Екстремум функцій двох змінних
КУРСОВА РОБОТА
Екстремум функцій
двох змінних
Вступ
В природі й техніці трапляються випадки,коли
явища і процеси описуються більше ніж двома величинами. Наприклад, прибуток
підприємства залежить не тільки від кількості виробленої продукції, а й від її
собівартості, від ринкового попиту і, як наслідок, ціни продажу, від курсу
валют і ще від багатьох факторів. І не завжди можна розкласти розв’язання таких
задач на одновимірні складові. Для вивчення такого роду залежностей і вводиться
поняття функції декількох змінних.
Поняття функції кількох змінних - важливий розділ
вищої математики, її невідривна частина.
В математиці вивчення
задач на знаходження максимуму і мінімуму почалося дуже давно. Але тільки лише
в епоху формування математичного аналізу були створені перші методи
розв’язування й дослідження задач на екстремум.
Об’єкт дослідження - екстремум функцій
двох змінних.
Предмет дослідження - задачі на
знаходження екстремуму функцій двох змінних.
Мета - ввести
означення екстремуму функцій двох змінних,основні поняття пов’язані з ним та
розв’язування прикладів.
Тема «Екстремум функцій двох змінних» представляє
для мене величезний навчальний та практичний інтерес.
1. Функція двох змінних
Функції,в яких незалежних змінних є відповідно
дві,три,…,n називають функціями кількох змінних. Розглянемо найпростіший
випадок,коли незалежних змінних є дві,тобто функцію двох змінних.
Але перш ніж дати означення функції кількох
змінних, звернемо увагу на поняття багатовімірного простору.
Означення 1.1.вимірним вектором називається
впорядкований набір з n дійсних чисел
Числа
називаються координатами
n -вимірного вектора.
Означення 1.2.-вимірним векторним
простором
називається множина всіх n-вимірних векторів.
Наприклад,
множина всіх двовимірних
векторів на площині, а
- множина векторів тривимірного простору.
Будь-який вектор можна розглядати як
радіус-вектор свого кінця, і таким чином множина векторів ототожнюється з
множиною точок простору.
Таким чином, простір
можна представляти і як
множину точок, кожна з яких має n координат.
Наприклад, точка
- вважається початком
координат. Якщо церез цю точку провести n взаємно попарно перпендикулярних
вісей (в n -вимірному просторі це можливо) отримаємо звичну декартову систему
координат, правда в просторах вимірності більше трьох, така система не має
геометричного змісту в звичайному графічному сенсі.
Ми почнемо з функцій двох незалежних змінних,
тобто функцій, визначених на деякій підмножині D площини
з введеною декартовою
системою координат XOY.
Означення 1.3.
Якщо кожнiй точці P(x;y) є D за певним законом
(f) поставлене у відповідність єдине дійсне число z є R, кажуть, що на D задана
функція z=f(x;y) двох змінних з областю визначення D.
Наприклад функція z =
кожній точці (x;y)
площини XOY ставить у відповідність певне додатнє число z, що обчислюється за
формулою:
=
.
Графік функції двох змінних
Відмітимо, що наведена функція має прозорий
геометричний образ - параболоїд обертання, отриманий обертанням параболи
навколо вісі OZ. Таким чином, параболоїд виступає графіком функції z =
(Рис.1).
Узагальнюючи, приходимо до означення.
Означення 1.4.
Графіком функції двох змінних z=f(x;y)
називається множина точок M(x;y;z) тривимірного простору OXYZ, координати яких
задовольняють рівнянню z=f(x;y).
Рис.1
Для функції двох змінних графіком буде якась
поверхня в тримірному просторі.
Приклад. Функція z=
визначена тільки для тих
точок площини XOY, для яких виконується нерівність
≥0,
або
, а це - одиничний круг з центром в початку
координат.
Отже, областю визначення функції z=
є круг
, а графіком буде верхня
напівсфера сфери
.(Рис.2).
Рис.2
Геометричний зміст екстремуму функції двох
змінних
Рис.3
Якщо функція z=f(x;y) диференційована у точці
і має в цій точці
екстремум(рис.3),то дотична площина до поверхні:
z-
=
(y-
у стаціонарній точці
(
набирає такого вигляду
z=
. Це означає, що дотична
площина паралельна площині XOY незалежних змінних x і y. Якщо
є точка екстремуму, то
дотична площина у деякому околі точки дотику не перетинає поверхню, а лежить
над нею (у випадку максимуму), або під нею (к випадку мінімуму). Якщо ж
стаціонарна точка
не є точкою екстремуму, то дотична площина в
околі точки дотику може перетинати поверхню.
Наприклад.
Рис.4
Дотична площина до гіперболічного параболоїда z xy
(рис.4) у точці дотику 0,0співпадає з площиною XOY, однак
поверхня лежить по різні сторони від дотичної площини.
Рис.5
Відмітимо також, що точками екстремуму
неперервної функції можуть бути точки, в яких функція не диференційовна. Так,
наприклад, функція z =
(конус) (рис.5) має
мінімум у точці O0,0, однак вона недиференційовна у цій точці.
Означення 1.5.
Стаціонарні точки функції y =f(M) і точки, в яких
функція недиференційовна, називається, критичними точками.
2. Поняття екстремуму функцій двох змінних
Нехай задана функція двох змінних z=f(x;y) (2.1)
визначена в деякому околі U(
точки
.
Означення 2.1.
Точка
називається точкою
максимуму (мінімуму) функції (1.1), якщо існує д-окіл цієї точки U(
⊂
такий, що для довільної відмінної від
точки M(x;y)є
⊂
виконується відповідна нерівність:(
- точка максимуму. (2.2)(
- точка мінімуму. (2.3)
Означення 2.2.
Значення функції у точках
максимуму та мінімуму називають відповідно максимумом та мінімумом функції.
Максимум і мінімум функції називають екстремумами функції.
Зауваження.
Нехай M(
.Тоді
(
, якщо
- точка максимуму
функції,
(
якщо
-точка мінімуму
функції(див.рис.6,7).
Рис.6.
Необхідна умова існування екстремуму
Теорема 2.1. (необхідна умова
екстремуму). Нехай функція z=f(x;y) має в точці
екстремум. Тоді, в цій
точці частинні похідні
або дорівнюють нулю, або хоча б одна з них не
існує.
Доведення. Зафіксуємо у функції z=f(x;y) змінну
у, поклавши у =
. Тоді
розглядувана функція перетвориться на функцію однієї змінної х:
=f (x;
)=
.
Для функції
точка х =
є точкою екстремуму.
Крім цього, функція
, згідно з умовою цієї теореми, у точці х =
має похідну:
(
=
.
Використовуючи необхідну умову існування
екстремуму функції однієї змінної, робимо висновок,що
(
= 0.
Аналогічно доводиться,що й
(
)=0.
Теорему доведено.
Зауваження. Умова (2.4) не є
достатньою для існування в точці
екстремуму функції.
Означення 2.3.
Точки, в яких існують
неперервні частинні похідні функції, що задовольняють умову (2.4), називають
стаціонарними точками.
Отже, координати стаціонарних точок шукають,
розв’язуючи систему двох рівнянь (2.4).
Приклад 2. Знайти стаціонарні точки
функції z=
Точка
- стаціонарна точка.
Достатня умова існування екстремуму
При дослідженні функцій на екстремум, після
знаходження стаціонарних точок функції, залишається з'ясувати, чи дійсно є
екстремуми в цих точках.
Відповідь на це питання дають достатні умови
існування екстремуму. Саме достатні умови повинні закінчуватись твердженням
типу "тоді в цій точці існує екстремум".
Ми розглянемо випадок функції двох змінних
z=f(x;y), яка має в околі стаціонарної точки
другі неперервні
похідні, значення яких в цій точці умовно позначимо літерами:
=
=
=
.
Теорема2.2. (достатня умова екстремуму)
Нехай
- стаціонарна точка
функції z=f(x;y), що має другі неперервні частинні похідні в околі цієї точки.
Тоді, якщо:
1)
і
, тоді
точка максимуму функції
;
)
і
, тоді
точка мінімуму функції
;
)
, тоді в точці
немає екстремуму.
Зауважимо, що теорема нічого не каже про випадок, коли .
Справа в тому, що в цьому випадку умов теореми недостатньо, потрібні додаткові
дослідження.
Доведення. Оскільки функція f(x;y) в околі стаціонарної
точки (
має неперервні похідні до другого порядку
включно, то її
можна розвинути за формулою Тейлора (2.5):
f(x;y)=f(
)+
(
∆х+
(
)∆у+
(
(
∆х,
+
∆y)
+2
(
∆х,
+
∆y) ∆х ∆у +
(
∆х,
+
∆y) ∆
)
де ∆х= х-
∆у= у-
, 0 < и > 1.
Оскільки частинні похідні другого порядку в
д-околі є неперервними функціями, то при малих за модулем значеннях ∆х і ∆у
ці похідні набирають вигляду:
(
∆х,
+
∆y)= А+б;
(
∆х,
+
∆y)= В+в; (2.6)
(
∆х,
+
∆y)= C+г,
де б,в,г - функції від ∆х і ∆y
такі,що
=
= 0, (2.7)
а числа А,В,С визначаються рівностями:
А=
(
,
), В =
(
,
), С=
(
,
).
Тоді враховуючи,що (
,
) - стаціонарна точка
(похідні
і
у цій точці дорівнюють
нулю),рівність (1) можна записати так:
∆ f(
)=
А
+2В∆х ∆у+ С∆
+ б∆
+2 в∆х ∆у+г∆
), (2.8)
де ∆ f(
)= f(x;y) - f(
) (2.9)
повний приріст функції z=f(x;y) у точці
(
).
Введемо полярні координати с і ц. Тоді ∆х і
∆у виразяться через с і ц такими співвідношеннями:
∆х= с
; ∆у=с
; с=
. (2.10)
Приріст:
∆f(
)=
(А
+2В
+С
+б
+2в
+ +г
). (2.11)
Розглянемо такі випадки:. ∆>0.
Нехай виконується умова ∆=
. Тоді число А≠0 і отже, суму перших трьох
доданків у співвідношенні (2.11) можна зобразити так:
А
+2В
+С
=
((А
+В
+(АС-В²)
Вираз у зовнішніх дужках за будь-яких значень
, 0
2Р,є строго додатним. Отже,функція, що є лівою частиною рівності
(2.12), набуває значень,які за знаком збігаються зі знаком числа А для всіх
є
. Оскільки,
є функцією, неперервною на відрізку
,то вона на цьому відрізку набуває
найменшого додатного значення m>0,тобто
≥ m >0. (2.13)
Розглянемо
+2
+
.
Вираз у правій частині цієї нерівності за формулами (2.7)
при
і
прямує до нуля. Отже, при малих значеннях
і
значення виразу і правій частині рівності (2.11) збігаються за
знаком зі знаком числа А.
Якщо А >0,то
∆f(
)>0,
або
(x;y) >f(
). (2.14)
Якщо А<0,то
(x;y) <f(
). (2.15)
Таким чином,якщо А >0, то в стаціонарній точці
(
) функція z=f(x;y) має
мінімум.
Якщо А<0, то функція в стаціонарній точці (
) має максимум.. ∆<0.
Якщо число А≠0,то виконується
рівність(2.12). При ц=
=0 вираз у дужках співвідношення
(2.12)додатний,він дорівнює
.
Якщо ц=
, де
- один з коренів рівняння
А
+В
=0,
≠0,
то вираз в дужках співвідношення(2.12) від’ємний,
він дорівнює ∆
.
При досить малих значеннях
і
сума останніх трьох
доданків у рівності (2.11) як при ц=
, так і при ц=
є досить малою.
Отже,приріст ∆f(
) на променях ц=
і ц=
(
) не є точкою екстремуму.
Якщо число А=0,то
=
+
=
В
+С
(2.16)
Оскільки ∆<0,то В≠0, а отже,кут
можна визначити так, що
<2. Тоді при ц=
і ц=
вираз (2.16) матиме
значення, протилежні за знаком.
Таким чином, приріст ∆f(
) на променях ц=
і ц=
матиме значення
протилежних знаків. Точка (
) не є екстремальною.
Теорему доведено.
Алгоритм дослідження функції z=f(x;y) на
екстремум:
1. Знайти перші частинні похідні
та
.
. Знайти стаціонарні точки, тобто точки, в яких
,
.
. Знайти частинні похідні другого порядку
,
,
.
. Обчислити значення частинних похідних другого порядку в
стаціонарних точках.
. Для кожної стаціонарної точки знайти
і зробити висновки на базі теореми 2.2.
Приклад 3. Розглянемо функцію
.
. Знайдемо
,
.
. Необхідна умова існування екстремуму полягає в тому, що
. Розв’язком цієї системи є точка з
координатами
,
. Таким чином, у точці (1; 2) функція може мати екстремум.
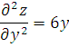
. Знайдемо похідні другого порядку
,
,
, звідки дістаємо, що
.
Приклад 4. Точка О(0;0) є точкою локального
максимуму функції z=
. В цій точці дана функція досягає свого
максимуму
(див. рис. 8). Для функції z=
(рис.9) точка О(0;0) є точкою локального
мінімуму. Локальний мінімум у цій точці дорівнює
.
Функція декількох змінних, зрештою, як і функція
однієї змінної, може мати декілька або безліч локальних екстремумів, а може не
мати жодного.
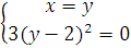
Приклад 5. Дослідити на екстремум
функцію z=
.
Для знаходження стаціонарних точок скористаемось
необхідною умовою існування екстремуму. Для цього обчислимо і прирівняємо до
нуля частинні похідні.
Виразимо з першого рівняння y і підставимо в
друге.
=
(
-8)=0
Маємо два корені
. Знаходимо відповідні
y-ки:
=0,
.
Отже, маємо дві стаціонарні точки
i
в кожній з яких може
бути екстремум.
Продовжимо дослідження за допомогою достатніх
умов екстремуму, для чого обчислимо частинні похідні другого порядку.
Тоді ∆=AC-
=36xy-36=36(xy-1).
Підставимо в отриманий вираз координати критичних
точок.
Отже, в точці
екстремума немає
А от в точці
екстремум є, причому
мінімум, оскільки A=6·2=12>0
Для завершення залишилось обчислити значення
функції в точці мінімуму
Приклад 6. Знайти точки екстремуму
та побудувати графік функції=2
Визначимо стаціонарні точки: Точка
- стаціонарна.
(
)=4
(
)= -24 < 0.
Точки екстремуму немає
Отже, в точці
екстремуму немає. Дійсно, якщо розглянути
функцію z як функцію лише змінної x(y зафіксувати), то в початку координат є
мінімум за x. Якщо ж розглядати z як функцію від y (x зафіксувати),то в точці
O(0;0) функція досягає свого максимуму (рис. 10).
Приклад 7.
z
+
Із системи рівнянь маємо,що точка(-2;-2) є
стаціонарною. Перевіримо достатні умови екстремуму в цій точці:
=2;
2+6(y+2);=2 B= - 2 C=2;
AC-
=0;
В цьому випадку для з’ясування питання про
екстремум функції необхідно дослідження продовжити. Оскільки F(-2;-2)=0, тоді достатньо дослідити знак функції в деякому околі точки
(-2;-2).
Дослідимо знак функції вздовж якої-небудь
прямої,яка проходить через точку (-2;-2). Оскільки у
виразі функції є доданок
, то можемо взяти пряму y=x так як в ній один
доданок дорівнює нулю і знак функції залежить тільки від знака другого доданка
Очевидно,якщо y<-2,то
,якщо y>-2,
Отже,в будь-якому околі
точки (-2;-2) є як додатні так і від’ємні значення функції. В точці (-2;-2)
екстремум немає.
Приклад 8.
z=
D(z) є R
AC-
Дf(2;2)=f(2+Дx;2+Дy)- f(2;2)=
=
.
Якщо
Якщо
Отже, не є точкою екстремуму.
Означення 2.4.Точки,
в яких функція двох змінних за однією змінною досягає свого максимуму, а за
іншою - мінімуму, називаються сідловими точками.
Повернемося ще до
випадку, коли ∆<0 і екстремуму немає. Від’ємне значення дискримінанту
буде, зокрема, коли чисті частинні похідні другого порядку мають різні знаки:
тоді від’ємним буде їх добуток АС.
Геометрично цей випадок відповідає так званій
сідловій точці, коли за однією змінною в точці реалізується мінімум, а за іншою
- максимум.
В деяких задачах математики сідлові точки мають
значення нітрохи не менше, ніж точки екстремуму. Класичним прикладом сідлової
точки гіперболічний параболоїд z=
з сідловою точкою в
початку координат.
3. Умовний екстремум
екстремум аргумент змінна
Розглянуті задачі знаходження екстремумів функцій
не враховували можливі обмеження на область визначення функції, хоча в
реальності, в залежності від фактичного змісту величин, що представляють
незалежні змінні, як правило, існують певні природні обмеження.
У попередньому параграфі ці результати
застосовували для дослідження функції двох змінних в околі точки
, в той час як аргументи
x,y могли набувати довільні значення з деякого околу точки
. Часто виникає
складніша, проте більш реальніша ситуація, коли шукають екстремум функції за
деяких умов, які обмежують область зміни аргументів. Роз’яснимо суть задачі на
простому прикладі: серед прямокутників, що мають заданий периметр P, знайти
такий, площа якого була б найбільшою. Позначимо через x та y довжину і ширину
прямокутника, тоді його площа S буде дорівнювати S=x·y,а умова запишеться
2x+2y=P. Отже, потрібно знайти екстремум функції S за умови 2x+2y=P. Конкретна
задача розв’язується просто. Виразимо y=
і підставимо у функцію S
S=x·
(P-2x). Одержана функція
є функцією однієї змінної. Дослідимо її на екстремум. S=
P-2x=0⇒x=
тоді y=
P-
)=
; S=-2<0 Отже,
прямокутник із заданим периметром буде мати найбільшу площу, якщо рівні його
сторони. Тобто це буде квадрат. У загальному випадку задачу ставлять так.
Знайти екстремум функції z=f(x;y) (3.1) за умови, що змінні x,y задовольняють
рівняння
(x;y)=0. (3.2)
Зауваження. Умова (3.2) може
містити не лише одне рівняння, але й два, або ж нерівності. Задачу (3.1), (3.2)
називають задачею на відшукання умовного екстремуму функції двох змінних,
а рівняння (3.2) - рівнянням зв’язку.
Означення 3.1. Функція має в
точці
, умовний максимум
(мінімум), якщо для будь-якої точки M(x;y)є
за умови, що координати
точок M та
задовольняють умови зв'язку (3.2), виконується
нерівність f(M) ≤f
Для геометричного тлумачення формулювання задачі
(3.1), (3.2) розглянемо функцію двох змінних z=
визначену на всій площині
XOY. Потрібно знайти екстремум цієї функції, якщо на змінні x та y накладено
умову x+y=6.
Тобто, на відміну від
звичайної точки екстремуму,значення функції z=f(x;y) в точці умовного
екстремуму порівнюється зі значеннями функції не всіх точках деякого її околу,
а тільки в тих, які лежать на лінії, рівнянням якої є умова зв'язку
(x;y)=0. Як видно з рис.
11, екстремум функції z=
досягається в точці
і дорівнює
Проте із накладанням
умови x+y=6 функція набуває своє мінімальне значення в точці
Зауваження. Умовний і
безумовний екстремум можуть збігатися або ні. Функція може не мати екстремуму,
проте мати умовні екстремуми.
Покажемо тепер, що задачу
про відшукання умовного екстремуму функції двох змінних можна звести до задачі
на відшукання безумовного екстремуму деякої іншої функції. Нехай точка
,
(x;y)=0 - точка умовного
екстремуму функції двох змінних z=f (x;y) (3.3) із заданим рівнянням зв’язку
(x;y)=0
Рівняння (3.4) неявно
задає y як функцію від x. Тоді функція (3.3) за умови (3.4) є функцією однієї
змінної x. Визначимо похідну від функції z за змінною x. (3.5)
Оскільки точка
- точка умовного
екстремуму, то похідна (3.5) повинна дорівнювати нулеві, тобто (3.6)
З рівняння зв’язку (3.4)
після диференціювання за x одержимо рівність (3.7) і, зокрема в точці
(3.8)
Домножимо (3.8) на поки
що невідомий множник л (незалежний від x та y) і додамо одержану рівність (3.6)
або

(3.10)
Зауваження. Таке л можна
вибрати, якщо хоча б одна з частинних похідних функції
(x;y) в точці
відмінна від нуля.
Рівняння (3.9), (3.10)
виражають, як відомо, необхідні умови екстремуму функції L(x;y;л)=f(x;y)+л
(x;y). (3.11)
Нехай функції U= f(x;y) та V=
(x;y) неперервно диференційовні в околі
і ранг матриці Якобі
дорівнює 1 у точках, що задовольняють
рівняння зв’язку.
Означення3.2.
Функцію L(x;y;л)=f(x;y)+л
(x;y) називають функцією
Лагранжа, параметр л - множником
Лагранжа.
Звідси випливає, що точка
умовного екстремуму функції f(x;y) за умови
(x;y) =0 є обов’язково
стаціонарною точкою функції (3.11). Запропонований метод називається методом
множників Лагранжа.
Метод Лагранжа поширюється на функції n змінних.
Теорема 3.1. (Необхідна умова існування умовного
екстремуму)
Для того щоб точка
була точкою умовного екстремуму функції
при рівнянні зв’язку
необхідно, щоб її координати при деяких
значеннях
задовольняли систему
рівнянь:
Ці умови означають, що точка
є стаціонарною точкою функції Лагранжа і її координати
задовольняють рівняння зв’язку.
Теорема 3.2. (Достатня умова умовного
екстремуму)
Нехай функції
,
подвійно неперервно диференційовні в
околі точки
і нехай у цій точці виконуються необхідні
умови існування екстремуму функції
при обмеженні
Тоді якщо за умови
,
(3.12)
другий диференціал
функції Лагранжа є додатно (від’ємно) визначеною
квадратичною формою, то функція
у точці
має умовний строгий мінімум (максимум).
Якщо за умов (3.12) другий диференціал
є невизначеною квадратичною формою, то в
точці
умовного екстремуму немає.
Приклад 9. Знайти умовний екстремум функції
=
відносно рівняння зв’язку
.
Функції
і
подвійно неперервно диференційовні. Матриця
Якобі в даному випадку має вигляд
і її ранг дорівнює 1 в усіх точках, що задовольняють рівняння
зв’язку. Отже, можна скористатися методом Лагранжа. Запишемо функцію Лагранжа
.
Згідно з необхідними умовами дістанемо систему:
з якої знаходимо
,
при
;
,
при
. Таким чином, функція
може мати умовний екстремум тільки в двох
точках (-5; 4)і(5; -4).
Обчислимо другий диференціал функції Лагранжа:
,
,
, тоді
.Знайдемо перший диференціал функції
.
У точках (-5; 4) і (5; - 4) диференціали
і
пов’язані рівністю:
,
. При виконанні цієї умови другий
диференціал функції Лагранжа в точці (-5; 4) є додатно визначеною квадратичною
формою
, а в точці (5; -4) - від’ємно визначеною
формою
.
Отже, функція
у точці (-5; 4) має умовний мінімум
, а в точці (5; -4) - умовний максимум
.
Приклад 10. Знайти
оптимальне значення функції z=
, якщо 2x-y-3=0. Функція Лагранжа має вигляд:.
L(x;y;л)=
+л(2x-y-3).
⇒
Отже, точка
- стаціонарна точка
функції Лагранжа. Встановимо характер цієї точки.
.
=-4<0.
Отже, функція Лагранжа в
точці
екстремуму не має. Проте
це не означає, що функція z=
в точці
не має умовного
екстремуму. Дійсно, запишемо безпосередньо другий диференціал функції z в точці
або
Продиференціювавши
рівняння зв’язку 2x-y-3=0 одержимо
2dx-dy=0,dy=2dx Тоді
=-6
<0 Другий диференціал
є від’ємно визначеною квадратичною формою, тому в точці
функція z набуває свій
умовний максимум
Висновки
В даній курсовій роботі було введене поняття
функції двох змінних, наведені методи та алгоритм знаходження екстремуму
функції двох змінних. Були також розглянуті необхідна і достатня умова
існування екстремуму.
При розв’язанні прикладів на знаходження
екстремуму не виникало ніяких проблем. Також можна відзначити, що за даною
темою наявна велика кількість літературних джерел в яких доступно викладений
матеріал.
Мені сподобалось працювати саме з цією темою, тим
що я вдосконалила свої знання з другого курсу. Хотілося б виділити підручник
Шкіль.М.І. «Математичний аналіз» частина 2, що допоміг мені з пошуком доведень
теорем та інформації,на які я спиралась, готуючи даний матеріал. Ця тема є дуже
актуальною на сьогоднішній день.
Список використаних джерел
1. Задачник по курсу математического
анализа ч. II. Под ред. Н. Я. Виленкина. Учебн. пособие для студентов заоч.
отд-ний физ-мат. фак. пединститутов. М., «Просвещение», 1971. - 336 с. Перед
загл. авт. Н. Я. Виленкин, К. А. Бохан, И. А. Марон и др.
. Гусак А. А.. Математичний аналіз
стану та диференціальніуравне-ния.-Мн.:ТетраСистемс, 1998. - 416 з.
3. Гусак А. А.. Вища математика.
Навчальний посібник для студентів вузів в 2-х томах. -Мн., 1998. - 544 з. (1
т.), 448 з. (2 т.).
. Давидов.М.О. Курс математичного
аналізу: Підручник: У 3 ч. Ч.2. Функції багатьох змінних і диференціальні
рівняння. - 2-ге вид., перероб. і допов. -К.: Вища шк., 1991.- 366 с.: іл.
5. 5.Задачи и упражнения по
математическому анализу (для вузов) / Под ред. Б. П. Демидовича. - М.: Наука,
1968. - 472 с.
. Кудрявцев Л.Д. Математический
анализ: В 2 т.- М.:Высш.шк., 1970.. -Т.1-2.
. Овчинников П. Ф., Яремчук Ф. П.,
Михайленко В. М. Высшая математика. -К.: Вища шк., 1987. - 552 с.
8. Шкіль М.І. Математический аналіз:
Підручник: У 2 ч. Ч.2.-3-тє вид.,переробл. і допов. - К.: Вища шк., 2005.-
510с.: іл.
. Шкіль М.І.,Лейфура В.М.,Самусенко
П.Ф.Диференціальні рівняння.-К.:Техніка,2003.-366 с.
. Яблонський А. І., Кузнєцов А. У.,
Шилкіна Є. І. та інших. Вища математика. Загальний курс: Підручник / Підобщ.
ред. З. А.Самаля.-Мн.:Виш. шк., 2000. - 351 з.