Розв'язування систем трьох лінійних рівнянь з трьома невідомими за правилом Крамера

  • Вид работы:
    Реферат
  • Предмет:
    Математика
  • Язык:
    Украинский
    ,
    Формат файла:
    MS Word
    66,87 Кб
  • Опубликовано:
    2014-09-11
Вы можете узнать стоимость помощи в написании студенческой работы.
Помощь в написании работы, которую точно примут!

Розв'язування систем трьох лінійних рівнянь з трьома невідомими за правилом Крамера

Міністерство освіти і науки молоді та спорту України Східноєвропейський національний університет імені Лесі Українки

Математичний факультет










Реферат на тему:

«Розв'язування систем трьох лінійних рівнянь з трьома невідомими за правилом Крамера»



Виконавець: студентка 11 групи

Бочко Марія Олександрівна

Науковий керівник: старший викладач

Жуковська Тетяна Григорівна


Луцьк - 2014

Зміст

Вступ

. Система лінійних рівнянь

. Методи розв'язання

. Визначники

. Правило Крамера

. Приклади

Висновки

Література

Вступ

крамер рівняння алгебраїчний

 Математика, як і інші науки, використовується для обслуговування людських потреб у прийнятті правильних рішень. Правильних - це значить тих, що найбільш точно відповідають реальній дійсності.

У математиці, механіці й фізиці, в техніці й економіці розв'язування багатьох задач зводиться до розв'язування систем рівнянь першого степеня з кількома невідомими або, як прийнято говорити, систем лінійних рівнянь. (Назва рівняння першого степеня - лінійне - пов'язана з тим, що в аналітичній геометрії рівняння першого степеня з двома невідомими ах+ ву=с визначає пряму лінію на площині.)

Так звана лінійна алгебра виросла з розвязування систем двох та трьох лінійних рівнянь з двома та трьома невідомими.

Теорія і практика розв'язання систем алгебраїчних рівнянь мають давню історію. Ще за 2000 років до н.е. в Вавилоні розглядались системи алгебраїчних рівнянь з числовими коефіцієнтами. Для розв'язання систем лінійних рівнянь застосовувались різноманітні методи: виключення змінних, введення допоміжних невідомих та інші.

Але в математиці Вавилона, Китаю, Індії не було загальної теорії систем алгебраїчних рівнянь. Створення теорії алгебраїчних рівнянь пов'язано з іменами європейських математиків. Ідею визначника і його застосування в дослідженні і розв'язанні вперше висловив відомий німецький математик Лейбніц. В розробці теорії алгебраїчних рівнянь брали участь вчені європейських країн: Крамер, Безу, Лаплас, Вандермонд, Лагранж, Коші, Гаусс, Кронеккер, Келі, Сильвестр, Лобачевский та ін.

В математиці, механіці, фізиці, інженерній практиці часто доводиться розглядати системи лінійних рівнянь з довільним числом невідомих.

У звязку з пошуком найбільш раціональних прийомів розвязування n лінійних рівнянь з n невідомими виникла та почала розвиватися у XVII ст. теорія визначників.

Механічне правило розвязування систем двох лінійних рівнянь за їх коефіцієнтами описав у своїй книзі «Про велике мистецтво» (1545) італійський математик Дж. Кардано.

Основи теорії визначників заклав швейцарський математик Габріель Крамер. Відома під назвою «правило Крамера» теорема була ним сформульована та доведена у 1750 р. у його роботі «Вступ до аналізу кривих ліній».Апарат теорії визначників недостатній для вивчення таких систем лінійних рівнянь, у яких кількість невідомих не співпадає з кількістю рівнянь. Тому була розроблена теорія матриць, яка досягла найвищого розвитку у XIX ст.

. Системи лінійних рівнянь

Система лінійних алгебраїчних рівнянь (СЛАР) - в лінійній алгебрі система лінійних рівнянь, яка має вигляд:


Це система m лінійних рівнянь з n невідомими, де

 є невідомими,

 є коефіцієнтами системи,

 - вільними членами.

Системи лінійних алгебраїчних рівнянь відіграють важливу роль у математиці, оскільки до них зводиться велика кількість задач лінійної алгебри, теорії диференціальних рівнянь,математичної фізики тощо, та областей фізики й техніки, де застосовуються ці математичні теорії.

Множина розв'язків

Розв’язком системи лінійних алгебраїчних рівнянь є будь-яка сукупність дійсних чисел , яка при підстановці кожне рівняння системи перетворює його в тотожність.

Якщо система має хоча б один розв’язок, то вона називається сумісною, і несумісною, якщо не має жодного. Відповідь на питання сумісності системи дає теорема Кронекера-Капеллі.

Сумісна система називається визначеною, якщо вона має єдиний розв’язок, і невизначеною, якщо вона має безліч розв’язків. В останньому випадку кожен її розв’язок називають частковим розв’язком системи. Сукупність усіх часткових розв’язків називають загальним розв’язком системи.

Якщо всі вільні члени , система лінійних алгебраїчних рівнянь називається однорідною. Однорідна система має очевидний розв'язок, у якому всі . Цей розв'язок заведено називати тривіальним. Відмінні від тривіального розв'язки існують тільки тоді, коли матриця  вироджена.

2. Методи розв'язання

Методи розв’язування систем лінійних албераїчних рівнянь можна досить чітко поділити на три групи: точні, ітераційні та ймовірнісні. За Бахваловим (1987 рік), точні методи застосовні до систем з числом змінних до порядку 104, ітераційні - 107.

Точні методи

До точних методів належать методи, що дають точний результат у припущенні ідеальної арифметики .Точні методи можна застосовувати й тоді, коли коефіцієнти й вільні члени рівняння задані в аналітичній, символьній формі.

Метод послідовного виключення.

Найпростішим, хоча важким для практичних застосувань, методом розв'язування системи лінійних алгебраїчних рівнянь є метод послідовного виключення невідомих. Суть його в тому, що із першого рівняння змінна  виражається через інші змінні, й підставляється в усі інші рівняння. Це можна зробити, якщо коефіцієнт  відмінний від нуля. У випадку, якщо він нульовий, можна вибрати інше рівняння, оскільки перестановка рівнянь у системі дає еквівалентну систему. В результаті утворюється нова система рівнянь, в якій рівнянь на одне менше. З цією системою рівнянь можна поступити так само, отримуючи ще меншу систему рівнянь. Продовжуючи так, отримують одне лінійне рівняння, з якого можна визначити одну із змінних, а інші, виключені, виразити через неї.

Метод Гауса - метод, найчастіше застосовуваний при ручному розв’язуванні СЛАР.

Метод Гауса-Жордана - модифікація методу Гауса.

Метод Крамера (за формулами Крамера) - чисто теоретичний метод, непридатний до практичного використання через обчислювальну складність і малу точність, оскільки вимагає обчислення визначників, а тільки в одному визначнику  доданків. Метод Крамера може застосовуватися для матриць 2Ч2, або, щонайбільше, 3Ч3.

3. Визначники

1. Визначники другого порядку. Визначення

Визначником другого порядку називається число, яке позначають символом

  і виконується рівність  

Числа  називаються елементами визначника.

. Визначники третього порядку. Визначення

Визначником третього порядку називається число, яке позначають символом

 ∆ =  й виконується рівністю:

∆ =  .

Щоб запам'ятати, які добутки в правій частині рівності беруться зі знаком (+), а які зі знаком (-), корисно використовувати наступне правило трикутників:

 

Це правило дозволяє легко записати формулу (1) і обчислити даний визначник.

4. Правило Крамера

(швейцарський математик, 31.07.1704 - 04.01.1752):

Теорема Крамера: якщо основний визначник неоднорідної системи n лінійних алгебраїчних рівнянь з n невідомими не дорівнює нулю, то ця система має єдиний розв’язок, який знаходиться за формулами

(1)

де - допоміжний визначник, який одержується з основного визначника - шляхом заміни його k-го стовпця стовпцем вільних членів системи.

Отже:

Якщо , то система матиме єдиний розв’язок (1).

Якщо ж і , то система матиме безліч розв’язків.

Перед розв’язком даних систем лінійних рівнянь потрібно перевірити необхідні умови застосування методу Крамера:

. Кількість рівнянь системи дорівнює кількості невідомих.

. Визначник основної матриці системи не дорівнює нулю

Зауваження. Метод Крамера доцільно використовувати, коли кількість рівнянь та невідомих . Метод Крамера можна застосовувати і для великих значень n, але він потребує більше розрахунків. У випадку, коли n > 3 доцільно використовувати метод Гауса-Жордана (приведення системи до трикутного вигляду).

. Приклади

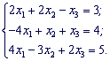
Розв’язати системи трьох лінійних рівнянь з трьома невідомими методом Крамера:  

.

Так як , то задана система рівнянь сумісна і має єдиний розв'язок. Обчислимо визначники:

 

За формулами Крамера знаходимо невідомі

Відповідь: (-2;1;1).

..

Так як , то задана система рівнянь сумісна і має єдиний розв'язок. Обчислимо визначники:

За формулами Крамера знаходимо невідомі


Отже  єдиний розв'язок системи.

Висновки

Ми розглянули нове поняття - визначник, докладно розглянули визначники третього порядку, що часто зустрічаються на практиці. Розглянули теорему Крамера, яка дає практичний спосіб розв'язання систем лінійних рівнянь, для випадку, коли рішення єдине. 

Викладені підрахунки кількості операцій, необхідних для знаходження величини визначника матриці, розв’язки системи лінійних рівнянь і перетворення матриці, не враховують деяких побічних операцій і не беруть до уваги зростання кількості десяткових знаків у числах, які множаться або додаються. Тим не менше, отримані результати можуть бути корисними для вирішення питання: чи потрібно розв’язувати будь-яку практично цікаву систему лінійних рівнянь ручним способом чи доцільніше передати замовлення в обчислювальний центр.

Література

1. Александров П.С. Курс аналитической геометрии и линейной алгебры. - М.: Наука, 1979. - 512 с.

. Глейзер Г.И. История математики в школе. - М., 1983. - 352 с.

. Демидович Б.П., Кудрявцев В.А. Краткий курс высшей математики. - М.: Астрель, 2001. - 640 с.

4.Завало С.Т., Костарчук В.М., Хацет Б.І. Алгебра і теорія чисел, ч.1. - К.: Вища шк., 1974. - 32с.

.Курош А.Г. Курс высшей алгебры. - М.: Наука, 1975. - 432 с.

6. Назієв Е.Х. та ін. Лінійна алгебра та аналітична геометрія: Навч. посібник / Е.Х. Назієв, В.М. Владіміров, О.А. Миронець. - К.: Либідь, 1997. - 152 с.

7. Чарін В.С. Лінійна алгебра. - 2-е вид., стер. - К.: Техніка, 2005. - 416 с.

. Антонов Н.П., Вигодський М.Я. Збірник по елементарній математиці. - М.,1974.

. Алексєєв В.М. Елементарна математика. - К.1984.

Похожие работы на - Розв'язування систем трьох лінійних рівнянь з трьома невідомими за правилом Крамера

 

Не нашли материал для своей работы?
Поможем написать уникальную работу
Без плагиата!
Без нейросетей!