Процесс снабжения и складские запасы предприятия
Реферат
Запасы, страховой запас, располагаемый запас, наличный запас, средний
уровень запаса, модели управления запасами, модель с фиксированным интервалом
времени между заказами, модель с фиксированным размером заказа, формула
Уилсона, eoq, поставки, одно- и
многономенклатурные поставки, график поставок
Объект исследования - процесс снабжения и складские запасы предприятия.
Предмет исследования - процесс применения моделей многономенклатурных
поставок и влияние данного процесса на уровень запасов товарных позиций
(располагаемых, наличных, средних).
Цель работы: исследование существующих моделей управления запасами;
анализ моделей многономенклатурных поставок в условиях ограничений (на
грузоподъемность транспортного средства, на объем кузова транспортного средства
(контейнера), объем складских помещений, ограничения на периодичность
поставок); выявление резервов минимизации издержек и роста эффективности
управления запасами и поставками в процессе нормирования запасов и
осуществления поставок.
Актуальность выбранной темы обусловлена тем, что в рамках динамичного
развития и востребованности логистики имеет место широкое применения
однопродуктовых моделей, малоэффективных на практике. Встает вопрос о
минимизации логистических затрат (в т.ч. на хранение, транспортировку) путем
оптимизации поставок и снижения уровня среднего запаса. Эти вопросы решаются
моделями многономенклатурных поставок.
Методы исследования: метод описания, систематизации, классификации,
аналитический метод, метод сравнительного анализа, метод сбора данных,
группировок, автоматизация.
Автор работы подтверждает, что приведенный в курсовой
работе расчётно-аналитический материал правильно и объективно отражает
состояние исследуемого процесса, а все заимствованные из литературных и других
источников теоретические, методические положения и концепции сопровождаются
ссылками на их авторов.
Summary
Stock, safety stock, the average level
of stocks, inventory control model, a model with a fixed interval of time
between orders, models with fixed size of the order, the formula wilson, eoq,
delivery, single- and multiproduct delivery, delivery schedule
The object of study - the process of supply and stocks of the
company.subject of research - the process of applying multiproduct supply
models and the impact of this process on commodity item’s inventory levels.: to
study the existing models of inventory management; analysis of multiproduct
supplies models in case of constraints (the payload of the vehicle, the vehicle
body volume (container), the amount of storage space, the restrictions on the
frequency of supply); identification of reserves to minimize costs and increase
the efficiency of inventory management and supply in the valuation of stocks
and implementation of supply..of the chosen topic due to the fact that in the
framework of dynamic development and demand for logistics, takes place a wide
use of single-product models, ineffective in practice. The question of
minimizing logistics costs (including storage, transport) by optimizing the
supply chain and reduce the average stock arises. These issues are resolved by
multiproduct supply models.: description, classification, analytical method,
comparative analysis, data collection method, groups, automation..author
acknowledges the work that resulted in the term paper settlement and analytical
material correctly and objectively reflects the state of the process, and all
borrowed from the literature and other sources of theoretical, methodological
terms and concepts accompanied by references to their authors.
Содержание
Введение
. Система управления запасами: теоретически аспект
.1 Определение, сущность, содержание, классификация
запасов
.2 Системы управления запасами, их преимущества и
недостатки
. Методы расчета показателей оптимальных партий заказа при многономенклатурных
поставках
.1 Методы расчета показателей оптимальных партий заказа при
многономенклатурных поставках: теоретический аспект
.2 Многономенклатурные поставки по системе кратных периодов
. Формирование графика многономенклатурных одновременных
поставок по товарной линии материалов поставщика в условиях ограничения на
грузоподъемность транспортного средства
Заключение
Список использованных источников
Введение
За последние пятнадцать лет в нашей стране получило развитие новое
научное направление - логистика. Востребованность логистики и ее динамичное
развитие вызвано, в частности, ростом производства и международной торговли. В
то же время доля совокупных логистических издержек в промышленно развитых
странах составляет около 11% от ВВП, тогда как в Республике Беларусь к 2015
году прогнозируется около 20% [15]. Поэтому проблема разработки современной
методологии, моделей и методов, направленных на оптимизацию затрат в цепях
поставок, является одним из приоритетных направлений развития экономической
науки.
Анализ опубликованных работ по логистике показал, что они могут быть
разбиты на три группы: работы по «теоретической» логистике, включающие в себя
вопросы генезиса, терминологии и понятийного аппарата (определения, концепции,
принципы и т.п.); работы «прикладной» логистики, в которых приведены решения
ряда задач заготовительной, производственной и распределительной логистик; и
работы, посвященные применению информационных технологий и разработке
корпоративных информационных систем в управлении цепями поставок.[1, с.3]
Таким образом, можно констатировать, что дальнейшее развитие логистики -
это синтез аналитического инструментария в виде классических методов и
имитационно-вероятностных моделей, реализуемых с помощью информационных
технологий. [1, с.4]
Наибольше распространение в логистике и теории управления запасами
получили однопродуктовые задачи. Однако только в 9% работ по логистике
встречаются модели для поставок в несколько номенклатур, несмотря на их
значительную востребованность в функциональных логистиках снабжения,
распределения и в теории управления запасами. [1]
Состояние и эффективность использования производственных запасов является
одним из основных условий успешной деятельности любой организации. Развитие
рыночных отношений определяет новые условия их организации. Изучение проблемы
управления производственными запасами предприятия значительно расширяет
возможности экономического анализа хозяйственной деятельности с позиций
эффективного использования производственных запасов. [1, c. 67]
Одними из важнейших задач, эффективно решаемых с помощью заготовительной
и распределительной логистик, являются управление запасами и управление
поставками. Для достижения этой цели в данной курсовой работе были поставлены
следующие задачи:
исследование существующих моделей управления запасами;
анализ имеющихся моделей многономенклатурных поставок;
анализ моделей многономенклатурных поставок в условиях ограничений (на
грузоподъемность транспортного средства, на объем кузова транспортного средства
(контейнера), объем складских помещений, ограничения на периодичность
поставок);
выявление резервов минимизации издержек и роста эффективности управления
запасами и поставками в процессе нормирования запасов и осуществления поставок.
Объект исследования - процесс снабжения и складские запасы предприятия.
Предмет исследования - процесс применения моделей многономенклатурных
поставок и его влияние на уровень запасов товарных позиций.
Информационную базу работы составляют: учебники отечественных и
зарубежных специалистов в области логистики и экономики предприятия, материалы
периодической печати по наиболее значимым особенностям управления запасами на
современном этапе.
В работе рассматриваются модели многономенклатурных поставок в условиях
различных ограничений, возможность их применения на практике, а также
преимущества их внедрения в процесс планирования поставок.
1. Система управления запасами: теоретический аспект
.1 Определение, сущность, содержание, классификация запасов
Логистические процессы, проходящие или внутри предприятия, или между
предприятиями, охватывают движение материальных потоков и сопровождаются
постоянным созданием запасов. Причина создания запасов заключается в
необходимости сгладить различную интенсивность потоков, находящихся во взаимодействии.
Наиболее общую формулировку понятия запасы дает в своей книге «Логистика»
Гаджинский А.М.: «Материальные запасы - это находящиеся на разных
стадиях производства и обращения продукция производственно-технического
назначения, изделия народного потребления и другие товары, ожидающие вступления
в процесс производственного или личного потребления».
Фактор случайности оказывает влияние на логистические процессы и является
причиной формирования запасов, он делает невозможным точное прогнозирование, и
поэтому логистические решения принимаются в условиях неопределенности.
При невозможности добиться синхронности между входящими и исходящими
потоками создаются страховые запасы, создание которых оправдывается причинами:
необходимостью подстраховаться, если собственные потребности или рыночный
спрос оказываются больше запланированных;
желанием компенсировать возможную неопределенность поставок или их
запаздывание.
Для получения возможности совершать закупки по более низким ценам часто
формируют запасы. При благоприятной рыночной конъюнктуре или в силу сезонного
характера закупаемых ценностей также создаются запасы. Технический прогресс
считается существенным фактором формирования запасов. Его влияние на запасы
сложно и разнообразно. В сфере снабжения технический прогресс оказывает особо
сильное влияние. Он способствует миниатюризации изделий, появлению новых
материалов, видов сырья и технологий. Все это влечет уменьшение физического
объема конечной продукции, что приводит к снижению потребности в материалах.
Это влияет на объемы запасов, но такие изменения не обязательно пропорциональны
изменениям в объемах и структуре применяемых материалов. [2, c. 84]
Эффективность производства напрямую зависит от количества запасов, запасы
выступают в роли оборотного капитала. Чем их меньше, тем эффективнее
производство.
Динамика запасов связывается с динамикой оборота, что позволяет снизить
запасоемкость хозяйственных процессов. Структура запасов должна быть
разнообразна и должна позволять оценивать ее соответствие потребностям. Оценка
хозяйственной пригодности запасов также имеет большое значение. Оптимальное
удовлетворение потребностей производства в материалах с минимальными затратами
- основная цель закупочной логистики.
В экономической деятельности производственных и коммерческих предприятий
запасы играют положительную роль, которая заключается в обеспечении
непрерывности процесса производства и сбыта - являясь особым буфером, они
сглаживают непредвиденные колебания спроса, сбои в поставках и производственном
процессе, повышают надежность логистического управления.
1.2 Системы управления запасами, их преимущества и недостатки
Управление запасами - это оптимизация запасов произведенных товаров,
незавершенного производства, сырья и других объектов деятельности предприятиями
с целью уменьшения затрат хранения при обеспечении уровня обслуживания и
бесперебойной работы предприятия. Управление запасами в логистике - оптимизация
операций, непосредственно связанных с переработкой и оформлением грузов и
координацией со службами закупок и продаж, расчет оптимального количества
складов и места их расположения.
Эффективное управление запасами позволяет организации удовлетворять или
превышать ожидания потребителей, создавая такие запасы каждого товара, которые
максимизируют чистую прибыль.
На уровне предприятий запасы относятся к объектам, требующим больших
капиталовложений, и потому являются одним из факторов, определяющих политику
предприятия и влияющих на уровень его ликвидности.
Основная цель управления запасами на предприятии - снизить общие
ежегодные затраты на содержание запасов до минимума при условии
удовлетворительного обслуживания потребителей.
Затраты, связанные с созданием и содержанием запасов можно разбить на
несколько групп:
отвлечение части финансовых средств на поддержание запасов;
расходы на содержание специально оборудованных помещений (складов);
оплата труда специального персонала;
дополнительные налоги;
постоянный риск порчи, нереализации просроченного товара, хищения.
В свою очередь отсутствие необходимого объема запасов приводит также к
расходам, которые можно определить в следующей форме потерь:
потери от простоя производства,
потеря от упущенной прибыли из-за отсутствия товара на складе в момент
возникновения повышенного спроса,
потери от закупки мелких партий товаров по более высоким ценам;
потеря потенциальных покупателей и др.
Достижение оптимальной соразмерности масштабов производства и запасов
является одной из главных задач в управлении запасами.
Управление запасами представляет собой задачу, общую для предприятий и
фирм любого сектора системы хозяйствования. Запасы нужно создавать в
промышленности, розничной торговле и т. д. При управлении запасами любой
организации, независимо от сложности системы снабжения, приходится отвечать на
вопрос, сколько заказывать и когда заказывать. Для решения этих вопросов есть
конкретные системы управления запасами:
- с определенным размером заказа;
- с определенным интервалом времени между заказами (с
постоянным уровнем запаса).
Другие системы являются разновидностями этих двух систем. Выбор системы
зависит от следующих обстоятельств.
) Если издержки управления запасами незначительные, следует применять
систему с определенным уровнем запасов.
2) Более предпочтительна система с постоянным уровнем заказа, если
издержки управления запасами незначительные.
) Если поставщик применяет ограничения на наименьший размер
партии, желательно применять систему с определенным размером заказа, потому что
легче один раз сбалансировать определенный размер партии, чем постоянно
отлаживать его переменный заказ.
) Более предпочтительной является система с постоянным уровнем
запасов, если ограничения связаны с грузоподъемностью транспорта.
) Если поставка товаров происходит в установленные сроки, более
предпочтительна система с постоянным уровнем запасов.
) Если нужно быстро реагировать на изменение сбыта, часто
выбирается система с постоянным уровнем и система с двумя уровнями.
Решение обобщённой задачи управления запасами определяется следующим
образом.
В случае периодического контроля состояния запаса следует обеспечивать
поставку нового количества ресурсов в объеме размера заказа через равные
интервалы времени.
В случае непрерывного контроля состояния запаса необходимо размещать
новый заказ в размере объема запаса, когда его уровень достигает точки заказа.
Рассмотрим более подробно некоторые модели управления запасами.
) Модель с фиксированным объемом заказа. Само название указывает на
главный параметр системы - объем заказа. Он строго зафиксирован и не изменяется
ни при каких условиях. Для оптимизации размеров заказов применяются специальные
методики и расчетные формулы, например, формула Уилсона (1.1):
где

-
оптимальный размер заказа; 
-
затраты на выполнения одного заказа; 
-
годовые затраты на содержание единицы запаса.
Графическое
функционирование системы с фиксированным объемом заказа приведено на рисунке
1.1.
Рисунок
1.1 - Движение запасов в системе управления запасами с фиксированным объемом
заказа
Примечание
- Источник: [10]
2) Модель с фиксированным интервалом времени между заказами представлена
на рисунке 1.2. В этой системе заказы делаются в строго определенные моменты
времени через равные интервалы, например раз в месяц, раз в неделю и т. п.
Рисунок 1.2 - Движение запасов в системе управления запасами с
фиксированным интервалом времени между заказами
Примечание - Источник: [10]
Объем заказа рассчитывают так, что при точном соответствии фактического
потребления за время поставки ожидаемая поставка пополняет запас на складе до
максимального желаемого уровня. Действительно, разница между максимальным
желаемым и текущим запасами определяет объем заказа, необходимый для его
восполнения до максимального желаемого уровня на момент расчета, а ожидаемое
потребление за время поставки обеспечивает это восполнение в момент
осуществления поставки.
Сравнение рассмотренных систем управления запасами приводит к выводу о
наличии у них взаимных недостатков и преимуществ, приведенных в таблице 1.1.
Таблица 1.1 - Сравнение основных систем управления запасами
|
Система
|
Преимущества
|
Недостатки
|
|
С фиксированным объемом заказа
|
Меньший уровень максимального желаемого заказа. Экономия
затрат на содержание запасов на складе за счет сокращения площадей под запасы
|
Постоянный контроль за наличием запасов на складе
|
|
С фиксированным интервалом времени между заказами
|
Отсутствие постоянного контроля за наличием запасов на
складе
|
Высокий уровень максимального желаемого запаса. Повышение
затрат на содержание запасов на складе за счет увеличения площадей под запасы
|
Примечание - Источник: [11]
Подводя итог вышесказанному, отметим, что применение подобных систем на
предприятиях желательно, однако в настоящее время не представляется возможным
вследствие нестабильной экономической политики, из чего вытекает нестабильность
инфляционных тенденций, рост взаимных неплатежей предприятий и организаций,
несовершенное налоговой законодательство.
Отсюда следует необходимость создания на предприятиях таких систем
управления запасами, которые бы учитывали особенности отечественного
производства, главной из которых, в данном случае, является заказной характер
изготовления продукции.
2. Методы расчета показателей оптимальных партий заказа при
многономенклатурных поставках
Наибольшее распространение в логистике и управлении цепями поставок
получили однопродуктовые задачи. Известно, что только в 9% работ по логистике
встречаются модели для других форм организации поставок, получивших название
многономенклатурных и многопродуктовых, несмотря на их значительную
востребованность в функциональных логистиках снабжения и распределения. Об эффективности
применения многономенклатурных моделей говорят данные табл. 2.1 [3].
Таблица 2.1 - Влияние вида поставок для многономенклатурных запасов
|
Форма организации поставок
|
Затраты
|
%
|
|
Абсолютные величины
|
%
|
|
|
1.Существующая
|
52,50
|
100
|
-
|
|
2.Независимая оптимизация (расчеты каждой поставки, модель EOQ)
|
23,70
|
45,1
|
100
|
|
3.Одновременная по всей номенклатуре (многономенклатурная)
|
14,58
|
27,8
|
61,6
|
|
4.Система кратных периодов - группировка по общему периоду;
- группировка по оптимальному периоду.
|
12,80 12,74
|
24,4 24,3
|
54,1 53,9
|
Примечание - Источник: [1, c.134]
Нетрудно заметить, что переход от «хаотичной» системы снабжения к
многономенклатурным поставкам по системе кратных периодов позволил снизить
суммарные издержки почти в четыре раза; абсолютный переход от независимых
поставок к многономенклатурным - почти в два раза.
Очевидно, одна из причин создавшегося положения состоит в том, что
большинство менеджеров, отвечающих за логистику, не знакомы с методами расчета
показателей многономенклатурных и многопродуктовых поставок. С другой стороны,
многономенклатурные и многопродуктовые модели не реализуются логистическими
компаниями, поскольку недостаточно развиты и требуют корректировки и
совершенствования. [1, c.134]
.1 Методы расчета показателей оптимальных партий заказа при
многономенклатурных поставках: теоретический аспект
При наличии па складе поставщика широкой номенклатуры продукции (товаров)
встает вопрос о возможной организации одновременной поставке потребителю и
номенклатур. Аргументами в пользу объединения разных номенклатур в один заказ
являются:
требование поставщика о стоимости каждого заказа не ниже некоторой
предельной величины;
реализация полной загрузки используемых транспортных средств;
ограничение количества отправок и их периодичности каждому клиенту
(синхронизация поставок);
снижение затрат на организацию, комплектацию партий поставок,
поставляемых клиенту.[1, c.135]
Рассмотрим составляющую затрат, связанную с многономенклатурной поставкой
от одного поставщика. Очевидно, эти затраты можно представить в виде двух
составляющих: постоянной С0 (определяемой главным образом стоимостью
транспортировки) и переменной Сi,
зависимой от объема выполняемых на складе операций при формировании заказа.
Тогда для каждой i-й номенклатуры
затраты, связанные с организацией одном поставки, будут определяться по формуле
(2.1):

(2.1)
а для всей номенклатуры в виде одной поставки по формуле (2.2):
При
независимых заказах для каждой i-й позиции номенклатуры расчет оптимальной величины
заказа S0i, количества заказов 
периодичности

и
минимальных суммарных затрат 
производится по основным формулам модели EOQ.
При подстановке 
вместо С0
суммирование по всей номенклатуре позволяет получить оценку затрат при
независимой поставке каждой i-й позиции (2.3):
При
одновременной поставке n позиций номенклатуры ее периодичность Т будет
отличаться от оптимальных периодичностей независимых поставок 
для
каждой из компонент.[1, c.136]
Рассмотрим
один из возможных подходов к решению задачи. Запишем основное уравнение для
суммарных затрат i-й номенклатуры в виде (2.4):
Известно,
что размер i-й поставки можно определить по формуле (2.5):
При
подстановке (2.5) в формулу (2.4) получим (2.6):
Очевидно,
что при условии 
= T, т.
е. одновременной поставки n позиций номенклатуры, уравнение для суммарных затрат
можно представить в виде (2.7):
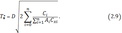
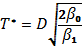
Определим
оптимальное значение периодичности многономенклатурной поставки 
,
воспользовавшись стандартной процедурой, т. е. возьмем производную по Т и
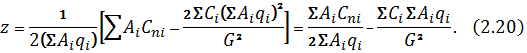
приравняем ее нулю, получим (2.8):
Из
уравнения (2.8) находим выражение для оптимальной периодичности:
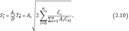
Найдем
остальные показатели, характеризующие многономенклатурную поставку:
размер
i-й поставки (2.10):
количество
поставок (2.11):
При
подстановке 
в
формулу (2.7) после преобразований находим выражение для минимальных суммарных
затрат (2.12):
При расчете многономенклатурных поставок особое значение приобретает учет
ограничений, связанных с объемом (площадью) и грузоподъемностью транспортных
средств, объемом (площадью) складских помещений, наличием средств для
приобретения всей партии и т. д.[1, c.137]
Проведенные расчеты показали, что в общем виде учет ограничений указанных
параметров производится с использованием формулы (2.13):
где Gv - предельные значения физического
или экономического показателя;

-
интенсивность потребления (расхода) i-го продукта, ед./день;

-
физический или экономический показатель i-го продукта.
Для
вывода формулы (2.13) запишем уравнение (2.14), учитывающее ограничение на один
из возможных параметров, входящих в уравнение суммарных затрат, например,
грузоподъемность транспортного средства (контейнер, кузов автомобиля, вагон и
т.п.)
где

- вес i-й
единицы продукции, входящий в многономенклат. запас;
G -
грузоподъемность транспортного средства;

-
величина оптимальной партии при независимой поставке.
Для
расчета многономенклатурного заказа с учетом ограничения (2.14) воспользуемся
методом множителей Лагранжа. Поскольку 
и 
связаны
зависимостью (2.10), то функция Лагранжа может быть записана в виде (2.15):
Далее
до конца параграфа для упрощения формулы не будем указывать индексы i и n при
записи сумм, подразумевая, что 
, и т.
д.[1, c.138]
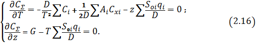
Для
определения оптимальных значений Т и z возьмем частные производные 
и 
и
приравняем их нулю, получим (2.16):
Из
первого уравнения системы (2.16) находим (2.17):
Запишем
ограничение (2.14) в виде (2.18):
При
подстановке в последнее уравнение выражения для Т (формула (2.17)), получим
(2.19 a,b,c):
т.е.
или
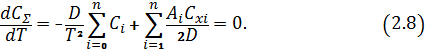
Таким
образом, множитель Лагранжа равен (2.20):
При
подстановке z в формулу (2.17) для Т находим (2.21):
Нетрудно заметить, что полученная зависимость (2.21) идентична
ограничению (2.14), ввиду соотношения (2.22):
что и требовалось доказать.
Таким образом, для многономенклатурной поставки учет ограничений сводится
к выполнению следующего правила:
-
если период многономенклатурной поставки 
, то ее
показатели рассчитываются по формулам (2.9)-(2.12);
если

, то в
качестве расчетного периода принимается 
и
производится корректировка 
, 
и 
(
) по
формулам (2.23)-(2.25):
При
наличии нескольких критериев для выбора наилучшего варианта можно
воспользоваться следующим правилом (2.26):
где

-
периоды времени, рассчитанные по формуле (2.13) с учетом различных критериев:
объем, вес, затраты и т. п.[1, c.140]
.2
Многономенклатурные поставки по системе кратных периодов
В
1966 г. профессором Ю.И. Рыжиковым [4] была предложена стратегия организации
поставок, суть которой сводилась к объединению преимуществ, свойственных
независимым поставкам с оптимальными периодичностями 
,
формула (2.9), и многономенклатурными поставками с периодичностью Т. Для этого
вводится система кратных периодов, когда по крайней мере одна номенклатура
заказывается в каждом базисном периоде Т, а остальные позиции номенклатуры
поставляются с периодичностями kT (k = 1,2,3,...).
Рассмотрим
простой пример поставки 2 видов продукции.
Допустим,
что одна из позиций номенклатуры имеет наименьшую периодичность поставки T =
10 дней. Это означает, что последующие поставки будут производиться с указанной
периодичностью и время поставки будет равно 2Т= 20 дней, третьей ЗТ=30 дней и
т. д.[1, c.140]
Вторая
позиция номенклатуры, поставки которой будут производиться согласно стратегии
кратных периодов, имеет периодичность 2Т= 20 дней. Соответственно, вторая
поставка будет произведена на 40-й день и т. д. В результате совмещения
поставок двух видов продукции получим следующую последовательность: через 10
дней поставляется первый вид продукции, на 20-й день оба вида продукции, на
30-й день - первый вид, на 40-й день - оба вида и т. д.
Согласно
[3] оптимальный период группирования определяется по формуле (2.27):
Данному
периоду соответствуют минимальные затраты (2.28):
На
основе Т*k определяются величины поставок S*ik
и количество поставок 
за
плановый период (или год).
Из
формул (2.27), (2.28) следует, что в зависимости от группировки позиций
номенклатуры и отнесения их к тому или иному кратному периоду величины 
и 
будут
изменяться. Поэтому поиск конфигурации группировок позиций номенклатуры
представляет собой по существу итерационный процесс, алгоритм которого описан в
работе [3]. Не вдаваясь в подробности разработанного алгоритма, укажем
несколько его этапов.
. Позиции
номенклатуры ранжируются по возрастанию величин показателей D2 Ci/Ai
Cxi. Нетрудно заметить, что ранжирование производится
фактически с учетом периодичности независимой поставки каждой позиции
номенклатуры 
.
. Выбираются
начальное приближение для кратного периода, за основу принимается первое
значение ранжированного ряда (2.29):
3.
Рассчитывается набор коэффициентов 
, с
помощью которых производится формирование базового варианта групп различной
кратности.
.
Каждая позиция номенклатуры закрепляется за определенной группой.
По
формулам (2.27) и (2.28) для базового варианта рассчитываются показатели 
и 
и затем
с использованием итерационной процедуры (путем перебора и размещения позиций
номенклатуры в группах различной кратности) осуществляется поиск оптимального
варианта по критерию минимума суммарных затрат 
.
Выбор
T0 можно
осуществить по множеству номенклатур, заказываемых в каждом периоде, при этом
первые j позиции номенклатуры из упорядоченного множества
заказываются одновременно. Расчетная формула записывается в виде (2.30):
Присоединение к первой группе следующих позиций номенклатуры
целесообразно при соблюдении неравенства (2.31):
При подстановке (2.30) в формулу (2.31) условие прекращения накопления
группы записывается в виде (2.32):
Проверка
рекуррентного соотношения начинается со второй позиции номенклатуры, при этом в
правой части подставляются значения 
и 
. При
выполнении условия (2.32) для всех последующих позиций i > j
вычисляется оптимальная периодичность 
и по
отношению 
-
начальная кратность.[1, c.143]
В
табл. 2.2 приведены данные о двух видах продукции. Попытаемся ответить на
вопрос о целесообразности применения стратегии кратных периодов.
Таблица
2.2 - Исходные данные и результаты расчета при независимой поставке
|
Вид продукции
|
Д,
ед.
|
 , y.е. , y.е. , у.е. , y.е. , дн. , ед.
|
|
|
|
|
|
|
|
1
|
3000
|
18
|
6
|
1,5
|
465
|
37,7
|
310
|
9,67
(10)
|
|
2
|
500
|
18
|
6
|
0,5
|
110
|
166
|
227
|
2,2 (2)
|
|
Сумма
|
-
|
575
|
-
|
12
|
Примечание - Источник: [1,
с.143]
1. Определим параметры независимых поставок каждого вида продукции (см.
табл. 2.2) и совместной поставки:
Поскольку

> 
, то
объединение в одну поставку целесообразно.
2. Выполним расчеты периодичности и минимальных суммарных затрат при
k = 2 по формулам (2.27) и (2.28):

.
Следовательно,
при организации кратных поставок суммарные затраты меньше затрат с независимой,
а также совместной (одновременной) поставкой
3. В
табл. 2.3 приведены результаты расчетов T(k) и 
при
различных коэффициентах кратности (см. рис. 2.1, 2.2). Поскольку минимум
суммарных затрат 
наблюдается
при k = 2 можно выбрать следующую стратегию кратных
поставок: через каждые 38 дней поставляется первый вид продукции; второй вид
продукции совместно с первым - через 76 дней.
Таблица 2.3 - Результаты расчета параметров поставок при различных
коэффициентах кратности
|
Коэффициент кратности     
|
|
|
|
|
|
2
|
27
|
5 000
|
38,9
|
519,6
|
|
3
|
26
|
5 250
|
36,3
|
522,5
|
|
4
|
25,5
|
5 500
|
35,1
|
529,6
|
|
5
|
25,2
|
5 750
|
34,7
|
538,3
|
Примечание - Источник: [1,
с.144]
k
Рис.2.1.
Зависимость суммарных затрат 
от
коэфф-та кратности k
Примечание
- Источник: собственная разработка на основе [1, с.144].
k
Рис.2.2.
Зависимость периода поставок T(k)от коэффициента кратности k [1, с.144].
Расчет
показателей при двух позициях номенклатуры не вызывает затруднений. Однако при
увеличении n количество вариантов возрастает многократно. Проиллюстрируем
это с помощью следующего примера.
В табл. 2.4 приведены исходные данные о четырех видах продукции.
Требуется выбрать наилучшую стратегию поставок (при С0=18 у.е.).
Таблица 2.4 - Исходные данные и рез-ты расчета при независимых поставках
|
Вид продукции
|
 , ед. , y.е. , у.е. , у.еSi, ед. , дн. , у.е. Базовый вариант
|
|
|
|
|
|
|
|
|
|
1
|
3 000
|
6
|
24
|
1,5
|
310
|
37,7
|
465
|
1
|
1
|
|
2
|
2 000
|
4
|
22
|
1,0
|
297
|
54,1
|
297
|
1,43
|
1
|
|
3
|
1 000
|
4
|
22
|
0,5
|
210
|
76,6
|
148
|
2,03
|
2
|
|
4
|
500
|
6
|
24
|
0,5
|
219
|
160
|
109
|
4,24
|
4
|
|
Сумма
|
|
1 019
|
|
|
Примечание - Источник:[1, с.145].
Для проведения расчетов воспользуемся табл. 2.5, в которой обобщены
формулы для трех вариантов многономенклатурных поставок:
- независимые поставки каждой позиции номенклатуры;
одновременная поставка всех позиции;
одновременная поставка по системе кратных периодов.[1, c.145]
Примечание:

; 
.
Примечание
- Источник: [1, с.145].
На
первом этапе рассчитаем показатели при независимых поставках каждой позиции
номенклатуры (см. табл. 2.4).
На
втором этапе рассчитаем показатели при одновременной многономенклатурной
поставке:
периодичность
поставки
-
количество поставок
минимальные
суммарные затраты
-
величины поставок каждой позиции номенклатуры, формула (2.10)
На
третьем этапе для предварительно рассчитанных показателей независимых поставок
(первый этап) проводится их ранжирование и определяются коэффициенты кратности 
относительно
приближени T = 37,7 дня, определенного на первом этапе.
На
основании 
выберем
базовый вариант кратности поставок: первый и второй вид продукции - k =
1; третий вид - k = 2; четвертый вид - k = 4.
Рассчитаем
составляющие формул (2.27), (2.28) для базового варианта кратных периодов:
Тогда
оптимальный период
минимум
суммарных затрат
На
рис. 2.3 приведена диаграмма, отражающая различные варианты многономенклатурных
поставок, в частности, стратегию кратны: поставок для базового варианта (
:
1,1,2,4). [1, с.147]
Для расчета величин поставок каждого вида продукции воспользуемся
формулой (2.33):
Так, для продукции первого вида находим
Соответственно,
для остальных видов получим 
.
Рис. 2.3. Различные варианты многономенклатурных поставок: а -
независимая поставка; б - одновременная поставка; в - кратная поставка, базовый
вариант; г- кратная поставка, оптимальный вариант; о - 1 вид продукции; • - 2
вид продукции; Д - 3 вид продукции; □ - 4 вид продукции
Примечание - Источник: [1, с.147].
В
табл. 2.6 приведены результаты расчета оптимальных периодов и минимальных
суммарных затрат для различных стратегий кратных периодов при
многономенклатурных поставках. Из табл. 2.6 следует, что при организации
поставок в соответствии с пятой стратегией наблюдается наименьшее значение
минимальных затрат 
= 725
у.е.[1, с.148]
Таблица
2.6 - Результаты расчета показателей многономенклатурных поставок для различных
стратегий
|
Номер стратегии
|
Коэффициенты кратности
|
y.e.
|
y.e.
|
дн.
|
y.e.
|
|
|
|
|
|
|
|
|
|
|
1 (базовая)
|
1
|
1
|
2
|
4
|
31,5
|
8 500
|
31,4
|
732
|
|
2
|
1
|
2
|
2
|
4
|
29,5
|
10 500
|
27.4
|
787
|
|
3
|
1
|
1
|
2
|
2
|
33
|
9 500
|
30,4
|
791
|
|
4
|
1
|
2
|
2
|
2
|
31
|
10 000
|
31,0
|
787
|
|
5
|
1
|
2
|
3
|
4
|
28,8
|
9 000
|
29,2
|
725
|
Примечание - Источник: [1,
с.148]
В
табл. 2.7 для пятой стратегии (
:1,2,3,4)
приведены денные о шести поставках за первое полугодие:
EOQ каждого вида
продукции (
= 240
ед., 
= 320
ед., 
= 240
ед.,
s4 = 160 ед.);
календарное
время каждой поставки;
виды
продукции при каждой поставке (их количество);
общее
кол-во ед-ц поставки с учетом каждого из 4-ех видов продукции.
Таблица
2.7 - Периодичность и объемы многономенклатурных поставок
|
Номер поставки с нач.расч.пер.
|
Календарное время, дн.
|
Виды продукции при данной поставке
|
Общее количество единиц поставки, ед
|
|
1
|
29
|
Первый ( =240)240
|
|
|
2
|
58
|
Первый и второй ( = 320)560
|
|
|
3
|
87
|
Первый и третий ( = 240)480
|
|
|
4
|
116
|
Первый, второй и четвертый ( = 160)720
|
|
|
5
|
145
|
Первый
|
240
|
|
6
|
174
|
Первый, второй, третий
|
800
|
Примечание - Источник: [1,
с.148-149]
Соотношение общего количества единиц между первой (240 ед.) и шестой (800
ед.) поставками превышает трехкратную величину, а между первой и двенадцатой
поставкой - перепад равен 4. [1,с.149]
3. Формирование графика многономенклатурных одновременных поставок по
товарной линии материалов поставщика в условиях ограничения на грузоподъемность
транспортного средства
Рассмотрим следующую задачу, которую необходимо решить посредством
формирования многономенклатурных (одновременных) поставок.
Торговое предприятие осуществляет поставку продукции по товарной линии
поставщика (6 позиций). Поставка осуществляется транспортным средством
определенной грузоподъемности раз в неделю. Имеется статистическая база за
октябрь-декабрь и справочная информация, представленная в таблице 3.1.
Разработать модуль для формирования графика структуры недельных поставок
за январь-март 2015. Результаты расчетов представить графиком.
Таблица 3.1 - Статистическая информация по позициям поставщика.
|
Управляющий параметр
|
Продукт (материал)
|
|
A
|
B
|
C
|
D
|
E
|
F
|
|
Запас на 01.01.2015, ед (Зo)
|
65
|
15
|
97
|
33
|
214
|
39
|
|
Среднедневной спрос, ед (s)
|
14,5
|
6
|
40
|
10
|
75
|
9
|
|
Коэфф-т вариации спроса (k_вар)
|
0,45
|
0,5
|
0,5
|
0,1
|
0,5
|
0,55
|
|
Время выполнения заказа, дн (t_з)
|
3
|
3
|
2
|
3
|
2
|
3
|
|
Возм.задержки поставки, дн (sigm_tз)
|
2
|
1
|
1
|
2
|
1
|
2
|
|
Масса ед-цы продукта, кг
|
1
|
1,5
|
1
|
2,5
|
0,7
|
1
|
|
Грузоподъемность машины, кг
|
1100
|
Примечание - Источник: собственная разработка.
Для начала сформируем график независимых поставок для формирования
представления о том, когда заказывать товарную линию поставщика. По
определенным правилам, заказ необходимо сделать в первый же день, когда
появится необходимость в заказе какого-либо товара во избежание вхождения в
зону дефицита по данной товарной позиции.
Так
как у нас имеется ограничение на цикл поставки (согласно условию, поставка
товаров может производиться только раз в неделю), мы будем работать с моделью
управления запасами с фиксированным интервалом времени между поставками. Примем
интервал времени между поставками фиксированным, равным 
.
Рассчитаем
основные логистические показатели по формулам, представленным в таблице 3.2:
Таблица
3.2 - Основные формулы для расчета
|
Показатель
|
Формула для расчета
|
|
1. Ожидаемое потребление за время выполнения заказа
|
|
|
2. Страховой запас
|
|
|
3. Максимальный запас
|
|
|
4. Точка заказа
|
|
|
5. Момент заказа
|
|
|
6. Размер заказа
|
|
|
7.Размер поставки
|
|
|
8. Запас наличный
|
|
|
9. Располагаемый запас
|
|
Примечание - Источник: собственная разработка.
где

-
среднедневной спрос на товар n, 
;

- размер
заказа товара n в момент времени t;

- время
выполнения заказа для товара n;
- возможная
задержка поставки для товара n;

запас
товара n на начало периода (на 01.01.2015);

ожидаемое
потребление товара n за время выполнения заказа;

запас
страховой для товара n;

квантиль
нормального распределения при уровне значимости б (вероятность ошибки или
дефицита), при б = 0,16 будет 
;

дисперсия
по спросу (вариабельность);
-
максимальный запас для товара n;

точка
заказа для продукта n (в момент, когда запас товара достигает или меньше
значения точки заказа, следует сделать заказ во избежание вхождения в зону
дефицита по данной товарной позиции);

момент
времени, когда производится заказ товара n;
-
располагаемый запас товара n в момент времени t;

размер
заказа и размер поставки товара n;

наличный
запас товара n в момент времени t.
В
результате автоматизации данного алгоритма, получили следующие важные
результаты:
первый
заказ необходимо делать по всем товарным позициям в первый же день, так как
располагаемые уровни запаса для всех шести товарных позиций оказались меньше
точек заказа;
первые
1,5 месяца все товары заказываются раз в неделю с отклонением 
;
масса
заказываемого товара превышает величину допустимой грузоподъемности машины,
следовательно, стоит сократить объем поставки.
Далее
формируем график зависимых поставок.
Для
улучшения качества модели введем несколько условий.
)
Введем k - коэффициент пересчета размера поставки для полного
заполнения машины. Примем его равным (3.1)
где
M - грузоподъемность машины,

масса
единицы товара n.
В
случае, если масса планируемого заказа превышает пороговое значение, следует
скорректировать размер поставки на величину данного коэффициента для достижения
допустимой массы поставки.
)
Вводим корректировки в расчет размера поставки. Будем считать 
без
учета максимального запаса. Воспользуемся следующей формулой (3.2):
где
интервал времени между заказами рассчитывается для всех продуктов по формуле
(3.3):
или
же принимается фиксированным, как в нашем случае (
.
При
реализации модуля с различными вариантами спроса и исходными данными задачи,
интервал времени между заказами варьировался около значения в 7 дней (
.
)
За время выполнения заказа будет приниматься наибольшее значение 
среди
всех товарных позиций. В нашем случае это будет 
.
Следовательно, поставка со всеми товарными позициями поставщика будет приходить
спустя три дня после заказа.
В
результате нескольких реализаций данной стратегии при различных генерациях
спроса, мы получили следующие графики движения запаса (рис. 3.1 а, б, в):
а)
б)
в)
Рис
3.1 - Графики зависимых поставок при реализации стратегии (1-3) с учетом
генерации различного спроса (а, б, в).
Примечание
- Источник: собственная разработка.
Проанализировав
графики на рис.3.1 (а, б, в), мы видим, что данная стратегия не всегда
оптимальна, т.к. в случае реализаций а) и б) мы получаем:
большое
число дней дефицита по нескольким видам продукции;
превышение
величины максимального запаса (
) по
некоторым товарным позициям;
профицит
запасов некоторых продуктов в то время, как другие товарные позиции уходят в
дефицит.
Для
улучшения модели воспользуемся следующими решениями:
)
Рассчитаем величину 
(интервал
времени между заказами) на каждый день и за окончательный вариант возьмем
среднее значение за 7 дней 
, которое
будем использовать для расчета объема заказа каждой товарной позиции 
.
Значение в 7 дней было выбрано на основании того, что, по условию задачи, заказ
следует делать раз в 7 дней. Воспользуемся при расчетах формулами (3.4)-(3.5):
где

интервал
времени между заказами для момента времени t, рассчитанный
на основании среднего значения за 7 дней;

интервал
времени между заказами, рассчитанный для момента времени t с
учетом спроса в момент времени t;

спрос на
товар n в момент времени t.
)
По тому же принципу, что и в п.1 (3.5), рассчитаем средние за 7 дней значения
спроса с помощью формулы (3.6):
где

средний
за 7 дней спрос, рассчит. для момента времени t по продукту n;

спрос на
товар n в момент времени i.
)
Скорректируем размер поставки в соответствии с (3.4)-(3.6). Теперь будем
рассчитывать объем поставок по формуле (3.7):
Такая методика расчета позволит нам точнее спрогнозировать необходимый
объем поставок по каждому продукту с учетом прогнозируемого на неделю спроса на
каждую товарную позицию.
) Учтем величину располагаемого запаса во избежание ситуаций, когда заказывается
излишнее количество товара, которого на складе достаточно (величина РЗ не
достигла ТЗ по товарной позиции). Для этого будем отнимать от объема заказа
товарной позиции n разницу между
располагаемым запасом и точкой заказа по формуле (3.8):
Подставив формулу (3.7) в (3.8), получаем (3.9):
Проследим за реализациями модуля при различных генерациях спроса на
товарные позиции поставщика по графикам на рис.3.2. (а,б,в):
Насколько заметно из графиков, запасы товаров не превышают максимальные
значения, дефицит в 1 день возник только в одном случае вследствие повышенного
спроса на товар и низких запасов на складе. Следовательно, данная модель более
адекватно формирует график поставок и размер заказа каждой товарной позиции
поставщика, чем исходная классическая модель с фиксированным интервалом времени
между заказами.
а)
б)
в)
Рис.3.2 - Графики зависимых поставок при реализации модернизированной
стратегии с учетом генерации различного спроса (а, б, в).
Примечание - Источник: собственная разработка.
Рассмотрим также несколько реализаций итоговой таблицы расчетных
параметров (таблица 3.3):
Таблица 3.3 - Расчетные параметры многономенклатурной модели поставок в
трех случаях генерации различного случайного спроса.
|
Расчетный параметр
|
Продукт (материал)
|
|
A
|
B
|
C
|
D
|
E
|
F
|
|
Максимальный запас
|
135
|
50
|
333
|
93
|
625
|
84
|
|
Страховой запас
|
29
|
6
|
40
|
20
|
75
|
18
|
|
Ожидаемое потребление
|
44
|
18
|
80
|
30
|
150
|
27
|
|
Точка заказа
|
73
|
24
|
120
|
50
|
225
|
45
|
|
Среднедневной спрос
|
15
|
6
|
43
|
10
|
73
|
9
|
|
Цикл поставки
|
7
|
7
|
7
|
7
|
7
|
7
|
|
Количество дней дефицита
|
0
|
0
|
0
|
0
|
0
|
0
|
|
Средний запас при независ.пост.
|
797
|
|
Средний запас при завис.пост.
|
707
|
|
Расчетный параметр
|
Продукт (материал)
|
|
A
|
B
|
D
|
E
|
F
|
|
Максимальный запас
|
135
|
50
|
333
|
93
|
625
|
84
|
|
Страховой запас
|
29
|
6
|
40
|
20
|
75
|
18
|
|
Ожидаемое потребление
|
44
|
18
|
80
|
30
|
150
|
27
|
|
Точка заказа
|
73
|
24
|
120
|
50
|
225
|
45
|
|
Среднедневной спрос
|
15
|
6
|
43
|
10
|
75
|
9
|
|
Цикл поставки
|
7
|
7
|
7
|
7
|
7
|
7
|
|
Количество дней дефицита
|
0
|
0
|
0
|
0
|
0
|
0
|
|
Средний запас при независ.пост.
|
781
|
|
Средний запас при завис.пост.
|
679
|
|
Расчетный параметр
|
Продукт (материал)
|
|
A
|
B
|
C
|
D
|
E
|
F
|
|
Максимальный запас
|
135
|
50
|
333
|
93
|
625
|
84
|
|
Страховой запас
|
29
|
6
|
40
|
20
|
75
|
18
|
|
Ожидаемое потребление
|
44
|
18
|
80
|
30
|
150
|
27
|
|
Точка заказа
|
73
|
24
|
120
|
50
|
225
|
45
|
|
Среднедневной спрос
|
15
|
6
|
41
|
10
|
74
|
9
|
|
Цикл поставки
|
7
|
7
|
7
|
7
|
7
|
7
|
|
Количество дней дефицита
|
0
|
0
|
1
|
0
|
0
|
0
|
|
Средний запас при независ.пост.
|
811
|
|
Средний запас при завис.пост.
|
718
|
Исходя из данных реализаций сделаем несколько выводов.
Разработанная модель является наилучшим решением для формирования
многономенклатурных поставок, так как имеет ряд преимуществ:
1) Запасы
каждой позиции товара на складе не превышают пороговых значений максимального
запаса (
), то
есть не создается ситуации переизбытка товара за складе, нехватки площадей
склада под товарные позиции и т.д. В случае переизбытка товара на складе,
компания вынуждена тратить дополнительные средства на содержание этого излишка,
что не является экономичным;
) Количество
дней дефицита в 90% реализации модуля (генерации случайного спроса) равно 0. В
остальных случаях дефицит не превышает 1-2 дней, то есть минимизируются убытки
от дефицита товара;
) Удалось
сократить величину среднего запаса на складе по всем товарным номенклатурам в
сравнении с независимыми поставками, что снижает затраты на содержание товара
на складе (складские издержки);
) Снижены
затраты на перевозку, т.к. все товарные позиции поставляются в одной поставке
(один рейс грузовой машины), которая максимально загружается. В случае
независимых поставок необходимо несколько машин в неделю, которые загружаются
не полностью.
) Реализация
модели и расчеты автоматизированы и создан удобный модель для управления, в
котором можно вносить корректировки в управляющие параметры и наблюдать
реагирование на изменения всей системы через таблицу расчетных параметров и
график поставок. Модуль является простым в использовании, понятным любому
пользователю и максимально наглядным.
Единственным недостатком разработанной модели может считаться лишь тот
факт, что не всегда машина загружается полностью. В некоторых поставках
выявляется резерв в 20-50 кг, который можно было бы использовать, увеличив
объем закупки. Однако, увеличивая объем закупки на эту величину, в свою
очередь, мы рискуем увеличить складские издержки на хранение лишнего продукта,
что совершенно нерационально при реализации стратегии минимизации логистических
расходов, в том числе издержек на хранение.
запас поставка грузоподъемность
Заключение
В последнее время в нашей стране получило развитие новое научное
направление - логистика. Востребованность логистики и ее динамичное развитие
вызвано, в частности, ростом производства и международной торговли. В то же
время доля совокупных логистических издержек в промышленно развитых странах
составляет около 11% от ВВП, тогда как в Республике Беларусь к 2015 году
прогнозируется около 20% [15]. Поэтому проблема разработки современной
методологии, моделей и методов, направленных на оптимизацию затрат в цепях
поставок, является одним из приоритетных направлений развития экономической
науки и логистики.
В настоящее время существует огромное количество различных видов запасов.
Данный факт обуславливает необходимость четкого и постоянного контроля и
управления запасами в производстве. Существует множество моделей управления
запасами, но базируются они на двух основных - модель с фиксированным объемом
заказа и модель с фиксированным интервалом времени между заказами.
Наибольше распространение в логистике и теории управления запасами
получили однопродуктовые задачи. Однако только в 9% работ по логистике
встречаются модели для поставок в несколько номенклатур (многономенклатурные модели),
несмотря на их значительную востребованность в функциональных логистиках
снабжения, распределения и в теории управления запасами. [1, с.134]
В результате решения задачи многономенклатурных поставок была
модифицирована модель одновременных поставок по всем товарным позициям, внесены
корректировки в расчет некоторых показателей, разработан автоматизированный
модуль с переменным (генерируемым) спросом для формирования графика поставок на
три месяца (январь-март 2015), имеющий возможность мгновенного реагирования на
управляющие воздействия со стороны пользователя и имитации материальных
потоков.
В ходе реализации были получены следующие результаты:
) Снижение средних запасов на складе по всем товарным позициям,
как следствие - снижение расходов на содержание запаса;
) Снижение расходов на выполнение заказа (перевозку) ввиду
единовременной поставки всех позиций одним видом транспорта;
) Снижение вероятности появления дефицита с 97% до 8% (1 день по 1
позиции).
Исходя из этого, становится очевидной эффективность использования
методологии многономенклатурных поставок, которые позволяют значительно снизить
совокупные логистические затраты. Одна из причин создавшегося положения состоит
в том, что большинство менеджеров, отвечающих за логистику, не знакомы с методами
расчета показателей многономенклатурных поставок. С другой стороны,
многономенклатурные модели не реализуются логистическими компаниями, поскольку
недостаточно развиты и требуют корректировки и совершенствования.
Список использованных источников
1 Лукинский В.В. Актуальные проблемы формирования теории
управления запасами: монография / В.В.Лукинский. - СПб. : СПбГИЭУ, 2008. - 213
с.
2 Гаджинский А.М. Логистика: Учебник для высших и
средних специальных учебных заведений / А.М. Гаджинский. - 2-е изд.- Москва:
Информационно-внедренческий центр «Маркетинг», 1999. - 228 с.
Рыжиков Ю.И. Теория очередей и управления запасами /
Ю.И.Рыжиков. - СПб. : Питер, 2001. - 360 с.
Рыжиков, Ю.И. Управление запасами / Ю.И.Рыжиков. -
Москва: Наука, 1969. - 180 с.
Лукинский В.С. Логистика в примерах и задачах:
Учебное пособие / В.С. Лукинский, В.И. Бережной, Е.В. Бережная, В.В. Лукинский
и др. - Москва: Финансы и статистика, 2007. - 288 с.
Лукинский В.В. Многономенклатурные поставки по
системе кратных периодов // ж-л Логистика: современные тенденции развития:
Тез.докл. V Междунар. науч.-практ.конф.20-21
апреля 2006 г. / В.В. Лукинский, И.В. Охранов. - СПб.: СПбГИЭУ, 2006. -
с.184-188.
Лукинский В.С. Модели и методы теории логистики.
Учебное пособие / Под ред. В.С. Лукинского. - СПб.: Питер, 2003. - 219 с.
Бродецкий Г.Л. Управление запасами / Г.Л. Бродецкий.
- Москва: «Эксмо», 2007. - 281 с.
Неруш Ю.М. «Логистика запасов»: учеб. // Ю.М. Неруш-
4-е изд., перераб. и доп. - Москва: ТК Велби, изд-во Проспект, 2006. - 520 с.
Дыбская В.В. Методики выбора систем управления
запасами управления запасами - 2014.
Баско И.М. Логистика: учебное пособие / И.М. Баско,
В.А. Бороденя, О.И. Карпеко [и др.]; под ред. д-ра экон. наук, профессора И.И.
Полещук. - Минск: БГЭУ, 2007. - 431 с.
Разгуляев В.И. Автоматизация многономенклатурных
закупок без фиксированного периода между поставками - 2014.
Киселева М.Ю., Смагин В.И. Управление производством,
хранением и поставками товаров на основе прогнозирующей модели выхода системы /
Вестник Томского государственного университета №2(7), 2009. С 24-30
14 Бородина Т.А.
Экономико-математические методы и модели: лабораторный практикум / Бородина
Т.А., Денисейко И.В., Кашникова И.В., Юферева О.Д. - Минск: БГЭУ, 2012. - 138с
15 Логика логистического развития /
Экономическая газета. - Минск, 2014.
16 Залесская А.М. Моделирование
логистических систем управления запасами в современных условиях развития
логистики / Товароведение и экспертиза товаров - Москва:2013.
17 Сергеев В.И. Корпоративная
логистика. 300 ответов на вопросы профессионалов / В.И. Сергеев, Белов Л.Б. [и
др.]; под общ. и научн. редакцией проф. В.И. Cepгeeвa. - Москва: ИНФРАМ, 2005.
- 976 с.
18 Марочкина В.М. Финансы и
финансовый рынок: конспект лекций / В.М., Марочкина - Минск: БГЭУ, 2011. - 82
с.
Стерлигова А.Н. Управление
запасами широкой номенклатуры: с чего начать / А.Н. Стерлигова // Логинфо -
2008 - №12 -с.50-55
Сергеева, В.И. Логистика:
Основы. Стратегия. Практика. / Практическая эн-циклопедия «Для всех, кто
руководит»; под науч. ред.: проф. В.И. Сергеева. - М.: Изд. ЗАО «МЦФЭР», 2007.