Математичні ряди

  • Вид работы:
    Контрольная работа
  • Предмет:
    Математика
  • Язык:
    Украинский
    ,
    Формат файла:
    MS Word
    356,15 Кб
  • Опубликовано:
    2015-06-18
Вы можете узнать стоимость помощи в написании студенческой работы.
Помощь в написании работы, которую точно примут!

Математичні ряди















Математичні ряди

ЗМІСТ

ВСТУП

1. Становлення та розвиток ряду

2. Навколо гармонійного ряду

2.1 Що таке сума ряду

2.2 Основна властивість монотонної послідовності

2.3 Гармонійний ряд

2.4 Число е

2.5 Ряд Діріхле

2.6 Ряд Фур’є

.6.1 Класичне визначення

.6.2 Загальне визначення

.6.3 Збіжність ряду Фур’є

. Приклади розв’язування рядів

.1 Приклади на збіжність та розбіжність

.2 Власний приклад

ВИСНОВОК

СПИСОК ВИКОРИСТАНИХ ДЖЕРЕЛ ТА ЛІТЕРАТУРИ

математичне число схожість гармонійний ряд

ВСТУП

Багато вчених, вивчаючи ряди, описували їх вишуканість та неповторність, ці математики захоплювалися їхньою незвичайністю. Це були Ґетфрід Вільгельм Лейбніц, Йоганн Петер Густав Лежен-Діріхле, Франсуа Марі Шарль Фур'є та інші. Існує безліч видів рядів, кожен з яких вирізняється своїми властивостями та застосуванням на практиці. В шкільному курсі математики ряди вивчаються недостатньо, саме це і обумовило вибір теми та її актуальність. Отже, предметом дослідження у роботі є: різноманітні ряди, а в особливості гармонійний ряд. Мета - переконати, що розв’язувати задачі на прикладі рядів є надзвичайно цікаво, розширити знання у вивченні рядів та залучити якомога більше тих, хто зацікавлений дослідженням цієї теми. Метою роботи було опрацювати навчально-методичну та науково-популярну літературу з обраної теми, з’ясувати, як та де використовуються і застосовуються ряди на практиці, узагальнити значення гармонійного ряду в математиці.

Відповідно до мети були поставлені такі завдання:

§  дослідити історію виникнення рядів;

§  визначити властивості та способи розв’язання рядів;

§  запропонувати власні приклади розв’язування рядів.

1. Становлення та розвиток ряду

Грецький філософ Зенон Елейский, який жив в V ст. до н.е., на ряді чудових парадоксів - «апорії Зенона» - показав, які логічні пастки підстерігають кожного, хто надумає говорити про нескінченні ряди. Зенон Елейський народився в Елее. Він став знаменитий своїми апоріямі, якими філософ намагався довести неможливість руху, простору і безлічі. Наукові дискусії, спричинені цими парадоксальними міркуваннями, істотно поглибили розуміння таких фундаментальних понять, як роль дискретного і безперервного в природі, адекватність фізичного руху та його математичної моделі «Яким чином бігун може покрити відстань від пункта А до пункта В?» - запитував Зенон. Адже перш, ніж пробігти всю відстань, що відділяє пункт А від пункту В, бігун повинен подолати його половину. Пробігши половину шляху, бігун, перш ніж опинитися у фінішу, повинен буде подолати половину відстані, що залишилася, тобто опинитися в точці, що знаходиться від пункта А на відстані, рівній  всього шляху. Після цього, перш ніж потрапити в пункт В, бігун знову повинен буде спочатку пробігти половину залишився відстані, тобто дійти до "проміжного фініша" в точці (якщо довжину всього шляху АВ ми приймемо за 1) тощо. Іншими словами, бігун повинен пробігти відстань, рівну сумі ряду

 (1)

Три крапки означає, що ряд продовжується до нескінченності. Яким чином, запитує Зенон, бігун може подолати нескінченну послідовність відрізків за кінцевий час? Адже, скільки б членів ряду ми не взяли, досягти «кінця шляху» - нам так и не вдасться, бо більше не буде діставати відрізка шляху, рівного останнього взятому члену. Невичерпним джерелом рядів розглянутого нами типу служать геометричні задачі. Нехай сторона найбільшого квадрата на рисунку 1 має одиничну довжину. Побудуємо нескінченну послідовність квадратів, вписаних один в одного таким чином, що вершина кожного наступного квадрата співпадає із серединами сторін попереднього квадрата. Чому рівна площа всієї нескінченної послідовності квадратів? Очевидно, вона рівна 1 плюс сума вже знайомого нам ряду


Іншими словами, повна площа, зайнята членами нескінченної послідовності квадратів, дорівнює 2.

рис. 1

2. Навколо гармонійного ряду

2.1 Що таке сума ряду?

Припустимо, що довжина відрізка АВ дорівнює  м. Нам потрібно визначити цю довжину за допомогою вимірювання. За одиницю довжини візьмемо 1 м. Спочатку відкладаємо відрізок довжиною 1 м на відрізку АВ стільки разів, скільки він вміщується повністю. У нашому випадку 1 м вміщується повністю на АВ тільки один раз. Залишається ще відрізок А1В, довжина якого  м. Отже, наближено АВ=1 м. У разі потреби можна дістати точніше значення. Відрізок, що дорівнює  м, вміщується повністю на відрізку А1В один раз і залишається ще відрізок А2В, що має довжину  м.


Тому більш точним значенням АВ є сума (1+) м. Після n кроків матимемо таке наближене значення АВ:

1+

Це значення при довільному n не дорівнює , бо

Sn= 1 + = (1- ).

Здається, що для знаходження точного значення довжини відрізка АВ треба розглянути суму нескінченної кількості доданків

1+  + … . (1)

Але цю суму можна дістати за допомогою звичайного додавання, бо додавання нескінченної кількості доданків ніколи не можна скінчити.

Зауважимо, що різниця між довжиною  м та результатом вимірювань Sn м дорівнює:

 .

Пригадавши означення границі, можна твердити, що


Отже, у розглянутому випадку суму нескінченної кількості доданків (1) слід визначити як границю послідовності S1, S2, ... , Sn, ... .

Означення. Нехай а1, а2, ... , аn, ... є довільна послідовність чисел. Вираз а1 + а2 + ... + аn + ... називається рядом. Послідовність S1= a1, S2= a1+ a2, Sn= a1 + + a2 + … + an, … називається послідовністю частинних сум. Якщо послідовність S1, S2, ... , Sn, ... має границю S, то вважатимемо, що ряд

а1 + а2 + ... + аn + ...

збігається, а його сума дорівнює числу S. У цьому випадку запишемо:

а1 + а2 + ... + аn + ... = S

Якщо послідовність S1, S2, ... , Sn, ... не має границі, то говоритемо, що ряд

а1 + а2 + ... + аn + ...

розбігається.

Приклад 1. Ряд 3 +  має суму . Справді, для частинної суми Sn маємо:

Sn=3 + ...+ = 3(1 + ...+) = 3 = (1- ) .

Тому

.

Приклад 2. Ряд

1 + 2 + 3 + ... + n + ...

розбігається. Справді, для частинної суми  маємо:

= 1 + 2 + ... + nn,

звідки випливає, що  необмежено зростає разом з n.

Приклад 3. Ряд


розбігається, бо послідовність частинних сум 1, 0, 1, 0, 1, ... не має границі.

Приклад 4. Доведемо, що


Для доведення зауважимо, що

,

та розглянемо частинну суму:

=

Тому


2.2 Основна властивість монотонної послідовності

Нехай u1, u2, …, un, … − послідовність чисел. Послідовність u1, u2, …, un, … називається зростаючою, якщо u1 u2un-1 un Зростаюча послідовність u1, u2, …, un, … називається обмеженою, якщо для деякого числа с справджується нерівність un для довільного n.

Наприклад, послідовність

1, 22, 32, ... ,, …

є зростаючою і обмеженою. Справді, легко перевірити, що

 

Теорема. Довільна зростаюча й обмежена послідовність u1, u2, …, un, … має границю, тобто існує таке число u, що


Аналогічний факт має місце і для спадної обмеженої послідовності, тобто для послідовності u1, u2, …, un, …, у якої с

для деякого числа с. Це твердження, яке іноді вважають аксіомою, тут доводити не будемо. Зростаюча послідовність u1, u2, …, un, …, яка не є обмеженою, має таку властивість: для довільного числа с існує таке натуральне число N, що для чисел nN виконується нерівність unc.

Справді, для довільного с існує хоча б одне число N, таке, що unc (бо, коли б unc для всіх n1, то послідовність була б обмеженою). При nN unuNc, що й треба довести. Якщо послідовність u1, u2, …, un, … має згадану властивість, то іноді говорять, що послідовність u1, u2, …, un, … збігається + ∞ і пишуть:


Отже, зростаюча послідовність або має границю, або збігається до + ∞.

2.3 Гармонійний ряд

У теорії нескінченних рядів важливу роль відіграє ряд

1+ (2)

який називається гармонійним. Ця назва пов’язана із середнім гармонійним  двох додатних чисел a і b. А саме, кожний член ряду, починаючи з другого, є середнім гармонійним двух сусідніх - попереднього і наступного.  Зауважимо, що n-й член ряду  зменшується із збільшенням n і наближається до 0, коли n. Але, як виявляється, сума великої кількості доданків ряду (2) може бути скільки завгодно великою.

Гармонійний ряд розбігається. Цей факт було вперше встановлено великим німецьким математиком Г. Лейбніцем у 1673 році. Щоб довести розбіжність ряду (2), спочатку розглянемо різницю S2nSn, де Sn є частинна сума:

Sn=1+

Для різниці S2nSn, очевидно, маємо при n1:

S2nSn=(1+

 (3)

Для частинної суми S2m з номером 2m з нерівності (3) для mдістаємо:

S2m= S2m− S2m-1+ S2m-1= (S2m− S2m-1) + ( S2m-1− S2m-2) + … + (S2− S1) + S1(4)

Очевидно для довільного числа с існує таке натуральне число m, для якого маємо нерівність

m2c−2,

або, що те ж саме, нерівність

.

За нерівністю (4) S2mc. Отже, якщо покласти N=2m, то матимемо нерівність Sn

для всіх nN, бо послідовність S1, S2, …, Sn, … зростаюча:

Sn+1=Sn+Sn

Отже, послідовність частинних сум S1, S2, …, Sn, … збігається до , і тому гармонічний ряд (2) розбігається.

Слід зауважити, що зростання частинних сум S1, S2, …, Sn, … є дуже повільним. Л. Ейлер у творі «Диференціальне числення» наводить такі приклади. Для n=1000 частинна сума S1000 наближено дорівнює 7, 485; для n=1 000 000 наближене значення для S1000000 дорівнює лише 14, 393.

2.4 Число е

Число е - одна з фундаментальних сталих математичного аналізу. Число е не є раціональним. Більше того французький математик Ш. Ерміт у 1873 році довів, що число е не є алгебраїчним. Число е наближено дорівнює е ≈ ≈2,718281828459045. Виявилось, що дуже зручно в математиці користуватися логарифмами з основою е, ці логарифми називають натуральними і позначають символом

Розглянемо дві послідовності додатних чисел:

(1+)1, (1+2, (1+)3, ... , (1+)n, ...

і

(1+)2, (1+)3, (1+)4, ... , (1+)n+1, ... ,

які відіграють важливу роль у математичному аналізі.

Позначимо

αn = (1+)n, βn = (1+)n+1, n1.

Доведемо такі властивості цих послідовностей:

1) αn βn, тобто (1+)n(1+)n+1, n1;

2)      αn-1 αn, тобто (1+)n-1(1+)n, n2;

3)      βn-1 βn, тобто (1+)n(1+)n+1, n2.

Перша з цих властивостей є очевидною, бо

βn = (1+)n+1 = αn (1+) = αn +  αn, n1.

Щоб довести наступні дві властивості, використаємо нерівність Коші:

,

Яка справджується для довільного набору різних невід’ємних чисел .

Для n2, r = n і

u1 = 1, u2 = u3 = … = un =

з нерівності Коші матимемо:

звідки

або

.

Як бачимо, нерівність (2) доведено.

Якщо ж покласти r = n + 1 і1 = 1, u2 = … = un+1 = ,

то з нерівності Коші дістанемо:

,

Звідки

Або

.


,

дістанемо нерівність (3).

Отже, для кожного n справджуються нерівності:

α1< α2 < ... < αn < βn< βn-1< … < β1.

На підставі цих нерівностей можна твердити, що послідовність

α1, α2 , ... , αn , ...

є зростаючою і обмеженою. За теоремою про обмежену зростаючу послідовність існує число, яке є границею послідовності  

Це число позначають буквою е. Отже,

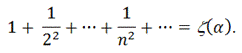
2.5 Ряд Діріхле

Розглянемо ще питання про збіжність одного важливого ряда, який зовні подібний до гармонічного ряду. Нехай α довільне число, таке, що α > 1. Йдеться про ряд

(5)

Ряд (5) є збіжним при кожному . Ми розглянемо доведення тільки для значень α2. Доведення у випадку 1 < α < 2 складніше. Для доведення збіжності ряду (5) треба розглянути послідовність частинних сум

S1 = 1, S2 = 1 + , … ,

Sn = 1 +  + … + , … . (6)

Очевидно,

Sn+1 = Sn +  Sn,

тому послідовність (6) є зростаючою.

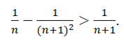
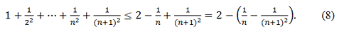
Щоб встановити обмеженість послідовності (6), спочатку доведемо методом математичної індукції таку допоміжну нерівність:

(7)

Справді, для n = 1 маємо істинну рівність

.


Якщо ж нерівність (7) справджується для числа n, то

Легко довести, що


Звідси та з нерівності (8) маємо:


Отже, за принципом математичної індукції нерівність (7) доведено для усіх .

З нерівності (7) та з того, що nα≥n2 для α≥2 і n≥1, маємо:


Отже, необмеженість послідовності частинних сум (6) для ряду (5) встановлено. Послідовність (6) за теоремою про зростаючу обмежену послідовність збігається до деякого числа z(α), яке залежить від α. Тобто

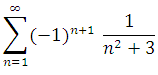
Ряд (5) - належить до важливого класу рядів, які часто використовуються в різних розділах математики і називаються рядами Діріхле на честь німецького математика Л. Діріхле. Сума ряду (5)  є функцією від α, що визначена при α>1. Ця функція  є відомою дзета-функцією Рімана. Встановлення деяких властивостей цієї функції й досі одна з важких математичних проблем.


2.6 Ряд Фур’є

2.6.1 Класичне визначення

Тригонометричним рядом Фур'є називають функційний ряд <#"815428.files/image100.gif">

Якщо ряд збігається <#"815428.files/image101.gif"> з періодом , оскільки  та  є періодичними з періодом .

Сталі числа  називаються коефіцієнтами тригонометричного ряду:

2.6.2 Загальне визначення

Нехай дано ортогональну систему <#"815428.files/image107.gif">  та  - довільний елемент з . Послідовність чисел


називається координатами, або коефіцієнтами Фур'є елемента  по системі , а ряд


називається рядом Фур'є елемента  по ортогональній системі .

Справедлива так звана нерівність Бесселя <#"815428.files/image114.gif">

Якщо виконується рівність Парсеваля <#"815428.files/image115.gif">,

то нормована система  називається замкненою.

Справедливе твердження: в сепарабельному <#"815428.files/image107.gif"> будь-яка повна ортогональна нормована система є замкненою і навпаки.

2.6.3 Збіжність ряду Фур'є

Теорема:

Якщо періодична функція з періодом  - кусково-монотонна і обмежена на відрізку , то тригонометричний ряд Фур'є, побудований для цієї функції, збігається у всіх точках. Сума одержаного ряду  дорівнює значенню функції  в точках її неперервності. В точках розриву  сума ряду дорівнює середньому арифметичному границь функції  справа і зліва.

З цієї теореми випливає, що тригонометричні ряди Фур'є застосовні до достатньо широкого класу функцій.

3. Приклади розв’язування рядів

3.1 Приклади на збіжність та розбіжність

Приклад 1. Дослідити на збіжність ряд

Розв'язання. Заданий ряд є законозмінним числовим рядом. Скласдемо ряд із абсолютних величин членів заданого ряду


Який є додатнім числовим рядом. Його загальний член має вигляд  Для нього має місце оцінка  Покладемо  і розглянемо ряд


який є рядом Діріхле з  Оскільки ряд (17) збігається , то за першою теоремою, порівнянний ряд (16) з меншими членами також збігається.

Оскільки ряд (16) збігається, то заданий ряд збігається абсолютно.

Відповідь: заданий ряд абсолютно збігається.

Приклад 2. Дослідити на збіжність ряд

Розв’язання. Загальний член заданого ряду зображується у вигляді суми двох простих дробів

Обчислимо часткову суму ряду:

,

Відповідь: ряд збігається і його сума S=

3.2 Власний приклад

Приклад 1. Дослідити на збіжність ряд


Розв’язання. Обчислюємо границю для n-го члена ряду


Отже ряд розбігається, оскільки не виконується необхідна умова збіжності ряду.

Відповідь: ряд розбігається.

ВИСНОВОК

В науково-дослідницькій роботі були розглянуті питання використання різних видів рядів та прикладів розв’язування цих рядів на практиці. Досліджено історію виникнення рядів, які вивчалися ще з стародавніх часів, але найбільше вивчення зазнали у епоху Відродження. В наш час ряди, які пристосовані до нашого сьогоденні, актуальні і мають велике практичне значення та застосування. Запропоновані приклади розв’язування рядів, на мою думку, можуть використовуватися на уроках математики і факультативних заняттях, є додатковим матеріалом для учнів, які цікавляться математикою. Досліджено, що визначити залежність і врахувати фактор циклічності дозволяє використання залежності у вигляді рядів Фур’є, яка дає можливість розпізнавати циклічні коливання різної довжини. На основі визначених властивостей рядів створювалися власні приклади розв’язування рядів. Надалі планую продовжувати роботу над дослідженням різноманітності рядів, їх властивостями та застосуванням.

СПИСОК ВИКОРИСТАНИХ ДЖЕРЕЛ ТА ЛІТЕРАТУРИ

1. В мире математики. Сборник научно-популярны статей. Вып. 10. - К., Радянська школа, 1979(IV кв.). - 6,5 л. - 35 к. 40 000 экз. 70803.

. Математические новеллы. Пер. с англ. Ю. А. Данилова. Под ред. Я. А. Смородинского. М., «Мир», 1974. 456 с. с илл.

. Кудрявцев Л. Д. Курс математического анализа. - М.: Высшая школа, 1989. - Т. 3. - 352 с.

. Эдвардс Р. Ряды Фурье в современном изложении. - М.: Мир, 1985. - 264+400 с

Похожие работы на - Математичні ряди

 

Не нашли материал для своей работы?
Поможем написать уникальную работу
Без плагиата!
Без нейросетей!