Взаимное расположение прямых в пространстве и взаимное расположение прямой и плоскости
Содержание
Введение
Глава 1. Основные
понятия
.1 Основные определения
.2 Различные способы
задания прямой на плоскости
.3 Различные способы
задания прямой в пространстве
Глава 2. Взаимное
расположение прямых в пространстве
.1 Параллельные прямые
.2 Пересекающиеся прямые
.3 Скрещивающиеся прямые
Глава 3. Взаимное
расположение прямой и плоскости
.1 Прямая параллельна
плоскости
.2 Прямая пересекает
плоскость
.3 Прямая лежит в
плоскости
Практическая часть
Заключение
Список использованной
литературы
Введение
Рассмотрение в курсе геометрии вопроса о
взаимном расположении прямых на плоскости и в пространстве имеет очень большое
значение. Знания о взаимном расположении прямых лежат в основе изучения свойств
геометрических фигур как в планиметрии, так и в стереометрии. Действительно,
параллельность прямых на плоскости является необходимым материалом для изучения
свойств многоугольников и окружности; без знания взаимного расположения прямых
в пространстве невозможно изучение свойств многогранных углов, многогранников и
круглых тел.
Разделы о взаимном расположении прямых изучается
сразу же после введения основных понятий геометрии на плоскости и в
пространстве, которые используются при доказательстве первых предложений и
решении задач. Это позволяет систематически вести работу по развитию
логического мышления студентов, а также способствует прочному и сознательному
усвоению ими основных понятий и аксиом и постепенному раскрытию их роли в курсе
геометрии.
Изучение взаимного расположения прямых
сопровождается решением большого количества задач, среди которых особое место
занимают задачи на доказательство и задачи конструктивного характера.
Конструктивные задачи трехмерного пространства требуют как
формально-логического подхода при их решении, так и знания проекционного чертежа
(параллельного проектирования и его свойств). В процессе решения задач у
студентов развиваются пространственные представления, конструктивные навыки, в
частности навыки изображения фигур на плоскости, навыки выполнения рисунков, их
правильного восприятия и чтения.
Все выше сказанное и обусловило выбор темы
курсовой работы: «Взаимное расположение прямых в пространстве, также изучить
взаимное расположение прямой и плоскости».
Цель курсовой работы - изучить взаимное
расположение прямых в пространстве, также изучить взаимное расположение прямой
и плоскости.
Объектом исследования в данной работе является
взаимное расположение прямых в пространстве, также взаимное расположение прямой
и плоскости.
В соответствии с поставленной целью в работе
должны быть решены следующие задачи:
) рассмотреть и изучить основные способы задания
прямой на плоскости и в пространстве;
) изучить взаимное расположение прямых в
пространстве;
) изучить взаимное расположение прямой и
плоскости.
При выполнении работы используется монографический
метод исследования, математический метод (метод визуализации данных (функции,
графики)).
Теоретическую и методическую основы курсовой
работы составляют труды отечественных ученых по данному вопросу.
Глава 1. Основные понятия
.1 Основные определения
Что нам известно о прямых? Что на
чертеже мы можем изобразить лишь часть прямой, а всю прямую мы представляем
себе простирающейся бесконечно в обе стороны.
В курсе элементарной геометрии не
дается определения прямой, так, как прямая является основным, неопределяемым
геометрическим объектом. Основные свойства прямой задаются аксиомами, а
остальные выводятся из аксиом логическим путем. Однако, пользуясь понятием
коллинеарности векторов, можно определить геометрическое место всех точек,
принадлежащих прямой. В самом деле, если М0 - произвольная точка
прямой l, а p - ненулевой вектор, параллельный ей, то, очевидно, каждая точка M прямой характеризуется условием:
вектор M0M коллинеарен p. Обратно, если вектор M0M коллинеарен p, то точка M принадлежит прямой l. Таким образом, точка M принадлежит прямой l тогда и только тогда, когда вектор M0M коллинеарен p. Это определение может быть
использовано для того, чтобы написать уравнение геометрического места точек,
принадлежащих прямой, или коротко уравнение прямой. В аналитической геометрии
термин «прямая» понимается в смысле совокупности всех точек, принадлежащих
некоторой прямой, «уравнение прямой» понимается в смысле уравнения
геометрического места этих точек.
Плоскость - одно из основных понятий
геометрии. При систематическом изложении геометрии понятие "П."
обычно принимается за одно из исходных понятий, которое лишь косвенным образом
определяется аксиомами геометрии. Некоторые характеристические свойства П.: 1)
П. есть поверхность, содержащая полностью каждую прямую, соединяющую любые её
точки. 2) П. есть множество точек, равноотстоящих от двух заданных точек.
Пространство в математике, логически
мыслимая форма (или структура), служащая средой, в которой осуществляются
другие формы и те или иные конструкции. Например, в элементарной геометрии
плоскость или пространство служат средой, где строятся разнообразные фигуры. В
большинстве случаев в П. фиксируются отношения, сходные по формальным свойствам
с обычными пространственными отношениями (расстояние между точками, равенство
фигур и др.), так что о таких П. можно сказать, что они представляют логически
мыслимые пространственно-подобные формы.
.2 Различные способы задания прямой
на плоскости
Сейчас я перечислю основные способы,
которыми можно задать конкретную прямую на плоскости. Это знание очень полезно
с практической точки зрения, так как на нем основывается решение очень многих
примеров и задач. Уравнение прямой линии на плоскости в заданном на ней
аффинном или ортонормированном репере в зависимости от способа задания может
принимать различные виды.
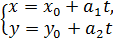
А) Прямая l задана начальной точкой М0(
;
и направляющим вектором

=(
):

- параметрические
уравнения (t - параметр);

=0, 
(если 
- канонические
уравнения.
Б) Прямая l задана двумя различными точками 
:

=0 или 
=
(если 
).
В) Прямая l задана величинами a
и b направленных отрезков, отсекаемых ею на осях Ox и Oy:

+
=1 - уравнение прямой «в
отрезках».
Г) Прямая l задана начальной точкой 
(
) и угловым
коэффициентом k:
y-
y=kx+b (здесь 
y=kx (здесь 
Д) Прямая l задана начальной точкой 
:
Последнее уравнение
может быть использовано только для случая, когда заданный репер является
ортонормированным.
Каждое из указанных выше
уравнений можно привести к следующему виду:
Ax+By+C=0 (1)
плоскость геометрия
математический задача
Уравнение (1) называется
общим уравнением прямой.
Из этого уравнения можно
определить координаты двух векторов этой прямой: направляющего 
(
||l) и нормального вектора 
(
l):

1.3 Различные способы
задания прямой в пространстве
Уравнение плоскости в
трехмерном пространстве в заданном аффинном или ортонормированном репере в
зависимости от способа задания может принимать различные виды.
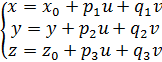
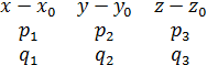
А) Плоскость П задана
начальной точкой 
и парой направляющих
векторов 
(
) и 
(
) (
не параллелен 
).
Такую пару векторов
будем называть направляющей площадкой плоскости П и использовать для нее символ
<
,
>.

- параметрические
уравнения плоскости (u,
v - параметры);

= 0 - каноническое
уравнение плоскости.
Б) Плоскость П задана
тремя точками:

, 
, 
.

= 0 - уравнение
плоскости, заданной тремя точками.
В) Плоскость П задана
величинами a, b, с направленных
отрезков, отсекаемых ею на осях Ox,
Oy, Oz декартовой
системы координат.

+ 
+ 
= 1 - уравнение
плоскости «в отрезках».
Г) Плоскость П задана
начальной точкой 
нормальным вектором 
=(

Каждое из записанных
выше уравнений может быть приведено к виду:
Ax+By+Cz+D=0, которое называется общим уравнением плоскости. Зная общее
уравнение плоскости, легко определить координаты её нормального вектора: 
=(A;B;C).
Глава 2. Взаимное
расположение прямых в пространстве
.1 Параллельные прямые
Ещё со школы мы помним,
что «параллельные прямые - это те, которые не пересекаются». В пространстве,
однако, для параллельности прямых нужно одно дополнительное условие.
Определение: две прямые
в пространстве называются параллельными, если они лежат в одной плоскости и не
пересекаются.
Таким образом, помимо
«непересечения» требуется, чтобы прямые лежали в одной плоскости. На рис. 1
показаны параллельные прямые a
и b; через них проходит (единственная) плоскость 
.
Рис. 1. Параллельные
прямые
Параллельность обладает
важным свойством транзитивности. Именно, для трёх различных прямых a, b и c выполнено:
a ║ b
и b ║ c 
a ║ c.
(две различные прямые, параллельные третьей прямой, параллельны между собой).
.2 Пересекающиеся прямые
Две различные прямые
называются пересекающимися, если они имеют общую точку. Точка пересечения
единственна: если две прямые имеют две общие точки, то они совпадают.
Пересекающиеся прямые
изображены на рис. 2. Прямые a и b, как видим, пересекаются в точке A.
Рис. 2. Пересекающиеся
прямые
Заметьте, что существует
единственная плоскость, проходящая через две пересекающиеся прямые.
.3 Скрещивающиеся прямые
Если две прямые
пересекаются или параллельны, то, как мы видели, через них можно провести
плоскость (и притом единственную). Возможна также ситуация, когда через две
прямые плоскость провести нельзя.
Определение: две прямые
называются скрещивающимися, если они не параллельны и не пересекаются.
Равносильное определение
такое: две прямые называются скрещивающимися, если они не лежат в одной плоскости.
На рис. 3 показаны
скрещивающиеся прямые a и b.
Рис. 3. Скрещивающиеся
прямые
Важный факт состоит в
том, что через две скрещивающиеся прямые можно провести две параллельные
плоскости.
Все три рассмотренных варианта
взаимного расположения прямых можно видеть в треугольной призме 
(рис. 4).
Рис. 4. Взаимное
расположение двух прямых
Именно, прямые AB и BC пересекаются
(левый рисунок); прямые BC и 
параллельны (рисунок в
центре); прямые AB и 
скрещиваются (правый
рисунок).
Глава 3. Взаимное
расположение прямой и плоскости
.1 Прямая параллельна
плоскости
Прямая параллельна
плоскости, если она не имеет с плоскостью общих точек. На рис. 5 прямая l
параллельна плоскости р.
Рис. 5. Прямая
параллельна плоскости
Признак параллельности
прямой и плоскости: если прямая l параллельна некоторой прямой, лежащей в
плоскости, то прямая l параллельна этой плоскости.
Давайте посмотрим, как
работает этот признак. Пусть 
- треугольная призма, в
которой проведена плоскость 
BC (рис. 6).
Рис. 6. Прямая 
параллельна плоскости 
ВС
Поскольку боковые грани
призмы являются параллелограммами, имеем 
║BC. Но прямая BC
лежит в плоскости 
BC. Поэтому в силу
признака параллельности прямой и плоскости мы заключаем, что прямая 
параллельна плоскости 
BC. Другое важное утверждение, которое нередко используется в
задачах, - это теорема о пересечении двух плоскостей, одна из которых проходит
через прямую, параллельную другой плоскости.
Теорема. Пусть прямая l
параллельна плоскости р.
Если плоскость у проходит через прямую l и пересекает плоскость р по прямой m,
то m║l.
Рис. 7. К теореме
Если прямая параллельна плоскости,
то точка
(а, значит, и любая точка данной прямой) не удовлетворяет
уравнению плоскости:
.
Таким образом, условие
параллельности прямой и плоскости записывается следующей системой:
.2 Прямая пересекает плоскость
Если прямая не лежит в плоскости и
не параллельна ей, она пересекает плоскость.
Прямая пересекает плоскость тогда и
только тогда, когда её направляющий вектор
не ортогонален вектору нормали
плоскости.
Из утверждения следует,
что скалярное произведение
<#"814738.files/image072.gif">.
В координатах условие
запишется следующим образом:
Если же данные векторы
ортогональны, то есть если их скалярное произведение
<#"814738.files/image074.gif">,
то прямая либо параллельна плоскости, либо лежит в ней:
Важным частным случаем пересечения
прямой и плоскости является их перпендикулярность.
Интуитивно вам совершенно ясно, что
значит «прямая перпендикулярна плоскости», но определение нужно знать
обязательно.
Предположим, в конкретной задаче нам
хочется доказать, что прямая l перпендикулярна плоскости р. Как действовать? Не
будем же мы перебирать все прямые, лежащие в плоскости р! К счастью, это и не
нужно. Оказывается, достаточно предъявить две пересекающиеся прямые плоскости
р, перпендикулярные прямой l.
.3 Прямая лежит в плоскости
Прямая лежит в плоскости, если
каждая точка прямой принадлежит этой плоскости. На рисунке 8 прямая l лежит в
плоскости р. В таком случае говорят ещё, что плоскость р проходит через прямую
l.
Рис. 8. l
р
Если прямая лежит в
плоскости, то точка 
(а, значит, и любая
точка данной прямой) удовлетворяет уравнению плоскости:
.
Аналитические условия
данного случая запишутся похожей системой:
Практическая часть
Задача 1
Даны вершины треугольника A(-2;0),
B(2;4), C(4;0).
Составить:
) параметрические и канонические уравнения трёх
сторон;
) в общем виде уравнение медианы АЕ и высоты АD.
Решение:
Рис. 9 к задаче.
) Найдём направляющий вектор стороны АВ:

или 
- параметрические уравнения стороны
АВ
Аналогично для сторон ВС и АС:

=
=
, 
=
=

- параметрические уравнения стороны
ВС.

- параметрические уравнения стороны
АС.
Чтобы записать уравнения сторон в
каноническом виде воспользуемся формулой: 
=
, для стороны АВ подставим
координаты направляющего вектора АВ и вместо 
координаты точки А, получим:

= 
или 
= 
- канонические уравнения стороны
АВ.
Аналогично для сторон ВС и АС:

= 
- канонические уравнения стороны
ВС.

= 
или 
= 
- канонические уравнения стороны
АС.
) Найдем координаты точки Е, как
середину отрезка ВС

=
=
=3, 
=
=
=2 => E(3;2), по
формуле

=
, для точек А и Е получаем:

= 
; 
=5y; 2x-5y+4=0 - общее
уравнение медианы АЕ.
Так как высота АD
перпендикулярна стороне ВС воспользуемся признаком перпендикулярности двух
прямых 
·
=-1.
Перепишем канонические уравнения
стороны ВС в общем виде, получим 2x+y-8=0, выразим отсюда y, получим уравнение
стороны ВС с угловым коэффициентом 
в виде y=-2x+8, отсюда 
=-2, значит 
, по формуле 
), для координат точки А и 
получим:
y-0 =
(x+1); 2y = x+2 или x-2y+2=0
уравнение высоты АD. Иначе: нормальный вектор прямой ВС
n{2;1} является направляющим
вектором высоты АD, по формуле 
=
для координат точки А и вектора n, получим:

= 
; x+2=2y; x-2y+2=0
уравнение высоты АD.
Ответ: 1) AB: 
, 
= 
;
BC: 
, 
= 
;
AC: 

= 
;
) AE: 2x-5y+4=0;
AD: x-2y+2=0.
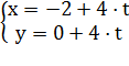
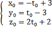
Задача 2
Составить уравнения
прямой, проходящей через точки 
.
Решение:
Найдём направляющий
вектор прямой:

=
Уравнения прямой
составим по точке 
и направляющему вектору

(
):

= 
; 
)=0
Выполним проверку:
подставим координаты
точки 
в полученные уравнения:

= 
; 
0

Получены верные
равенства. Подставим координаты точки 
:

= 
; 
0

Получены верные
равенства.
Вывод: канонические
уравнения прямой составлены правильно.
Ответ: 
= 
Задача 3
Составить канонические
уравнения прямой по точке 
и направляющему вектору

Решение:
Канонические уравнения
прямой составим по формуле:



.
Ответ: 
.
Задача 4
Составить
параметрические уравнения следующих прямых:
а) 
= 
;
б) 
; 
в) x=0; y-6=0.
Решение:
Прямые заданы
каноническими уравнениями и на первом этапе следует найти какую-нибудь точку,
принадлежащую прямой, и её направляющий вектор.
а) Из уравнений 
= 
снимаем точку и
направляющий вектор: 
(-4;0;5), 
.
Составим параметрические уравнения
данной прямой:
б) Рассмотрим
канонические уравнения 
; 
. Выбор точки здесь
несложен: 
Запишем направляющий
вектор 
, а на оставшееся место
поставим ноль: 
(0;7;-3)..
Составим параметрические
уравнения прямой:
в) Перепишем уравнения 
в виде 
то есть «z»
может быть любым. А если любым, то пусть, например, 
. Таким образом, точка 
принадлежит данной
прямой. Для нахождения направляющего вектора используем следующий формальный
приём: в исходных уравнениях 
находятся «x» и «y», и в направляющем
векторе на данных местах записываем нули: 
. На оставшееся место
ставим единицу: 
. Вместо единицы
подойдёт любое число, кроме нуля.
Запишем параметрические уравнения
прямой:
Ответ: а) 
; б) 
; в) 

Выяснить взаимное расположение двух
прямых

: 
= 
=
, 
: 
= 
= 
.
1) Вытаскиваем из
уравнений точки и направляющие векторы:

: 
= 
=
=> 
(-4;-5;6), 
(-2;4;6)

: 
= 
= 
=> 
(0;1;-3), 
(1;-2;-3)
) Найдём вектор: 
=(0-(-4);1-(-5);-3-6)=(4;6;-9)
) Вычислим смешанное
произведение векторов:
(
·
= -2·
-
+4·
=
=-2·(18+18)-(-36-36)+4·(-12+12)=-72+72+0=0
Таким образом, векторы 
компланарны, а значит,
прямые 
лежат в одной плоскости
и могут пересекаться, быть параллельными или совпадать.
) Проверим направляющие
векторы 
(-2;4;6), 
(1;-2;-3)
на коллинеарность.
Составим систему из
соответствующих координат данных векторов:
Из каждого уравнения
следует, что л= -
, следовательно, система
совместна, соответствующие координаты векторов пропорциональны, и векторы
коллинеарны.
Вывод: прямые 
параллельны либо
совпадают.
) Выясним, есть ли у
прямых общие точки. Возьмём точку 
(-4;-5;6),
принадлежащую первой прямой, и подставим её координаты в уравнения прямой 
:

= 
= 
,
≠3≠-3
Таким образом, общих
точек у прямых нет, значит они параллельны.
Ответ: 
║
.
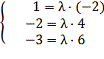
Задача 6
Найти точку пересечения
прямых

: 
= 
= 
, 
: 
= 
= 
.
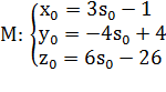
Решение:
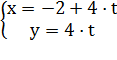
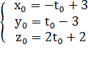
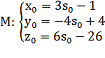
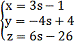
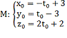
Перепишем уравнения
прямых в параметрической форме:

: 
, 
: 
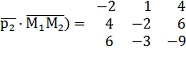
Точка пересечения прямых
M(
принадлежит прямой 
поэтому её координаты 
удовлетворяют
параметрическим уравнениям данной прямой, и им соответствует вполне конкретное
значение параметра 
:
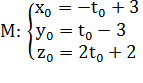
M:

Но эта же точка
принадлежит и второй прямой, следовательно:
M:

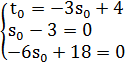
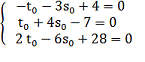
Приравниваем
соответствующие уравнения и проводим упрощения:

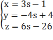
=>

=> 
Получена система трёх
линейных уравнений с двумя неизвестными. Если прямые пересекаются, то система
обязательно совместна и имеет единственное решение. Из первого уравнения
выразим 
и подставим его во
второе и третье уравнение:

=> 
=> 
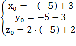
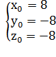
Тогда: 
Подставим найденное
значение параметра 
в уравнения:

=> 
=>
Для проверки подставим
найденное значение параметра 
в уравнения:

=> 
=> =>
Получены те же самые координаты, что
и требовалось проверить.
Ответ: M(8;-8;-8).
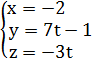
Задача 7
Выяснить взаимное расположение
прямых
Решение:
1) Находим направляющие
векторы и точки, принадлежащие данным прямым. Для нахождения точек удобно
использовать нулевые значения параметров
:
2)
Найдём вектор:
3)
Вычислим смешанное произведение векторов:
Таким образом, прямые 
могут пересекаться,
быть параллельными или совпадать. 4) Исследуем направляющие векторы
на
коллинеарность:
,
следовательно, направляющие векторы не коллинеарны, и прямые пересекаются.
Ответ:
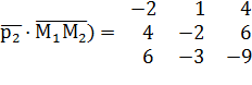
Задача 8
Доказать, что прямые
скрещиваются.
Решение:
Найдём точки и направляющие векторы
данных прямых:
Найдём вектор:
Вычислим смешанное произведение векторов
<#"814738.files/image262.gif">
Таким образом, векторы 
не компланарны, а
значит, прямые 
скрещиваются, что и
требовалось доказать.
Задача 9
В правильной четырёхугольной
пирамиде ABCDS (с вершиной S) точка M - середина ребра SC. Постройте сечение
пирамиды плоскостью ABM.
Решение:
Сечение изображено на рис. 10.
Рис. 10. К задаче
Самое главное тут - выяснить, по
какой прямой секущая плоскость ABM пересекает плоскость SCD. Для этого заметим,
что AB ║ CD, и по признаку параллельности прямой и плоскости имеем AB ║
SCD. А из теоремы следует тогда, что прямая MN пересечения плоскостей ABM и SCD
параллельна прямой AB (и, стало быть, прямой CD).
Таким образом, MN - средняя линия
треугольника SCD. Сечением пирамиды будет трапеция ABMN. Ответ: трапеция ABMN.
Задача 10
Докажите, что в правильной
треугольной пирамиде скрещивающиеся рёбра перпендикулярны.
Решение:
Пусть ABCD - правильная треугольная
пирамида (рис. 10). Докажем, например, что AD ⊥ BC.
Докажем, что прямая BC перпендикулярна плоскости
ADM. Для этого нам нужно предъявить две пересекающие прямые, лежащие в
плоскости ADM и перпендикулярные BC. Какие же это прямые?
Рис. 11. К задаче
Во-первых, это прямая DH. В самом деле, будучи
высотой пирамиды, DH перпендикулярна плоскости ABC. По определению это
означает, что DH перпендикулярна любой прямой, лежащей в плоскости ABC - в
частности, прямой BC.
Во-вторых, это прямая AM. Действительно, будучи
медианой равностороннего треугольника ABC, отрезок AM является его высотой и
потому перпендикулярен BC.
Итак, мы убедились, что BC ⊥
DH и BC ⊥
AM. По признаку перпендикулярности прямой и плоскости мы заключаем, что BC ⊥
ADM. Стало быть, BC перпендикулярна любой прямой, лежащей в плоскости ADM - в
частности, прямой AD. Это мы и хотели доказать.
Обратите внимание, какая схема рассуждений
реализована в данной задаче. Допустим, мы хотим доказать, что прямая l
перпендикулярна прямой m. Действуем следующим образом:
. Берём подходящую плоскость р, в которой лежит
прямая l.
. В плоскости р находим две пересекающиеся
прямые a и b, такие, что m ⊥ a и m ⊥
b.
. По признаку перпендикулярности прямой и
плоскости делаем вывод, что m ⊥ р.
. По определению перпендикулярности прямой и
плоскости заключаем, что прямая m перпендикулярна любой прямой, лежащей в
плоскости р. В частности, m ⊥ l, что и
требовалось.
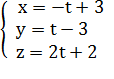
Задача 11
Найти точку пересечения
прямой 
и плоскости 2x-y+z+4=0.
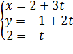
Решение:
Рассмотрим взаимное расположение
прямой и плоскости:
· 2 + 2· (-1) + (-1)·1 = 3 ≠
0, значит прямая и плоскость пересекается. Перепишем уравнение прямой в
параметрическом виде:

Подставим эти уравнения
прямой в уравнения плоскости, найдём значение параметра t:
Чтобы найти координаты
точки пересечения прямой и плоскости подставим значение t в параметрические уравнения прямой:
Ответ: 
- точка пересечения
прямой и плоскости.
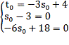
Задача 12
Найти проекцию точки А (3;2;-1) на
прямую 
.
Решение:
Составим уравнение плоскости,
проходящей через точку А перпендикулярно данной прямой x-3+y-2+2(z+1) = 0, x+y+2z-5=0. Найдем
точку пересечения прямой и плоскости - это и будет проекция точки А, для этого
перепишем уравнение прямой в параметрическом виде x=2+t, y=-3+t, z=2t, подставим
в уравнение плоскости 2+t-3+t+2Ч2t-5=0, t = 
Получаем x=2+1=3, y=- 3+1=- 2, z=2.
Ответ: (3;-2;2)
Задача 13
Найти проекцию прямой 
на плоскость x+2y+3z+4=0.
Решение:
Так как проекция лежит в данной
плоскости, то x+2y+3z+4=0 есть
одно из уравнений проекции. Второе уравнение будет уравнением проектирующей
плоскости, которая проходит через данную прямую, значит проходит через точку
(3;-1;1) и компланарна вектору 
. Так как проектирующая плоскость
перпендикулярна плоскости x+2y+3z+4=0, значит
нормальный вектор 
будет направляющим для этой
плоскости. Итак,
, уравнение
проектирующей плоскости
=0 или 
Ответ: 
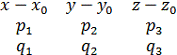
Задача 14
Выяснить взаимное расположение
прямой, заданной точкой 
и направляющим вектором 
(3;-2;4), и плоскости 2x-3y-3z+12=0.
Решение:
Вытащим вектор нормали плоскости: 
(2;-3;-3). Вычислим скалярное
произведение <#"814738.files/image287.gif">
·
= 2·2-3·(-2)-3·4=6+66-12=0, значит,
прямая либо параллельна плоскости, либо лежит в ней.
Подставим координаты точки 
в уравнение плоскости:
·0-3·5-3·(-1)=12=0
·0-3·5-3·(-1)+12=0
-15+3+12=0
=0
Получено верное равенство,
следовательно, точка 
лежит в данной плоскости.
Разумеется, и любая точка прямой тоже будет принадлежать плоскости.
Ответ: прямая лежит в плоскости.
Заключение
В данной курсовой работе было
рассмотрено и изучено взаимное расположение прямых в пространстве, взаимное
расположение прямой и плоскости. На основе изложенного материала, была
рассмотрена и решена практическая часть курсовой работы: были приведены и
решены конкретные задачи по теме: «Взаимное расположение прямых в пространстве.
Взаимное расположение прямой и плоскости».
Конструктивные задачи трехмерного пространства
требуют как формально-логического подхода при их решении, так и знания
проекционного чертежа (параллельного проектирования и его свойств). В процессе
решения задач я применила пространственные представления, конструктивные
навыки, в частности навыки изображения фигур на плоскости, навыки выполнения
рисунков, их правильного восприятия и чтения.
Цели и задачи, поставленные в данной курсовой
работе, были мною выполнены.
Список использованной литературы
1. Атанасян Л.С. Аналитическая
геометрия. Часть первая. Аналитическая геометрия на плоскости/ Л.С. Атанасян. -
Москва; «Просвещение», 1967.- 300с.
. Атанасян Л.С. Аналитическая
геометрия. Часть вторая. Аналитическая геометрия в пространстве/ Л.С. Атанасян.
- Москва; «Просвещение», 1970.- 268с.
. Атанасян Л.С., Атанасян
В.А. Сборник задач по геометрии. Часть1/ Л.С. Атанасян, В.А. Атанасян.-.Москва:
«Просвещение»,1973.- 256с.
. Атанасян Л.С., Базырев В.Т.
Геометрия в 2-х частях, часть 1 /Л.С. Атанасян, В.Т. Базырев.- Москва:
«Просвещение», 1986. -336с.
. Базылев В.Т., Дуничев К.И.,
Иваницкая В.П. Геометрия. Учебное пособие для студентов 1 курса
физико-математических факультетов педагогических институтов/ В.Т.Базылев, К.И.
Дуничев, В.П. Иваницкая.- Москва: «Просвещение», 1974. - 352с.
. Беклемишев Д.В. Курс
аналитической геометрии и линейной алгебры. Издание девятое, исправленное.
/Д.В. Беклемишев.- Москва: «Физматлит», 2002. - 376с.
7. Ефимов Н.В.
Высшая геометрия, 5-е издание / Н.В. Ефимов.- Москва: «Наука», 1971. - 576с.
8. Капленко Э.Ф., Маркова С.Г.
Сборник задач по геометрии. Часть II
/ Э.Ф. Капленко, С.Г. Маркова.- Воронеж, 2005. - 104с.