Исследование надежности системы
Минобрнауки России
Федеральное государственное бюджетное
образовательное учреждение
высшего профессионального образования
Санкт-Петербургский государственный
технологический институт
(технический университет)
Направление подготовки 220100.62:
Системный анализ и управление
Факультет информационных технологий и
управления
Кафедра системного анализа
КУРСОВАЯ РАБОТА
По дисциплине:
Теория вероятностей и математическая
статистика
Тема:
Исследование надежности системы
Санкт-Петербург - 2014
ОГЛАВЛЕНИЕ
1.
Аналитический обзор
.1 Методы
оценивания параметров закона распределения случайной величины
.1.1 Точечная
оценка параметров распределения
.1.2
Интервальная оценка параметров распределения
.2 Методы
проверки статистической гипотезы о виде закона распределения
. Постановка
задачи
. Выполнение
курсовой работы
.1 Задание
.1.1
Функциональная схема системы
.1.2
Экспериментальные данные
.2 Выполнение
работы
.2.1
Построение модели
.2.2
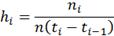
Нахождение оценок параметров по методу моментов
.2.3 График
оценки плотности вероятности и гистограмма
.2.4
Оценивание функции распределения
.2.5 Проверка
гипотезы о виде закона распределения
Заключение по
проделанной работе
1.
Аналитический обзор
.1 Методы
оценивания параметров закона распределения случайной величины
.1.1
Точечная оценка параметров распределения
Сущность задачи точечного оценивания параметров
Точечная оценка предполагает нахождение единственной числовой величины,
которая и принимается за значение параметра. Такую оценку целесообразно
определять в тех случаях, когда объем экспериментальных данных достаточно
велик. Причем не существует единого понятия о достаточном объеме
экспериментальных данных, его значение зависит от вида оцениваемого параметра.
При его малом объеме точечные оценки могут значительно отличаться от истинных
значений параметров, что делает их непригодными для использования.
Точечные оценки могут быть состоятельными, несмещенными и эффективными.
Состоятельной называется оценка, которая при увеличении объема выборки
стремится по вероятности к истинному значению числовой характеристики.
Несмещенной называется оценка, математическое ожидание которой равно
оцениваемой числовой характеристике. Наиболее эффективной считают ту из
нескольких возможных несмещенных оценок, которая имеет наименьшую дисперсию.
Требование несмещенности на практике не всегда целесообразно, так как оценка с
небольшим смещением и малой дисперсией может оказаться предпочтительнее
несмещенной оценки с большой дисперсией. На практике не всегда удается
удовлетворить одновременно все три этих требования, однако выбору оценки должен
предшествовать ее критический анализ со всех перечисленных точек зрения.
Задача точечной оценки параметров в типовом варианте постановки состоит в
следующем:
Имеется: выборка наблюдений (x1, x2,
…, xn) за случайной величиной Х. Объем
выборки n фиксирован.
Известен вид закона распределения величины Х, например, в форме плотности
распределения f(θ, x), где θ - неизвестный (в общем случае
векторный) параметр распределения. Параметр является неслучайной величиной.
Требуется найти оценку
параметра θ закона распределения.
Существует несколько методов решения задачи точечной оценки параметров,
наиболее употребительными из них являются методы максимального (наибольшего)
правдоподобия, моментов и наименьших квадратов.
а) Метод максимального правдоподобия
Метод предложен Р. Фишером в 1912 г. Метод основан на исследовании
вероятности получения выборки наблюдений (x1, x2, …, xn). Эта вероятность равна
(х1, θ) f (х2, θ ) … f (хn, θ ) dx1 dx2 … dxn.
Совместная плотность вероятности
(x1, x2, …, xn; θ) = f(х1, θ) f (х2, θ
) … f (хn, θ),
рассматриваемая как функция параметра θ, называется функцией правдоподобия.
В качестве оценки
параметра θ следует взять то значение, которое
обращает функцию правдоподобия в максимум. Для нахождения оценки необходимо
заменить в функции правдоподобия θ на f(х1,θ) f (х2, θ) … f(хn, θ) и решить уравнение:
¶L/¶q = 0
Для
упрощения вычислений переходят от функции правдоподобия к ее логарифму lnL.
Такое преобразование допустимо, так как функция правдоподобия - положительная
функция, и она достигает максимума в той же точке, что и ее логарифм. Если
параметр распределения векторная величина, q=(q1, q2, . . . ,, qn), то оценки максимального правдоподобия
находят из системы уравнений
¶ ln L (q1, q2 , …, qn) / ¶ q1 = 0;
¶ ln L (q1, q2, …, qn) / ¶ q2 = 0;
. . . . . . . . .
¶ ln L (q1, q2, …, qn) / ¶ qn= 0
Для проверки того, что точка оптимума соответствует максимуму функции
правдоподобия, необходимо найти вторую производную от этой функции. И если
вторая производная в точке оптимума отрицательна, то найденные значения
параметров максимизируют функцию.
Итак, нахождение оценок максимального правдоподобия включает следующие
этапы: построение функции правдоподобия (ее натурального логарифма);
дифференцирование функции по искомым параметрам и составление системы
уравнений; решение системы уравнений для нахождения оценок; определение второй
производной функции, проверку ее знака в точке оптимума первой производной и
формирование выводов.
Метод максимального правдоподобия позволяет получить состоятельные,
эффективные, достаточные, асимптотически нормально распределенные оценки. Этот
метод может давать как смещенные, так и несмещенные оценки. Смещение удается
устранить введением поправок. Метод особенно полезен при малых выборках. Оценка
инвариантна относительно преобразования параметра, т.е. оценка некоторой
функции j(θ) от параметра
θ является эта же функция от оценки j(
). Если функция максимального
правдоподобия имеет несколько максимумов, то из них выбирают глобальный.
б) Метод моментов
Метод предложен К. Пирсоном в 1894 г. Сущность метода: выбирается столько
эмпирических моментов, сколько требуется оценить неизвестных параметров
распределения. Желательно применять моменты младших порядков, так как
погрешности вычисления оценок резко возрастают с увеличением порядка момента;
вычисленные по экспериментальным данным оценки моментов приравниваются к
теоретическим моментам; параметры распределения определяются через моменты, и
составляются уравнения, выражающие зависимость параметров от моментов, в
результате получается система уравнений. Решение этой системы дает оценки
параметров распределения генеральной совокупности.
Метод моментов позволяет получить состоятельные, достаточные оценки, они
при довольно общих условиях распределены асимптотически нормально. Смещение
удается устранить введением поправок. Эффективность оценок невысокая, т.е. даже
при больших объемах выборок дисперсия оценок относительно велика (за
исключением нормального распределения, для которого метод моментов дает
эффективные оценки). В реализации метод моментов проще метода максимального
правдоподобия. Напомним, что метод целесообразно применять для оценки не более
чем четырех параметров, так как точность выборочных моментов резко падает с
увеличением их порядка.
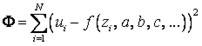
в) Метод наименьших квадратов
Допустим, нам известен вид функциональной зависимости физической величины
u от другой физической величины z, но не известны параметры этой зависимости a,
b, c,...
. В результате проведенных измерений
получена таблица значений ui
при некоторых значениях
. Требуется найти такие значения параметров a, b, c,... при
которых функция
наилучшим образом описывает экспериментальные данные.
Метод наименьших квадратов утверждает, что «наилучшей» кривой будет
такая, для которой сумма квадратов отклонений экспериментальных значений ui от значений функции
минимальна. Таким образом, для
определения параметров a, b, c,... необходимо найти минимум функции:
Отметим,
что Φ рассматривается здесь как функция параметров a, b,
c,..., так как величины ui, zi известны из экспериментальных данных.
В
общем случае нахождение минимума функции удается сделать далеко не всегда.
Поэтому для практической реализации МНК часто применяют следующий искусственный
прием: находят некоторое функциональное преобразование
, которое приводит исследуемую зависимость
к
линейному виду: для которого реализация МНК наиболее проста.
В
этом вся суть метода наименьших квадратов.
1.1.2
Интервальная оценка параметров распределения
Сущность задачи интервального оценивания параметров
Интервальный метод оценивания параметров распределения случайных величин
заключается в определении интервала, в котором с заданной степенью
достоверности будет заключено значение оцениваемого параметра. Интервальная
оценка характеризуется двумя числами - концами интервала, внутри которого
предположительно находится истинное значение параметра. Иначе говоря, вместо
отдельной точки для оцениваемого параметра можно установить интервал значений,
одна из точек которого является своего рода "лучшей" оценкой.
Интервальные оценки являются более полными и надежными по сравнению с
точечными, они применяются как для больших, так и для малых выборок. Совокупность
методов определения промежутка, в котором лежит значение параметра Т, получила
название методов интервального оценивания. К их числу принадлежит метод
Неймана.
Постановка задачи интервальной оценки параметров заключается в следующем:
Имеется: выборка наблюдений (x1, x2,…, xn) за случайной величиной Х. Объем
выборки n фиксирован.
Необходимо с доверительной вероятностью γ=1-α определить интервал, который
накрывает истинное значение неизвестного скалярного параметра Т (здесь, как и
ранее, величина Т является постоянной).
Эта задача решается путем построения доверительного утверждения, которое
состоит в том, что интервал от t0 до t1 накрывает
истинное значение параметра Т с доверительной вероятностью не менее γ. Величины t0 и t1
называются нижней и верхней доверительными границами (НДГ и ВДГ
соответственно). Доверительные границы интервала выбирают так, чтобы
выполнялось условие
P(t0
θ < t1) = γ.
В инженерных задачах доверительную вероятность назначают в пределах от
0,95 до 0,99. В доверительном утверждении считается, что статистики t0
и t1 являются случайными величинами и изменяются от выборки к
выборке. Это означает, что существует бесконечное количество вариантов их
установления.
На практике применяют два варианта задания доверительных границ:
устанавливают симметрично относительно оценки параметра, тогда величина
абсолютной погрешности оценивания равна половине доверительного интервала;
устанавливают из условия равенства вероятностей выхода за верхнюю и
нижнюю границу
Р(Т > θ+Е1,γ)= Р(Т< θ-Е2,γ) = α/2.
Нахождение доверительных интервалов требует знания вида и параметров
закона распределения случайной величины θ. Для ряда практически важных случаев
этот закон можно определить из теоретических соображений.
1.2 Методы
проверки статистической гипотезы о виде закона распределения
При построении вероятностных моделей приходится делать предположения о
законах распределения рассматриваемых случайных величин. Считают, что случайная
ошибка измерительного прибора, как правило, хорошо описывается нормальным
законом распределения, время безотказной работы устройства - экспоненциальным
распределением, число регистрируемых распадов радиоактивного вещества в единицу
времени - распределением Пуассона и т.д. Все эти предположения нуждаются в экспериментальной
проверке, ее можно провести по результатам серии независимых измерений
случайной величины. Эти измерения образуют выборку ξ1, ξ2, …, ξn из генеральной совокупности, закон распределения
которой неизвестен. Требуется проверить гипотезу о том, что функция
распределения этой совокупности ξ1, ξ2, …, ξn есть F(x). Функция F(x), вообще говоря,
может зависеть от параметров, оцениваемых по выборке.
Располагая выборкой, мы можем построить выборочную функцию
распределения (x). Сравнение
(x) с предполагаемой функцией F(x) проводят с
помощью специально подобранной статистики - критерия согласия, среди которых
чаще всего используются два: Пирсона и Колмогорова.
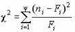
а) Критерий хи-квадрат К. Пирсона
Использование этого критерия основано на применении такой меры
(статистики) расхождения между теоретическим F(x) и эмпирическим распределением
Fп(x), которая приближенно подчиняется закону распределения χ2. Гипотеза Н0 о согласованности
распределений проверяется путем анализа распределения этой статистики.
Применение критерия требует построения статистического ряда.
Итак, пусть выборка представлена статистическим рядом с количеством
разрядов ψ. Наблюдаемая частота попаданий в i-й разряд ni. В
соответствии с теоретическим законом распределения ожидаемая частота попаданий
в i-й разряд составляет Fi. Разность между наблюдаемой и ожидаемой
частотой составит величину (ni - Fi). Для нахождения
общей степени расхождения между F(x) и Fп(x) необходимо подсчитать
взвешенную сумму квадратов разностей по всем разрядам статистического ряда:
Величина χ2 при неограниченном увеличении n имеет распределение
хи-квадрат (асимптотически распределена как хи-квадрат). Это распределение зависит
от числа степеней свободы k, т.е. количества независимых значений слагаемых в
выражении. Число степеней свободы равно числу ψ минус число линейных связей,
наложенных на выборку. Одна связь существует в силу того, что любая частота
может быть вычислена по совокупности частот в оставшихся ψ - 1 разрядах. Кроме того, если
параметры распределения неизвестны заранее, то имеется еще одно ограничение,
обусловленное подгонкой распределения к выборке. Если по выборке определяются f
параметров распределения, то число степеней свободы составит k=ψ- f -1.
Область принятия гипотезы Н0 определяется условием χ2
χ2(k;α), где χ 2(k;α) - критическая точка распределения
хи-квадрат с уровнем значимости α, а χ2 ‒ вычисленное по выборке значение
статистики. Вероятность ошибки первого рода равна α, вероятность ошибки второго рода
четко определить нельзя, потому что существует бесконечно большое множество
различных способов несовпадения распределений.
Мощность критерия зависит от количества разрядов и объема выборки.
Критерий рекомендуется применять при n>200, допускается применение при
n>40, именно при таких условиях критерий состоятелен (как правило, отвергает
неверную нулевую гипотезу).
б) Критерий А.Н. Колмогорова
Для применения критерия А.Н. Колмогорова экспериментальные данные
требуется представить в виде вариационного ряда. В качестве меры расхождения
между теоретической F(x) и эмпирической Fn(x) функциями
распределения непрерывной случайной величины Х используется модуль максимальной
разности
dn = max|F(x) - Fn(x)|
А.Н. Колмогоров доказал, что какова бы ни была функция распределения F(x)
величины Х при неограниченном увеличении количества наблюдений n функция
распределения случайной величины dn
асимптотически приближается к
функции распределения.
Иначе говоря, критерий А.Н. Колмогорова характеризует вероятность того,
что величина dn
не будет превосходить параметр l для любой теоретической
функции распределения. Уровень значимости a выбирается из условия
, в силу предположения, что почти
невозможно получить это равенство, когда существует соответствие между
функциями F(x) и Fn(x). Критерий А.Н. Колмогорова позволяет
проверить согласованность распределений по малым выборкам, он проще критерия
хи-квадрат, поэтому его часто применяют на практике. Но требуется учитывать два
обстоятельства.
Во-первых, в точном соответствии с условиями его применения необходимо
пользоваться следующим соотношением:
Где
Во-вторых, условия применения критерия предусматривают, что теоретическая
функция распределения известна полностью (известны вид функции и ее параметры).
Но на практике параметры обычно неизвестны и оцениваются по экспериментальным
данным. Это приводит к завышению значения вероятности соблюдения нулевой
гипотезы, т.е. повышается риск принять в качестве правдоподобной гипотезу,
которая плохо согласуется с экспериментальными данными (повышается вероятность
совершить ошибку второго рода). В качестве меры противодействия такому выводу
следует увеличить уровень значимости a , приняв его равным 0,1 - 0,2, что
приведет к уменьшению зоны допустимых отклонений.
Сопоставляя возможности двух критериев, необходимо отметить следующие
особенности. Критерий Пирсона устойчив к отдельным случайным ошибкам в
экспериментальных данных. Однако его применение требует группирования данных по
интервалам, выбор которых относительно произволен и подвержен противоречивым
рекомендациям. А критерий Колмогорова слабо чувствителен к виду закона
распределения и подвержен влиянию помех в исходной выборке, но прост в
применении.
При проверке гипотез о законе распределения следует помнить, что слишком
хорошее совпадение с выбранным законом распределения может быть обусловлено
некачественным экспериментом или предвзятой предварительной обработкой
результатов (некоторые результаты отбрасываются или округляются).
Выбор критерия проверки гипотезы относительно произволен. Разные критерии
могут давать различные выводы о справедливости гипотезы, окончательное
заключение в таком случае принимается на основе неформальных соображений. Но в
нашей курсовой работе мы проверим гипотезу о виде закона распределения с
помощью критерия Пирсона.
2.
Постановка задачи
Имеется система, состоящая из блоков, которые функционируют независимо
друг от друга и могут в те или иные моменты времени выходить из строя.
Некоторые из блоков дублируются, т.е. при отказе одного из блоков его функции
может выполнить другой, что повышает надежность системы.
Если отказы некоторого блока представляют собой пуассоновский поток
событий, то время его безотказной работы (τ) есть случайная величина,
распределённая по показательному закону, т.е. её функция распределения:
, если t < 0
F(t )= P(τ < t) = (1)
1 - e -λ*t, если t ≥ 0
где λ - положительный параметр (интенсивность отказов).
При этом событие “ τ ≥ t ” равносильно тому, что на интервале от 0 до t не происходит
ни одного отказа, т.е. данный блок работает. Вероятность такого события равна:
P(τ ≥ t) = 1 - F(t) = e -λ*t (t >
0). (2)
Зная вероятность безотказной работы каждого блока как функцию от t, можно
найти функцию распределения времени безотказной работы всей системы.
В курсовой работе задаётся функциональная схема системы, состоящей из
блоков двух типов - с интенсивностями отказов λ1 и λ2, соответственно. Значения параметров λ1 и λ2 неизвестны, но их можно оценить на
основании результатов эксперимента, используя методы математической статистики,
например метод моментов.
Считается, что проведено большое количество опытов, в каждом из которых
фиксировалась продолжительность безотказной работы системы. Результаты опытов
представлены в виде группированной выборки, т.е. указаны интервалы [ti-1,ti] и ni- количество значений случайной
величины τ, попавших в соответствующий интервал.
При выполнении работы требуется:
1) На основании функциональной схемы построить математическую модель -
функцию распределения времени безотказной работы системы и его плотность вероятности.
2) Применяя метод моментов, найти оценки параметров λ1 и λ2.
) Построить гистограмму и сравнить её с графиком оценки плотности
вероятности, полученной с использованием найденных оценок λ1 и λ2.
) Построить выборочную функцию распределения и сравнить её с
оценкой функции распределения, полученной с использованием найденных оценок λ1 и λ2.
) Проверить гипотезу о виде закона распределения с помощью
критерия Пирсона.
распределение параметр система вероятность
3.
Выполнение курсовой работы
.1 Задание
.1.1
Функциональная схема системы
Функциональная схема системы изображена на рисунке 1.
Рисунок
1 - Функциональная схема системы
3.1.2
Экспериментальные данные
Экспериментальные данные приведены в таблице 1.
Таблица 1
Экспериментальные данные
|
№
|
Начало интервала
|
Конец интервала
|
Количество точек
|
|
1
|
0
|
310
|
79
|
|
2
|
310
|
174
|
|
3
|
620
|
930
|
156
|
|
4
|
930
|
1240
|
157
|
|
5
|
1240
|
1550
|
115
|
|
6
|
1550
|
1860
|
71
|
|
7
|
1860
|
2170
|
78
|
|
8
|
2170
|
2480
|
43
|
|
9
|
2480
|
2790
|
38
|
|
10
|
2790
|
3100
|
25
|
|
11
|
3100
|
3410
|
25
|
|
12
|
3410
|
3720
|
15
|
|
13
|
3720
|
4030
|
7
|
|
14
|
4030
|
4340
|
10
|
|
15
|
4340
|
4650
|
5
|
|
16
|
4650
|
4960
|
5
|
|
17
|
4960
|
5270
|
2
|
|
18
|
5270
|
5580
|
3
|
|
19
|
5580
|
5890
|
1
|
|
20
|
6200
|
0
|
|
21
|
6200
|
6510
|
0
|
|
22
|
6510
|
6820
|
0
|
|
23
|
6820
|
7130
|
1
|
|
24
|
7130
|
7440
|
0
|
|
25
|
7440
|
8990
|
1
|
3.2
Выполнение работы
.2.1
Построение модели
Зафиксируем некоторый момент времени t>0.
Пусть событие А - безотказная работа системы в течение интервала времени
(0,t).
Тогда, обозначив через Аk безотказную работу k-го блока в течение этого интервала (k=1,2,3,4). В соответствии с функциональной схемой можно
записать:
А=А1+А4(А2+А3).
Используя теоремы сложения и умножения, с учетом независимости в
совокупности событий А1,А2,А3,А4
-получим:
Р(А) = Р(А1 + А4(А2 + А3) =
Р(А1) + Р(А4)
(Р(А2) + Р(А3) - Р(А2)
Р(А3)) -
Р(А1)
Р(А4)
(Р(А2) + Р(А3) - Р(А2)
Р(А3))
Считая, что время безотказной работы каждого блока распределено по
показательному закону с параметрами λ1, λ2, т.е.
,
будем иметь:
Отсюда функция распределения времени безотказной работы системы:
(1)
(t>0).
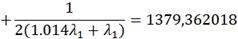
Дифференцируя функцию распределения, получим плотность вероятности:
(2)
3.2.2
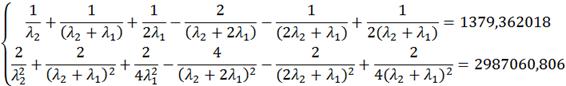
Нахождение оценок параметров по методу моментов
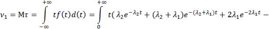
Найдем сначала начальные моменты 1 и 2 порядка:
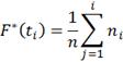
На основании группированной выборки вычислим выборочные моменты:
где
- середина i-го
интервала,
- объем выборки,
− количество интервалов.
Результаты:
k= 25 n=1011
=1379.362018
=2987060.806
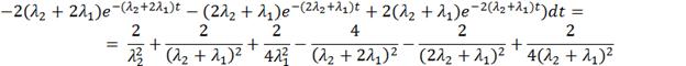
Составим систему уравнений для нахождения оценок параметров:
Приведя оба уравнения к общим знаменателям, возведя обе части первого
уравнения в квадрат и разделив почленно на второе уравнение, получим:
Разделим числитель и знаменатель на
и обозначив
- придем к уравнению:
У него имеется 2 положительных корня: 1,014 и 3,522.
Рассмотрим корень 1,014.
Подставим теперь
в первое уравнение системы.
Отсюда найдем оценки параметров:
Используя найденные оценки, получим оценки функции распределения и
плотности вероятности:

(Здесь : t>0; при t
0 обе функции равны 0).
.2.3
График оценки плотности вероятности и гистограмма
Для построения гистограммы найдем высоты соответствующих прямоугольников:
Таблица 2
Значения высот прямоугольников гистограммы.
|
i
|
hi
|
i
|
hi
|
|
1
|
0,000252
|
14
|
3,19071E-05
|
|
2
|
0,000555
|
15
|
1,59535E-05
|
|
3
|
0,000498
|
16
|
1,59535E-05
|
|
4
|
0,000501
|
17
|
6,38142E-06
|
|
5
|
0,000367
|
18
|
9,57213E-06
|
|
6
|
0,000227
|
19
|
3,19071E-06
|
|
7
|
0,000249
|
20
|
0
|
|
8
|
0,000137
|
21
|
0
|
|
9
|
0,000121
|
22
|
0
|
|
10
|
7,98E-05
|
23
|
3,19071E-06
|
|
11
|
7,98E-05
|
24
|
0
|
|
12
|
4,79E-05
|
25
|
6,38142E-07
|
|
13
|
2,23E-05
|
|
|
Рисунок 1 - График оценки плотности вероятности и гистограмма
3.2.4
Оценивание функции распределения
Значения выборочной функции распределения
в точках ti можно
найти по формуле:
при этом
.
Эти значения, а так же
, вычисленные по формуле (1) приведены в таблице 2.
Соответствующие графики изображены на рисунке 2.
Таблица 2
Значения F*(ti)
и
|
i
|
F*(ti)
|
|
i
|
ti
|
F*(ti)
|
|
|
1
|
310
|
0,07814
|
0,071521
|
14
|
4340
|
0,982196
|
0,979902
|
|
2
|
620
|
0,250247
|
0,229963
|
15
|
4650
|
0,987141
|
0,98498
|
|
3
|
930
|
0,40455
|
0,403405
|
16
|
4960
|
0,992087
|
0,988751
|
|
4
|
1240
|
0,559842
|
0,55504
|
17
|
5270
|
0,994065
|
0,991561
|
|
5
|
1550
|
0,673591
|
0,674527
|
18
|
5580
|
0,997033
|
0,993661
|
|
6
|
1860
|
0,743818
|
0,76384
|
19
|
5890
|
0,998022
|
0,995234
|
|
7
|
2170
|
0,820969
|
0,828864
|
20
|
6200
|
0,998022
|
0,996414
|
|
8
|
2480
|
0,863501
|
0,875674
|
21
|
6510
|
0,998022
|
0,9973
|
2790
|
0,901088
|
0,909285
|
22
|
6820
|
0,998022
|
0,997966
|
|
10
|
3100
|
0,925816
|
0,933479
|
23
|
7130
|
0,999011
|
0,998468
|
|
11
|
3410
|
0,950544
|
0,95098
|
24
|
7440
|
0,999011
|
0,998845
|
|
12
|
3720
|
0,965381
|
0,963715
|
25
|
8990
|
1
|
0,999718
|
|
13
|
4030
|
0,972305
|
0,973039
|
|
|
|
|
Рисунок 2 - оценивание функции распределения
Видно, что оценка функции распределения, полученная на основе построенной
математической модели с помощью метода моментов, весьма близка к выборочной
функции распределения.
3.2.5
Проверка гипотезы о виде закона распределения
Проверяемая гипотеза H0
о том, что функция
распределения времени безотказной работы рассматриваемой системы действительно
задается формулой (1).
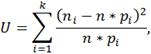
В соответствии с критерием Пирсона используем статистику
- вероятность попадания случайной величины τ в i-й интервал. Поскольку значения параметров неизвестны, вместо
функции F(t) берется её оценка (1). Кроме того, при вычислении
полагаем:
Зададим уровень значимости α=0.05 и будем искать критическое значение Uкриз условия:
Как известно, при справедливости гипотезы H0 можно считать, что статистика U распределена по закону хи-квадрат с числом степеней свободы
r=k-1-m,
где m- количество оцениваемых параметров,
то есть в нашем случае: r=25-3=22.
Поэтому в качестве Uкр
возьмем значение sr,α, определяемое условием:
где
- случайная величина, распределенная по закону хи-квадрат с
числом степеней свободы r.
Из таблицы распределения хи - квадрат имеем: Uкр = s22, 0.05=33.92444
Вычислим значение статистики U=21,79943
Поскольку полученное значение U<Uкр гипотеза H0 принимается.
Заключение
по проделанной работе
В ходе выполнения курсовой работы выполнены следующие задачи:
. На основании функциональной схемы была построена математическая модель
- функция распределения времени безотказной работы системы и его плотность
вероятности.
. С помощью метода моментов были найдены оценки параметров λ1 и λ2, которые равны
и
соответственно.
. Была построена гистограмма, график оценки плотности вероятности и
выборочная функция распределения. Мы увидели, что оценка функции распределения,
полученная на основе построенной математической модели с помощью метода
моментов, весьма близка к выборочной функции распределения.
. Была проверена гипотеза о виде закона распределения с помощью критерия
Пирсона. Суть гипотезы Н0 в том, что функция распределения времени
безотказной работы рассматриваемой системы действительно задается формулой (1).
И поскольку полученное значение у нас получилось U<Ukр (21.79943<33.92444), то гипотеза H0
принимается.