Принципы и методы оценки эффективности инвестиционного проекта

  • Вид работы:
    Курсовая работа (т)
  • Предмет:
    Финансы, деньги, кредит
  • Язык:
    Русский
    ,
    Формат файла:
    MS Word
    217,34 Кб
  • Опубликовано:
    2012-05-28
Вы можете узнать стоимость помощи в написании студенческой работы.
Помощь в написании работы, которую точно примут!

Принципы и методы оценки эффективности инвестиционного проекта

МИНИСТЕРСТВО ОБРАЗОВАНИЯ И НАУКИ РОССИЙСКОЙ ФЕДЕРАЦИИ

МОСКОВСКИЙ ФИНАНСОВО-ПРОМЫШЛЕННЫЙ УНИВЕРСИТЕТ

НОУ «МФПУ «СИНЕРГИЯ»

Факультет финансов








Курсовая работа

На тему : Принципы и методы оценки эффективности инвестиционного проекта.











МОСКВА 2012 г

СОДЕРЖАНИЕ:

ВВЕДЕНИЕ

Глава 1. ПОНЯТИЕ ИНВЕСТИЦИОННОГО ПРОЕКТА И КЛАССИФИКАЦИЯ

.1 Жизненный цикл инвестиционного проекта

.2 Основные оценки инвестиционной привлекательности проектов

.3 Методы оценки эффективности инвестиционных проектов

Глава 2. АНАЛИЗ ЭФФЕКТИВНОСТИ РЕАЛИЗАЦИИ ИНВЕСТИЦИОННОГО ПРОЕКТА НА ПРЕДПРИЯТИИ

2.1 Учет инфляции

.2 Учет риска и неопределенности

ЗАКЛЮЧЕНИЕ

СПИСОК ИСПОЛЬЗУЕМОЙ ЛИТЕРАТУРЫ

ВВЕДЕНИЕ

Основной целью предпринимательской деятельности является получение прибыли, так как именно прибыль служит главным источником расширенного воспроизводства, роста доходов предприятия и его собственников. В условиях рыночной экономики целесообразны только те предприятия, которые правильно размещают инвестиции, и, следовательно, те проекты, которые грамотно анализируются и оцениваются.

Актуальностью данной темы является то, что в современных условиях российского рынка не всегда проводиться качественная и правильная оценка эффективности проекта, что приводит к нерациональному вложению средств и как следствие их потери.

Оценка эффективности инвестиций является наиболее ответственным этапом принятия инвестиционного решения, от результатов которого в значительной мере зависит степень реализации цели инвестирования. В свою очередь, объективность и достоверность полученных результатов во многом обусловлены используемыми методами анализа.

Целью данной курсовой работы является изучение и определение эффективности инвестиционного проекта с применением наиболее распространенных методов ее оценки.

Задачи данной работы: рассмотрение принципов и этапов оценки эффективности; определение показателей эффективности инвестиционного проекта, которые позволяют организации правильно сделать выбор в пользу того или иного проекта.

ГЛАВА 1. ПОНЯТИЕ ИНВЕСТИЦИОННОГО ПРОЕКТА И КЛАССИФИКАЦИЯ

Понятие инвестиционного проекта используется в двух смыслах:

- проект представляет собой деятельность по осуществлению каких-либо действий, обеспечивающих достижение целей проекта.

- проект, как система, которая включает набор организационно-правовых и расчетно-финансовых документов, которые необходимы для реализации проекта.

В Федеральном Законе «Об инвестиционной деятельности в РФ осуществляемой в форме капитальных вложений» дано следующее определение инвестиционного проекта.

Инвестиционный проект - это обоснование экономических целесообразности, объема и сроков осуществления капитальных вложений, в том числе необходимая проектно-сметная документация, разработанная в соответствии с законодательством РФ и утвержденными стандартами, а так же описание практических действий по осуществлению инвестиций (бизнес-план).

Виды проектов:

. По отношению друг к другу:

независимые проекты, могут реализоваться одновременно;

альтернативные (взаимоисключающие) - проекты, выполняющие одну и ту же функцию;

взаимодополняющие проекты, их реализацию может происходить только совместно.

. По срокам реализации:

краткосрочные до 3-х лет;

среднесрочные 3 - 5 лет;

долгосрочные более 5 лет.

. По масштабам (размерам инвестиций):

малые проекты, они ограничиваются одной небольшой фирмой, направленные на расширение производства, увеличению ассортимента, модернизацию (являются краткосрочными);

средние проекты, это проекты технического перевооружения существующего производства, реализуется поэтапно по графику;

крупные проекты, это проекты создания крупных предприятий;

мега проекты, выполняются в виде целевых инвестиционных программ, включающих в себя множество взаимосвязанных проектов (международные, государственные, региональные).

. По основной направленности:

коммерческие проекты, главная цель - получение прибыли;

социальные проекты, ориентированы на достижение определенных социальных целей (безработица, образование…);

экологические проекты, улучшение среды обитания и др.

. В зависимости от степени влияния результатов проекта на внутреннем и внешнем рынках, экологической и социальной обстановки:

глобальные проекты, влияют на обстановку на Земле;

народно-хозяйственные проекты, влияют на ситуацию в стране;

крупномасштабные проекты, изменяют ситуации в отрасли, совокупности регионов;

локальные проекты, влияние на отдельные города, отдельные регионы, на уровень и структуру цен на товарных рынках.

. В зависимости от величины риска проекта:

надежные проекты, т.е. высокая величина прибыли (проекты по государственному заказу);

рискованные проекты, т.е. высокая степень неопределенности затрат и результатов (связаны с чем-то новым: производством, технологиями).

. По цели проекта:

сохранение продукции на рынке (инвестиции в обычное воспроизводство и цели повышение качества продукции);

расширение объемов производства;

выпуск новой продукции;

решение социальных и экономических задач.

.1 Жизненный цикл инвестиционного проекта

Жизненный цикл - промежуток времени между моментом появления проекта и окончанием реализации проекта.

Окончанием реализации проекта может быть:

. Ввод в действие объектов и начало их эксплуатации (по государственному заказу).

. Достижение проектом заданных результатов (например, выход предприятия на свою мощность, достижение окупаемости проекта - что обеспечивает возврат всех заемных средств).

. Начало работ по модернизации проекта (из внутренних источников).

. Вывод объектов проекта из эксплуатации.

. Прекращение финансирования проекта (в основном это социальные проекты).

Разработка любого инвестированного проекта может быть представлена в виде цикла, состоящего из 3 фаза:

. Инвестиционная фаза;

. Эксплуатационная фаза;

Предъинвестиционная фаза - В этой фазе проект разрабатывается; изучаются его возможности; проводится предварительные исследования; ведутся переговоры с потенциальными инвесторами и другими участниками проекта; выбираются поставщики (сырья, оборудования); производится юридическое оформление инвестиционного проекта (подготовка документов, оформление контрактов, регистрация предприятия и др.).

Затраты на этом этапе не значительные и составляют от 0,7% для крупных проектов, до 5% - для небольших проектов от общего объема затрат.

Затраты предъинвестиционной фазы, в случае реализации проекта, будут входить в состав производственных затрат и через механизм амортизации будут отнесены на себестоимость продукции в будущем.

Инвестиционная фаза - В данной фазе осуществляются конкретные действия, которые требуют гораздо больших затрат и носят уже необратимый характер. На этом этапе разрабатывается проектно-сметная документация; заказывается оборудование; готовятся производственные площади (строятся здания); поставляется оборудование и осуществляется его монтаж и пуско-наладочные работы; осуществляется набор персонала и проводится его обучение; ведутся рекламные мероприятия.

На этой фазе создаются постоянные активы предприятия (ОПФ).

Эксплуатационная фаза - Данная фаза начинается с момента ввода в действие основного оборудования (для промышленных предприятий) или приобретение недвижимости и других видов активов. На этой фазе осуществляется пуск в действие оборудования; начинается производство продукции или оказание услуг; возвращается банковский кредит.

Эта фаза, в отличие от других, характеризуется соответствующими поступлениями денежных средств и текущими издержками. Данная фаза продолжается до момента окончания производства.

.2 Основные оценки инвестиционной привлекательности проектов

Успешная инвестиционная деятельность предприятия зависит от того, как организован процесс анализа и отбора инвестиционных проектов. Отбор проектов осуществляется на основе оценки их эффективности. Оценка эффективности независима от технологий и других особенностей проекта и осуществляется по единым принципам:

а) Рассмотрение проекта на протяжении всего его жизненного цикла;

б) Моделирование денежных потоков, включающие все денежные поступления и расходы за расчетный период;

в) Принцип сопоставимости условий сравнений различных проектов;

г) Положительность и максимум эффекта, он означает, что для принятия проекта необходимо: положительность эффекта от его реализации; при сравнении альтернативных вариантов предпочтение отдается тому варианту, который имеет максимальную эффективность.

д) Принцип учета фактора времени - необходимо учитывать:

изменение во времени параметров проекта и его экономическое окружение;

учет разрывов во времени (лагов) между производством продукции и их оплатой;

учет неравноценности разновременных затрат и результатов (необходимость дисконтирования).

е) Принцип учета только предстоящих в ходе осуществления проектов затрат и поступлений.

ж) Принцип сравнения «с проектом» и «без проекта».

з) Принцип учета всех наиболее существенных последствий проекта, означает, что должны учитываться как непосредственные экономические последствия проекта, так и внеэкономические (социальные блага, общенародное значение). Эти последствия по возможности оцениваются количественно, в противном случае - экспертно.

и) Принцип учета наличия разных участков проекта, означает учет не совладения их интересов и наличие различных оценок эффективности проекта, что выражается в индивидуальных значениях нормы дисконта.

к) Принцип многоэтапности оценки: на различных стадиях разработки и осуществления проекта его эффективность определяется заново с различной глубиной проработки.

л) Учет влияние на эффективность проекта, потребность в обороте капитала.

м) Учет влияния инфляции и возможность использования при реализации проекта нескольких валют.

н) Учет в количественной форме влияния неопределенности и рисков, сопровождающих реализацию проекта.

.3 Методы оценки эффективности инвестиционных проектов

Основными критериями оценки инвестиционных проектов являются доходность, рентабельность и окупаемость. В зарубежной практике для оценки эффективности инвестиционных проектов используются пять основных методов:

) методы, основанные на дисконтировании, позволяющие рассчитать следующие показатели:

чистая текущая стоимость (чистый приведенный эффект) (NPV);

индекс рентабельности инвестиций (PI);

внутренняя норма рентабельности инвестиций (IRR);

) методы, основанные на учетных оценках, позволяющие рассчитать следующие показатели:

срок окупаемости проекта (РР);

коэффициент эффективности инвестиций (ARR).

В российской практике для оценки эффективности инвестиционных проектов используются следующие методы.

. Метод расчета чистой текущей стоимости позволяет определить чистый доход от проекта, который представляет собой разницу между суммой дисконтированных потоков денежных средств, генерируемых проектом, и общей суммой инвестиций.

Чистая текущая стоимость = приведенная стоимость денежных потоков от проекта - общая сумма инвестиций.

Применение данного метода позволяет получить наиболее точные результаты в том случае, если колебания дисконтной ставки в период реализации проекта незначительны. Аналогичный метод в западной практике называется методом расчета чистой текущей стоимости (или чистой приведенной стоимости) (Net present value - NPV), под которой понимается разница между общей суммой дисконтированных потоков буду­щих поступлений денежных средств, генерируемых данным проектом, и общей суммой инвестиций (invest cost - 1С).


где ΣFVn - общая сумма будущих поступлений от проекта;- доходность проекта, приемлемый и возможный для инвестора ежегодный процент возврата может быть равен стоимости привлеченных источников финансирования проекта;С - сумма инвестиций.

. Метод расчета индекса доходности позволяет определить доход на единицу затрат. Считается, что результаты применения данного метода уточняют результаты применения метода чистой текущей стоимости. Показатель рентабельности представляет собой отношение текущей стоимости денежных потоков, генерируемых проектом, к общей сумме первоначальных инвестиций. Аналогичный в западной практике метод называется методом расчета индекса рентабельности инвестиций (profitability index - PI).

Формула расчета индекса рентабельности инвестиций имеет следующий вид:

3. Метод расчета внутренней нормы рентабельности проекта (или маржинальной эффективности капитала) позволяет определить максимально возможный уровень затрат на капитал, ассоциируемых с проектом. Внутренняя норма рентабельности представляет собой ставку доходности, при которой чистая приведенная стоимость денежных потоков от проекта равна нулю. Если стоимость источников финансирования превышает внутреннюю норму рентабельности, проект будет убыточным, и наоборот, если внутренняя норма рентабельности превышает стоимость источников финансирования, проект будет прибыльным. В российской практике финансового анализа внутренняя норма рентабельности рассчитывается как отношение чистой те­кущей стоимости к текущей стоимости


Внутренняя норма рентабельности = (чистая текущая стоимость / текущая стоимость первоначальных инвестиций) • 100%

Аналогичный метод в западной практике называется методом расчета нормы рентабельности инвестиций (внутренняя норма прибыли, internal rate of return - IRR) и используется в двух целях:

) определение допустимого уровня процентных расходов в случае финансирования проекта за счет привлеченных средств;

) подтверждение оценки проектов, полученной в результате использования методов расчета чистой текущей стоимости (NPV) и индекса рентабельности инвестиций (PI).

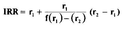
Под нормой рентабельности инвестиций (IRR) понимается такое значение доходности (r), при которой чистая текущая стоимость (NPV), являющаяся функцией от (r), равна нулю.

IRR = r, при которой NPV (f (r)) = 0.

Формула расчета нормы рентабельности инвестиций (IRR) имеет следующий вид:

Из формулы следует, что для получения показателя IRR необходимо предварительно рассчитать показатель чистой текущей стоимости при разных значениях процентной ставки.

. Модифицированный метод расчета внутренней нормы рентабельности позволяет получить более точные результаты. При расчете чистой текущей стоимости денежные потоки дисконтируются по ставке, равной средневзвешенной стоимости авансированного капитала.

Внутренняя норма рентабельности = (чистая текущая стоимость, рассчитанная на основе ставки дисконтирования, равной средневзвешенной стоимости авансированного капитала) • 100% / ( сумма первоначальных инвестиций).

. Метод расчета срока окупаемости инвестиций. Под сроком окупаемости инвестиций понимается срок, по истечении которого общая сумма поступления от проекта станет равной общей сумме вложенных средств. Момент времени, в который общая сумма поступлений становится равной общей сумме первоначальных инвестиций, в финансовом менеджменте называется точкой безубыточности. Поступления денежных средств после прохождения точки безубыточности не учитываются. Проекты с равными сроками окупаемости признаются равноценными. Данный метод также позволяет определить уровень ликвидности проекта и инвестиционного риска. Чем меньше сроки окупаемости, тем больше ликвидность, и наоборот, чем больше срок окупаемости, тем меньше ликвидность. Чем выше ликвидность, тем меньше риск, и наоборот, чем меньше ликвидность, тем выше риск, связанный с проектом.

В российской практике в зависимости от способа определения величины денежных потоков, генерируемых проектом, и величины первоначальных инвестиций используются три варианта расчетов:

) метод, основанный на учетных оценках;

) дисконтный метод;

) дисконтный метод с использованием средней величины денежного потока.

В первом случае определяется срок, по истечении которого сумма денежных потоков, генерируемых проектом, станет равной сумме вложенных средств. При этом суммируются недисконтированные потоки денежных средств, которые сравниваются с недисконтированной стоимостью первоначальных инвестиций.

Во вторам случае определяется срок, по истечении которого сумма дисконтированных денежных потоков, генерируемых проектом, станет равной дисконтированной стоимости первоначальных инвестиций. Данный способ позволяет учитывать возможность реинвестирования (повторного инвестирования) доходов от проекта.

В третьем случае срок окупаемости инвестиций определяется отношением приведенной стоимости первоначальных инвестиций к средней величине дисконтированного денежного потока в данном периоде.

Аналогичный метод в западной практике называется методом срока окупаемости инвестиций (payback period - РР) и позволяет определить срок, в течение которого сумма недисконтированных прогнозируемых поступлений денежных средств станет равной общей сумме расходов, связанных с данным проектом. Формула расчета срока окупаемости инвестиций (РР) имеет следующий вид:

Срок окупаемости инвестиций рассчитывается:

) в случае равномерного распределения поступлений от проекта по годам - делением совокупных затрат на величину годового дохода;

. Метод простой (бухгалтерской) нормы прибыли применяется для оценки эффективности проектов с непродолжительными сроками окупаемости. Под простой нормой прибыли понимается отношение чистой прибыли, полученной в результате реализации инвестиционного проекта, к вложенным средствам (инве­стициям). В западной практике аналогичный метод называется методом расчета коэффициента эффективности инвестиций (accounting rate of return - ARR).

Формула расчета простой бухгалтерской нормы прибыли имеет следующий вид:

Рентабельность проекта = (чистая прибыль + амортизационные отчисления, генерируемые проектом / стоимость инвестиций) • 100%

Формула расчета коэффициента эффективности инвестиций (ARR) имеет следующий вид:

где ARR - коэффициент эффективности инвестиций;- среднегодовая прибыль от вложения денежных средств в данный проект;С - сумма денежных средств, инвестированных в данный проект (сумма инвестиций);- величина ликвидационной (остаточной) стоимости активов, т.е. стоимости активов по окончании срока их полезного использования.

Как следует из приведенных формул, в российской практике для расчета показателя рентабельности инвестиций используется отношение суммы чистой прибыли и амортизационных отчислений, сделанных в течение срока реализации проекта к вложенным средствам; в западной практике - отношение чистой при­были к 1/2 разности инвестиций и ликвидационной стоимости активов. Таким образом, российская практика не учитывает доходы от ликвидации активов, срок полезного использования которых закончился.

инвестиционный проект эффективность оценка

ГЛАВА 2. АНАЛИЗ ЭФФЕКТИВНОСТИ РЕАЛИЗАЦИИ ИНВЕСТИЦИОННОГО ПРОЕКТА НА ПРЕДПРИЯТИИ

. Описание проекта и анализ местоположения

Земельный участок, на котором предполагается осуществление строительства, расположен в Приморской районе г. Санкт-Петербурга, по адресу: Приморский пр. 52

Основные характеристика проекта, с точки зрения его местоположения:

Основным преимуществом местоположения объекта является большой транспортный поток и близость к стратегическим выездам из города. К основным недостаткам можно отнести удаленность от центра и станций метрополитена, а также расположение на границе жилого массива.

. Варианты реализации проекта и его технико-экономические показатели

С учетом проведенного анализа и полученных данных, были сформулированы основные варианты реализации проекта:

. Строительство бизнес-центра класса «В» и передача функций по его эксплуатации профессиональной управляющей компании.

. Строительство бизнес-центра класса «В», реализация части помещений (1 этаж), передача функций по эксплуатации объекта профессиональной управляющей компании.

. Строительство бизнес-центра класса «В», и самостоятельное выполнение функций по его эксплуатации.

. Строительство бизнес-центра класса «В», реализация части помещений (1 этаж), самостоятельное выполнение функций по его эксплуатации.

Для возможности сопоставления денежных потоков по вариантам реализации проекта, был установлен период анализа с 2006 по 2012 год. Капитализация стоимости объекта на конечный период определялась исходя из прогнозного ожидания стоимости м2 коммерческой площади объекта. Ставка дисконтирования 16 %, применяемая в расчетах, обоснована текущими ставками по доходности альтернативных проектов с учетом рисковой премии, и применяется как профессиональными оценочными компаниями так и банковскими структурами (в частности банк «ПСБ») при анализе эффективности инвестиционных проектов (составляет 15-17 %, в зависимости от анализируемого проекта).

Основываясь на приведенную ниже классификацию бизнес-центров (таблица 1) и выявленных характеристик проекта, можно сделать вывод об отнесении предполагаемого объекта строительства к категории бизнес-центра класса «В».

Основные технико-экономические показатели по вариантам реализации проекта приведены в таблице 2.

Таблица 1.Классификация бизнес центров

Класс бизнес- центра

Характеристики, определяющие класс бизнес-центра


Местоположение

Тип и технический уровень здания

Уровень управляющей компании и сервиса

А

Исторический центр города, престижные в деловом отношении части Центрального, Адмиралтейского, Петроградского, Василеостровского районов, с удобными подъездными путями, отличными видовыми характеристиками и развитой городской инфраструктурой.

Отдельно стоящие специализированное здание, новое строительство или полностью после реконструкции, высокий уровень ремонтно-отделочных работ и внутренних коммуникаций (кондиционирование, отопление), оптоволоконные каналы связи, эффективная планировка этажей в виде офисных блоков, конференц-зал, кафе/ресторан, наличие парковки.

Профессиональная управляющая компания с известным брендом (опыт работы компании или ее высшего менеджмента более 3-х лет), развернутая система дополнительных услуг, профессиональная служба безопасности, управления, обслуживания (служба эксплуатации и уборки) круглосуточная охрана и видеонаблюдение.

Б

Территории исторического центра - части Центрального, Адмиралтейского, Петроградского, Василеостровского районов, не попадающие в категорию "А", и зоны, прилегающие к историческому центру Петербурга - части Выборгского, Красногвардейского, Приморского, Калининского районов, отличающиеся хорошим расположением - на набережных, вблизи магистралей.

Отдельно стоящее специализированное здание, высотки.

Уровень отделки (если существующее - капитальный ремонт), высокий уровень внутренних коммуникаций, оптоволоконные каналы связи, эффективная планировка этажей, конференц-зал, кафе (ресторан).

С

Удаленные от центра города зоны с хорошей доступностью, расположенные около основных магистралей, метро.


Похожие работы на - Принципы и методы оценки эффективности инвестиционного проекта

 

Не нашли материал для своей работы?
Поможем написать уникальную работу
Без плагиата!
Без нейросетей!