Методы оценки эффективности инвестиционных проектов

  • Вид работы:
    Курсовая работа (т)
  • Предмет:
    Финансы, деньги, кредит
  • Язык:
    Русский
    ,
    Формат файла:
    MS Word
    35,48 Кб
  • Опубликовано:
    2015-01-26
Вы можете узнать стоимость помощи в написании студенческой работы.
Помощь в написании работы, которую точно примут!

Методы оценки эффективности инвестиционных проектов

МИНОБРНАУКИ

ФЕДЕРАЛЬНОЕ ГОСУДАРСТВЕННОЕ БЮДЖЕТНОЕ ОБРАЗОВАТЕЛЬНОЕ УЧЕРЕЖДЕНИЕ ВЫСШЕГО ПРОФЕССИОНАЛЬНОГО ОБРАЗОВАНИЯ

САМАРСКИЙ ГОСУДАРСТВЕННЫ ТЕХНИЧЕСКИЙ УНИВЕРСИТЕТ

Инженерно-Экономический факультет

Кафедра производственного менеджмента




Курсовая работа на тему:

«Методы оценки эффективности инвестиционных проектов»













Самара 2014

Содержание

Введение

. Методы оценки эффективности проектов

. Показатели эффективности инвестиций

.1 Чистая текущая стоимость проекта (NPV)

.2 Внутренняя норма рентабельности (IRR)

.3 Индекс прибыльности инвестиций (PI)

.4 Индикатор ROC

.5 Дисконтированный период окупаемости (РР)

Заключение

Список использованных источников

Приложение

оценка инвестиционный стоимость капитал

Введение

Важнейшее свойство денег, вложенных в какое-либо дело - способность приносить хозяину дополнительный доход. Однако не с каждого проекта можно получить прибыль. Эффективность инвестиций - это категория, сущность которой заключается в соответствии проекта интересам, целям людей, которые принимают в нем участие. Вопрос, касающийся оценки дел, в которые вкладываются инвестиции, является очень актуальным. Чтобы принять решение о долгосрочном инвестировании, нужно располагать полезной информацией, которая должна подтверждать следующие моменты: вложенные деньги не будут утеряны и в будущем хозяину будут полностью возвращены; полученная прибыль должна компенсировать отказ от использования денег, который имел место быть в прошлом.

Вообще инвестиционная привлекательность - сложное и многогранное понятие, которое заключается в целесообразности вложения средств в данную организацию. Выделяют ряд аспектов инвестиционной привлекательности организации: технический; коммерческий; экологический; институциональный; социальный; финансовый. Все рассмотренные аспекты инвестиционной привлекательности организации взаимосвязаны, поэтому в процессе стратегического управления инвестициями предприятия отдельные аспекты должны быть оптимизированы между собой для эффективной реализации его главной цели - обеспечения финансового равновесия предприятия, находящегося в кризисе в процессе осуществления инвестиционной деятельности. Такое равновесие характеризуется высоким уровнем финансовой устойчивости и платежеспособности предприятия на всех этапах его развития. Оно является одним из важнейших условий осуществления предприятием эффективной инвестиционной деятельности. Это связано с дефицитом финансовых средств в условиях финансового оздоровления организации. Поэтому осуществляя инвестиционную деятельность во всех ее аспектах, предприятие должно заранее прогнозировать, какое влияние она окажет на уровень финансовой устойчивости и платежеспособности предприятия, а также оптимизировать в этих целях структуру инвестируемого капитала и инвестиционные денежные потоки.

Сущность, порядок расчета и особенности применения в оценочной практике показателей экономической эффективности инвестиционных проектов необходимо постоянно изучать. Это обусловлено, с одной стороны тем, что инвестиционный проект выступает либо как самостоятельный объект оценки, либо как один из элементов собственности, выделяемых в затратном подходе наряду с машинами и оборудованием, интеллектуальной собственностью и т.д.

С другой стороны, если целью оценки является купля-продажа собственности, то потенциальный собственник предполагает инвестировать средства, совпадающие с итоговой величиной стоимости, определенной по совокупности трех подходов: доходного, сравнительного и затратного. Следовательно, процесс дисконтирования, осуществленный в доходном подходе, нуждается к корректировке.

Привлекательность инвестиционного проекта может быть оценена по большому числу факторов и критериев: ситуации на рынке инвестиций, состоянию финансового рынка, профессиональным интересам и навыкам инвестора, финансовой состоятельности проекта, геополитическому фактору и т.д. Однако на практике существуют универсальные методы инвестиционной привлекательности проектов, которые дают формальный ответ: выгодно или невыгодно вкладывать деньги в данный проект; какой проект предпочесть при выборе из нескольких вариантов.

Инвестирование с точки зрения владельца капитала означает отказ от сиюминутных выгод ради получения дохода в будущем. Проблема оценки инвестиционной привлекательности состоит в анализе предполагаемых вложений в проект и потока доходов от его использования. Аналитик должен оценить, насколько предполагаемые результаты отвечают требованиям инвестора по уровню доходности и сроку окупаемости.

Для принятия решения по инвестиционному проекту необходимо располагать информацией о характере полного возмещения затрат, а также о соответствии уровня дополнительного получаемого дохода степени риска неопределенности достижения конечного результата.

1. Методы оценки эффективности проектов

Методы оценки эффективности проектов - это способы определения целесообразности долгосрочного вложения капитала в различные объекты (проекты, мероприятия) с целью оценки перспектив их прибыльности и окупаемости.

Для оценки инвестиционного проекта можно использовать несколько основных методов анализа инвестиционных проектов это:

Метод простой (бухгалтерской) нормы прибыли;

Метод расчета периода окупаемости проекта;

Метод чистой настоящей (текущей) стоимости (NPV);

Метод внутренней нормы рентабельности (IRR).

Методы оценки, используемые в отечественной практике (коэффициент эффективности - отношение среднегодовой суммы прибыли к сумме капитальных вложений и срок окупаемости - обратный ему показатель) имеют ряд существенных недостатков, которые не позволяют получить объективную оценку эффективности инвестиций:

при расчетах каждого из перечисленных показателей не учитывается фактор времени - ни прибыль, ни объем инвестиций не приводятся к настоящей стоимости. Тогда, в процессе расчета сопоставляются заведомо несопоставимые значения - сумма инвестиций в настоящей стоимости и сумма прибыли в будущей стоимости;

показателем возврата инвестируемого капитала применяется только прибыль. Однако в реальной практике инвестиции возвращаются в виде денежного потока, состоящего из суммы чистой прибыли и амортизации. Следовательно, оценка эффективности инвестиций только на основе прибыли сильно искажает результаты расчетов (искусственно занижает коэффициент эффективности и завышает срок окупаемости);

рассматриваемые показатели позволяют получить только одностороннюю оценку эффективности инвестиционного проекта, так как оба они основаны на использовании одинаковых исходных данных суммы прибыли и суммы инвестиций).

Именно поэтому в мировой практике поток доходов от инвестиционного проекта корректируется с учетом фактора времени и уже в приведенном виде используется для расчета показателей.

Метод простой (бухгалтерской) нормы прибыли

Этот метод базируется на расчете отношения средней за период жизни проекта чистой бухгалтерской прибыли и средней величины инвестиций (затраты основных и оборотных средств) в проект. Выбирается проект с наибольшей средней бухгалтерской нормой прибыли.

Основным достоинством этого метода является его простота для понимания, доступность информации и несложность вычисления. Недостатком его нужно считать то, что он не учитывает не денежный (скрытый) характер некоторых видов затрат (к примеру амортизационные отчисления) и связанную с этим налоговую экономию, а также возможности реинвестирования получаемых доходов, времени притока и оттока денежных средств и временную стоимость денег.

Метод расчета периода окупаемости проекта

При использовании этого метода вычисляется количество лет, необходимых для полной компенсации первоначальных затрат, т.е. определяется момент, когда денежный поток доходов сравняется с суммой денежных потоков затрат. Проект с наименьшим сроком окупаемости выбирается.

Применяется также дисконтный метод окупаемости проекта - определяется срок, через который дисконтированные денежные потоки доходов сравняются с дисконтированными денежными потоками затрат. При этом используется концепция денежных потоков, учитывается возможность реинвестирования доходов и временная стоимость денег.

Обе модификации данного метода просты в понимании и применении и позволяют судить о ликвидности и рискованности проекта, поскольку длительная окупаемость означает длительную иммобилизацию средств (пониженную ликвидность проекта) и повышенную рискованность проекта.

Однако обе модификации игнорируют денежные поступления после истечения срока окупаемости проекта. Они успешно применяются для быстрой оценки проектов, а также в условиях значительной инфляции, политической нестабильности или при дефиците ликвидных средств - т.е. в обстоятельствах, ориентирующих организацию на получение максимальных доходов в кратчайшие сроки.

Метод чистой настоящей (текущей) стоимости (NPV)

Чистая настоящая стоимость проекта определяется как разница между суммой настоящих стоимостей всех денежных потоков доходов и суммой настоящих стоимостей всех денежных потоков затрат, т.е. как чистый денежный поток от проекта, приведенный к настоящей стоимости. Коэффициент дисконтирования при этом принимается равным средней стоимости капитала. Проект принимается, если чистая настоящая стоимость проекта выше нуля. Данный метод не позволяет судить о пороге рентабельности и запасе финансовой прочности проекта.

Использование данного метода осложняется трудностью прогнозирования ставки дисконтирования (средней стоимости капитала) и/или ставки банковского процента.

Метод внутренней нормы рентабельности (IRR)

Все поступления и затраты по проекту приводятся к настоящей стоимости по ставке дисконтирования, полученной не на основе задаваемой извне средней стоимости капитала, а на основе внутренней ставки рентабельности самого проекта. Внутренняя ставка рентабельности определяется как ставка доходности, при которой настоящая стоимость поступлений равна настоящей стоимости затрат, т.е. чистая настоящая стоимость проекта равна нулю. Полученная таким образом чистая настоящая стоимость проекта сопоставляется с чистой настоящей стоимостью затрат. Одобряются проекты с внутренней нормой рентабельности, превышающей среднюю стоимость капитала (принимаемую за минимально допустимый уровень доходности).

Данный метод предполагает сложные вычисления и не всегда выделяет самый прибыльный проект. Метод предполагает мало реализуемую ситуацию реинвестирования всех промежуточных денежных поступлений от проекта по ставке внутренней доходности. Однако метод учитывает изменения стоимости денег во времени.

Следует отметить что, приведенные методы оценки инвестиционного проекта показывают, что в зависимости от того, какой критерий эффективности взят за основу для конкретного проекта, могут быть сделаны различные выводы. Поэтому при анализе инвестиционного проекта следует исходить из конкретных условий деятельности предприятия и поставленных при инвестировании целей. Как правило, наиболее объективную оценку дает комплексное применение различных методов оценки эффективности проектов.

2. Показатели эффективности инвестиций

При анализе инвестиционных проектов используются следующие показатели эффективности инвестиций:

чистая текущая стоимость проекта (NPV);

внутренняя норма рентабельности (IRR);

индекс прибыльности инвестиций (PI);

индикатор ROC;

дисконтированный период окупаемости (РР).

.1Чистая текущая стоимость проекта (net present value, NPV)

это разность между текущей стоимостью денежных поступлений по проекту или инвестиций и текущей стоимостью денежных выплат на получение инвестиций, либо на финансирование проекта, рассчитанная по фиксированной ставке дисконтирования. Значение NPV можно представить как результат, получаемый немедленно после принятия решения об осуществлении данного проекта, так как при расчете NPV исключается воздействие фактора времени, то есть если значение показателя:> 0 - проект принесет прибыль инвесторам;= 0 - увеличение объемов производства не повлияет на получение прибыли инвесторами;< 0 - проект принесет убытки инвесторам.

Первая особенность чистой текущей стоимости проекта (чистого приведенного дохода) состоит в том, что, являясь абсолютным показателем эффективности инвестиционного проекта, он непосредственно зависит от его размера. Чем большим является размер инвестиционных затрат по проекту и соответственно сумма планируемого чистого денежного потока по нему, тем более высоким (при прочих равных условиях) будет абсолютная сумма NPV.

Вторая особенность чистой текущей стоимости проекта заключается в том, что на ее сумму сильное влияние оказывает структура распределения совокупного объема инвестиционных издержек по отдельным периодам времени проектного цикла. Чем большая доля таких затрат осуществляется в будущих периодах проектного цикла (по отношению к его началу), тем большей при прочих равных условиях будет и сумма планируемого чистого приведенного дохода по нему. Наименьшее значение этого показателя формируется при условии полного осуществления инвестиционных затрат с наличием проектного цикла.

Третья особенность чистой текущей стоимости проекта состоит в том, что на его численное значение существенное влияние оказывает время начала эксплуатационной стадии (по отношению к времени начала проектного цикла), позволяющее начать формирование чистого денежного потока по инвестиционному проекту. Чем продолжительней временной интервал между началом проектного цикла и началом эксплуатационной стадии, тем меньшим при прочих равных условиях будет размер NPV.

И наконец, особенность чистого приведенного дохода заключается в том, что его численное значение сильно колеблется в зависимости от уровня дисконтной ставки приведения к настоящей стоимости основных показателей инвестиционного проекта - объема инвестиционных затрат и суммы чистого денежного потока.

На величину NPV влияют два вида факторов: производственный процесс (больше продукции - больше выручки, меньше затраты - больше прибыли и т.д.) и ставка дисконтирования. А также оказывает влияние масштаб деятельности, выраженный в «физических» объемах инвестиций, производства или продаж.

Указанный показатель представляет собой отношение чистой текущей стоимости проекта к дисконтированной (текущей) стоимости инвестиционных затрат (РVI).

Пример расчета чистой текущей стоимости проекта (NPV)

Рассмотрим расчет NPV на примере следующего условного инвестиционного проекта:

Проект осуществляется за 10 шагов.

На нулевом шаге делается инвестиция 200 000 денежных единиц.

На шагах с 1 по 10 получаем доход 50 000 денежных единиц.

Ставка дисконтирования 12% в пересчете на шаг.

В приведенной ниже таблице показан денежный поток инвестиционного проекта. Приведены потоки на каждом шаге, поток нарастающим итогом и дисконтированный поток на каждом шаге и нарастающим итогом.

Таблица 1

Шаг

Денежный поток

Дисконтированный поток


Доход

Расход

Суммарно

Нарастаю щим итогом

На шаге

Нарастающим итогом

0

0

200000

-200000

-200000

-200000

-200000

1

50000

0

50000

-150000

44643

-155357

2

50000

0

50000

-100000

39860

-115497

3

50000

0

50000

-50000

35589

-79908

4

50000

0

50000

0

31776

-48133

5

50000

0

50000

50000

28371

-19761

6

50000

0

50000

100000

25332

5570

7

50000

0

150000

22617

28188

8

50000

0

50000

200000

20194

48382

9

50000

0

50000

250000

18031

66412

10

50000

0

50000

300000

16099

82511


По таблице видно, что в абсолютных цифрах срок окупаемости проекта 4 шага, а срок окупаемости с учетом дисконтирования - 6 шагов.

Чистый доход проекта равен 300 000. Чистый дисконтированный доход (NPV) проекта равен дисконтированному потоку нарастающим итогом на 10-шаге, т.е. 82 511 денежных единиц.

Таким образом, NPV является самым известным показателем, применяемым экспертами по всему миру. Будучи достаточно простым в расчетах, он позволяет определить прирост стоимости бизнеса в результате реализации проекта. Однако он имеет ряд недостатков. Часто по нему невозможно сравнить несколько разных проектов, а также проектов с различной продолжительностью и разным масштабом. К тому же эксперты не могут делать выводы, опираясь только лишь на данный показатель поскольку он показывает, как изменится величина стоимости бизнеса в денежном измерении, но не показывает относительную меру прироста по сравнению с первоначальными вложениями

.2 Внутренняя норма рентабельности (IRR) или внутренняя норма прибыли

рассчитывается на базе показателя NPV, данный коэффициент показывает максимальную стоимость инвестиций, указывает на максимально допустимый относительный уровень расходов, которые могут быть ассоциированы с данным проектом.

Например, если проект полностью финансируется за счет ссуды коммерческого банка, то значение IRR показывает верхнюю границу допустимого уровня банковской процентной ставки, превышение которой делает проект убыточным.

Экономический смысл этого показателя заключается в следующем: предприятие может принимать любые решения инвестиционного характера, уровень рентабельности которых не ниже текущего значения показателя СС (цены источника средств для данного проекта). Именно с ним сравнивается показатель IRR, рассчитанный для конкретного проекта, при этом связь между ними такова:

если IRR > СС, то проект следует принять;

если IRR < СС, то проект следует отвергнуть;

если IRR = СС, то проект ни прибыльный, ни убыточный.

Еще один вариант интерпретации состоит в трактовке внутренней нормы прибыли как возможной нормы дисконта, при которой проект еще выгоден по критерию NPV. Решение принимается на основе сравнения IRR с нормативной рентабельностью; при этом, чем выше значения внутренней нормы рентабельности и больше разница между ее значением и выбранной ставкой дисконта, тем больший запас прочности имеет проект.

Пример расчета внутренней нормы рентабельности (IRR)при переменной барьерной ставке.

Размер инвестиции - $12800.

Доходы от инвестиций в первом году: $7360;

во втором году: $5185;

в третьем году: $6270.

Размер барьерной ставки - 11,4% в первом году;

,7% во втором году;

,5% в третьем году.

Определите приемлемость проекта по параметру IRR.

Рассчитаем для ставки дисконтирования равной ra=20,0%

Пересчитаем денежные потоки в вид текущих стоимостей:= 7360 / (1 + 0,2) = $6133,33= 5185 / (1 + 0,2)^2 = $3600,69= 6270 / (1 + 0,2)^3 = $3628,47(20,0%) = (6133,33 + 3600,69 + 3628,47) - 12800 = 13362,49 - 12800 = $562,49

Рассчитаем для ставки дисконтирования равной rb = 25,0%

Пересчитаем денежные потоки в вид текущих стоимостей:

PV1 = 7360 / (1 + 0,25) = $5888,00= 5185 / (1 + 0,25)^2 = $3318,40= 6270 / (1 + 0,25)^3 = $3210,24(25,0%) = (5888,00 + 3318,40 + 3210,24) - 12800 = 12416,64 - 12800 = -383,36= 20 + (25 - 20)*562,49 / (562,49 - (- 383,36)) = 22,9734%.

Т.к. барьерная ставка переменная, то сравнение производится с эффективной барьерной ставкой. В соответствии с расчетом примера эффективная барьерная ставка равна 10,895%. Внутренний коэффициент окупаемости равен 22,9734%, превышает 10,895%, следовательно, проект принимается.

Таким образом, к достоинствам этого критерия относят объективность, независимость от абсолютного размера инвестиций, информативность. Кроме того, он легко может быть приспособлен для сравнения проектов с различными уровнями риска: проекты с большим уровнем риска должны иметь большую внутреннюю норму доходности. Однако у него есть и недостатки: сложность «безкомпьютерных» расчетов, большая зависимость от точности оценки будущих денежных потоков, а также невозможность использования в случае наличия нескольких корней уравнения.

.3 Индекс прибыльности инвестиций (Profitability Index, PI)

показывает отношение отдачи капитала к размеру вложенного капитала, показатель PI показывает относительную прибыльность проекта или дисконтируемую стоимость денежных поступлений от проекта в расчете на единицу вложений. Индекс прибыльности рассчитывается по формуле: PI = NPV / I, где I - вложения.

Рассматривая показатель «индекс (коэффициент) доходности», необходимо принять во внимание то, что данный ппоказатель является относительным, описывающим не абсолютный размер чистого денежного потока, а его уровень по отношению к инвестиционных затратам. Это преимущество индекса прибыльности инвестиций позволяет использовать его в процессе сравнительной оценки эффективности инвестиционных проектов, различающихся по своим размерам (объему инвестиционных затрат).

Кроме того, PI может быть использован и для исключения неэффективных инвестиционных проектов на предварительной стадии их рассмотрения. Если значение индекса (коэффициента) доходности меньше единицы или равно ей, инвестиционный проект должен быть отвергнут в связи с тем, что он не принесет дополнительный доход на инвестируемый капитал (не обеспечит самовозрастания его стоимости в процессе инвестиционной деятельности).

Критерий принятия решения такой же, как при принятии решения по показателю NPV, т.е. РI > 0. При этом возможны три варианта:

РI > 1,0 - инвестиции рентабельны и приемлемы в соответствии с выбранной ставкой дисконтирования;

РI < 1,0 - инвестиции не способны генерировать требуемую ставку отдачи и неприемлемы;

РI = 1,0 - рассматриваемое направление инвестиций в точности удовлетворяет выбранной ставке отдачи, которая равна IRR.

Проекты с высокими значениями PI более устойчивы. Однако не следует забывать, что очень большие значения индекса (коэффициента) доходности не всегда соответствуют высокому значению чистой текущей стоимости проекта и наоборот.

Дело в том, что проекты, имеющие высокую чистую текущую стоимость не обязательно эффективны, а значит, имеют весьма небольшой индекс прибыльности.

Пример расчета PI

Пример

Начальные вложения в инвестиционный проект составляют I = 50 млн. рублей. Чистый денежный поток проекта представлен следующей таблицей:

Таблица 2

Год

Платёж, млн. рублей

0

-50

1

2

5

3

20

4

40

5

40


Найдём чистую современную стоимость данного проекта для ставки дисконтирования i = 10%:=−50+(−10)/(1+0,1)+5/(1+0,1)2+20/(1+0,1)3+40/(1+0,1)4+40/(1+0,1)5≈12,2 млн. рублей

Рентабельность инвестиционного проекта тогда равна:

=NVP/I≈12,2/50=0,244=24,4%

Срок окупаемости

Срок окупаемости, или PP (англ. payback period) инвестиционного проекта - это период времени, по истечении которого инвестиционные затраты начинают окупаться, то есть NPV становится положительным.

Срок окупаемости обычно используется как дополнительный критерий, когда нужно отсечь заведомо невыгодные проекты. Для этого задаётся некоторый пороговый срок окупаемости, и все проекты, у которых срок окупаемости больше, отбрасываются.

Пример

Чтобы найти срок окупаемости инвестиционного проекта, нужно построить последовательность сумм дисконтированных платежей его чистого денежного потока (в млн. рублей):(1)=−50−10/1+0,1≈−59,1(2)=−50−10/1+0,1+5/(1+0,1)2≈−54,9(3)=−50−10/1+0,1+5/(1+0,1)2+20/(1+0,1)3≈−39,9(4)=−50−10/1+0,1+5/(1+0,1)2+20/(1+0,1)3+40/(1+0,1)4≈−12,6(5)=NVP≈12,2

Как видно, инвестиционный проект начинает окупаться только в последнем, пятом году. Поэтому он, вероятно, не станет очень уж привлекательным для инвесторов.

.4 Индикатор ROC - Price Rate of change (Скорость изменения цены)

Индикатор скорости изменения цены (ROC) показывает разность между текущей ценой и ценой n периодов назад. Он может быть выражен или в пунктах, или в процентах. Индикатор ROC отражает зависимость между теми же величинами, но не в виде разности, а в виде отношения.

.5 Дисконтированный период окупаемости

Дисконтированный период окупаемости (DPP) является одним из наиболее распространенных и понятных показателей оценки эффективности инвестиционного проекта.

Определение этого инструмента мы находим в Методических рекомендациях по оценке эффективности инвестиционных проектов. Дисконтирование, по сути, характеризует изменение покупательной способности денег, то есть их стоимости, с течением времени. На его основе производят сопоставление текущих цен и цен будущих лет.

Рассматривая механизм формирования показателя периода окупаемости, следует обратить внимание на ряд его особенностей, снижающих потенциал его использования в системе оценки эффективности инвестиционных проектов.


Дисконтированный период окупаемости определяется по формуле:

где, n - число периодов;- приток денежных средств в период t;- барьерная ставка (коэффициент дисконтирования);- величина исходных инвестиций в нулевой период.

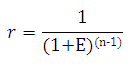
Коэффициент дисконтирования или барьерная ставка это показатель, используемый для приведения величины денежного потока в n-периоде оценки эффективности инвестиционного проекта, другими словами ставка дисконтирования это процентная ставка, используемая для перерасчета будущих потоков доходов в единую величину текущей стоимости. Данный показатель рассчитывается по следующей формуле:


где, Е - норма дисконта, которая может быть как единой для всех шагов расчета, так и переменной; (n-1) - промежуток между оцениваемым периодом и моментом приведения (в годах).

Основным экономическим нормативом, используемым при дисконтировании, является норма дисконта, выражаемая в долях единицы или в процентах в год. В отдельных случаях значение нормы дисконта может выбираться различным для разных шагов расчета (переменная норма дисконта). Норма дисконта показывает эффективность участия в инвестиционном проекте.

Различаются следующие нормы дисконта: коммерческая, участника проекта, социальная и бюджетная. В расчетах эффективности инвестиционных проектов используется норма дисконта, равная приемлемой для инвестора норме дохода на капитал.

Срок окупаемости увеличивается по сравнению с расчетом его без дисконтирования (РР). Расчет РР осуществляется аналогичным способом, но при этом за те периоды, в течение которых приток денежных поступлений, покрывающий использованные инвестиции, суммируется еще не дисконтированный доход:


Очевидно, что в случае дисконтирования срок окупаемости увеличивается, т. е. всегда DPP > PP.

Дисконтированный срок окупаемости разумно понимать как тот срок, в расчете на который вложение средств в рассматриваемый проект даст ту же сумму денежных потоков, приведенных по фактору времени (дисконтированных) к настоящему моменту, которую за этот же срок можно было бы получить с альтернативного доступного для покупки инвестиционного актива.

Для инвестиционного планирования и выбора антикризисных инвестиционных проектов показатель дисконтированного срока окупаемости проекта практически важен в первую очередь тем, что он указывает на тот горизонт времени в бизнес-плане инвестиционного проекта, в пределах которого план-прогноз денежных потоков по проекту должен быть особенно надежным.

Пример расчета дисконтированного срока окупаемости

Рассмотрим расчет дисконтированного срока окупаемости инвестиций на небольшом примере.

Исходные данные: Показатель      Значение, тыс. руб.

Размер инвестиции      49 450,0

Доходы от инвестиций:        

в первом году     13 760,0

во втором году   17 630,0

в третьем году    18 812,5

в четвертом году          16 447,5

Размер барьерной ставки     9,2%

Определим дисконтированный срок окупаемости инвестиционного проекта.

Пересчитаем денежные потоки в вид текущих стоимостей:= 13760 / (1 + 0,092) = 12693,73 тыс. рублей= 17630 / (1 + 0,092)2 = 15003,54 тыс. рублей= 18812,5 / (1 + 0,092)3 = 14769,26 тыс. рублей= 16447,5 / (1 + 0,092)4 = 11911,95 тыс. рублей

Определим период по истечении которого инвестиция окупается.

Сумма дисконтированных доходов за 1 и 2 года: 12693,73 + 15003,54 = 27 697,27 тыс. рублей, что меньше суммы вложений (инвестиций) - 49450 тыс. рублей.

Сумма дисконтированных доходов за 1, 2 и 3 года: 42 466,52 тыс рублей, что также меньше суммы первоначальных инвестиций.

Сумма дисконтированных доходов за 4 года составила 54 378,47 тыс. рублей, что больше размера инвестиций и это значит, что возмещение первоначальных инвестиционных расходов произойдет раньше 4 лет.

Если предположить что приток денежных средств поступает равномерно в течении всего периода (по умолчанию предполагается что денежные средства поступают в конце периода), то можно вычислить остаток от четвертого года.

Остаток = (1 - (54378,47 - 49450,00)/11911,95) = 0,59 года

То есть дисконтированный срок окупаемости инвестиций равен 3,59 года.

В зависимости от поставленной цели возможно вычисление дисконтированного срока окупаемости с различной точностью. На практике часто встречается ситуация, когда в первые периоды происходит отток денежных средств и тогда в правую часть формулы вместо Io ставится сумма дисконтированных денежных оттоков.

Таким образом, дисконтированный срок окупаемости инвестиций - это показатель, оценивающий характерное время инвестиции, а именно определяющих, как быстро инвестиционные расходы будут возмещены доходами. Дисконтированный период окупаемости позволяет дать грубую оценку ликвидности проекта и приблизительно оценить риск. И наконец, дисконтированный индекс доходности (DPI) является более надежным, чем внутренний коэффициент окупаемости (IRR), показателем в случаях, когда необходим сравнительный анализ целесообразности инвестиций. Однако потребуется некоторая практика, чтобы появился опыт, позволяющий судить о том, какие значения этого показателя можно считать хорошими.

Но у данного метода существуют недостатки: не определяется рентабельность проекта, не принимается во внимание величина и направления распределения денежных потоков на протяжении периода окупаемости: рассматривается только период покрытия расходов в целом.

Заключение

В данной работе были рассмотрены основные методы оценки эффективности инвестиций:

Метод простой (бухгалтерской) нормы прибыли;

Метод расчета периода окупаемости проекта;

Метод чистой настоящей (текущей) стоимости (NPV);

Метод внутренней нормы рентабельности (IRR).

Также, приведены основные показатели эффективности оценки, а именно: чистая текущая стоимость проекта (NPV); внутренняя норма рентабельности (IRR); индекс прибыльности инвестиций (PI); индикатор ROC; дисконтированный период окупаемости (РР). Приведены примеры расчетов каждого из показателей и сделаны краткие выводы о преимуществах и недостатках. Так, NPV является самым доступным в расчетах и известным показателем. IRR информативен, хотя его достаточно сложно рассчитывать. К преимуществам PI можно отнести возможность его использования для исключения неэффективных инвестиционных проектов на предварительной стадии их рассмотрения. С помощью дисконтируемого срока окупаемости можно оценить характерное время инвестиции, позволяющее прикинуть время замещения расходов на инвестиции доходами.

Как оценить инвестиционный проект?

В целом, основными критериями целесообразности вложения денег как в производство, так и в ценные бумаги можно считать следующие:     чистая прибыль от данного вложения превышает чистую прибыль от помещения средств на банковский депозит;

рентабельность инвестиций выше уровня инфляции;

рентабельность данного проекта с учетом фактора времени выше рентабельности альтернативных проектов;

рентабельность активов предприятия после осуществления проекта увеличится (или, по крайней мере, не уменьшится) и в любом случае превысит среднюю расчетную ставку по заемным средствам;

Инвестиции - это протяженный во времени процесс, поэтому при анализе инвестиционных проектов необходимо учитывать:          

привлекательность проектов по сравнению с альтернативными возможностями вложения средств с точки зрения максимизации доходов владельцев предприятия при приемлемой степени риска, т.к. именно эта цель является главной для финансового менеджмента;

рискованность проектов, т.к. чем длительнее срок окупаемости, тем рискованнее проект;

временную стоимость денег, т.к. с течением времени деньги изменяют свою ценность.

Какие факторы принимаются во внимание при окончательном принятии решения об инвестировании?

При принятии окончательного решения о целесообразности инвестирования, помимо рассмотренных показателей, учитываются также такие факторы, как общественная значимость проекта, степень его соответствия стратегии развития фирмы, рыночный потенциал производимого продукта, инвестиционные риски, экологическая безопасность и т.д. В настоящее время именно всесторонний учет разнообразных инвестиционных рисков, надежные методы количественной оценки которых практически отсутствуют, приобретает особую актуальность. Поэтому для минимизации их отрицательных последствий в ходе реализации инвестиционного проекта следует сосредоточить свое внимание на анализе чувствительности различных показателей проекта и снижении рисков.

Список использованных источников

Межов И., Растова Ю., Бочаров С., Межов С. Инвестиционный анализ. Учебное пособие, - М.:КноРус-2014, 416 с.

Колмыкова Т.С. Инвестицонный анализ. Учебное пособие. - М.:Инфра-М, 2011 - 203 с.

Корчагин Ю., Маличенко И. Инвестиции и инвестиционный анализ Учебное пособие, - М.:Феникс - 2010, 601 с.

Шарп У.Ф. Инвестиции: учебник для вузов по экономическим специальностям:пер. С англ. - М.:ИНФРА_м,2009 - 1028 с.

Басовский, Л.Е. Экономическая оценка инвестиций:учебное пособие для вузов, - М.:ИНФРА-М, 2010. - 241 с.

Киселева О, Макеева Ф. Инвестиционный анализ. Учебное пособие, - М.:КноРус, 2010 - 208 с.

Интернет-источник:[http://investment-analysis.ru/metodIA2/discounted-payback-period.html]

Интернет-источник:[http://www.strategplann.ru/otsenka-investitsionnyh-proektov/metody-otsenki-investitsionnyh-proektov.html].

Интернет-источник [http://afdanalyse.ru/publ/investicionnyj_analiz/1/raschet_pokazatelej_ehffektivnosti_investicij/6-1-0-104] - инвестиционный анализ

Интернет-источник [http://afdanalyse.ru/publ/investicionnyj_analiz/1/diskontirovannyj_srok_okupaemosti/6-1-0-144]

Приложение

Расчет показателей эффективности исходя из заданных данных (таблица 1.1)

Таблица 1.1

Шаг

Денежный поток

Дисконтированный поток


Доход

Расход

Суммарно

Нарастающим итогом

На шаге

Нарастающим итогом

0

0

200000

-200000

-200000

-200000

-200000

1

50000

0

50000

-150000

44643

-155357

2

50000

0

50000

-100000

39860

-115497

3

50000

0

50000

-50000

35589

-79908

4

50000

0

50000

0

31776

-48133

5

50000

0

50000

50000

28371

6

50000

0

50000

100000

25332

5570

7

50000

0

50000

150000

22617

28188

8

50000

0

50000

200000

20194

48382

9

50000

0

50000

250000

18031

66412

10

50000

0

50000

300000

16099

82511


Как видно из таблицы, показатель NPV c учетом заданных данных будет равен 82511 руб. Ставка дисконтирования равна 12%.

Рассчитаем IRR (внутреннюю норму рентабельности).

Размер эффективной барьерной ставки - 9,2%при барьерной ставке 12% равен 82511 руб.

Теперь рассчитаем NPV при ставке дисконтирования 15%=50000/(1+0,15)1 = 43478 руб.=50000/(1+0,15)2 = 37807 руб.=50000/(1+0,15)3 = 32876 руб.=50000/(1+0,15)4 = 25588 руб.=50000/(1+0,15)5 = 24863 руб.=50000/(1+0,15)6 = 21617 руб.=50000/(1+0,15)7 = 18797 руб.=50000/(1+0,15)8 = 16340 руб.=50000/(1+0,15)9 = 14213 руб.=50000/(1+0,15)10=12361 руб.= (43478+37807+32876+25588+24863+21617+18797+16340+14213+12361) - 200000 = 47940 руб.

Тогда IRR = 12+(15-12)*82511/(82511-47940) = 19,16%

,16% > 9,2% - значит проект принимается.

Найдем индекс прибыльности инвестиций (PI).при ставке 12% равен 82511 руб, размер инвестиций (I) равен 200000руб.

Тогда PI = NPV/I= 82511/200000 = 0,41 = 41%

Таким образом, рентабельность проекта 41%

Найдем срок окупаемости проекта (PP).

Величина инвестиций - 200000 руб., ежегодные поступления - 50000 рублей.

Накопленные денежные потоки:

+50000+50000+50000+50000+50000=50000 руб.

Т.о. в плюсе проект окажется на 5 году, значит срок окупаемости равен 5 лет.

Рассчитаем дисконтированный период окупаемости (DPP)

Ставка дисконтирования - 12%

Из таблицы (1.1) видно, что дисконтированный денежный поток меняет знак с плюса на минус на 6 шаге. Найдем сумму дисконтированных доходов за 6 лет:

PV1+PV2+PV3+PV4+PV5+PV6=44643+39160+35589+31776+28371+25332=205571 руб.

>200000 руб., это значит, что возмещение инвестиционных расходов произойдет раньше 6 лет. Если предположить, что приток денежных средств поступает равномерно, то можно вычислить остаток.

Остаток: 1-(205571-200000)/31776=0,83

Дисконтированный срок окупаемости равен 5,83 лет. > PP

Похожие работы на - Методы оценки эффективности инвестиционных проектов

 

Не нашли материал для своей работы?
Поможем написать уникальную работу
Без плагиата!
Без нейросетей!