2 - сторонній корінь рівняння
(4).
Для полегшення виписування
відповіді зведемо отримані результати на малюнку:
тільки x2 тільки x2 коренів
нема тільки x2 тільки x2
x1,2 x1,2 x1,2 x1,2 x1,2 x1,2
-2 0 1 2 а
Відповідно до цієї ілюстрацією при
а= -3 отримаємо х= - 3 - 3= - 6; при a= - 2 отримаємо х = - 2 - 3= - 5; при a=1
х = 1+1=2; при a=2 х = 2+1=3.
Відповідь. 1) якщо a= - 3, то х = -
6; 2) якщо a = - 2, то х = - 5;
) якщо a =0, то коренів нема; 4)
якщо a = l, то х = 2; 5) якщо а=2, то х=3;
) якщо а≠ -3;
а≠ -2;
а≠ 0; то х1 = а + 1,
а≠ 1; х2 = а - 3.
а≠ 2,
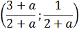
Ірраціональні рівняння з
параметрами.
Існує кілька способів розв’язування
ірраціональних рівнянь з параметрами. Познайомимося з ними, розібравши
наступний приклад.
Приклад. Розв’яжіть рівняння:
х -
= 1. (6)
Розв`язання
Зведемо до квадрату обидві
частини ірраціонального рівняння з подальшою перевіркою отриманих розв’язків.
Перепишемо вихідне рівняння у вигляді:
= х - 1 (7)
При зведенні в квадрат обох
частин вихідного рівняння і проведення тотожних перетворень отримаємо:
2 х2 - 2х + (1 - а) = 0, D =
2а - 1.
Особливе значення: а = 0,5.
Звідси:
при а > 0,5 х1,2 = 0,5 (1
±
);
при а = 0,5 х = 0,5;
при а <0,5 рівняння немає
розв’язку.
Перевірка:
при підстановці х = 0,5 у
рівняння (7), рівносильну вихідного, отримаємо невірне рівність. Значить, х =
0,5 не є рішенням (7) і рівняння (6).
при підстановці х1 = 0,5 (1 ±
) в (7)
отримаємо:
-0,5 (1 +
) =
- (0,5 (1 -
))2
Оскільки ліва частина
рівності негативна, то х1 не задовольняє вихідне рівняння.
Підставивши х2 в рівняння
(7):
=
Провівши рівносильні
перетворення, отримаємо:
Якщо
, то можна
звести отриману рівність в квадрат:
Маємо істинне рівність за
умови, що
Ця умова виконується, якщо а ≥1.
Так як рівність істинно при а ≥1, а х2 може бути коренем рівняння (6) при
а > 0,5, отже, х2 - корінь рівняння при а ≥1.
Тригонометричні рівняння з параметрами
Більшість тригонометричних рівнянь з
параметрами зводиться до розв’язування найпростіших тригонометричних рівнянь
трьох типів. За позитивного рішення таких рівнянь необхідно враховувати
обмеженість тригонометричних функцій у = sin x і y = cos x. Розглянемо приклад:
Приклад. Розв’яжіть рівняння:
cos
=2а.
Розв`язання
Так як Е(соs t)=[-1; 1], то
маємо два випадки:
. При |a| > 0,5 рівняння
не має розв’язків.
. При |a| ≤0,5 маємо:
б)
=-аrссоs2а+πn.
Оскільки
рівняння має розв’язок за умови, що-аrссоs2а+2πn>0, то
n=1, 2, 3,..., і розв’язок рівняння. х=1+(2πn-arccos2a)2.
Відповідь. Якщо |a| > 0,5,
розв’язків немає;
якщо |a| ≤ 0,5, х = 1 +
(2πn+аrссоs2а)2
при n = 0, 1, 2,. і х = 1 + (2 π n-arccos 2 a)2 при
n
N.
Приклад. Розв’яжіть рівняння:
tg ax2 =
Розв`язання
ах2 =
+πn, n
Z
Якщо коефіцієнт при
невідомому залежить від параметра, то з'являється особливе значення параметра.
У даному випадку:
. Якщо а=0, то рівняння не
має розв’язків.
. Якщо а
0, то х2 =
, n
Z
Рівняння має розв’язок, якщо
≥0.
З'ясуємо, за яких значеннях n і а виконується ця умова:
≥0 
звідки n ≥
и а > 0
або n ≤
и а < 0.
Отже, рівняння має розв’язок
х = ±
, якщо
) а > 0 и n = 1,2,3,… або
) а < 0 и n
Z.
Відповідь. При а = 0
розв’язків нема;
при а > 0 и n = 1,2,3,…
або а < 0 и n
Z х = ±
.
Приклад. Розв’яжіть рівняння:
а sin b x = 1
Розв`язання
Особливе значення параметра
а: а = 0.
При а = 0 розв’язків нема.
При а
0 sin b x =
. Маємо 2
випадки:
.1. Якщо
> 1, то
розв’язків нема.
.2. Якщо
≤ 1, то особливі значення b = 0:
.2.1. Якщо b = 0, то
розв’язків нема.
.2.2. Якщо b
0, то х =
Відповідь: при а = 0 або
> 1 і а
0 або а
0 b = 0
розв’язків нема;
при а
0 і
≤ 1 і b
0 х =
Показникові рівняння з
параметрами
Багато показникових рівнянь з
параметрами зводяться до елементарних показовим рівнянь виду а f (x) = b
φ(х)
(*), де а > 0, b > 0.
Область допустимих значень
такого рівняння перебуває як перетин областей допустимих значень функцій f(x) і
φ
(х).
Для розв’язку рівняння (*) треба розглянути наступні випадки:
При а = b = 1 розв’язком
рівняння (*) є область його допустимих значень D.
При а = 1, b ≠ 1
розв’язком рівняння (*) служить рішення рівняння φ (х) =
0 на області допустимих значень D.
При а ≠ 1, b = 1
розв’язком рівняння (*) знаходиться як розв'язок рівняння f(x) = 0 на області
D.
При а = b (а > 0, а ≠
1, b >0, b ≠ 1) рівняння (*) рівносильне рівнянню f(х) = φ(х)
на області D.
При а ≠ b (а > 0, а ≠
1, b >0, b ≠ 1) рівняння (*) тотожне рівнянню log c a f(x) = log c b
φ(x)
(c > 0, c ≠ 1) на області D.
Приклад. Розв’яжіть рівняння:
а х + 1 = b 3 - х
Розв`язання
ОДЗ: х
R, а >
0, b >0.
) При а ≤ 0, b ≤
0 рівняння не має сенсу.
) При а = b = 1, х
R.
) При а = 1, b ≠ 1
маємо: b 3 - х = 1 або 3 - х = 0
х = 3.
) При а ≠ 1, b = 1
отримаємо: а х + 1 = 1 або х + 1 = 0
х = -1.
) При а = b (а > 0, а ≠
1, b >0, b ≠ 1) маємо: х + 1 =3 - х
х = 1.
6) При а ≠ b (а > 0, а ≠
1, b >0, b ≠ 1) прологарифмуєм вихідне рівняння по підставі а,
отримаємо:
, х + 1 = (3 - х) log a b,
Відповідь: при а ≤ 0, b
≤ 0 рівняння не має сенсу;
при а = b = 1, х
R;
при а = 1, b ≠ 1 х = 3.
при а ≠ 1, b = 1 х = -1
при а = b (а > 0, а ≠
1, b >0, b ≠ 1) х = 1
при а ≠ b (а > 0, а ≠
1, b >0, b ≠ 1)
Логарифмічні рівняння з
параметром
Розв’язування логарифмічних
рівнянь з параметрами зводиться до пошуку коренів елементарного логарифмічного
рівняння. Важливим моментом розв’язування рівнянь подібного типу є перевірка приналежності
знайдених коренів ОДЗ вихідного рівняння.
Приклад. Розв’яжіть рівняння
2 - log 
(1 + х) = 3 log а
- log 
(х 2 - 1)2
Розв`язання
ОДЗ: х > 1, а > 0, а ≠
1.
Здійснимо на ОДЗ ланцюжок
рівносильних перетворень вихідного рівняння:
log а а2 + log 
(х2 - 1) = log а (
)3 + log a
,
log а (а2 (х2 - 1)) = log а
((
)3
),
а2 (х2 - 1) = (х - 1)
,
а2 (х - 1) (х + 1) = (х - 1)
Так як х ≠ -1 і х ≠
1, скоротимо обидві частини рівняння на (х - 1)
а2
=
Піднесемо обидві частини
отриманого рівняння до квадрату:
а4 (х + 1) = х - 1
а4 х + а4 =
х - 1
х(1 - а4) =
а4 + 1
Так як а ≠ -1 и а ≠
1, то
Для того щоб значення х було
розв’язком рівняння, повинна виконуватися умова х > 1, тобто
З'ясуємо, за яких значеннях
параметра а це нерівність істинно:
, 
Отже, при 0 < a < 1, x
> 1, значить при 0 < a < 1 х є коренем вихідного рівняння.
Відповідь. При а ≤ 0, а
= 1 рівняння не має сенсу; при а > 1 розв’язків немає; при 0 < a < 1
РОЗДІЛ 3.
СИСТЕМА РОЗВ’ЯЗУВАННЯ ЗАДАЧ З ПАРАМЕТРАМИ ДЛЯ 9 КЛАСУ
До задач з параметрами, можна
віднести, наприклад, пошук розв’язків лінійних і квадратних рівнянь в
загальному вигляді, дослідження кількості їх коренів в залежності від значення
параметрів.
Основне,
що потрібно засвоїти при першому знайомстві з параметром, - це необхідність
обережного звертання до фіксованого але невідомого числа. Розв’язати
рівняння з параметром означає, що для кожного значення параметра треба
встановити, чи має рівняння розв’язки, і якщо має, то знайти ці розв’язки, що,
як правило, залежать від параметра. Розглянемо
ряд прикладів:
Вправа 1. Порівняємо -а і 3а.
Розв’язання
Розглядаємо три випадки:
Якщо
, то
;
Якщо
, то
;
Якщо
, то
.
Вправа 2. Розв’яжемо
рівняння: 1)
; 2)
3).
Розв’язання
На перший погляд відповідь
очевидна:
Однак при
а=0 дане рівняння немає розв’язків.
Відповідь. Якщо а=0, то
розв’язків немає; якщо
, то
Перетворимо спочатку рівняння
. Рівняння
має єдиний розв’язок незалежно від значення параметра а. Наприклад,
якщо
Зауважимо,що параметр а може
набувати будь-яких значень, а значення х знаходимо за формулою
.
Відповідь.
для
будь-якого значення параметра а.
Вправа 3.
, для якого
а число 4,5 є коренем рівняння?
Оскільки число 4,5 є коренем
даного рівняння, то воно перетворює рівняння в правильну рівність:
, звідки
.
.
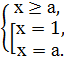
Вправа 4. Розв’язати рівняння
.
Основою розв’язування задач з
параметрами є правильне розбиття області зміни параметра на окремі частини і до
цього потрібно привчати учнів.
У запропонованому рівнянні
коефіцієнт при х дорівнює а. Тому можливі випадки:
а) коефіцієнт при х дорівнює
0 і рівняння має вигляд
та немає
коренів;
б) коефіцієнт при х не
дорівнює 0. Тоді поділимо обидві частини рівняння на коефіцієнт
:
,
,
.
. Якщо а=0, то
рівняння розв’язку немає; якщо
, то
.
Важливо звертати увагу учнів на
випадки, коли коефіцієнт при х дорівнює нулю, і розглядати їх у першу чергу, що
допоможе учням уникати поширеної помилки: взагалі не розглядати таких випадків.
Доцільно запропонувати учням
самостійно розв’язати таке рівняння:
Вправа 5. Розв’язати рівняння
.
Розв’язання
Очевидно, що для розв’язку цього
рівняння достатньо розглянути такі випадки:
; тоді рівняння
матиме вигляд 0х=2 і немає розв’язків;
; рівняння матиме
вигляд 0х=0 і матиме безліч розв’язків;
; маємо
.
Важливим етапом розв’язування задач
з параметрами є запис відповіді. Особливо це відноситься до тих прикладів, де
розв’язки міняються в залежності від значення параметра. В подібних випадках
складання відповіді - це збір одержаних результатів. І тут дуже важливо не
забути відобразити у відповіді всі етапи розв’язку.
Відповідь. Якщо
,
то х- будь-яке число; якщо
, то розв’язків
немає; якщо
, то
.
Вправа 6. Розв’язати нерівність
.
Розв’язання
Аналіз трьох можливостей
,
,
дозволяє
отримати результат:
Відповідь. Якщо
,
то
;
якщо
,
то х - будь-яке число; якщо
, то
.
Для знайомства із параметрами, корисно
ще розглянути наступні два приклади:
Вправа 7. Розв’язати нерівність
.
Розв’язання
Очевидно, що при
права
частина нерівності від’ємна, тоді при будь-якому х ліва частина більша правої.
У випадку, коли а=0, варто не пропустити той факт, що дану нерівність
задовольняють всі дійсні числа, крім
.
Відповідь. Якщо
,
то х - будь-яке число; якщо а=0,
або
.
Звертаємо увагу, що у всіх
прикладах, що розглядалися областю допустимих значень для змінної і для
параметра була множина дійсних чисел. Познайомимося із задачею іншого роду
Вправа 8. Розв’язати рівняння
.
Розв’язання.
існує для
будь-якого х,
при всіх а. Учні
часто допускаються помилки, вважаючи розв’язком рівняння єдиний корінь х = а,
адже при від’ємних значеннях а дана рівність неможлива.
Відповідь. Якщо
,
то х = а; якщо
, то розв’язків
немає.
Вправа 9. Розв’язати рівняння
Знайдемо ті значення параметра, які
перетворюють у нуль коефіцієнт при х:
, а=0 або а=2.
Якщо а=0, рівняння матиме вигляд
,
таке рівняння розв’язків немає.
Якщо а=2, то
,
тобто х - будь-яке число.
Якщо
,
,
то
.
Відповідь. Якщо а=0, то немає
коренів; якщо а=2, то х -будь-яке число: якщо
,
то
.
Вправа 10.
:
,
.
, тобто х -
будь-яке число.
Якщо а=-1, то
,
це рівняння розв’язків немає.
Якщо
,
то
.
Відповідь. Якщо а=1, то х - будь-яке
число; якщо
, то розв’язків
немає; якщо
, то
.
,
,
або
.
Якщо
,
то
,
х - будь-яке число.
Якщо
,
то немає коренів.
Якщо
,
,
то
.
Відповідь. Якщо
,
то рівняння немає коренів; якщо
, то х - будь-яке
число; якщо
,
,
то
.
Вправа 12. Розв’язування квадратного
рівняння з коефіцієнтами, залежними від параметра:
еквівалентне сукупності двох систем:
та
(2)
Вправа 13. Розв’язати рівняння
.
Розв’язання.
Дане рівняння рівносильне системі
Звідси
-
корінь даного рівняння при будь-якому а, а х=1 - корінь лише при х = а.
Відповідь. Якщо
,
то
,
або
;
якщо
,
то
;
якщо
,
то
.
Вправа 14. При яких а нерівність
має
єдиний розв’язок?
Розв’язання
Очевидно, що а=2 задовольняє вимозі
задачі. Дійсно, при а=2 отримуємо нерівність
,
що має єдиний розв’язок. Для випадку, коли
,
розв’язком нерівності буде відрізок, тобто безліч розв’язків.
Відповідь. а=2.
Вправа 15. При яких значеннях а
розв’язком нерівності
буде відрізок?
Розв’язання
Оскільки
,
то дана нерівність рівносильна системі:
Розв’язком нерівності системи буде
відрізок
.
Отже, при
розв’язком
рівняння також буде відрізок.
Відповідь.
.
Вправа 16. При кожному значенні
розв’язати рівняння
.
Розв’язання
Запишемо дане рівняння у вигляді
.
Якщо а=9, то рівняння набуває
вигляду 0
,
коренем цього рівняння є будь-яке число;
Якщо
,
,
то
Відповідь. Якщо
,
то коренів немає; якщо
, то х - будь-яке
число; якщо
,
,
то
Вправа 17. При яких значеннях
параметра а корені рівняння
розташовані в інтервалі (-1;1)?
Задача зводиться до
розв’язання системи нерівностей:
Відповідь:
ВИСНОВКИ
В даній курсовій роботі були
розглянуті методи розв'язування рівнянь з параметрами, як стандартними, так і
нестандартними методами, були розв’язані найпоширеніші типи рівнянь з
параметрами, поглиблювались знання про методику розв'язування рівнянь з
параметрами, розглядалися складні випадки розв'язання рівнянь з параметрами.
Серед методів розв'язання рівнянь з
параметрами користуються аналітичним (із використанням формул, властивостей
функцій) та графічними методами.
Для того, щоб набути міцних та
глибоких знань, оволодіти способами і методами розв’язування рівнянь з
параметрами, дуже важливо розв’язати їх достатню кількість,щоб систематизувати
та узагальнити знання по даній темі.
Отже, матеріал даної курсової роботи
сприяє систематизації, поглибленню і розширенню знань, навичок та умінь по темі
«методика розв’язування рівнянь з параметрами» та їх цілеспрямованому
використанні під час виконання різних типів завдань. Ця тема повинна вивчатися
не тільки на факультативах і додаткових заняттях, але й у шкільній програмі,
тому що вона формує логічне мислення й математичну культуру в школярів.
СПИСОК ВИКОРИСТАНОЇ ЛІТЕРАТУРИ
1. Дорофеев
Г.В., Решение задач, содержащих параметры / Дорофеев Г.В - М.: Перспектива,
2000. - Ч.2. - 38 с.
2. Глаголєва
Н.Ю., Задачі по математиці для вступників у вузи./ Глаголєва Н.Ю - К., 2009р. -
274 с.
. Горнштейн
П.І., Задачі з параметрами./ Горнштейн П.І., Полонский В.Б., Якір М.С.- К.,
2006 р. - 150 с.
. Лікоть
В.В., Задачі з параметрами./ Лікоть В.В - К., 2007р. - 54 с.
. Мордкович
А.Г., Алгебра й початок аналізу/ Мордкович А.Г. - К., 2008 р. - 256 с.
. Никонов
Е.Ю., Параметр. / Никонов Е.Ю. - Самара - 1998 р. - 80 с.
. Новосьолов
С.І., Спеціальний курс елементарної алгебри./ Новосьолов С.І Москва-1997. -120
с.
. Ткачук
В.В., Математика - абітурієнтові./ Ткачук В.В., - К., 1994р. -56с.
. Ципкін
А.Г., Справочник по методам решения задач по математике для средней школы /
Ципкін А.Г., Пінський А.І - 2-е вид.. перероб. і доп. - М.: Наука, 2004. - 576
с.
. Харитонова
Л.О. Параметри // Математика в шк. України./ Харитонова Л. О. - 2008. - № 29. -
С. 27-30.
. Ястребинецкий
Г.А., Задачи с параметрами / Ястребинецкий Г.А - М.: Просвещение, 1999. - 128
с.
. Ястребинецький
Г.А. Рівняння й нерівності, що містять параметри./ Ястребинецкий Г.А - К.,
2005р. - 208 с.
. http://sichkarnya.org.ua/others/e-books/47132-matematika-algebra-9-klas-vidpovidi-na.html">Математика
(алгебра, геометрія).9 клас.