Формирование бюджета предприятия
Содержание
1.
Общая характеристика предприятия
.
Инструменты и методы регулирования деятельности предприятия
.
Организация выполнения работ
.
Организация управления хозяйствующим субъектом
.
Управление персоналом предприятия
.
Организация бюджетного управления
.
Система планирования деятельности предприятия
.
Механизм ценообразования на работы
.
Статистический, управленческий и бухгалтерский учет на предприятии
Информационное
и методическое обеспечение курсового проекта
Список
использованных источников
1. Общая характеристика предприятия
Лонг-Юганское ЛПУМГ на протяжении многих лет
является стабильным и динамично развивающимся предприятием газовой отрасли.
Основные направления деятельности предприятия:
надежная бесперебойная транспортировка и подача
природного газа потребителям;
обеспечение здоровья и безопасных условий труда
работникам;
охрана окружающей среды;
создание благоприятных социально-бытовых условий
жизни работникам;
активная пропаганда здорового образа жизни и
привлечение к регулярным занятиям спортом среди работников и членов их семей.
Основные результаты деятельности представлены в
таблице 1.
Таблица 1
Основные технико-эксплутационные показатели
работы Лонг-Юганского ЛПУМГ
|
Показатель
|
2012
г.
|
|
1.Объем
товарного газа, млн. м3
|
225,62
|
|
2.Транспортная
работа, млн. м3*км
|
27075,91
|
|
в
том числе транзит газа, млн. м3*км
|
26469,87
|
|
3.
Количество ГПА, шт.
|
12
|
|
-
ГТ-6-750
|
8
|
|
-
ГТК-10-2
|
4
|
|
4.
Наработка на отказ, час.
|
23689
|
|
-
ГТ-6-750
|
11551
|
|
-
ГТК-10-2
|
12138
|
|
5.
Коэффициент загрузки
|
0,9817
|
|
6.
Коэффициент готовности:
|
|
|
-
ГТ - 6-750
|
0,96
|
|
-
ГТК-10-2
|
0,97
|
|
7.
Коэффициент технического состояния по мощности:
|
|
|
-
ГТ - 6-750
|
0,83
|
|
-
ГТК-10-2
|
0,91
|
|
8.
Интегральный КПД КЦ
|
19,52
|
Главная задача данного предприятия - выполнение
установленных заданий по приемке и транспортировке газа от поставщиков,
обеспечение бесперебойного снабжения газом потребителей на участке газопровода,
обслуживаемого ЛПУМГ.
. Инструменты и методы регулирования
деятельности предприятия
Деятельность по транспортировке газа по
магистральным трубопроводам относится к естественно-монопольному виду
деятельности и как таковая является предметом государственного тарифного
регулирования.
Система управления и качество услуги по
транспортировке газа компании "Газпром трансгаз Югорск" сертифицированы
и соответствуют требованиям международного (ISO 9001:2008), национального (ГОСТ
Р ИСО 9001-2008) и отраслевого (СТО Газпром 9001-2006) стандартов. Сертификаты
о соответствии выданы международной сетью IQNet, национальной системой
сертификации ГОСТ Р и системой добровольной сертификации
"Газпромсерт".
Основными методами, применяемыми в ЛПУМГ,
являются планирование и контроль посредством отчетной деятельности. Другими
словами, инструментами регулирования деятельности ЛПУМГ служат краткосрочный и
долгосрочный планы, система отчетности.
Ежемесячно каждое отделение предоставляет отчет
о выполненной работе за месяц. Существуют также квартальные и годовые отчеты,
где отражены основные результаты деятельности ЛПУМГ.
Особое место в регулировании деятельности предприятия
занимает материальное стимулирование работников. Целью материального
стимулирования является увеличение заинтересованности в занятии наукой,
привлечении дополнительных доходов, в проявлении предприимчивости и разработке
обучающего курса или программы, проявлении учебной, научной,
предпринимательской и иной активности сотрудников.
Целью материальной заинтересованности персонала,
работников хозяйственных подразделений, управленческих структур является
заинтересованность в конечных результатах работы, росте поступлений денежных
средств и использование их с максимальной эффективностью.
Материальное стимулирование работников
производится по результатам работы с учетом вклада работника в выполнение
поставленных перед подразделением задач путем установления надбавок
постоянного, временного или разового характера из бюджетных и внебюджетных
средств. Размер и количество надбавок предельными размерами не ограничивается.
Стимулирующие надбавки устанавливаются приказами
директора на основании служебных записок руководителей структурных
подразделений. Надбавка выплачивается из фонда оплаты труда.
. Организация выполнения работ
Ключевым для выполнения производственного плана
газотранспортного предприятия является процесс перекачки газа. Именно он
определяет факт оказания услуги.

Процесс перекачки газа в значительной степени
автоматизирован, и большая часть параметров данного процесса и соответствующих
решений обусловлена технологией работы оборудования компрессорных станций.
Таблица 2
Объем поставок в Лонг-Юганском ЛПУМГ в 2012 г.
|
Поставщики
|
Факт,
млн. руб.
|
|
Децентрализованные
поставщики
|
5073,2
|
|
Централизованные
поставщики, в том числе:
|
|
|
-
ООО "Газкомплектимпэкс"
|
287,2
|
|
-
ОАО "Центрэнргогаз"
|
356,4
|
|
-
ОАО "Газпром"
|
323,8
|
|
-
ОАО "Газэнергосервис"
|
140,7
|
|
-
УМТиК ООО "ГТЮ"
|
1287,2
|
|
-
Другие централизованные поставщики
|
36,5
|
|
Всего
поставок
|
7217,7
|
Выполнение плана достигается правильной
эксплуатацией оборудования компрессорных станций, своевременной и качественной
диагностикой трубопроводов и конденсатопроводов, своевременным и качественным
техническим обслуживанием, текущим и капитальным ремонтом, снабжением
материально-техническими ресурсами (МТР) для проведения ремонтов и эксплуатации
оборудования (материально-технические ресурсы на ремонтно-эксплуатационные и
производственно-эксплутационные нужды).
Исходя из этого ключевыми с точки зрения
организации и управления являются обеспечивающие процессы:
техническое обслуживание и ремонт оборудования
(ТОРО)
материально-техническое обеспечение (МТО).
Современное газотранспортное предприятие -
объект со сложной инфраструктурой, как в части функционального назначения
структурных подразделений, так и в части их географической распределенности.
Эти факторы оказывают существенное влияние на экономическую эффективность
производственной деятельности, повышение которой - приоритетная задача любого
предприятия.
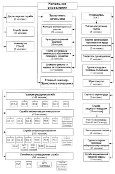
. Организация управления хозяйствующим субъектом
Эффективность деятельности ЛПУМГ во многом
зависит от эффективности построения организационной и производственной
структуры и существующей системы управления.
Рис. 2 - Организационная структура
Лонг-Юганского ЛПУМГ
Производственная структура предприятия
регламентируется Положением о филиале ООО "Тюментрансгаз",
Положениями о службе, инструкциями, которые определяют функции, права и
обязанности, взаимодействие между структурными подразделениями, а внутри
подразделения - каждого исполнителя (рис. 3).
При построении структуры организации исходят из
вертикального и горизонтального разделения труда. Вертикальное разделение
характеризует иерархию предприятия, т.е. разграничение прав и обязанностей
руководителей и подчиненных. Горизонтальное разделение подразумевает
функциональное разделение на одном уровне иерархии.
Организационная структура ЛПУ МГ
линейно-функциональная, для которой характерно управление широкомасштабным
производством со сложными связями. Выполнение отдельных функций по конкретным
вопросам возлагается на специалистов. Специалисты одного профиля объединяются в
структурные подразделения и принимаются решения, которые обязательны для
производственных подразделений.
Рис. 3. Производственная структура ЛПУ МГ
Газотранспортные предприятия отличает четкое
разделение функций административного аппарата и функций структурных
подразделений. Административный аппарат осуществляет управление
финансово-хозяйственной деятельностью предприятия и координацию работы его
филиалов, распределенных на значительной территории. На филиалы возложены
функции исполнения производственных планов и экономических показателей. Каждый
филиал имеет, в свою очередь, и административную и цеховую структуру. Зачастую,
количество уровней управления, разделяющих администрацию предприятия и
производственные подразделения, различается для определенных географических
зон. Речь идет о региональных управлениях, объединяющих подразделения одного
функционального назначения в пределах региона. Причина возникновения множества
уровней управления состоит все в той же географической распределенности,
затрудняющей коммуникации, и, как следствие, оперативное управление
подразделениями. Тем не менее, существование ряда региональных подразделений
как структурных единиц ставится под сомнение по мере развития корпоративной
информационной системы на предприятии, которая позволяет решить задачу
информационной коммуникации и повысить оперативность передачи данных в
администрацию.
В структуре компании присутствуют все
необходимые подразделения для ремонтно-технического, транспортного
обслуживания, материально-технического снабжения, строительства и реконструкции
сложной газотранспортной системы, социального и коммунального обеспечения
трассовых поселков.
Производственная инфраструктура предприятия
включает следующие хозяйства: ремонтное, энергетическое, инструментальное,
транспортное, снабженческое, сбытовое и складское хозяйства. Состав и масштабы
этих подразделений предприятия определяются особенностями основного производства,
типом и размерами предприятия и его производственными связями с внутренней и
внешней средой.
Инструментальные цехи и службы предприятия
должны обеспечить основное производство инструментом и оснасткой высокого
качества при минимальных издержках на изготовление и эксплуатацию. Посредством
выполнение своих задач от данной службы зависит внедрение передовой технологии,
механизация трудоемких работ, а также повышение качества изделий и снижение их
себестоимости.
Транспортные, снабженческие и складские цехи и
службы предприятия должны обеспечить своевременную поставку всех материальных
ресурсов, их хранение и движение в процессе производства. От работы этих служб
зависит ритмичность производственного процесса и экономичное использование
материальных ресурсов.
Ремонтные цехи и службы предприятия должны
обеспечить рабочее состояние технологического оборудования путем его ремонта и
модернизации. От данной службы зависит длительность службы оборудования,
величина потерь от простоев и общая эффективность работы предприятия.
Энергетические цехи и службы должны обеспечить
предприятие всеми видами энергии и организовать рациональное ее использование.
От работы этих цехов зависит уровень энерговооруженности труда и развитие
прогрессивных технологических процессов, использующих энергию.
Все вышеперечисленные цехи и службы своей
деятельностью способствуют нормальной работе основного производства, не
участвуя в создании основной продукции предприятия.
Производственная структура ЛПУМГ включает:
линейная часть (ЛЧ) с отводами и лупингами,
запорной арматурой, переходами через естественные и искусственные препятствия,
узлами пуска и приема очистных устройств и дефектоскопов, узлами сбора и
хранения конденсата, устройствами для ввода метанола в газопровод, перемычки;
компрессорные станции (КС) на которых
установлены газоперекачивающие агрегаты (ГПА), узлы их подключения,
газораспределительные станции (ГРС), сооружения по очистке и осушке газа,
газопроводы и отводы от них; станции охлаждения газа (СОГ), узлы редуцирования газа
(УРГ), газоизмерительные станции (ГИС);
установки электрохимической защиты (ЭХЗ)
газопроводов от коррозии; линии электропередачи, предназначенные для
обслуживания газопроводов, устройства электроснабжения и дистанционного
управления запорной арматурой и установками ЭХЗ;
линии и сооружения технологической связи,
средства телемеханики, противопожарные средства, противоэрозионные и защитные
сооружения, емкости для сбора, хранения и разгазирования газового конденсата;
здания и сооружения;
постоянные дороги и вертолетные площадки,
расположенные вдоль трассы газопроводов, и подъезды к ним, опознавательные и
сигнальные знаки местонахождения газопроводов.
. Управление персоналом предприятия
Для качественного и своевременного выполнения
работ по транспортировке газа Лонг-Юганское ЛПУМГ располагает
высококвалифицированным персоналом. Наряду с работниками, имеющими многолетний
опыт работы в нефтегазовой отрасли, происходит планомерный приток молодых
специалистов, прошедших обучение в высших и средних специальных учебных
заведениях.
На сегодняшний день в коллективе трудятся 468
человек, которые обслуживают и эксплуатируют оборудование компрессорной
станции, линейной части МГ, системы энергоснабжения, тепловодоснабжения,
объекты социальной сферы и труда. На предприятии сложился сплочённый коллектив
профессионалов, способных качественно и в строго отведённый срок решать
поставленные задачи вне зависимости от уровня их сложности.
Коллектив отчетливо осознает всю значимость и
важность своей работы, от которой зависит надежность газоснабжения России и
стран Ближнего и Дальнего зарубежья.
Динамика движения численности работников
предприятия представлена в таблице 3.
Таблица 3
Анализ движения численности работников
Лонг-Юганского ЛПУМГ в 2011-2012 гг.
|
Период
|
Всего
человек по списку
|
Принято
чел.
|
Выбыло
человек
|
Оборот
по приему
|
Оборот
по выбытию
|
Коэффициент
замещения
|
Коэффициент
текучести кадров
|
Средний
возраст работников, лет
|
|
2011
год
|
479
|
2
|
0,4
|
2,7
|
-2,3
|
2,7
|
43
|
|
2012
год
|
468
|
3
|
2
|
0,6
|
0,4
|
0,2
|
0,4
|
40
|
|
Отклонение
2012 к 2011 году
|
-11
|
1
|
-11
|
0,2
|
-2,3
|
2,5
|
-2,3
|
-3
|
По данным о движении численности персонала в
Лонг-Юганском ЛПУ МГ в 2011 году число принятых на работу составляло 2 человек
(коэффициент оборота по приему равен 0,4%), а число выбывших за год - 13 чел.
(коэффициент оборота по выбытию равен 2,7%).
В 2012 году движения персонала незначительны -
коэффициент по приему - 0,6%, коэффициент по выбытию - 0,4%.
Причинами увольнения являются: уход на пенсию,
перевод в другие филиалы и структуры ООО "Газпром трансгаз Югорск".
Средний возраст работников каждый год снижается
и в 2012 году составил 40 лет.
Руководство ЛПУ придает большое значение
совершенствованию технологии и повышению квалификации сотрудников, тем самым
повышая надежность и стабильность производственного процесса. 100% руководящего
состава и 96% ИТР имеют высшее профессиональное образование, 42 работника в
настоящее время обучаются в ВУЗах, рабочие повышают свою квалификацию в
Игримском ЦПК.
Лонг-Юганское ЛПУМГ называют "кузницей
кадров". Обладание этим высоким званием свидетельствует о незаурядном
инженерно-техническом и творческом потенциале коллектива.
Политика управления человеческими ресурсами
направлена на создание эффективного механизма управления персоналом на основе
социального партнерства в целях обеспечения основной деятельности.
ЛПУМГ стремится к сбалансированному достижению
социально-экономических целей развития, в связи с чем приоритетными для нее
задачами являются всемерное содействие росту квалификации, профессиональных
навыков, умений и на этой основе доходов своих работников при одновременном
обеспечение безопасных условий труда, защиты здоровья персонала и населения,
проживающего в районах деятельности ЛПУМГ. Целенаправленная система
материального вознаграждения позволила обеспечить высокие технико-экономические
показатели и обеспечить ощутимый рост заработной платы персонала ЛПУМГ.
Система вознаграждения за результаты труда
направлена на привлечение, мотивацию и удержание работников, квалификация и
результативный труд которых обеспечат успешное выполнение поставленных
Обществом производственных задач с минимальными затратами и максимальной
эффективностью.
Социальная политика, являясь неотъемлемой частью
системы управления человеческими ресурсами, направлена па повышение
престижности работы в Компании и обеспечивает:
комфортные и безопасные условия труда;
медицинское обслуживание;
различные виды страхования;
предоставление гарантий защищенности от
несчастных случаев на производстве и профессиональных заболеваний;
поддержку и развитие физической культуры и
спорта;
развитие самодеятельного творчества работников;
решение жилищных вопросов с использованием
системы ипотечного кредитования;
поддержку молодых специалистов, способствуя их
скорейшей адаптации в Обществе, стремлению к самореализации;
развитие негосударственного пенсионного
обеспечения через негосударственный пенсионный фонд "Газфонд";
поддержку работникам, уволившимся на пенсию,
оказание им материальной помощи и привлечение к участию в корпоративных
мероприятиях.
Корпоративные коммуникации направлены на ясное,
открытое, своевременное и имеющее обратную связь информирование работников по
вопросам деятельности Общества, затрагивающих их интересы.
Эффективная Политика управления человеческими
ресурсами, способствующая успешному развитию ЛПУМГ и достижению им
стратегических целей, должна предусматривать гибкую систему управления
результативностью деятельности персонала на всех уровнях.
. Организация бюджетного управления
Бюджетное управление - это система планирования,
учета, контроля и анализа деятельности предприятия в финансовом выражении. Это
система, которая ведется в формате бюджетов по центрам ответственности. Бюджет
- это точный расчет всех ресурсов предприятия для достижения поставленных
целей, мотивированный на их достижение персонал, оперативность и качество
принимаемых управленческих решений.
Основной бюджет представляет собой
прогнозируемое состояние основных финансовых отчетов на момент окончания
рассматриваемого при планировании периода.
Существует много разновидностей бюджетов, применяемых
в зависимости от структуры и размера организации, распределения полномочий,
особенностей деятельности и т.п.
Долгосрочные и краткосрочные бюджеты (Short-
& Long-term budgets). Зачастую в компании долгосрочное и краткосрочное
бюджетирование объединяются в единый процесс. В этом случае краткосрочный
бюджет составляется в рамках разработанного долгосрочного и поддерживает его, а
долгосрочный уточняется по прошествии каждого периода краткосрочного
планирования и как бы "прокатывается" вперед еще на один период.
Постатейные бюджеты (line-item budgets).
Постатейный бюджет предусматривает жесткое ограничение суммы по каждой
отдельной статье расходов без возможности переноса в другую статью.
Бюджеты с временным периодом (Lapsing Budgets).
Этот термин означает систему бюджетирования, в которой неизрасходованный на
конец периода остаток средств не переносится на следующий период. Эта
разновидность бюджета используется в большинстве организаций, т.к. позволяет
более четко контролировать деятельность менеджеров и расход ресурсов компании,
пресекая "накопительские" тенденции.
Гибкие и статичные бюджеты. При составлении
гибкого бюджета расходы ставятся в зависимость от некоего параметра, как
правило, характеризующего объем производства или продаж. Гибкий бюджет хорош
тем, что позволяет более адекватно оценить эффективность работы подразделений,
не обеспечивающих продажи, а играющих по отношению к ним поддерживающую роль.
Преемственные бюджеты и бюджеты с нулевым
уровнем (Incremental & Zero-Base budgets). Бюджет с нулевым уровнем - это
бюджет, который каждый раз составляется заново, "с нуля". В
противоположность ему, у преемственного бюджета есть нечто вроде шаблона, в
который при очередном бюджетировании лишь вносятся коррективы, отражающие
текущие изменения по сравнению с устоявшимся процессом. Преемственный бюджет
намного снижает объем усилий и времени, затрачиваемых на бюджетный процесс.
Однако он имеет и довольно серьезные недостатки, основным из которых является
опасность образования "застойных участков", тянущихся из прошлого без
изменений, которые при составлении бюджета "с нуля" могли бы быть
пересмотрены и оптимизированы.
Разработка бюджета включает в себя четыре
основные этапа:
постановка проблемы и сбор исходной информации
для разработки проекта бюджета;
анализ и обобщение собранной информации, расчет
научно-обоснованных показателей экономической деятельности предприятия,
формирование проекта бюджета;
оценка проекта бюджета;
утверждение бюджета.
Платформой для внедрения бюджетирования на
предприятии является управленческий учет - система учета фактических затрат и
расчета экономических показателей.
Сводный бюджет компании состоит из трех бюджетов
первого уровня - операционного, инвестиционного и финансового.
Рис. 4 - Блок-схема составления сводного бюджета
промышленного предприятия
Операционный бюджет фокусируется на
моделировании будущих доходов и расходов от текущих операций за бюджетный
период. Объектом рассмотрения операционного бюджета является финансовый цикл
предприятия.
Инвестиционный бюджет рассматривает вопросы
обновления и выбытия капитальных активов, т.е. основу инвестиционного цикла.
Цель финансового бюджета - планирование баланса
денежных поступлений и расходов, а в более широком смысле - баланса оборотных
средств и текущих обязательств для поддержания финансовой устойчивости
предприятия в течении бюджетного периода.
Операционный бюджет состоит из ряда бюджетов
второго уровня:
бюджет продаж является планом доходов от продаж,
физического объема и структуры продаж, себестоимости продаж и коммерческих
расходов предприятия на бюджетный период;
бюджет производства является планом физического
объема и структуры выпуска (производственной программы) и производственных затрат
и себестоимости выпуска предприятия на бюджетный период;
бюджет запасов готовой продукции является планом
изменения стоимостного и физического объема и структуры запасов готовой
продукции предприятия за бюджетный период;
бюджет закупок является планом закупок
материальных оборотных средств и изменения складских запасов материальных
оборотных средств предприятия за бюджетный период.
В свою очередь, некоторые бюджеты второго уровня
складываются из бюджетов третьего уровня, бюджеты третьего уровня могут
распадаться на бюджеты четвертого уровня и т.д., в зависимости от масштабов и
многообразия хозяйственных операций предприятия.
Каждый из подбюджетов различных уровней занимают
свою, строго определенную "нишу" и играет свою четкую роль в
составлении технологии составления сводного бюджета.
Рис. 5 - Иерархическая структура сводного
бюджета предприятия
бюджетный управление ценообразование
бухгалтерский
Операционный бюджет является планом доходов
(выручки), расходов и конечных финансовых результатов предприятия на бюджетный
период.
Инвестиционный бюджет является планом
капитальных затрат и долгосрочных финансовых вложений предприятия на бюджетный
период.
Финансовый бюджет является планом, во-первых,
денежных поступлений и расходов, во-вторых, движения всех ликвидных ресурсов и
текущих обязательств предприятия на бюджетный период.
7. Система планирования деятельности предприятия
Стратегическими целями ЛПУМГ являются:
стабильное, бесперебойное и экономически
эффективное удовлетворение внутреннего и внешнего спроса на газ;
совершенствование системы газоснабжения;
совершенствование организационной структуры
филиала в целях повышения экономических результатов ее деятельности;
обеспечение стабильных поступлений в доходную
часть консолидированного бюджета России в соответствии со значением
энергетического сектора в формировании валового внутреннего продукта и экспорта
на заданном временном этапе государственной энергетической политики.
Лонг-Юганское ЛПУМГ намерено и впредь
придерживаться в своей деятельности следующих основополагающих корпоративных
ценностей:
Точность. Выполнение взятых на себя деловых,
финансовых и технических обязательств, в соблюдении достигнутых с заказчиками и
партнерами договоренностей.
Надежность. Соблюдение сроков, объемов, качества
и полной завершенности оказываемых услуг.
Безопасность. Гарантия безопасности, как текущих
работ, так и созданных в результате их выполнения объектов для эксплуатационников
и для окружающей среды.
Конструктивный подход. Взаимодействие с
заказчиками и партнерами происходит с учетом их интересов, пониманием их
потребностей, с целью достичь приемлемого компромисса.
Инновационный настрой. Планирование
взаимовыгодных прогрессивных нововведений организационного и технического
характера.
Эффективность. Доходность инвестиций, текущих
затрат, а также отдача от вложений в развитие человеческого потенциала.
Неукоснительное следование заявленным
корпоративным ценностям является надежной гарантией для компаний, намеренных
долговременно сотрудничать с нами, в том, что Лонг-Юганское ЛПУМГ - это точно
выверенный расчет и наилучшее соотношение затрат и результатов в интересах
достижения поставленных задач при максимально высоком качестве и минимально
возможном времени: наиболее рациональное и эффективное использование
интеллектуальных, материально-технических, финансовых и природных ресурсов:
прозрачное и доброжелательное взаимодействие с заказчиками и партнерами:
непрерывное совершенствование и целенаправленный поиск наиболее оптимальных
направлений взаимного сотрудничества.
Сейчас Лонг-Юганское ЛПУМГ пользуется репутацией
надёжного делового партнёра и входит в число лучших предприятий ЯНАО. Оно
неоднократно отмечалось почётными грамотами и благодарностями ООО "Газпром
трансгаз Югорск", общественных организаций, местных органов власти. ЛПУМГ
- номинант (2003) и лауреат (2005) региональной общественной премии
"Достояние Севера".
Положениями обновленной экологической политики
определены следующие приоритеты деятельности на ближайшее время:
сохранение природной среды в зоне размещения
объектов газовой промышленности, рациональное природопользование;
обеспечение промышленной и экологической
безопасности транспорта;
обеспечение безопасности труда и сохранения
здоровья работников ЛПУМГ;
участие в обеспечении экологической безопасности
регионов, где размещены объекты ЛПУМГ.
Для реализации экополитики разработан и
реализуется ряд целевых научно-технических программ, в частности:
по сокращению выбросов оксидов азота на
компрессорных станциях;
по борьбе с шумом в цехах;
по созданию и внедрению систем качественного
водоснабжения и экологически чистого водоотведения;
по созданию и внедрению системы
производственного экологического мониторинга объектов ЛПУМГ.
Конкретные задачи природоохранной деятельности и
обязательства предприятий актуальны и направлены на постепенное улучшение
экологической ситуации.
Дважды в год (по итогам работы за полугодие)
осуществляется экспертная оценка природоохранной деятельности ЛПУМГ.
Вся производственная деятельность ЛПУМГ ведется
с учетом необходимости наиболее рационального использования невосполнимых
природных ресурсов и минимизации неблагоприятных воздействий на окружающую
среду.
. Механизм ценообразования на работы
Основной принцип политики в области
ценообразования можно сформулировать следующим образом: "Ценовая политика
в газовой отрасли должна исходить, прежде всего, из существующей и
перспективной потребности экономики страны в ее продукции и услугах".
Такая формулировка значится в тексте документа "Основные принципы политики
ценообразования на газ". Цены на голубое топливо зависят от ряда
положений, среди которых можно выделить нижеследующие:
возмещение организациям газовой отрасли всех
экономических затрат и прибыли, обеспечивающих устойчивое газоснабжение
российских потребителей в необходимых объемах и исполнение международных
обязательств по экспортным поставкам газа;
создание в перспективе равновыгодных условий для
поставки газа российским и зарубежным потребителям;
ликвидация перекрестного субсидирования одних
потребителей газа за счет других;
постепенный переход к формированию рыночных
механизмов ценообразования на газ вместо директивных;
объективный учет в ценах на газ его качественных
характеристик по сравнению с альтернативными видами топлива, обеспечивающий его
рациональное использование.
В соответствии с Постановлением Правительства
№1021 ФСТ устанавливает оптовые цены на газ, поставляемый "Газпромом"
и собственниками региональных систем газоснабжения на внутренний рынок.
Отношения между российскими поставщиками газа и
покупателями регулируются Постановлением Правительства РФ о правилах поставки
газа от 5 февраля 1998 года №162 "Об утверждении правил поставки газа в
Российской Федерации". В соответствии с данным Постановлением определен
порядок заключения и исполнения договоров поставки газа; установлен круг
покупателей, имеющих преимущественное право на заключение таких договоров.
. Статистический, управленческий и бухгалтерский
учет на предприятии
Бухгалтерская отчетность сформирована на основе
законодательных и нормативных актов, методических указаний по Российской
Федерации о бухгалтерском учете и учетной политикой, принятой ООО "Газпром
транс". Бухгалтерский учет ведется по журнально-ордерной форме счетоводства
с использованием АРМ и автоматизированной системы бухгалтерского учета,
утвержденного приказом Минфина РФ от 31 октября 2000г. №94 Н (в редакции от
07.05.2003 г.).
Первичные учетные документы оформляются в
соответствии с Постановлением Правительства, устанавливающего единые правовые и
методические основы организации ведение бухгалтерского учета, других
Федеральных законов и нормативных актов и методических указаний, а также
учетной политикой.
Для обеспечения достоверности данных
бухгалтерского отчета и бухгалтерской отчетности проводится полная
инвентаризация всех статей бухгалтерского баланса, производственных запасов,
средств в расчетах финансовых обязательств.
Управленческий учет выражен весьма слабо и
заключается в основном управлением рабочим временем сотрудников и движением
кадров. Такой учет имеет место и при управлении финансовыми потоками
предприятия, однако при функционально-штабной организационной структуре
управления рассматриваемый учет более выражен при деятельности временных творческих
коллективов, которые решают те или иные задачи заказчиков.
Управленческий учет обеспечивает информационную
поддержку системы управления деятельностью. Этот процесс включает сбор,
хранение, защиту, анализ, подготовку, передачу и прием информации, необходимой
управленческому аппарату для выполнения его функций.
Информационное обеспечение курсового проекта по
предмету "Финансовый менеджмент"
Тема курсового проекта: "Формирование
бюджета предприятия"
|
Содержание
курсового проекта
|
Информация
|
Источник
|
|
1
Система бюджетного управления и ее роль в эффективности хозяйственной
деятельности
|
|
1.1
Целевые задачи бюджетного управления и организация их выполнения
|
Система
планирования, учета, контроля и анализа деятельности предприятия в финансовом
выражении, ее задачи и способы организации
|
-
Методические рекомендации по планированию и калькуляции себестоимости
транспортировки газа
|
|
1.2
Характеристика состава и содержания работ по формированию бюджета предприятия
|
Основные
этапы формирования бюджета, их характеристика
|
-
Методические рекомендации по планированию и калькуляции себестоимости
транспортировки газа - Производственная программа на 2013г.
|
|
2
Технология формирования бюджета предприятия
|
|
2.1
Концептуальная схема формирования бюджета
|
Принцип
формирования бюджета затрат, его структурные элементы
|
-"Методические
рекомендации по разработке финансовой политики предприятия",
утвержденные приказом Министерства экономики России от 1 октября 1997 г.
№118.
|
|
2.2
Методика расчета бюджета затрат
|
Принципы
и этапы расчета затрат предприятия: на материальные ресурсы, оплату труда,
транспортные расходы, амортизацию и т.д.
|
|
2.3
Информационная база бюджетного планирования
|
Нормы
и нормативы затрат, методы расчета показателй
|
Годовой
отчет о работе предприятия за истекший календарный год; баланс предприятия на
начало года; прогноз производственной программы на год.
|
|
3.
Формирование планового бюджета предприятия
|
|
3.1
Оценка ресурсоемкости выполнения производственной программы
|
Анализ
потребности в материальных и трудовых ресурсах на предприятии для выполнения
планового объема работ
|
-
Производственная программа на 2013г. - План работ на 2013г. - Методика
формирования затрат - Нормы расходов товароматериальных ценностей
|
|
3.2
Расчет операционного бюджета затрат
|
Расчет
затрат на материалы, заработную плату, амортизацию и т.д. для строительства
дорог в плановом периоде
|
-
договоры на поставку ТМЦ, - штатное расписание
|
Список использованных источников
1.
Веснин В.Р. Основы менеджмента: Учебник. - М., 2008. - 384 с.
.
Виханский О.С., Наумов А.И. Менеджмент: учебник / О.С. Виханский,
.
Гладков И.С. Менеджмент: Учебное пособие. - М.: Издательско-торговая корпорация
"Дашков и К", 2007. - 312 с.
.
Герчикова И.Н. Менеджмент: Учебник. - М., 2008. - 480 с.
.
Драчева Е.Л., Юликов Л.И. Менеджмент: учебное пособие для студентов,
обучающихся по специальностям экономики и управления. М.: Изд-во
"Мастерство", 2007. - 346 с.
.
Зайцев Н.Л. Экономика, организация и управление предприятием: учебное пособие.
- 2-е изд., доп. - М.: ИНФРА-М, 2008. - 455с.
.
Лукичева Л.И. Управление организацией: учебное пособие. - М.: Омега-Л, 2007,
390 с.
.
Лукичева Л.И. Управление персоналом: курс лекций / под ред. Ю.П. Анискина. -
3-изд., стер. - М.: Омега-Л, 2008. - 264 с.
.
Годовой отчет ООО "Газпром трансгаз Югорск" филиал Лонг-Юганское
ЛПУМГ за 2009 г.
.
Годовой отчет ООО "Газпром трансгаз Югорск" филиал Лонг-Юганское
ЛПУМГ за 2011 г.
.
Годовой отчет ООО "Газпром трансгаз Югорск" филиал Лонг-Юганское
ЛПУМГ за 2012 г.
.
Скляренко В.К., Прудников В.М., Акуленко Н.Б., Кучеренко А.И. "Экономика
предприятия" (в схемах, таблицах, расчетах): учебное пособие / Под ред.
В.К. Скляренко, В.М. Прудникова. - М.: ИНФРА-М, 2007.-265 с.
.Управление
организацией: учебник / под ред. А.Г. Поршнева, З.П. Румянцевой, Н.А.
Саломатина. - 4-е изд., перераб. и доп. - М.: ИНФРА-М, 2008. - 670 с.