Применение системного подхода в логистике
Содержание
Вступление
.
Теоретическая часть
.1
Применение системного подхода в логистике
.2
Роль складирования в логистической системе
.
Практическая часть
.1
Задача 1
.2
Задача 2
Выводы
Список
литературы
Вступление
Логистика - наука, предмет которой заключается в
организации рационального процесса продвижения товаров и услуг от поставщиков
сырья к потребителям, функционирования сферы обращения продукции, товаров,
услуг, управления товарными запасами и провиантом, создания инфраструктуры
товародвижения.
Целью данной контрольной работы является
изучение теоретических вопросов: применение системного подхода в логистике,
роль складирования в логистической системе, а так же решение практических
задач.
1. Теоретическая часть
1.1 Применение системного подхода в
логистике
Понятие логистической системы является одним из
базовых понятий логистики. Существуют разнообразные системы, обеспечивающие
функционирование экономического механизма. В этом множестве необходимо выделять
именно логистические системы с целью их анализа, синтеза и совершенствования.
Понятие логистической системы является частным по отношению к общему понятию
системы. Поэтому дадим вначале определение общему понятию системы, а затем
определим, какие системы относят к классу логистических.
В энциклопедическом словаре приведено следующее
определение этого понятия: "Система (от греч. - целое, составленное из
частей, соединение) - множество элементов, находящихся в отношениях и связях
друг с другом, образующих определенную целостность, единство". Данное
определение хорошо отражает наши представления о системах, однако целям анализа
и синтеза логистических систем оно не удовлетворяет. Для более точного
определения понятия "система" воспользуемся следующим приемом:
перечислим свойства, которыми должна обладать система. Тогда, если удастся
доказать, что какой-либо объект обладает этой совокупностью свойств, то можно
утверждать, что данный объект является системой.
Существует четыре свойства, которыми должен
обладать объект, чтобы его можно было считать системой:
первое свойство (целостность и делимость).
Система есть целостная совокупность элементов, взаимодействующих друг с другом.
Следует иметь в виду, что элементы существуют лишь в системе. Вне системы это -
объекты, обладающие потенциальной способностью образования системы. Элементы
системы могут быть разнокачественными, но одновременно совместимыми;- второе
свойство (взаимосвязи). Между элементами системы имеются связи, которые с
закономерной необходимостью определяют интегрированные качества этой системы.
Они могут быть вещественные, информационные, прямые, обратные и т.д. Связи
между элементами внутри системы должны быть более мощными, чем связи отдельных
элементов с внешней средой, так как в противном случае система не сможет
существовать;- третье свойство (внутренняя организация). Наличие
системообразующих факторов предполагает возможность ее создания. Для появления
системы необходимо наличие упорядоченных связей, т.е. определенную структуру,
организацию системы;
четвертое свойство (интеграционные качества).
Это - наличие у системы качеств, присущих ей в целом, но не свойственных ни
одному из ее элементов в отдельности.
Пример: возьмем обычную шариковую ручку и
посмотрим: имеет ли она перечисленные признаки системы?
Первое - ручка состоит из отдельных элементов -
корпус, колпачок, стержень, пружина и т. д.
Второе - между элементами имеются связи - ручка
не рассыпается, она является единым целым.
Третье - связи определенным образом упорядочены.
Все части разобранной ручки можно было бы связать и ниткой. Они тоже были бы
взаимосвязаны, но эти связи не были бы упорядоченными. Такая ручка не имела бы
нужных нам качеств.
Четвертое - ручка имеет интеграционные
(суммарные) качества, которыми не обладает ни один из составляющих ее
элементов. Ей можно удобно пользоваться: писать, носить.
Точно так же можно доказать, что такие объекты,
как автомобиль. студенческая группа, оптовая база, совокупность взаимосвязанных
предприятий, книга и многие другие привычные, окружающие нас объекты тоже
являются системами.
Природа материального потока такова, что на
своем пути к потреблению он проходит производственные, складские, транспортные
звенья. Организуют и направляют материальный поток разнообразные участники
логистического процесса.
Очевидно, что методологической основой
"сквозного" управления материальными потоками является системный
подход, реализация которого в концепции логистики поставлена на первое место.
Методология - это учение о структуре,
организации, методах и средствах деятельности. Это всё, что отвечает на вопрос:
"Как?". Современная теория логистики, в концептуальном плане,
базируется на четырех методологиях: общей теории систем, кибернетике,
исследовании операций и прогнозе развития. Сформулируем логическую
последовательность использования описанных научных направлений:
. Логистическая система (ЛС), с движущимися в
ней потоками материалов, продуктов и информации, объективно представляет собой
сложную систему и может быть исследована средствами общей теории систем.
. ЛС являются искусственными, динамическими и
целенаправленными. Для таких систем актуальны проблемы управления, задачи
анализа и синтеза, которые могут быть изучены, решены и смоделированы
современными IT - методами.
. Если речь идет о системе управления, то
возникают задачи выбора оптимальных решений и оценки эффективности управления.
Решение этих задач обеспечивают методы исследования операций.
. Любая организационно-экономическая
деятельность, а значит и управление логистическими потоками немыслима без
перспективного планирования и изучения тенденций развития. Такие задачи
решаются на основе прогнозов.
Системный подход (анализ + синтез) - это
направление методологии научного познания, в основе которого лежит рассмотрение
объектов как систем, что позволяет исследовать трудно наблюдаемые свойства и отношения
в объектах. Его основными задачами являются:- задача декомпозиции:
представление системы в виде подсистем, состоящих из более мелких элементов;
задача анализа: нахождение различного рода
свойств системы, ее элементов и окружающей среды с целью определения
закономерностей поведения системы;
задача синтеза: на основе знаний о системе,
полученных при решении первых двух задач, создание модели системы, определение
ее структуры и параметров, обеспечивающих эффективность её функционирования.
Основные функции системного (научного) подхода в
рамках описанных трех основных задач представлены в табл. 1.
Таблица
1
|
Структура
системного (научного) подхода
|
|
Декомпозиция
|
Анализ
|
Синтез
|
|
Определение
и декомпозиция общей цели, основной функции
|
Функционально-структурный
анализ
|
Разработка
модели системы
|
|
Выделение
системы из среды
|
Морфологический
анализ(анализ взаимосвязи компонентов)
|
Структурный
синтез
|
|
Описание
воздействующих факторов
|
Генетический
анализ (анализ предыстории, тенденций, прогнозирование)
|
Параметрический
синтез
|
|
Описание
тенденций развития, неопределённостей
|
Анализ
аналогов
|
Оценка
системы
|
|
Описание
как «чёрного ящика»
|
Анализ
эффективности
|
|
|
Функциональная,
компонентная и структурная декомпозиция
|
Формирование
требований к создаваемой системе
|
|
Одним из основных принципов системного подхода
является выявление конечной цели, который заключается в следующем:
для проведения системного анализа и синтеза
необходимо в первую очередь сформулировать основную цель исследования;
анализ следует вести на базе уяснения основной
цели исследуемой системы, что позволит определить ее основные свойства,
показатели качества и критерии оценки;
при синтезе систем любую попытку изменения или
совершенствования существующей системы следует оценивать относительно того,
помогает или мешает она достижению конечной цели.
Применение системного подхода в логистике
позволяет:
определить и упорядочить элементы, цели,
параметры, задачи, ресурсы ЛС, и определить структуру ЛС;
выявить внутренние свойства ЛС, определяющие ее
поведение;- выделить и классифицировать связи между элементами ЛС;- выявить
нерешенные проблемы, узкие места, факторы неопределенности, влияющие на
функционирование, возможные логистические мероприятия;- формализовать
слабоструктурированные проблемы, раскрыть их содержание и возможные последствия
перед предпринимателями;- выделить перечень и указать целесообразную
последовательность выполнения задач функционирования ЛС и отдельных ее
элементов;- разработать модели, характеризующие решаемую проблему со всех
основных сторон и позволяющие "проигрывать" возможные варианты
действий и т.п.
В качестве примера рассмотрим движение сахарного
песка от завода - изготовителя, через торговых посредников, до магазинов.
Допустим, что руководство завода без согласования с оптовым и розничным звеном
приняло несогласованное с логистическими цепями решение о внедрении мощного
оборудования для фасовки сахарного песка в бумажные пакеты, что улучшило его
производственные показатели. Возникает вопрос: как воспримет это нововведение
вся товаропроводящая система, приспособленная к транспортированию, хранению и
выполнению остальных технологических операций с сахарным песком, упакованным
именно в мешки? Не исключено, что в ее работе произойдет сбой. В соответствии с
требованиями системного подхода решение о фасовке сахарного песка на
заводе-изготовителе должно приниматься во взаимной связи с остальными
решениями, общей целью которых является оптимизация совокупного материального
потока. В этих условиях принятие частных решений, без учета общих целей функционирования
системы и предъявляемых к ней требований, может оказаться недостаточным, а
возможно и ошибочным.
Вывод: функционирование реальных логистических
систем характеризуется наличием сложных связей как внутри них самих, так и в их
отношениях с окружающей средой. Без комплексного системного подхода, эффективно
решать задачи продвижения любой продукции не представляется возможным.
1.2 Роль складирования в
логистической системе
Складирование - это логистическая операция,
заключающаяся в содержании запасов участниками логистического канала и
обеспечивающая сохранность запасов, их рациональное размещение, учет,
постоянное обновление и безопасные методы работы.
Логистика складирования - отрасль логистики,
занимающаяся вопросами разработки методов организации складского хозяйства,
системы закупок, приемки, размещения, учета товаров и управления запасами с
целью минимизации затрат, связанных со складированием и переработкой товаров.
Это также комплекс взаимосвязанных операций, реализуемых в процессе преобразования
материального потока в складском хозяйстве.
Объектом изучения логистики складирования
являются товарно-материальные ценности в процессе их складирования,
грузопереработки и упаковки.
К основным задачам логистики складирования
относятся:
размещение складской сети;
складирование и подготовка груза к поставкам
(производственные и другие услуги),
управление товарными запасами;
организация складских поставок.
В последнее время главным направлением развития
складского хозяйства стало повышение гибкости и эффективности использования
информационных технологий, что необходимо для удовлетворения растущих
требований потребителей к ассортименту и условиям поставок. Совершенствование
информационных технологий, автоматизация складского процесса увеличивают
гибкость, давая возможность складским операторам быстрее реагировать на
изменения и оценивать результаты деятельности в самых разных условиях.
Таким образом, создание разветвленного и
автоматизированного складского хозяйства направлено на:
обеспечение ритмичности совместной работы,
организованности и оперативного взаимодействия различного рода производственных
и транспортных подразделений;
демпфирование колебаний внутри производства;
сглаживание неравномерности внешних поставок и
организацию их получения и использования;
накопление готовой продукции и организацию ее
распределения в соответствии с фактическим поступлением заказов от клиентуры;
обеспечение в течение времени хранения, поиска и
выдачи сохранности качества сырья, материалов, комплектующих изделий и готовой
продукции;
рациональное использование площадей,
принадлежащих предприятиям и компаниям;
снижение простоев транспортных средств,
обеспечение гибкости в выборе транспортных средств и определении объемов
перевозок и, в конечном счете, уменьшение транспортных расходов;
снижение потребности в персонале, освобождение
его от выполнения большого объема погрузочно-разгрузочных работ в условиях
невысокого уровня организованности.
При анализе роли и места складов целесообразно
рассматривать их на разных уровнях иерархии: общегосударственном, региональном,
локальном и производственном.
На общегосударственном уровне проблемы создания
складской системы имеют в значительной степени не технические, а экономические,
стратегические и социальные аспекты. Они связаны с созданием общих структур
системы материально-технического снабжения производства продукцией
производственно-технического назначения, единой транспортной системы страны,
определением числа складов, обеспечивающих обслуживание всей страны при
бесперебойном снабжении клиентов, и т.д.
На региональном уровне значение складов велико в
связи с развитием и созданием новых территориально-производственных комплексов,
в которых целесообразно создавать крупные объединенные складские базы по видам
продукции производственно-технического назначения (для снабжения промышленных
узлов и производственных предприятий) и по видам товаров народного потребления
(для снабжения населения).
На локальном уровне складской инфраструктуры
размещение и работа складов существенно влияет на грузопотоки и транспорт
промышленных районов и узлов, на общую эффективность работы промышленных
предприятий и транспорта.
Важную роль играют склады на промышленных
предприятиях (производственный уровень). Они влияют на общий ритм и организацию
основных процессов производства на предприятиях, размещение и работу
внутризаводского и внешнего транспорта, себестоимость промышленной продукции и
другие показатели эффективности производства и деятельности предприятий.
Основными причинами использования складов в
логистической системе являются:
) уменьшение логистических издержек при
транспортировке за счет организации перевозок экономичными партиями;
) координация и выравнивание спроса и
предложения в снабжении и распределении за счет создания страховых и сезонных
запасов;
) обеспечение бесперебойного процесса
производства за счет создания запасов материально-технических ресурсов;
) обеспечение максимального удовлетворения
потребительского спроса за счет формирования ассортимента продукции;
) создание условий для поддержания активной стратегии
сбыта;
) увеличение географического охвата рынков
сбыта;
) обеспечение гибкой политики обслуживания.
Таким образом, складское хозяйство создается для
приема грузопотока с одними параметрами (размерными, качественными и
временными), его переработки и накопления и выдаче его с уже другими
параметрами потребителю. Эта процедура должна выполняться с наибольшей
экономической эффективностью. Проблемы, связанные с функционированием складов,
оказывают значительное влияние на оптимизацию движения материальных потоков в
логистической цепи и в конечном итоге на совокупные издержки обращения.
Складирование продукции необходимо в связи с
имеющимися колебаниями циклов производства, транспортировки и ее потребления.
Склады различных типов могут создаваться в начале, середине и в конце
транспортных грузопотоков или производственных процессов для временного
накапливания грузов и своевременного снабжения производства материалами в
нужных количествах. Временное складирование (накапливание) продукции
обусловлено характером производства и транспорта. Оно позволяет преодолеть
временные, пространственные, количественные и качественные несоответствия между
наличием и потребностью в материалах в процессе производства и потребления.
Кроме операций складирования грузов, на складе выполняются еще и
внутрискладские транспортные, погрузочные, разгрузочные, сортировочные,
комплектовочные и промежуточные перегрузочные операции, а также некоторые
технологические операции и т.д. Поэтому склады следует рассматривать не просто
как устройства для хранения грузов, а как транспортно-складские комплексы, в
которых процессы перемещения грузов играют важную роль. Работа этих комплексов
носит динамический стохастический характер ввиду неравномерности перевозок
грузов.
Следует иметь в виду: склады способствуют
преобразованию грузопотоков, изменяя параметры принимаемых и выдаваемых партий
грузов по величине, составу, физическим характеристикам входящих грузов,
времени отправки транспортных партий и т.д. В складской системе взаимодействуют
материальные потоки, которые основаны на функциях транспортировки (определяют
движение материалов) и хранения (кроме складирования осуществляются различные
виды выравнивания потоков товаров, проходящих через склад).
логистический системный
товародвижение складирование
2. Практическая часть
Задача 1
Логистика запасов
Рассчитать параметры оптимального запаса: объём
поставки Vопт,
количество поставок Nопт,
текущий запас Зопт, при заданных объёме поступления материала за год
в тоннах (Mi),
количестве поставок материала в отчётном году (Ni).
|
Вид
материала
|
Отчётные
данные
|
|
Mi
|
Ni
|
|
А
|
80
|
4
|
|
Б
|
100
|
2
|
|
В
|
150
|
5
|
|
Итого
|
|
|
Решение:
Данная задача решается с использованием модели
Уилсона.
Модель предполагает расчет следующих
показателей:
. Число поставок (N):
где M
- общее поступление материалов в течение года;
V - величина одной
партии поставки.
Следовательно, величина одной поставки по
каждому виду изделий составит
Вычислим размер поставок для всех заданных видов
продукции
Таблица
1.2
Расчёт размеров поставок
|
Вид
материала
|
Mi
|
Ni
|
Vi
|
|
A
|
80
|
4
|
|
B
|
100
|
2
|
50
|
|
C
|
150
|
5
|
30
|
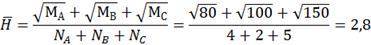
. Вводим константу Н, которая определяется
следующим образом:
где И1 - затраты на поставку одной
партии материалов;
И2 - затраты на единицу хранения в
течение года
. При хранении многономенклатурных запасов (как
в данном случае), величина Н определяется следующим образом (
):
где m
- число позиций;
Niф
-
фактическое количество поставок i-го
материала.
Вычислим константу для заданной ситуации
. Оптимальная партия поставки i-го
материала при многономенклатурных запасах (Vopt)
определяется по формуле:
Таблица
1.3
Расчёт оптимального размера поставок
|
Вид
материалаMi
|
|
|
|
|
A
|
80
|
8,94
|
25
|
|
B
|
100
|
10,00
|
28
|
|
C
|
150
|
12,25
|
34
|
. Оптимальный текущий запас по i-му
материалу рассчитывается по формуле:
Тогда, для данного случая
Таблица
1.4
Расчёт оптимального текущего запаса
|
Вид
материала
|
Mi
|
|
|
|
|
A
|
80
|
8,94
|
25
|
13
|
|
B
|
100
|
10,00
|
28
|
14
|
|
C
|
150
|
12,25
|
34
|
17
|
. Рассчитаем оптимальное количество поставок для
каждой номенклатуры изделий по формуле:
Таблица
1.5
Расчёт оптимального количества поставок
|
Вид
материалаMi Ni
|
|
|
|
|
|
A
|
80
|
25
|
3
|
4
|
100
|
28
|
4
|
2
|
|
C
|
150
|
34
|
5
|
5
|
Примечание: округление производим в большую
сторону, чтобы избежать дефицита изделий при поставках.
Таким образом, результаты расчётов внесём в
итоговую таблицу 1.6
Таблица
1.6
Итоговая таблица расчётов оптимального запаса
|
Вид
материала
|
Отчётные
данные
|
Расчёт
оптимального запаса
|
|
Mi, тонн
|
Ni, ед.
|
Vi, тонн
|
|
, тонн
|
тонн
|
, ед.
|
|
А
|
80
|
4
|
20
|
8,94
|
25
|
13
|
3
|
|
В
|
100
|
2
|
50
|
10,00
|
28
|
14
|
4
|
|
С
|
150
|
5
|
30
|
12,25
|
34
|
17
|
5
|
|
ИТОГО
|
330
|
11
|
-
|
-
|
-
|
44
|
12
|
Задача 2
Транспортная логистика. Определить показатели
работы автотранспорта на маятниковом маршруте с обратным холостым пробегом.
Рассчитать объём транспортной работы, количество автомобилей, необходимых для
перевозки заданного объема груза за смену (8 час.).
Таблица
2.1
Исходные данные
|
№
п/п
|
Наименование
показателя
|
Условное
обозначение
|
ед.
измерения
|
Значение
показателя
|
|
1
|
Масса
груза
|
Qф
|
т
|
240
|
|
2
|
q
|
т
|
3
|
|
3
|
Коэффициент
использования грузоподъемности
|
|
-
|
0,9
|
|
4
|
Техническая
скорость
|
|
км/час
|
60
|
|
5
|
Расстояние
перевозки
|
L
|
км
|
10
|
|
6
|
Время
погрузки
|
t
|
мин.
|
15
|
|
7
|
Время
разгрузки
|
t
|
мин.
|
15
|
|
8
|
Время
смены
|
Т
|
час
|
8
|
Решение:
Ездка - законченный цикл транспортной работы,
состоящий из погрузки груза на автомобиль (tп),
движения последнего с грузом (tгр),
разгрузки (tр)
и подачи транспортного средства для следующей погрузки (движение без груза) (tдвж).
Оборот включает одну или несколько ездок, причем
подвижной состав обязательно должен возвращаться в исходную точку.
. Общий пробег определяется по формуле:
где
-
первый и второй нулевой пробег (от АТП до пункта погрузки), км;
lx
-
холостой пробег, км;
lгр -
груженый пробег, км.
Так как в условии задачи не сказано о пробеге от
АТП до пункта погрузки, принимаем
Тогда для заданных условий
2. Техническая скорость движения автомобиля
определяется по формуле, (км/ч):
где
-
движение транспортного средства без груза, км/час
Зная техническую скорость и общий пробег,
определим время движения автомобиля без груза для заданных условий
. Определим время ездки автомобиля по формуле:
где tп
- время погрузки груза на автомобиль;
tгр
- движения транспорта с грузом;
tр
- время разгрузки автомобиля;
tдвж
0 движение транспорта без груза.
Так как иное не оговорено условиями, принимаем
время движения с грузом и без груза одинаковым, то есть.
получим время ездки для заданных условий
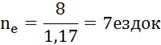
. Определим количество ездок по формуле
где Тн - время в наряде (смене);
tе
-
время одной ездки.
. Производительность автомобиля за время в
наряде (т) определяется по формуле:
где q
- грузоподъемность, тонн;
- коэффициент
статистического использования грузоподъемности;
В данном случае:
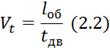
. Объем транспортной работы (т-км) одного
автомобиля определяется по формуле:
где Qi
- объем i-ой партии груза,
тонн;
li
- расстояния перевозки i-ой
партии груза, км.
A=18,9т*20км=378т-км
. Вычислим количество автомобилей необходимых
для перевозки заданного объема груза за смену (8 часов) по формуле:
Ответ: объем работы- 378 т-км; число автомобилей
- 13
Заключение
Логистика в России, как наука начала развиваться
сравнительно недавно, но уже сейчас можно говорить о ее значимости на
предприятии. Применение логистики на промышленных предприятиях приводит к
следующему:
производство ориентировано на рынок;
налаживаются партнерские отношения с поставщиками;
сокращаются простои оборудования;
оптимизируются запасы - одна из центральных
проблем логистики (анализ опыта ряда фирм Западной Европы показывает, что
применение логистики позволяет уменьшить производственные запасы на 50%);
сокращается численность вспомогательных рабочих;
улучшается качество выпускаемой продукции;
улучшается использование производственных и
складских площадей;
сокращается время движения продукции на 25-30%;
снижается уровень запасов продукции у
потребителя в 30-50%.
обеспечивается комплексный учет всех затрат по
завозу и вывозу грузов, а не только перевозочных тарифов, которые составляют
лишь часть совокупных затрат на передвижение продукции.
повышается уровень транспортного обслуживания,
что достигается не только и не столько улучшением работы транспортных
подразделений, сколько слаженным выполнением комплекса работ по снабжению,
сбыту и перевозкам продукции.
Логистика как сегодня, так и в будущем будет
основным фактором в конкурентной борьбе. Успех в конкурентной борьбе между предприятиями
и сетями единой цепочки создания стоимости, между странами и экономическими
регионами определяется в первую очередь уровнем компетенции в логистике. Так,
исследования, проведенные на предприятиях, доказывают положительную взаимосвязь
между эффективной логистикой и успехом в предпринимательской деятельности. По
сути, отдел логистики должен являться связующим звеном в работе всех служб
предприятия, так сказать координирующим центром фирмы.
Исключительное значение, которое имеет логистика
сегодня и которым будет обладать в будущем, объясняется в первую очередь
современными представлениями о логистике, а во-вторых, современным и будущим
состоянием развития систем создания стоимости и экономических структур.
На рынке труда появился спрос на специалистов
такого профиля, не исключено, что в скором будущем профессия «логистик» будет
входить в десятку наиболее престижных и пользующихся спросом специальностей.
Список литературы
1. Альбеков
А.У. Логистика коммерции: Серия «Учебники, учебные пособия»/ А.У. Альбеков,
В.П. Федько, О.А. Митько. - Ростов-на-Дону: Феникс, 2001
2. Аникин
Б.А. Коммерческая логистика: Учебник/ Б.А. Аникин, А.П. Тяпухин. - М.: ТК
Велби, Изд-во Проспект, 2005
. Гаджинский
А.М. Логистика: Учебник для вузов / А.М. Гаджинский. - М.: ИВЦ «Маркетинг»,
2002
. Гаджинский
А.М. Основы логистики: Учеб. Пособие / А.М. Гаджинский. - М.: ИВЦ «Маркетинг»,
1996.
. Джонсон
Дж. Современная логистика: Пер. с англ./ Дж. Джонсон, Д. Вуд, Д. Вордлоу. - М.:
Издательский дом «Вильямс», 2002
. Костоглодов
Д.Д. Распределительная логистика / Д.Д. Костоглодов, Л.М. Харисова. -Ростов
н/Д: Экспертное бюро, 1997