Анализ финансовых результатов деятельности предприятия
МИНИСТЕРСТВО ОБРАЗОВАНИЯ И НАУКИ РОССИЙСКОЙ ФЕДЕРАЦИИ
«Московский
государственный индустриальный университет»
Кафедра
бухгалтерского учета и аудита
Курсовая
работа
по
дисциплине «Комплексный анализ хозяйственной деятельности»
на
тему
«Анализ финансовых результатов деятельности предприятия»
Чижова Е.А.
МОСКВА 2014
Содержание
Введение
. Цели и задачи
статистического изучения финансовых результатов деятельности
. Показатели прибыли и
рентабельности
. Показатели выполнения плана
и динамики прибыли
. Факторный индексный анализ
прибыли и рентабельности
. Корреляционный анализ
влияния выпуска продукции на прибыль предприятия
Заключение
Список литературы
Введение
Организации сталкиваются с множеством ранее не
возникавших вопросов в условиях рыночной экономики и новых форм хозяйствования.
Одной из них является квалифицированный выбор партнера на внутреннем и внешнем
рынке, поскольку от этого зависит эффективность будущего сотрудничества.
Основным источником информации об устойчивости финансового положения партнера
является бухгалтерская отчетность. В рыночной экономике отчетность организации
базируется на обобщении данных бухгалтерского учета и является информационным
звеном, которое связывает организацию с обществом и ее партнерами пользователями
информации о деятельности организации. По данным отчетности проводится анализ
результатов хозяйственной деятельности, и, опираясь на полученные результаты,
делается вывод об эффективности дальнейшего сотрудничества с этим партнером.
Финансовые результаты деятельности предприятия
характеризуются суммой полученной прибыли и уровнем рентабельности. Прибыль
предприятия получают в основном от реализации продукции, а также от других
видов деятельности, например, от сдачи основных фондов в аренду, коммерческой
деятельности на валютных и финансовых биржах.
Прибыль представляет собой разность между
товарной продукцией и себестоимостью продукции. Именно после продажи продукции
чистый доход принимает форму прибыли. Количественно она представляет собой
разность между чистой выручкой и полной себестоимостью реализованной продукции.
Чем больше предприятие реализует рентабельной продукции, тем больше будет
прибыль, при этом финансовое состояние предприятия тоже улучшается.
Уровень рентабельности, объем реализации и величина
прибыли зависят от производственной, снабженческой, маркетинговой и финансовой
деятельности предприятия, другими словами, данные показатели характеризуют все
стороны хозяйствования.
Данная тема актуальна во все времена и именно
поэтому я ее выбрала.
1. Цели и задачи статистического изучения
финансовых результатов деятельности
Сумма полученной прибыли и уровень
рентабельности влияют на финансовые результаты деятельности организации.
Прибыль организации получают в основном от реализации товаров, работ и услуг.
Финансовый анализ представляет собой получение
небольшого числа ключевых параметров, дающих объективную и точную картину
финансового состояния предприятия, его прибылей и убытков, изменений в
структуре активов и пассивов, в расчетах с дебиторами и кредиторами.
Главной целью любого вида финансового анализа
является оценка и идентификация внутренних проблем компании для подготовки,
обоснования и принятия различных управленческих решений, в том числе в области
развития, выхода из кризиса, перехода к процедурам банкротства, покупки-продажи
бизнеса или пакета акций, привлечения инвестиций.
Цели анализа достигаются в результате решения
определенного взаимосвязанного набора аналитических задач. Аналитическая задача
- конкретизация целей анализа с учетом организационных, технических,
информационных и методических возможностей проведения анализа.
Раскрыть и понять основные причины и факторы,
оказавшие определяющее влияние на финансово-хозяйственное состояние предприятия
в данный момент, - вот задача анализа.
Выделяют
несколько основных задач анализа финансовых результатов деятельности:. Определение
влияния объективных и субъективных факторов на объем реализации услуг связи и
финансовые результаты;. Оценка работы организации по использованию возможностей
увеличения доходов, прибыли и рентабельности;. Систематический контроль за
выполнением планов реализации услуг связи и получением прибыли;. Разработка
мероприятий по использованию выявленных резервов;. Выявление резервов
увеличения доходов организации и суммы прибыли.
В
анализе используются следующие показатели прибыли: балансовая прибыль,
внереализационная прибыль, чистая прибыль, налогооблагаемая прибыль и прибыль
от реализации работ и услуг.
Показатели
финансовых результатов характеризуют прибыльность или убыточность выпуска от
реализации продукции.
.
Показатели прибыли и рентабельности
Обобщающими
финансовыми показателями хозяйственной деятельности предприятия являются
показатели прибыли и рентабельности.
Получение
и увеличение прибыли - важнейшее условие нормальной деятельности промышленного
предприятия.
В
целях анализа на предприятии рассчитывают два показателя прибыли:
прибыль
от реализации товарной продукции (P);
прибыль
до налогообложения (Pнал).
Прибыль
от реализации товарной продукции составляет основную часть балансовой прибыли
предприятия. Прибыль от реализации товарной продукции определяется как разница
между выручкой от реализации товарной продукции и себестоимостью реализованной
товарной продукции.
Прибыль
от реализации товарной продукции характеризует результат производственной
деятельности предприятия.
Прибыль
до налогообложения предприятия образуется:
от
реализации товарной продукции;
от
прочей реализации: основных средств, оборотных средств, других материальных
ценностей;
от
внереализационных операций - штрафов, пени, неустоек, курсовой разницы по
валютным счетам и по операциям с иностранной валютой; доходов (дивидендов,
процентов) по акциям.
Прибыль
до налогообложения характеризует результат всей хозяйственной деятельности
предприятия.
Прибыль
измеряется в стоимостном выражении.
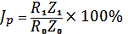
В
целях анализа на предприятии рассчитывают два показателя рентабельности:
рентабельность
продукции (R);
рентабельность
предприятия (Rпред).
Рентабельность
продукции определяют по формуле:
Стабильность
предприятия определяют по формуле:
Следует
отличать показатели прибыли от показателей рентабельности. Прибыль
характеризует экономический эффект деятельности предприятия. Рентабельность
характеризует уровень экономической эффективности деятельности предприятия, то
есть отвечает на вопрос, ценой каких затрат достигнут экономический эффект.
.
Показатели выполнения плана и динамики прибыли
Данное
изучение проводится с помощью относительных величин динамики, выполнения плана
и планового задания.
Относительные
величины выполнения плана - показатели, характеризующие степень выполнения
планового задания.
Таблица
1. Прибыль до налогообложения, у.е.
|
№
предприятия
|
Базисный
период
|
Отчетный
период
|
Темп
роста, %
|
Темп
прироста, %
|
Выполнение
плана, %
|
|
|
План
|
Факт
|
|
|
|
|
2
|
2805
|
2510
|
2452
|
87,4
|
12,6
|
97,7
|
|
7
|
11183
|
13004
|
13284
|
118,8
|
18,8
|
102,2
|
|
11
|
1209,5
|
1198
|
1274
|
105,3
|
5,3
|
106,3
|
|
12
|
1402,5
|
1298
|
1226
|
87,4
|
12,6
|
94,5
|
|
17
|
5591,5
|
6012
|
6642
|
118,8
|
18,8
|
110,5
|
На предприятиях №7, №11 и №17 наблюдается рост
прибыли до налогообложения на 18,8%, 5,3% и 18,8% соответственно. Наибольший
рост наблюдается на предприятиях №7, №17- на 18,8%, а наименьший - на
предприятии №11- на 5,3%. В то же время на предприятиях №2 и №12 наблюдается
снижение прибыли - на 12,6%.
На основе полученных результатов так же можно
сказать, что на предприятиях №7, №11 и №17 наблюдается перевыполнение плана по
величине прибыли до налогообложения. Наибольший процент перевыполнения плана на
предприятиях №17- на 10,5%. В то же время на предприятиях №2 и №12 наблюдается
невыполнение плана на 2,3% и на 5,5% соответственно.
Все вышеперечисленные выводы о темпах роста
прибыли до налогообложения и выполнения плана подтверждают рис. 1 и рис. 2:
Рисунок 1. Темпы роста прибыли до
налогообложения.
Рисунок 2. Выполнение плана до налогообложения.
. Факторный индексный анализ прибыли и
рентабельности
Для факторного индексного анализа сначала
необходимо рассчитать прибыль от реализации товарной продукции и уровень
рентабельности за отчетный и базисный периоды:

; 

; 
Таблица 2. Себестоимость товарной продукции в
ценах соответствующих лет, у.е.
|
Производственные
расходы
|
№2
|
№7
|
№11
|
№12
|
|
Баз.
год
|
Отч.
год
|
Баз.
год
|
Отч.
год
|
Баз.
Год
|
Отч.
год
|
Баз.
Год
|
Отч.
год
|
|
Сырье
и основные материалы
|
4589
|
4730
|
32214
|
33401
|
416,5
|
473
|
2294,5
|
2365
|
|
Покупные
изделия и полуфабрикаты
|
9143
|
7873
|
19526
|
19077
|
2862,5
|
2901
|
4571,5
|
3936,5
|
|
Вспомогат.
матер-лы
|
651
|
603
|
0
|
0
|
480,5
|
585
|
325,5
|
301,5
|
|
Топливо
|
298
|
330
|
801
|
804
|
56,5
|
63
|
149
|
165
|
|
Энергия
|
898
|
957
|
801
|
1377
|
208,5
|
198
|
449
|
478,5
|
|
З/п
и отчисления на соц.страх.
|
6046
|
5866
|
17239
|
18130
|
1280,5
|
1261
|
3023
|
2933
|
|
Амортизация
осн. фондов
|
1641
|
1749
|
3776
|
4421
|
575
|
600,5
|
820,5
|
874,5
|
|
Прочие
расходы
|
741
|
779
|
4339
|
4398
|
125
|
134
|
370,5
|
389,5
|
|
Итого:
|
24007
|
22887
|
78696
|
81608
|
6005
|
6215,5
|
12003,5
|
11443,5
|
Таблица 3. Исходные данные для расчета прибыли
от реализации товарной продукции и уровня рентабельности, у.е.
|
Предприятие
|
Себестоимость
товарной продукции (Z)
|
Выручка
от реализации товарной продукции (C)
|
Прибыль
от реализации товарной продукции (P)
|
|
Пред.
год
|
Отч.
год
|
Пред.
год
|
Отч.
год
|
Пред.
год
|
Отч.
год
|
|
№2
|
24007
|
22887
|
25546
|
23888
|
1539
|
1001
|
|
№7
|
78696
|
81608
|
83193
|
88324
|
5097
|
6716
|
|
№11
|
6005
|
6215,5
|
6787
|
7039
|
782
|
823,5
|
|
№12
|
12003,5
|
11443,5
|
12773
|
11944
|
769,5
|
500,5
|
|
№17
|
39348
|
40804
|
41596
|
44162
|
2248
|
3358
|
Показатели прибыли от реализации товарной
продукции на двух предприятиях соответственно за предыдущий и отчетный года
составили:
Предприятие №2:

Результаты расчетов показывают, что
прибыль на предприятии №2 снизилась в отчетном году по сравнению с базисным на
538 у.е.
Предприятие №7:
Результаты расчетов показывают, что
прибыль на предприятии №7 увеличилась в отчетном году по сравнению с базисным
на 1619 у.е.
Предприятие №11:
Результаты расчетов показывают, что
прибыль на предприятии №11 увеличилась в отчетном году по сравнению с базисным
на 41,5 у.е.
Предприятие №12:
Результаты расчетов показывают, что прибыль на
предприятии №12 снизилась в отчетном году по сравнению с базисным на 269 у.е.
Предприятие №17:
Результаты расчетов показывают, что прибыль на
предприятии №17 увеличилась в отчетном году по сравнению с базисным на 1110
у.е.
Построим гистограмму, отображающую изменение
прибыли по данным предприятиям:
Рисунок 3. Изменение прибыли в предыдущем и
отчетном периодах.
Из рисунка 3 видно, что на предприятиях под №7,
№11 и №17 увеличилась прибыль от реализации продукции по сравнению с предыдущим
годом, а на предприятиях №2 и №12 наоборот, уменьшилась.
Показатели рентабельности продукции
соответственно за предыдущий год и отчетный составили:
Предприятие №2:
Предприятие №7:
Предприятие №11:
Предприятие №12:
Предприятие №17:
Изобразим полученные значения по рентабельности
продукции, на следующей гистограмме:
Рисунок 4. Изменение рентабельности производства
продукции в отчетном и базисном годах.
Из рисунка 4 мы видим, что рентабельность
продукции на предприятиях №2 и №12 снизилась на 2,0%, а на предприятиях №7, №11
и №17 увеличилась на 1,7%, 0,2% и 2,5% соответственно.
Так же из рисунка 3 и рисунка 4 видно, что на
предприятиях №7, №11 и №17 одновременно с повышением прибыли происходит
повышение рентабельности, на предприятиях №2 и №12 наоборот - происходит
снижение этих показателей.
Используя индексный метод анализа, можно
определить изменение прибыли от реализации товарной продукции в отчетном году
по сравнению с предыдущим годом за счет двух факторов:
) себестоимости товарной продукции;
) уровня рентабельности продукции.
Общее изменение прибыли в отчетном году по
сравнению с предыдущим годом за счет двух факторов составило:
То есть в отчетном году по сравнению с
предыдущим годом прибыль на предприятии №2 уменьшилась за счет двух факторов на
34,5% или на 529,4 у.е.
То есть в отчетном году по сравнению с
предыдущим годом прибыль на предприятии №7 увеличилась за счет двух факторов на
30,8% или 1576,7 у.е.
То есть в отчетном году по сравнению с
предыдущим годом прибыль на предприятии №11 увеличилась за счет двух факторов
на 5,1% или на 39,7 у.е.
То есть в отчетном году по сравнению с
предыдущим годом прибыль на предприятии №12 уменьшилась за счет двух факторов
на 34,5% или на 264,7 у.е.
То есть в отчетном году по сравнению с
предыдущим годом прибыль на предприятии №17 увеличилась за счет двух факторов
на 49,2% или на 1103,1 у.е.
Изменение прибыли в отчетном году по сравнению с
предыдущим годом за счет фактора себестоимости товарной продукции составило:
То есть в отчетном году по сравнению с
предыдущим годом за счет снижения себестоимости товарной продукции на 4,7%
прибыль на предприятии №2 снизилась на 71,6 у.е.
То есть в отчетном году по сравнению с
предыдущим годом за счет увеличения себестоимости товарной продукции на 3,7%
прибыль на предприятии №7 увеличилась на 189,3 у.е.
То есть в отчетном году по сравнению с
предыдущим годом за счет увеличения себестоимости товарной продукции на 3,5%
прибыль на предприятии №11 увеличилась 27,3 на у.е.
То есть в отчетном году по сравнению с
предыдущим годом за счет снижения себестоимости товарной продукции на 4,7%
прибыль на предприятии №12 снизилась на 35,8 у.е.

;
То есть в отчетном году по сравнению
с предыдущим годом за счет увеличения себестоимости товарной продукции на 3,7%
прибыль на предприятии №17 увеличилась на 83 у.е.
Изменение прибыли в отчетном году по сравнению с
предыдущим годом за счет фактора уровня рентабельности составило:
То есть в отчетном году по сравнению с
предыдущим годом за счет снижения
рентабельности продукции на 31,3% прибыль на
предприятии №2 снизилась на 457,8 у.е.
То есть в отчетном году по сравнению с
предыдущим годом за счет повышения рентабельности продукции на 26,2% прибыль на
предприятии №7 увеличилась на 1387,4 у.е.

То есть в отчетном году по сравнению с
предыдущим годом за счет повышения рентабельности продукции на 1,5% прибыль на
предприятии №11 увеличилась на 12,4 у.е.
То есть в отчетном году по сравнению с
предыдущим годом за счет снижения рентабельности продукции на 31,3% прибыль на
предприятии №12 снизилась на 228,9 у.е.
То есть в отчетном году по сравнению с
предыдущим годом за счет повышения рентабельности продукции на 43,9% прибыль на
предприятии №17 увеличилась на 1020,1 у.е.
В подтверждение правильности выводов имеем
следующие тождества:
Предприятие №2: 65,5%=0,953
0,687
65,5%=65,5%.
Предприятие №7: 130,8%=1,037
1,262
130,8%=130,8%.
Предприятие №11: 105,1%=1,035
1,015
105,1%=105,5%.
Предприятие №12: 65,5%=0,953
0,687
65,5%=65,5%.
Предприятие №17: 149,2%=1,037
1,439
Предприятие №2:
-529,4=-71,6+(-457,8); -529,4=-529,4.
Предприятие №7: 1576,7=189,3+1387,4;
1576,7=1576,7.
Предприятие №11: 39,7=27,3+12,4; 39,7=39,7.
Предприятие №12: -264,7=-35,8+(-228,9);
-264,7=-264,7.
Предприятие №17: 1103,1=83+1020,1;
1103,1=1103,1.
Таким образом в отчетном году по сравнению с
базовым на предприятиях №7, №11 и №17 прибыль от реализации продукции
повысилась за счет рентабельности. В то же время на предприятиях №2 и №12
наоборот - прибыль уменьшилась за счет снижения уровня рентабельности.
В статистическом анализе на промышленном
предприятии представляет интерес изучение взаимосвязи рентабельности
предприятия и ряда показателей-сомножителей:
Таблица 4. Исходные данные для расчета
рентабельности предприятия.
|
Предприятие
|
Прибыль
до налогообложения, у.е.
|
Средняя
годовая стоимость основных фондов и нормируемых оборотных средств, у.е.
|
Рентабельность
предприятия, %
|
|
Пред.
год
|
Отчет.
Год
|
Пред.
год
|
Отчет.
год
|
Пред.
год
|
Отчет.
год
|
|
№2
|
2805
|
2452
|
19403
|
20613
|
14,5
|
11,9
|
|
№7
|
11183
|
13284
|
47647
|
54253
|
23,5
|
24,5
|
|
№11
|
1209,5
|
1274
|
5673
|
5921,5
|
21,3
|
21,5
|
|
№12
|
1402,5
|
1226
|
9701,5
|
10306,5
|
14,5
|
11,9
|
|
№17
|
5591,5
|
6642
|
23823,5
|
27126,5
|
23,5
|
24,5
|
Коэффициенты прибыли до налогообложения
соответственно за предыдущий год и отчетный составили:
Таким образом, рассмотрим на примере трех
предприятий взаимосвязь приведенных показателей. Изменение рентабельности
предприятия соответственно составит за счет:) Изменения коэффициента
прибыли до налогообложения:
На предприятиях №7, №11 и №17 произошел рост
уровня рентабельности (преимущественно за счет фактора рентабельности
продукции) на 3,0%, на 0,1% и на 1,0% соответственно. На предприятиях №2 и №12
наоборот наблюдается снижение уровня рентабельности на 2,5% за счет того же
фактора.
. Корреляционный анализ влияния выпуска
продукции на прибыль предприятия
Корреляционный метод анализа проводят в три
этапа. На первом этапе осуществляется выбор формы связи между факторным и
результативным
признаками. На втором этапе осуществляется
решение аналитического уравнения связи путем нахождения его параметров. На
третьем этапе определяется теснота связи между изучаемыми экономическими
явлениями.
По данным таблицы 2, таблицы 3 и таблицы 4
рассчитаем рентабельность предприятия для корреляционного анализа.
Таблица 5. Данные для корреляционного анализа
|
№
предприятия
|
2
|
7
|
11
|
12
|
13
|
14
|
15
|
16
|
17
|
18
|
|
Выпуск
продукции, тыс.у.е.(х)
|
23,1
|
88,7
|
7,2
|
11,6
|
43,1
|
51,1
|
61,1
|
44,7
|
44,4
|
48,5
|
|
Прибыль
от реализации продукции, тыс.у.е.(у)
|
1,0
|
6,7
|
0,8
|
0,5
|
4,1
|
6,2
|
11,2
|
4,6
|
3,4
|
2,2
|
На основе данных таблицы 5 изобразим эмпирическую
линию регрессии (рисунок 5). Определим форму зависимости прибыли предприятия от
выпуска продукции.
Судя по распределению, зависимость прямолинейная
и подчиняется следующему уравнению:
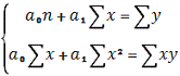
Параметры данного уравнения связи находятся
путем решения следующей системы уравнений:
Рисунок 5. Зависимость прибыли от выпуска
продукции.
Для решения системы построим вспомогательную
таблицу 6.
Таблица 6. Таблица для расчета теоретической
линии регрессии
|
№
предприятия
|
Выпуск
продукции, тыс. у.е.(х)
|
Прибыль
от реализации продукции, тыс. у.е.(у)
|
xу
|
Х2
|
У2
|
|
|
11
|
7,2
|
0,8
|
5,76
|
51,84
|
0,64
|
0,55
|
|
12
|
11,6
|
0,5
|
5,8
|
134,56
|
0,25
|
0,99
|
|
2
|
23,1
|
1,0
|
23,1
|
533,61
|
1,0
|
2,14
|
|
13
|
43,1
|
4,1
|
176,71
|
1857,61
|
16,81
|
4,14
|
|
17
|
44,4
|
3,4
|
150,96
|
1971,36
|
11,56
|
4,27
|
|
16
|
44,7
|
4,6
|
205,62
|
1998,09
|
21,16
|
4,3
|
|
18
|
48,5
|
2,2
|
106,7
|
2352,25
|
4,84
|
4,68
|
|
14
|
51,1
|
6,2
|
316,82
|
2611,21
|
38,44
|
4,94
|
|
15
|
61,1
|
11,2
|
684,32
|
3733,21
|
125,44
|
5,93
|
|
7
|
88,7
|
6,7
|
594,29
|
7867,69
|
44,89
|
8,7
|
|
Итого
|
423,5
|
40,7
|
2270,08
|
23111,43
|
265,03
|
40,7
|
На основе данных таблицы 6 имеем систему
уравнений в следующем виде:




.
Следовательно, найденное
аналитическое уравнение связи имеет вид:

.
Подставим соответствующие значения х
в уравнение и найдем новые значения 
(Таблица 6). Изобразим по найденным
значениям 
теоретическую линию регрессии
(Рисунок 5).
Так как можно сказать, что 
то можно считать, что построенное
уравнение корреляции является искомым, и в праве сделать следующий вывод: с
увеличением объема выпуска продукции на 1 тыс. у.е. величина прибыли в среднем
увеличивается на 0,1.
Экономическая интерпретация
аналитического уравнения связи может осуществляться с помощью коэффициента
эластичности:
Таким образом, увеличение прогулов
на 1% приводит к увеличению прибыли на 1,04%.
Теперь рассчитаем тесноту связи
между факторным и результативным признаками. Его находят с помощью линейного
коэффициента корреляции:
Так как значение 0,77 близко к концу
интервала, то можно сказать, что связь между выпуском товарной продукции и
величиной прибыли высокая, т.е. весьма значительная.
Для установления размера вариации
прибыли от выпуска продукции рассчитаем коэффициент детерминации:
финансовый
рентабельность прибыль статистический
Следовательно, на 74,0% вариация
прибыли объясняется выпуском продукции.
Заключение
Проведя анализ финансовых результатов
деятельности предприятий № 2, 7, 11, 12, 17 за отчетный и базисный годы, можно
сделать следующие выводы:
Предприятия №7, №11 и №17 работали достаточно
эффективно, что подтверждает:
) Рост прибыли до налогообложения на
18,8%, 5,3% и 18,8% соответственно;
) Рост прибыли от реализации товарной
продукции на 1619 у.е., 41,5 у.е. и 1110 у.е. соответственно;
) Рост рентабельности продукции на 1,7%,
0,2% и 2,5% соответственно;
) Рост рентабельности предприятия на
1,0%, 0,2% и 1,0% соответственно;
На предприятиях №2 и №12 происходит снижение
почти всех этих показателей.
Корреляционный анализ показал, что:
o с увеличением объема выпуска
продукции на 1 тыс. у.е. величина прибыли в среднем увеличивается на 0,1;
o увеличение выпуска продукции на 1%
приводит к увеличению прибыли на 0,9%;
o следовательно, вариация прибыли
объясняется выпуском продукции 59,3%.
Из всего вышеперечисленного следует, что
предприятия №7, №11 и №17 успешно осуществляли свою деятельность и в полной
мере использовали свои резервы. Предприятия №2 и №12 наоборот потерпели убытки,
им необходимо пересмотреть свою стратегию и направить имеющиеся резервы на
повышение эффективности производства.
Список литературы
1. Горемыкина Т.К. «Общая
теория статистики». Учебное пособие. - М.: МГИУ, 2007 г.
. Горемыкина Т.К. «Статистика
промышленности». Учебное пособие. - М.: МГИУ, 2007 г.
. Горемыкина Т.К. «Методическое
указание по выполнению курсовой работы». - М.: МГИУ, 2006 г.
. Мелкумов Я.С. «Социально-экономическая
статистика»: Учеб. пособие. - М.:ИНФА-М,2008.