Графы: основные понятия и определения

  • Вид работы:
    Контрольная работа
  • Предмет:
    Математика
  • Язык:
    Русский
    ,
    Формат файла:
    MS Word
    180,05 Кб
  • Опубликовано:
    2015-05-20
Вы можете узнать стоимость помощи в написании студенческой работы.
Помощь в написании работы, которую точно примут!

Графы: основные понятия и определения

Федеральное агентство по образованию Российской Федерации

Волгоградский государственный технический университет











Контрольная работа

по дискретной математике

Вариант №21

 

 

 

Выполнил: студент группы

АУЗ - 161с Тюляева И.А.

Проверил: Акулов Л.Г.




Волгоград 2010

Дано вариант №21:


Задание 1

Задать граф следующими способами: перечислением, матрицами смежности и инцидентности.

Решение:

Способ перечисления:

Множество вершин:

={x1, x2, x3, x4, x5}

Множество связей:

={<x1 x2>, <x1 x3>, <x2 x4>, <x3 x4>, <x3 x5>}

Множество изолированных вершин: пусто.

Матрица инцидентности:


V1

V2

V3

V4

V5

X1

1

1

0

0

0

X2

-1

0

0

0

1

X3

0

-1

1

1

0

X4

0

0

0

-1

-1

X5

0

0

-1

0

0


Матрица смежности:


X1

X2

X3

X4

X5

X1

0

1

1

0

0

X2

0

0

0

0

X3

0

0

0

1

1

X4

0

0

0

0

0

X5

0

0

0

0

0


Задание 2

Определить следующие основные характеристики графа:

-        число ребер и дуг;

-        число вершин;

         коэффициент связности графа;

         степени всех вершин;

         цикломатическое число графа.

Решение:

Число ребер - 0. Число дуг - 5.

Число вершин - 5.

Коэффициент связности графа - 1.

Степени всех вершин:


Х1

Х2

Х3

Х4

Х5

Полустепень исхода

2

1

2

0

0

Полустепень захода

0

1

1

2

1

Степень

2

2

3

2

0


Цикломатическое число графа = (число связей - число вершин) + коэффициент связности.

Таким образом

5-5+1=1;

цикломатическое число равно 1.

Задание №3

Определить, является ли данный граф:

-        планарным или плоским графом (обосновать ответ и выполнить обратное преобразование);

-        двудольным графом (обосновать ответ и, если необходимо, то достроить до двудольного графа);

         деревом (обосновать ответ и, в случае циклического графа, привести один из вариантов основного дерева);

         псевдографом или мультиграфом, или простым графом (обосновать ответ и выполнить необходимые преобразования).

Решение:

Данный граф является плоским, т.к. все его связи пересекаются только в вершинах. Преобразуем данный граф в планарный граф:


Данный граф не является двудольным, т.к. имеет циклы нечетной длины. Преобразуем данный граф в двудольный путем добавление новой вершины X6, новой связи V6 и переносом связи V4 в другое положение:


Данный граф не является деревом, поскольку он содержит циклы. Преобразуем данный граф в дерево путем исключения дуги V4:


Данный граф является простым, потому как не содержит петель и кратные связи.

Преобразуем данный граф в мультиграф:


Преобразуем данный граф в псевдограф:

Задание 4

Привести пример подграфа, частичного графа и частичного подграфа.

Решение:

Подграф:


Частичный подграф:


Частичный граф:


Задание 5

Произвести реберную и вершинную раскраски графа с определением вершинного и реберного хроматического числа.

Решение:

Необходимо исходить из того, что граф называется правильно раскрашенным, если его смежные вершины (связи) раскрашены в разные цвета.

Примечание: Обозначим цвета через числа натурального ряда. Номер рядом с каждой вершиной (связью) обозначает определенный цвет.

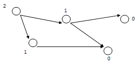
Вершинная раскраска:

Хроматическое число равно 2


Реберная раскраска:

Хроматическое число равно 3


Задание 6

Упорядочить граф матричным способом и построить порядковую функцию, функцию Гранди.

Решение:

В основе алгоритма упорядочивания лежит матрица смежности.

 

X1

X2

X3

X4

X5

X1

0

1

1

0

0

X2

0

0

0

1

0

X3

0

0

0

1

1

X4

0

0

0

0

0

X5

0

0

0

0

0

Таблица

L1

2

1

2

0

L2

0

0

0

*

*


Изоморфный упорядоченный граф выглядит следующим образом:


Функция Гранди:


Порядковая функция:


Задание 7

Определить метрические характеристики графа: диаметр, радиус, эксцентриситет каждой вершины, центральные вершины.

Решение:

. Определим расстояния между парами вершин:

(x1,x2) = 1(x1,x3) = 1  d(x2,x3) = 2(x1,x4) = 2        d(x2,x4) = 1 d(x3,x4) = 1(x1,x5) = 2         d(x2,x5) = 3 d(x3,x5) = 1 d(x4,x5) = 2

. Определим диаметр как

d(G) = max d(xi, xj): d(G)=3

. Определим эксцентриситет каждой вершины:

r(x1) = 2 r(x2) = 3 r(x3) = 2 r(x4) = 2 r(x5) = 3

. Определим радиус графа как

r(G) = min r(xi): r(G) = 2

граф функция диаметр матричный

5. Определим центральные вершины: x1, x3, x4.

Похожие работы на - Графы: основные понятия и определения

 

Не нашли материал для своей работы?
Поможем написать уникальную работу
Без плагиата!
Без нейросетей!