Кредитная система Республики Казахстан
Введение
Одна из главных проблем в нынешних условиях - обеспечение
стабильного функционирования денежной системы, составной частью которой
является денежно-кредитная политика. В настоящее время ситуация в кредитной
сфере в республике определяется двумя факторами. Во-первых, кризисными
процессами в экономике, во-вторых, недостаточной отработанностью самих
кредитных отношений, переживающих новый этап своего функционирования в рыночной
среде.
В рыночной экономике деньги должны находиться в постоянном
обороте, совершать непрерывное обращение. Временно свободные денежные средства
должны незамедлительно поступать на рынок ссудных капиталов, аккумулировать в
кредитно-финансовых учреждениях, а затем эффективно пускаться в дело,
размещаться в тех отраслях экономики, где есть потребность в дополнительных
капиталовложениях. Кредит представляет собой движение ссудного капитала,
осуществляемое на началах срочности, возвратности и платности.
Актуальность данной курсовой работы определяется тем, что на
этапе развития современных рыночных отношений кредитная система как
совокупность кредитно-финансовых институтов аккумулирует свободные денежные
капиталы, доходы и сбережения различных слоев населения и предоставляет их в
ссуду фирмам, правительству и частным лицам.
Кредитная система регулирует денежное обращение в стране.
Предоставляет различные услуги юридическим и физическим лицам, при этом
возникают кредитные экономические отношения.
Цель курсовой работы - определить сущность кредитной системы
Республики Казахстан.
Из данной цели вытекают следующие задачи:
выявить общую характеристику значимости кредита в рыночной
экономике;
охарактеризовать сущность кредитной системы в целом и
кредитной системы Республики Казахстан, в частности.
Курсовая работа написана на основе учебников и изданий
российских и казахстанских авторов.
Работа состоит из введения, трех глав, заключения и списка
использованной литературы.
1.
Понятие, виды, типы кредитных систем
кредит экономика казахстан
1.1 Понятие кредитной системы, сущность, формы
Понятие «кредитная система» можно рассматривать в широком и узком смысле
слова.
В широком смысле (с базисной позиции) понятие кредитная система
представляет собой совокупность кредитных отношений, форм кредита, методов
кредитования, кредитных учреждений. В узком смысле (с надстрочной позиции)
понятие кредитная система - это совокупность или система специальных
кредитно-финансовых институтов.
В целом понятие кредитная система можно рассматривать как совокупность
кредитных отношений, специальных кредитно-финансовых учреждений и их звеньев,
организующих данные отношения.
Кредитная система представляет собой сложное неотъемлемое звено
хозяйствования, которое является важным элементом ы управлении экономикой.
Таким образом, кредитная система - это исторический и логический
результат развития взаимосвязанных элементов, связанных с функционированием
денег и кредита. Кредитная система регулирует денежные отношения в стране,
представляет различные услуги юридическим и физическим лицам, при которых
возникают кредитные отношения.
Типы кредитных систем:
. В зависимости от типа хозяйствования:
централизованная кредитная система
рыночная кредитная система
кредитная система переходного периода.
. По степени развитости:
развитые кредитные системы
развивающиеся кредитные системы
Развитые кредитные системы содержат все элементы и обеспечивают их
взаимодействие .
Развивающиеся кредитные системы - в стадии развития находится не только
кредитная инфраструктура, но банковское законодательство, регулирующее
кредитные отношения сторон, а также их взаимодействие между кредитными
организациями и финансовыми рынками.
. По географическому признаку:
международные кредитные системы
национальные кредитные системы
Международная (мировая) кредитная система - это совокупность национальных
и международных рынков ссудного капитала и различных кредитно-финансовых
институтов, осуществляющих в международных масштабах передачу финансовых
ресурсов, а также движение ссудного капитала, обеспечивающего кругооборот
промышленного и торгового капитала.
Национальная кредитная система характеризуется особенностями банковского
законодательства данной страны, национальными традициями сложившимися
историческими, экономическими и политическими условиями.
. По законодательному регламентированию:
сегментированная
универсальная
В зависимости от того, насколько строго регламентируются и лицензируется
банковская деятельность, выделяют два типа организации кредитной системы.
Сегментированная структура предполагает жестокое законодательное
разделение сфер операционной деятельности и функций отдельных видов кредитных
учреждений. Подобные структуры сложились в США, Японии, где банковские операции
по приему депозитов и выдаче краткосрочных кредитов были законодательно
отделены от операций по выпуску и размещению ценных бумаг компаний и некоторых
других специальных видов услуг.
При Универсальной структуре закон не содержит ограничений относительно
отдельных видов операций и сфер финансового обслуживания. Такой тип
универсальных «финансовых универмагов», сложился в Германии, Франции,
Швейцарии, Великобритании и др.
Современная кредитная система представляет собой результат
длительного исторического развития и приспособления кредитных институтов к
потребностям развития рыночной экономики. С институциональной точки зрения
кредитная система представляет собой комплекс финансовых учреждений, активно
используемых государством в целях регулирования экономики.
Современная кредитная система имеет две стороны: Одна ее
сторона - совокупность кредитных отношений, форм и методов кредитования. Вторая
ее сторона - совокупность банков, иных кредитно-финансовых институтов,
аккумулирующих временно свободные денежные средства и предоставляющие их в
ссуду. Безусловно, кредитная система - понятие более широкое по сравнению с
банковской системой, поскольку включает в себя помимо банков, являющихся ее
ведущим звеном, банковский, потребительский, коммерческий, государственный, международный
кредиты со своими формами отношений и методами кредитования.
В целом общая структура кредитной системы схематично может быть
представлена следующим образом.
Рис. №1: «Кредитная система РК»
.2 Принципы построения кредитной системы РК
При рассмотрении кредитной системы нужно учитывать, что она
базируется на реализации сложных экономических отношений, прошедших длительный
исторический путь развития и играющих консолидирующую роль в структуре всех
экономических взаимосвязей.
Различают два понятия кредитной системы:
совокупность кредитных отношений, форм и методов кредитования
(функциональная форма);
совокупность кредитно- финансовых учреждений, аккумулирующих
свободные денежные средства и предоставляющих их в ссуду (институциональная
форма).
В первом аспекте кредитная система представлена банковским,
коммерческим, потребительским, государственным, международным кредитом. Всем
этим видам кредита свойственны специфические формы отношений и методы
кредитования. Реализуют и организуют эти отношения специализированные
учреждения, образующие кредитную систему во втором (институциональном)
понимании. Ведущим звеном институциональной структуры кредитной системы
являются банки.
Однако кредитная система - более широкое и ёмкое понятие, чем
банковская система, включающая лишь совокупность банков, действующих в стране.
[9]
Современная кредитная система включает два основных понятия:
совокупность кредитно- расчетных и платежных отношений, которые базируются на
определенных, конкретных формах и методах кредитования; совокупность
функционирующих кредитно- финансовых институтов (банков, страховых компаний и
др.). Первое понятие, как правило, связанно с движением ссудного капитала в
виде различных форм кредита. Второе означает, что кредитная система через свои
многочисленные институты аккумулирует свободные денежные средства и направляет
их предприятиям, населению, правительству.
В Казахстане в настоящее время идет построение трехуровневой
кредитной системы, которая включает в себя следующие структурные звенья:
уровень - коммерческие банки;
уровень - специализированные финансово-кредитные учреждения;
уровень - микрокредитные организации.
Коммерческие банки - это основной сегмент кредитной системы.
Через банки осуществляется мобилизация и аккумуляция временно свободных
денежных средств и их размещение в виде инвестиционных и кредитных ресурсов.
Принимая от населения и юридических лиц денежные средства, банки осуществляют
их вложение в наиболее перспективные отрасли экономики или на развитие
отдельных предприятий, способствуя, тем самым, развитию как отрасли в
отдельности, так и всей экономики страны в целом.
Специализированные финансово-кредитные институты или
небанковские учреждения осуществляют отдельные виды банковских операций,
согласно полученной лицензии Национального банка. К ним относятся кредитные
союзы, кооперативы, сберегательные кассы, ломбарды и так далее. По объемам
проводимых операций данные институты существенно отличаются от коммерческих
банков. Тем не менее, данный сегмент системы так же способствует развитию
экономики. Небанковские учреждения аккумулируют денежные средства и кредитуют клиентов
на условиях, более мягких, нежели коммерческие банки. В основном клиентами
данного сегмента выступают физические лица, которые испытывают временные
затруднения со свободными денежными средствами. Под залог движимого имущества,
или под гарантии, под залог заработной платы, ценных вещей клиент может
получить определенную небольшую сумму на короткий срок (до 2-3 месяцев) под
низкий процент. Тогда как коммерческие банки в основном занимаются более
долгосрочным кредитованием (от1 года и выше) и процент по банковским кредитам,
как правило, гораздо выше.
И еще один сегмент кредитной системы, небольшой по объему, но
имеющий немаловажное значение для экономики, это микрокредитные организации.
Данные организации выдают микрокредиты (4000- 7000 МРП), в основном на развитие
индивидуального бизнеса и на неотложные потребительские цели населения.
Особенность микрокредитных организаций состоит в том, что их деятельность не
подлежит лицензированию со стороны Национального банка. Они просто
регистрируются в органах юстиции.
Таким образом, современный этап развития финансово-кредитной
системы Республики Казахстан характеризуется интенсивным стратегически
ориентированным направлением совершенствование имеющиеся структуры, внедрением
новых механизмов регулирования финансового рынка и оптимизации
общеэкономической ситуации. [5]
Необходимо отметить, что на сегодняшний день существует и
множество проблем в формировании и развитии финансово-кредитной системы
Республики Казахстан.
Главные риски для казахстанской финансово-кредитной системы
кроются в том, что банковская система Казахстана слишком велика для страны с
населением в 15 миллионов человек. Кроме того, уровень кредитоспособностей
банков Казахстана по прежнему сдерживается слабой прозрачностью структуры
собственности, ограниченной диверсификацией деятельности, относительной
нереструктурированным корпоративным сектором, высокой степенью концентрации
ссуд по отраслям и отдельным заемщиком и значительной долей кредитования в
иностранной валюте. К тому же, вызывает озабоченность усиливающиеся экспансия
банков Казахстана на другие рынки стран СНГ с более высоким уровнем рисков,
главным образом, в Россию и Киргизию.
Кроме того, в то время как банковская система Казахстана
является в целом действующей, существует значительная разница в
функционировании банков, разница между тенге и ликвидностью иностранной валюты,
которая имеет важное значение. Небольшие банки зачастую сталкиваются с
трудностями при привлечении депозитов. Они не имеют доступа к международным
банкам, а так же им не предоставляются необеспеченные ограничения от более
крупных банков на межбанковском рынке.
Так же в качестве основных проблем кредитной системы РК можно
выделить:
неоптимальную стратегию управления рисками в банковском
секторе;
присутствие теневых капиталов в банках;
несовершенное правовое регулирование деятельности
организации, осуществляющих отдельные виды банковских операций;
отсутствие механизмов государственной поддержки в развитии
организаций, осуществляющих отдельные виды банковских операций, и микрокредитных
организаций.
Таким образом, выделенные недостатки требуют особого внимания
в области разработки стратегии развития финансово-кредитной системы Казахстана
в ближайшей перспективе. [8]
Национальный банк Республики Казахстан- является центральным
банком Республики Казахстан и представляет собой верхний уровень банковской
системы Республики Казахстан.
В рыночной экономике без создания специальных небанковских
институтов кредитная система любой страны останется незавершенной. Интерес
полного привлечения вкладов населения и полное удовлетворение запросов
меняющейся рыночной экономики диктуют создание этих институтов, они органически
дополняют кредитную систему, обогащают её, делают более гибкой и чувствительной
к изменениям в экономике.
Государство осуществляет руководство экономикой, проводит
единую денежно- кредитную политику, важнейшим инструментом которой выступает
Национальный банк. Этот принцип необходим для того, чтобы обеспечить внутреннюю
и внешнюю устойчивость национальной валюты путем регулирования объема денежной
массы в обращении, защитить интересы республики в области осуществления
денежно- кредитной политики, в целом экономической политики и ее интеграции в
мировую экономику. Важный принцип построения кредитной системы- максимальное
развитие сети кредитных учреждений и сосредоточение в них всех денежных
операций. Последнее предполагает хранение свободных денежных средств
хозяйствующих звеньев в банках, проведение расчетов безналичным путем.
В настоящее время на территории Казахстана размещено 35
банков с 385 отделениями и филиалами.
Концентрация всего денежного оборота в кредитной системе
позволяет сосредоточить кредитные ресурсы и рационально направлять их в
народное хозяйство страны. Большое значение придается принципу государственной
валютной монополии. В Законе Республики Казахстан « О валютном регулировании»
записано: « Президент и кабинет Министров Республики Казахстан в пределах своей
компетенции принимают нормативные акты в области валютного регулирования, не
противоречащие положениям настоящего закона. Национальный банк Республики
Казахстан является основным органом валютного регулирования в Республике
Казахстан».редство накопления валютных резервов и надежная защита денежного
обращения от влияния валют других стран. Автономия центрального банка
закреплена законодательством суверенных государств, в Казахстане - Законом « О
Национальном банке РК». Банки независимы от правительственных и исполнительных
органов власти при принятии ими решений, связанных с оперативной банковской
деятельностью. Национальный банк подотчетен лишь Парламенту и Президенту
Республики Казахстан.
Дело в том, что интересы Национального банка, как защитника
долговременных интересов всей республики, могут не совпадать с кратковременными
интересами Правительства; Правительство же при дефиците государственного
бюджета старается кредитные ресурсы Национального банка использовать для
покрытия дефицита ( а это делалось систематически за время существования
советской власти), что нарушает стабильность денежного обращения, способствует
нарастанию инфляции.
Центральный банк полностью отвечает за проведение денежно-
кредитной политики в стране. В свою очередь, денежно- кредитная политика
составляет основу государственного регулирования всей экономики. Поэтому без
автономного ведения денежно- кредитной политики не может быть и речи об
эффективной рыночной экономике в республике.
В Великобритании и Франции капитал центральных банков
принадлежит государству, но акционерами могут быть коммерческие банки. У них
тоже центральные банки независимы от исполнительной власти, подчинены лишь
парламенту.
Существенная степень автономности кредитной системы в нашей
стране и за рубежом исходит из ее задачи- поддержание денежно- кредитной и
валютной стабильности в целях обеспечения нормального развития экономики.
Основным моментом относительной независимости Национального
банка Республики Казахстан от Правительства является решение вопроса в
отношении бюджета. Принципиальное значение имеет законодательное разграничение
государственных финансов и банковской системы, т.е. ограничение возможности
Правительства пользоваться средствами Нацбанка.
В Указе Президента, имеющего силу закона, «О Национальном
банке Республики Казахстан» записано: «В целях обеспечения эффективности
проводимой государственной денежно- кредитной политики и функционирования
финансовой системы Республики Казахстан в соответствии с настоящим законом
Нацбанк:
а) выдает краткосрочные кредиты Министерству финансов
Республики Казахстан на договорных условиях под гарантийные обязательства
заемщика;
б) выдает дополнительные кредиты Министерству финансов
Республики
Казахстан на взаимно согласованных условиях в отношении
подписок и других платежей, связанных с членством Казахстана в международных
организациях, открытых при содействии Правительства по этим счетам».
Правительство, как и другие клиенты Нацбанка, получает ссуды
на основании соответствующего соглашения по каждому кредиту на условиях
возвратности, срочности целевого характера и платности. [1]
По каждому кредиту Правительство выпускает ценные
передаваемые бумаги, имеющие рыночные процентные ставки. Сроки их выкупа в
Нацбанке не должны превышать шести месяцев, но могут быть продлены Парламентом
Республики Казахстан до конца года.
.3 Элементы кредитной системы Республики Казахстан
Кредитное дело представляет собой особую сферу
предпринимательской деятельности, направленной на торговлю деньгами, выполнение
на этой основе кредитных операций. Их осуществляют самые разнообразные
кредитные институты. Основным по масштабам операций и значимости в обслуживании
хозяйственного оборота являются банки.
В статье 1 Указа Президента РК « О банках и банковской
деятельности РК», имеющего силу закона, подчеркивается, что официальный статус
банка определяется разрешением Национального банка на его открытие,
государственной регистрацией юридического лица в качестве банка в Министерстве
юстиции с наличием лицензии Национального банка РК на проведение банковских
операций. [16]
Банк как специфическое предприятие, производит продукт,
существенно отличающийся от продукта сферы материального производства. Он
производит не просто товар, товар особого рода в виде денег, платежных средств.
Банки или подобные институты существовали еще в древности. В Египте банковские
операции осуществлялись в 2700 г. до н.э. Изначально функцией банков было
посредничество в платежах, в результате чего они превращали свободный денежный
капитал в функционирующий, приносящий процент. Истоки современного банковского
дела следует искать, прежде всего, в деятельности средневековых менял Италии.
Банки, в зависимости от специфики выполняемых ими функций ,
подразделяются на два основных вида: эмиссионные и неэмиссионные.
Эмиссионным правом государство наделяет, как правило, только
один банк (центральный), поскольку при предоставлении права эмиссии денег
нескольким банкам невозможно было бы регулировать денежное обращение в целом в
стране. Эмиссионный банк располагает такими крупными средствами, какими не
может располагать ни один из других банков. Его пассивы состоят из наличных
денег в обращении, бюджетных средств. Это обстоятельство дает ему возможность
оказывать помощь всем остальным банкам и руководить их деятельностью. В
Казахстане эмиссионным банком является Национальный банк, остальные банки, в т.ч.
коммерческие, - неэмиссионные. Они не имеют права выпуска денег в обращение, но
занимаются практически всеми видами кредитных, расчетных и финансовых операций,
связанных с обслуживанием хозяйственной деятельности своих клиентов. Важнейшие
из них: аккумуляция временно свободных денежных средств, сбережения населений и
накоплений; кредитование; безналичные расчеты; операции с ценными бумагами и
др.
Инвестиционные и инновационные банки специализируются на
аккумуляции денежных средств на длительные сроки, в т.ч. посредством выпуска
облигационных займов, акций и других ценных бумаг, и предоставление
долгосрочных ссуд. Инвестиционные банки, скорее, представляют собой
посреднические учреждения между предпринимателями, испытывающие нехватку
средств для долгосрочных вложений, и вкладчиками средств на длительный срок.
Инновационные банки - тоже инвестиционные, но кредитуют только разработку и
освоение технологических нововведений.
Банк развития Казахстана (БРК)- создан в 2002 г., как АО со
100%-ным государственным уставным капиталом, он имеет правовой статус,
определяемый Законом РК « О банке развития Казахстана». В настоящее время
является важным финансовым звеном и одним из инструментов реализации стратегии
индустриально- инновационного развития РК на 2003-2015 гг. Банк имеет статус,
инвестиционно- инновационного. Основные цели и задачи БРК, как определено
Законом о БРК, являются совершенствование и повышение эффективности
государственной инвестиционной деятельности, развитие производственной
инфраструктуры и обрабатывающих производств, содействие в привлечении внешних и
внутренних инвестиций в экономику. [7]
Ипотечные банки осуществляют кредитные операции по
привлечению и размещению средств на долгосрочной основе под залог земли и
недвижимого имущества. В пассиве этих банков значительную долю составляют
ипотечные облигации, акции и другие ценные бумаги. Степень специализации
отраслевых и региональных банков, специфика формирований их активов и пассивов
зависят в значительной мере от сферы их деятельности, а также от различий,
связанных с особенностями организации хозяйственной деятельности отраслевой
клиентуры, созданными и прочими колебаниями производственного процесса.
Сберегательные банки в мировой кредитной системе занимают
особое место. Они создавались в большинстве стран по инициативе государства или
частных лиц для привлечения мелких сбережений и использовании их в общих
интересах, не преследуя при этом цели для извлечения прибыли. В настоящее время
сберегательные банки имеют особый статус в юридическом отношении, а их
деятельность и льготы регулируются специальными законами и нормативными актами,
позволяющими населению брать долгосрочные кредиты на строительство жилья под
низкий процент. Сберегательные банки не имеют больших доходов, а их прибыль
является незначительной. Это обусловлено тем, что главной целью сбербанков
является не получение прибыли, как у коммерческих банков, а оказание услуг
государству и населению, причем во всех странах сберегательные банки привлекают
значительную долю всех вкладов населения.
С целью реализации Жилищной программы в Казахстане в 2003г.
создан государственный Жилищный строительно- сберегательный банк Казахстана
(ЖСБК) с уставным капиталом 10 млрд. тенге.
Закон Республики Казахстан «О внесении изменений и дополнений
в некоторые законодательные акты РК по вопросам банковской деятельности» от 11
июля 1997г. исключил деление банков на депозитные и инвестиционные. [2]
Широкое распространение специализированные кредитно-
финансовые учреждения получили в сферах ипотечного и потребительного, а также
сельскохозяйственного кредита. Они занимаются привлечением мелких сбережений
населения, инвестированием капитала, размещением ценных бумаг и др.Отдельные
специальные кредитные институты существовали на территории Казахстана до
революции и в годы НЭПа и коллективизации сельского хозяйства в виде кредитных
товариществ, общества взаимного кредита, кредитных союзов и др. Сейчас к
небанковским учреждениям можно отнести кассы взаимопомощи, ломбарды, а также
финансово- расчетные центры, создаваемые в ассоциациях крестьянских хозяйств, в
крупных агропромышленных объединениях.
Ссудо-сберегательные ассоциации занимаются тоже вкладами
операциями сбережений населения и используют их для покупок недвижимости (2/3
актива на покупку жилья). [14]
Кредитные ссуды - сберегательные учреждения кооперативного
типа, организуемые профсоюзами, крупными предприятиями, церквями. Ресурсы
аккумулируются за счет продаж и долевых акций, которые могут быть в любой
момент выкуплены кооперативом. Они, в основном, используются для выдачи мелких
ссуд своим членам.
Страховые компании занимаются примерно теми же операциями. Их
пассивы состоят из страховых взносов и доходов от активных операций, их
используют кроме выплаты страховых полисов в долгосрочные ценные бумаги на
определенные сроки и как закладные под жилые строения.
Таким образом, небанковские учреждения являются необходимой
составной частью кредитной системы любого государства. Они возникли для того,
чтобы взять на себя те услуги, которые не выполнялись коммерческими банками.
Характерная черта небанковских институтов- накопление ресурсов, в основном,
путем привлечения сбережений населения. Этим они отличаются от коммерческих
банков, которые, в основном, формируют свои пассивы путем привлечения временно
свободных средств юридических лиц. А банковское законодательство в Республике
Казахстан категорически запрещает другим учреждениям, кроме банков, принимать
депозиты, это говорит о том, что вряд ли в нашей республике получат развитие
небанковские институты, которые функционируют на основе привлечения вкладов
населения.
2. Анализ деятельности кредитной системы Республики Казахстан
.1 Становление кредитной системы Республики Казахстан. Роль кредитной
системы в экономики Казахстана
Формирование
финансовой и денежно-кредитной политики современного государства основывается
на научно-теоретической базе и глубоком исследовании реальной экономики.
В
этой связи стоит проанализировать финансовые и денежно-кредитные отношения
Казахстана в переходный к рынку период с 1986 по 1993 гг. Анализ будет
неполным, если не учитывать объективные экономические условия и реальные
перемены, которые происходили в республике в переходный к рынку период. Чем же
они характеризуются?
Первый
период (1986-1989 гг.) связан с критическим анализом развития экономики в
предшествующие годы, принятием курса на ускорение экономического развития,
интенсификацию производства (1986-1987) гг. на полный хозрасчет и
самофинансирование, снятием запретов на рост заработной платы, переходом на
договорные цены по широкому кругу продукции производственно-технического
назначения и потребительских товаров.
Второй
период (1990-1991 гг.) характеризуется принятием программы чрезвычайных мер по
финансовой стабилизации экономики и курса на внедрение рыночных отношений в
республике. Были приняты решения по сдерживанию бесконтрольного роста выплат
населению денежных средств, связыванию наличных денег, сокращению ассигнований
средств государственного бюджета на производственное строительство, по
конверсии оборонных отраслей промышленности.
Начиная
с 1990 г. в республике произведенный национальный доход впервые за годы
двенадцатой пятилетки сократился по сравнению с 1989 г. на 4,4 процента. Спад
производства охватил все сферы экономики, что вызвало тотальный дефицит не
только товаров народного потребления, но и средств производства
Третий
период (1992 г. и последующие годы). 2 января 1992г. в Республике Казахстан был
сделан первый шаг по реальному переходу к рыночной экономике: на большинство
товаров народного потребления и средств производства цены были отпущены, ибо
держать их дальше было просто невозможно, поскольку ситуация конца 1991 г.,
особенно в крупных промышленных центрах и городах настолько обострилась, что в
печати стали появляться даже статьи об угрозе голода практически во всех странах
СНГ, в том числе и в Казахстане.[6]
Сокращение
размеров ссудной задолженности было вызвано тем, что за счет повышения цен
произошло некоторое улучшение финансового состояния предприятий (также в связи
с переходом на хозрасчет и самофинансирование), прекращением выдачи кредитов
подрядным организациям под затраты незавершенного производства СМР, изменением
методов кредитования, погашением предоставленных ранее ссуд на временное
восполнение недостатка собственных оборотных средств и прирост норматива, а
также частично просроченных кредитов в промышленности и в сельском хозяйстве. В
торговле сокращение кредитов произошло в результате снижения остатков товарных
запасов при одновременном увеличении розничного товарооборота.[13]
Значительная
часть кредитных ресурсов отвлечена в просроченную задолженность по ссудам
банков. Наиболее крупные неплатежи поставщикам и банкам имели совхозы, колхозы,
предприятия по производственно-техническому обслуживанию и строи тельные
организации Ухудшение состояния финансов и платежной дисциплины в народном
хозяйстве республики в этот период в основном .было вызвано бесхозяйственностью
в обеспечении сохранности и использовании собственных оборотных средств,
отсутствием экономических стимулов к эффективному ведению дел. Каждый четвертый
рубль кредитных ресурсов был истрачен не на производительные цели, а на
покрытие бюджетного дефицита и государственного долга, т.е. на проедание.
Совершенно
неприглядная картина складывалась с использованием централизованных кредитных
ресурсов. Из кредитов, выданных в 1991 г. за счет централизованных ресурсов,
почти 36% приходилось на государственный долг. Такое крайне нерациональное
размещение денежной массы привело к тому, что на 1 января 1992 г. Казахстан по
расчетам с государствами бывшего СССР вышел с дефицитом (дебетовым сальдо), что
означает заимствование средств в указанной сумме у других суверенных
государств.[8]
В
целом по республике на 1 января 1992 г. объем кредитных вложений увеличился
почти в 2,6 раза. Увеличение кредитных вложений произошло практически во всех
отраслях народного хозяйства.
В
1991 г. произошли значительные изменения в структуре кредитных вложений. Так,
снизился удельный вес кредитов, направленных на мероприятия, связанные с
решением продовольственной программы с 49,0 до 26,8 %, социальных программе
19,2 до 14,2 %, а также увеличением производства товаров народного потребления
и расширением услуг населения соответственно с 6,6 до 6,3 % и с 1,5 до 1,1 %,
что свидетельствует о недостаточной эффективности кредитных отношений в
республике. [12]
Резко
продолжают уменьшаться объемы краткосрочных кредитов, предоставляемых
населению, потребительской кооперации, а также тем, кто занимается
индивидуальной трудовой деятельностью и кооперативам, поскольку возросли
размеры процентных ставок. Естественно, при таких высоких процентных ставках,
кредитами, как правило, пользуются лишь торгово-посреднические структуры, у
которых выше оборачиваемость денежных средств и доходность производимых
операций и услуг. Большая сеть коммерческих банков занималась в основном
кредитованием мелких частных коммерческих структур, деятельность которых
заключалась в перепродаже одних и тех же товаров, в основном завозимых извне, а
также в обналичивании части безналичности со счетов в банке и выпуске их на потребительский
рынок, где не имелось достаточной товарной массы для их покрытия. В этой связи
деньги оседали в личных сбережениях, не вступали в "кругооборот", тем
самым подпитывали новый виток инфляции.
Резкое
относительное снижение доли кредитных вложений, предоставленных правительству
Казахстана в 1992 г.' по сравнению с 1991г. (с 24,0 до 3,5 %), объясняется
некоторым улучшением финансового положения государства за счет усиления тяжести
налогового бремени, вызванного стремительным ростом цен, что резко отрицательно
сказалось на финансовом положении государственных предприятий, так как рост цен
опережал рост их прибыли.
Роль
кредитной системы в экономике Казахстана
В
этой связи одна из главных проблем экономики Казахстана состоит не только в
общем объеме кредитной эмиссии, но и в том, что эмитированные кредиты в
значительной части выдаются на цели, противоречащие экономической природе
кредита: на покрытие дефицитов финансов государственных предприятий и
правительственного бюджета. Каждое восьмое предприятие закончило 2009г. с
убытками, каждое второе - в бытовом обслуживании, каждое третье - в торговле и
коммунальном хозяйстве. Значительная часть предоставляемых предприятиям
кредитов превращалась в многотысячные зарплаты. К примеру, в начале 2009г.
выплата заработной платы рабочих и служащих обеспечивалось за счет эмиссии
денег Национального банка
В
последние годы в условиях либерализации цен и нарастания кризисных явлений в
экономике усилилось давление со стороны министерств и предприятий
государственного сектора на Национальный банк республики в части разрешения
предоставления банковских кредитов, причем, как правило, на льготной основе.
Такое положение препятствует стабилизации экономики и обеспечению устойчивости
функционирования финансово-кредитной системы республики.
Таким
образом, как свидетельствуют результаты анализа, экономические процессы,
происходящие в условиях перехода к рынку и глобальной либерализации цен,
начиная с января 2003г., определили новые тенденции в развитии денежного
оборота и кредитных отношений Республики Казахстан. Все это вызвало весьма
противоречивые явления в развитии кредитных отношений, обусловленные началом
вхождения Казахстана в рынок. [11]
Каковы
же причины такого положения?
.
Огромная дебиторская задолженность за предприятиями стран Содружества и
особенно России. Дело в том, что предприятия Казахстана не смогли быстро
приспособиться к работе в рыночных условиях, отгружая свою продукцию за пределы
Казахстана, они не получали оплату за отгруженные материальные ценности. В этой
связи у них возникает дефицит финансовых ресурсов, вследствие чего они
вынуждены искать источники финансирования своей деятельности. Такими
источниками, как правило, за неимением других, являлись кредиты коммерческих
банков. В свою очередь, коммерческие банки свои кредитные ресурсы формировали в
значительной мере за счет централизованных кредитных ресурсов Национального
Банка Республики Казахстан. [22]
Продолжение
ныне действующей системы кредитных отношений не способствует эффективному
размещению финансовых и кредитных ресурсов Казахстана, а загоняет проблему
острого недостатка денежных ресурсов вглубь, поскольку заимствование под
высокие процентные ставки кредитных ресурсов у других стран Содружества
способствует увеличению размеров внешнего долга республики перед другими
государствами Содружества, что усиливает экономическую зависимость от этих
стран. Складывается парадоксальная ситуация - предприятия, скажем России,
должны Республике Казахстан за отгруженные товары, а Казахстан, в свою очередь,
должен России, точнее Центральному банку России, по полученным у него кредитам.
Следует
обратить внимание еще на одно весьма актуальное и совершенно новое явление в
деле развития кредитных отношений. Если до 1 июля 2000г., решая вопрос о выдаче
централизованных кредитов, республика не придавала этому особого значения,
поскольку никакого контроля со стороны Центрального банка России за кредитной
эмиссией стран Содружества практически не было, то теперь обстоятельства и
экономические условия в корне изменились. С 1 июля 2003г. кредитная эмиссия
стран Содружества взята под контроль Центрального банка России и строго
учитывается, что способствует сдерживанию безудержной инфляции. Конечно, чисто
теоретически Нацбанк Республики Казахстан может по-прежнему выдать кредит коммерческим
банкам сколько угодно и создать тем самым видимое благополучие у предприятий.
т.е. у них будут свободные средства на расчетных счетах, кредитовое сальдо на
корреспондентских счетах коммерческих банков, но использовать эти средства
предприятия смогут только при наличии товарно-материальных ценностей в
Казахстане, либо при наличии свободных средств на корреспондентских счетах в
Центральных банках стран СНГ, либо за счет кредита, полученного от
соответствующей страны для пополнения корреспондентского счета республики.
Следовательно,
проблемы сохранения, приумножения, эффективного управления государственной
собственностью приобретают особую актуальность в связи с переходом к рыночным
отношениям. В мире накоплен богатый опыт эффективного управления государственным
имуществом, который следует внимательно изучить и с учетом реальной экономики
использовать в хозяйственной практике. [16]
Как
видно из анализа состояния финансовых и денежно-кредитных отношений, ценовой
фактор оказал негативное влияние на всю финансово-кредитную сферу республики.
Однако
нельзя не отметить и о главных положительных моментах перехода на свободные
цены. К ним в первую очередь следует отнести достижение некоторой
сбалансированности между денежной и товарной массой. Известно, что до начала
либерализации цен, ни один товар не стоил так дешево как деньги. Это был
единственный товар, в котором не было дефицита. Главной задачей предприятий в
тех условиях было выбить фонды на материальные ресурсы, а деньги, как правило,
были всегда в избытке либо их легко можно было взять в банке.
Экономическая
и финансовая стабилизация в республике связана с поиском стратегии и выработкой
эффективной денежно-кредитной политики в современных условиях, которая должна
быть направлена на ограничение и сдерживание денежной и кредитной эмиссии.
Проведение политики жесткой денежно-кредитной, рестрикции связано с нарастанием
диспропорций в сфере производства и в сфере обращения, ростом цен и инфляции.
[20]
В
этих условиях правительство и Нацбанк, в принципе правильно выбрали основные
направления своей политики на стабилизационный период: снижение темпов падения
производства и темпов инфляции, укрепление покупательной способности
национальной валюты и т. д .Указанные направления в. основном базируются па
регулировании денег в обращении с помощью активной монетарной политики,
проводимой правительством и Нацбанком республики.
Одним
махом проблему стабилизации денежно-кредитной системы в целом и национальной
валюты, в частности, решить невозможно. Стабильность в указанной сфере связана
с уровнем экономического развития. Необходимо насытить внутренний рынок
товарами и услугами в самое ближайшее время, создать сильный экспортный
потенциал, поддержать платежеспособный спрос, осуществить налоговую реформу,
реформу цен и оздоровить бюджет. На все это нужно время. Поэтому введение может
быть только поэтапным. Причем, к каждому следующему этапу можно будет
переходить, только получив реальные экономические результаты от предыдущих.
2.2
Анализ кредитной системы
За последнее десятилетие банковская система Казахстана претерпела
значительные изменения, связанные, в первую очередь, с отходом от прежней
идеологии в построении и ведении банковского дела в стране, определением новых
задач для банков и организаций, осуществляющих отдельные виды банковских
операций. На современном этапе развитие банковского сектора характеризуется
следующими тенденциями: консолидация банковского капитала, повышение уровня
капитализации банков второго уровня;
рост количественных показателей деятельности банков,
сокращение количества финансово неустойчивых банков;
сокращение доли иностранного капитала в банковском секторе, а
также уменьшение государственной доли в банковском капитале;
приближение банков к международным стандартам деятельности.
В настоящее время осуществляется переход всех банков страны к
стандартам, принятым в международной банковской практике в части достаточности
капитала, качества активов, уровня менеджмента, бухгалтерского учета, ввода и
передачи информации. Существенное замедление кредитной активности, наблюдаемое
в 2008 и 2009 году (рост на 2,8% и 2,5%, соответственно), в 2010 году привело к
снижению кредитования. За 2010 год объем кредитов банков экономике понизился на
0,6% до 7 596,5 млрд. тенге (51,3 млрд. долл. США). Показатель отношения кредитов
банков экономике к ВВП в 2010 году по сравнению с 2009 годом понизился с 44,9%
до 35,3%. (рисунок . При этом снижение кредитной активности происходило только
в валютном сегменте кредитного рынка. Кредиты в иностранной валюте за 2010 год
снизились на 13,1% до 3 213,4 млрд. тенге, в национальной валюте - повысились
на 11,1% до 4 383,1 млрд. тенге. В результате удельный вес тенговых кредитов
повысился с 51,6% до 57,7%. В 2010 году долгосрочное кредитование понизилось на
1,3% до 6 349,7 млрд. тенге, краткосрочное - повысилось на 2,7% до 1 246,8
млрд. тенге. Соответственно, удельный вес долгосрочных кредитов понизился с
84,1% до 83,6%.
Рис.2: Динамика кредитов, % к ВВП
Кредиты юридическим лицам за 2010 год повысились на 1,2%,
составив 5480,3 млрд. тенге, физическим лицам - понизились на 4,9% до 2116,2
млрд. тенге. Удельный вес кредитов физическим лицам снизился с 29,1% до 27,9%.
Кредитование субъектов малого предпринимательства за 2010 год понизилось на
18,7% до 1389,3 млрд. тенге, что составляет 18,3% от общего объема кредитов
экономике (в декабре 2009 года - 22,3%).
Рис 3: Динамика ставок вознаграждения по кредитам выданных в
национальной валюте
В отраслевой разбивке наиболее значительная сумма кредитов
банков экономике приходится на торговлю - 24,0% (в декабре 2009 года - 23,6%),
строительство - 18,1% (18,8%), промышленность - 9,4% (9,5%), сельское хозяйство
- 3,8% (3,7%). Средневзвешенная ставка вознаграждения по кредитам физическим
лицам в национальной валюте в декабре 2010 года по сравнению с декабрем 2009
года понизилась с 21,6% до 20,3%, по кредитам юридическим лицам снизилась с
14,3% до 12,9% (рисунок 3)
Программа перехода банков второго уровня к международным
стандартам, направленная на укрепление банковской системы, защиту интересов
кредиторов и вкладчиков, предусматривает проведение капитализации банков
второго уровня, и исключает дальнейшее существование слабых, мелких и
ненадежных банков на рынке банковских услуг. Система перехода банков второго
уровня к международным стандартам заключается в том, что каждый банк, согласно
разработанного им Плана рекапитализации и индивидуальных коэффициентов, должен
достичь адекватного уровня по всем основным показателям. В соответствии с этой
программой банки, не удовлетворяющие определенным требованиям (недостаточно
капитализированные, убыточные, имеющие активы плохого качества и т.д.), в
будущем подлежат реорганизации путем слияния, присоединения либо преобразования
в организации, осуществляющие отдельные виды банковских операций. Введены более
высокие требования по открытию и лицензированию банков, внутреннему контролю и
процедурам в банках. В настоящее время минимальная величина уставного капитала
установлена для вновь открываемых банков в размере 300 млн. тенге, для
действующих банков - 100 млн. тенге. Однако в ближайшем будущем предполагается
ужесточение этих нормативов: вероятнее всего, они составят соответственно 1500
млн, и 500 млн. тенге. Требования со стороны Национального Банка к повышению
капитализации банков второго уровня ускорило процесс ликвидации и слияния
банков. Так, за 2010 число банков уменьшилось со 101 до 82, на 1.01.2009 г. их
числилось 55, а к настоящему моменту (на 01.03.2012 г.) действует 38 банков
второго уровня. Важнейшим показателем интенсификации деятельности банков и
повышения их роли в развитии и укреплении реального сектора экономики является
активное участие ведущих банков Казахстана в реализации программ кредитования
малого и среднего бизнеса. Так, АО «Халық Банк» участвует в программе
поддержки малого бизнеса по линии Европейского банка реконструкции и развития
(ЕБРР). Банк рассматривает проекты:
приобретения машин, оборудования, сырья и материалов;
усовершенствования производства;
приобретения, строительства и ремонта недвижимости для
осуществления предпринимательской деятельности и др.
Банк предлагает следующие условия кредитования малого
бизнеса:
сумма кредита - от 30000 по 125000 долларов США;
срок кредита - до 24 месяцев;
процент в валюте - 1,6-1,9 процентов в месяц.
Кроме того, АО «Халық Банк» предлагает представителям
частного бизнеса финансирование по линии Азиатской Кредитной Компании (АКК) на
следующих условиях:
сумма кредита - от 25000 по 300000 долларов США;
срок кредитования - от 1 года до 3 лет;
процентная ставка - по 18 процентов годовых плюс 1 процент от
суммы займа за обслуживание кредита;
предоставление и погашение кредитов - в долларах США (или в
тенге по курсу);
погашение основного долга и процентов за кредит - ежемесячно;
не менее 20 процентов от стоимости проекта обеспечиваются из
собственных средств предприятия.
При этом кредитные ресурсы не могут быть использованы для
финансирования импорта товаров в коммерческих целях Средства кредитной линии
АКК предоставляются только на финансирование проектов, связанных с
производством и оказанием услуг населению.
АО «Алматинский торгово-финансовый банк» (АТФБ) разработал
собственную специальную «Программу кредитования и развития бизнеса». Банк
участвует в проектах по финансированию малого и среднего бизнеса совместно с
ЕБРР, германским Кредитным институтом по восстановлению экономики (KFW). С
последним подписано соглашение о выделении средств для кредитования малого и
среднего бизнеса. Кроме того, получено подтверждение от ряда других немецких банков
по открытию или увеличению кредитных линий для АТФБ. На данный момент АТФБ уже
финансирует проекты частных предпринимателей на общую сумму 2 млн. долларов.
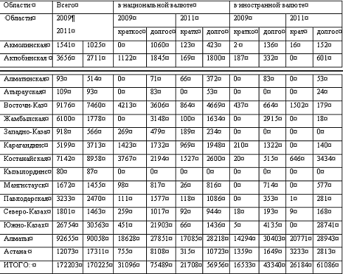
Таблица 1. Кредиты экономике 2009-2011 года.
АО «Казкоммерцбанк» совместно с ЕБРР участвует в программе
кредитования малого бизнеса для малых и средних казахстанских частных
предприятий Основная цель программы - оказание финансовой поддержки малым и
средним казахстанским частным предприятиям, а также частным лицам, занимающимся
предпринимательской Деятельностью, путем предоставления кредитных ресурсов на
выгодных условиях.
Кредиты выдаются на следующие цели:
расширение производства или объема оказываемых услуг;
приобретение, строительство и ремонт недвижимости для
осуществления предпринимательской деятельности и др.
Условия кредитования:
сумма кредита - до 125000 долларов США;
срок кредита - до 36 месяцев;
процентная ставка: в валюте - 18-24 процентов годовых, в
тенге - 25-32 процентов годовых.
АО «Народный банк Казахстана» предлагает следующие условия
финансирования действующего бизнеса в сфере торговли, услуг и производства:
а) в тенге:
сумма кредитов - до 1 400 000 тенге;
срок кредитов - до 12 месяцев;
процент - от 2,5 процентов в месяц;
б) в долларах США:
суммы кредитов - от 1000 до 30 000 долларов США и от 30 000
до 125 000 долларов США;
срок кредитов - до 12 месяцев до 36 месяцев;
процентные ставки - от 1,66 до 2,17 от 1,5 процентов.
При этом HSBK гарантирует:
минимальные сроки оформления кредита;
гибкий подход к залогу;
консультации и помощь в оформлении документов.
Современное состояние банковского сектора характеризуется
расширением рынка банковских услуг.
Таблица 2: Ставки вознаграждения банков по выданным кредитам
(по срокам и видам валют)


Анализ финансовых показателей деятельности банков второго
уровня показал, что общая сумма кредитов за 10 месяцев 2010 г. в экономике
республики составила около 72 млрд. тенге, средневзвешенная ставка
вознаграждения интереса - 19-6 процентов годовых. Из общей суммы кредитов
экономике 58 процентов (41,77 млрд. тенге) были представлены в национальной
валюте. Кредиты малому предпринимательству достигли 32 процента от общей суммы
кредитов (23 млрд. тенге). Депозиты в банках составили 86 млрд. тенге, из них
депозиты населения составили 33,2 процента от общего объема депозитов (28,7
млрд. тенге), при этом вклады населения увеличились на 47,9 процентов. Депозиты
населения в национальной валюте составили 71,3 процентов от общей суммы
депозитов населения (20,4 млрд. тенге), в иностранной валюте 28,9 процентов
(8,3 млрд. тенге). Значительно увеличился перечень операций, проводимых
банками. Прежде всего это связано с развитием рынка ценных бумаг, валютного
рынка, рынка драгоценных металлов в Казахстане, выходом казахстанских банков на
международные банковские рынки, проходимой пенсионной реформой, а также
усилением конкуренции между крупнейшими казахстанскими банками. В настоящее
время 43 банка второго уровня имеют лицензии на проведение банковских операций
в тенге и иностранной валюте, 6 банков имеют лицензию на проведение операций с
аффинированными драгоценными металлами (АО «Казкоммерцбанк», АО «Банк
ТуранАлем», АО «Халық Банк Казахстана», АО «Алматинский
торгово-финансовый банк», АО «Центркредит», АО «Темирбанк»). Национальной
комиссией по ценным бумагам РК, с согласия Национального Банка РК, выданы
лицензии на проведение кастодиальной деятельности 12 банкам второго уровня.
Фактически действует 7, среди которых: АО «Казкоммерцбанк», АО «Халық
Банк Казахстана», АО ДАБ «АБН АМРО Банк Казахстана», АОЗТ «Алматинский
торгово-финансовый банк»6.
В течение отчетного периода (с января по ноябрь 1999 года) в
банковском секторе происходили изменения, связанные с консолидацией капитала
банков, слиянием и присоединением средних и мелких банков, а также ликвидацией
несостоятельных банков, что привело к сокращению общего количества банков - с
71 (на 1 января 2008 года) до 58 (на 1 ноября 2009года) и 55 (на 1 января 2010
года).
Анализируя предоставленную выше таблицу можно сказать, что изменения с
2009 по 2011 года незначительные. Суммы кредитов банков промышленности,
перерабатывающей промышленности колеблются в пределах 170000тысяч - это в
общем. А ели смотреть по регионам, то большая часть приходится на Алматы, чуть
более 50%, так как основная промышленность, перерабатывающая
сельскохозяйственную продукцию находится в том регионе. Этим и объясняется
величина предоставляемых кредитов.
Таблица 3: Кредиты банков промышленности, перерабатывающей
сельскохозяйственную продукцию в период с 2009-2011 года
Количество банков, ранее включенных в Программу перехода к
международным стандартам, уменьшилось с 50 до 38, что обусловлено невыполнением
участвующими в Программе банками требований к собственному капиталу.
Из приведенной ниже таблицы видно, что кредиты банков в разрезе отраслей
экономики с 2009 по 2011 года составляют большую сумму в пределах 7000000
тенге. Это очень высокий показатель, так как эти кредиты предоставляются на
развитие экономики.
Сократилось количество банков, нарушающих пруденциальные
нормативы, с 30 (42,2 от общего количества) на 1 января 2010 г. до 20 (34,5
процентов) на 1 ноября 2011 г., что является результатом применения
Национальным Банком более жестких мер к банкам, исключенным из Программы
перехода к международным стандартам, вплоть до принудительной их ликвидации. За
указанный период Национальный банк аннулировал лицензии у 7 банков в связи с их
принудительной ликвидацией.
Таблица 4 Кредиты банков субъектам малого предпринимательства в разрезе
отраслей экономики
|
Отрасли
|
Всего
|
краткосрочные
|
долгосрочные
|
|
|
В нац. валюте
|
В иностр. валюте
|
В нац. валюте
|
В иностр. валюте
|
|
|
|
|
|
|
|
Всего по республике
|
1 384 956
|
136419
|
55386
|
504878
|
351912
|
|
В том числе
|
|
|
|
|
|
|
Промышлен
|
124529
|
18689
|
12124
|
53643
|
30 010
|
|
Сельск хозя
|
67797
|
9700
|
5850
|
17444
|
20 915
|
|
Строительство
|
194308
|
16116
|
11011
|
111135
|
51419
|
|
Транспорт
|
52470
|
16937
|
1888
|
13208
|
15338
|
|
Связь
|
0
|
2
|
573
|
11614
|
|
Торговля
|
526735
|
58955
|
22567
|
192737
|
116255
|
|
Другие отрасли
|
406869
|
16023
|
1944
|
116138
|
106362
|
Капитал. Несмотря на сокращение общего количества банков,
размер совокупного собственного капитала банковского сектора постоянно
увеличивался (прирост с началу - 15,2 млрд. тенге или 32,1 процентов). При этом
если в течение 1-го квартала 2010 года рост составил 2,4 млрд. тенге, те в течение
последующих 7 месяцев - 12,8 млрд. тенге. В результате совокупный собственный
капитал банковского сектора составил на 1 ноября 62,5 млрд. тенге. В тоже время
валютный эквивалент размера собственного капитала на 1 ноября 2010 года
составил составил 445 млрд. долл. США или на 21,2 процентов.
Можно отметить снижение доли 5 крупнейших банков в совокупном
собственном капитале банковского сектора с 44,4 процентов на начало 2010 года
до 40,1 процентов на 1 ноября 2011 года. Сводные показатели достаточности собственного
капитала банковского сектора на 1.11.2011 г. составили: отношение собственного
капитала к активам, взвешенным по степени риска - 0,25 (на 1.01.2011 г. - 0,3).
Рис 5: Сумма кредита 2009-2011 года.
Из диаграммы «Сумма кредита» видно, что уровень суммы
кредитов увеличивается из ода в год, это хороший показатель, так как мы видим,
что банки в силах увеличивать кредиты. Благодаря проводимой политике, работе и
усилиям все звеньев. В процентах в среднем увеличение идет на 10%. Это
показывает высокий уровень развития кредитной системы.
Современная кредитная Республики Казахстан представляет
собой сложную систему взаимосвязей между банками как и первого и второго
уровней. Предоставляя кредиты на развитие экономики, на развитие малого и
среднего бизнеса, банки обеспечивают стабилизацию экономической ситуации в
стране. Благодаря сложенной работе всех звеньев кредитная система в последние
динамично развивается.
.3
Современная тенденция развития кредитной системы в РК
Современная
мировая кредитная система в последние годы претерпела значительные изменения.
Модифицируются все компоненты банковской системы в зависимости от изменений,
происходящих в структурной перестройке мировой экономики в целом. Концентрация
производства , обусловленная развитием НТР, потребовала концентрации и
централизации капитала, соответственно, банки стали модифицировать свои
операции в сторону укрепления кредитных ресурсов, т.е. происходит
приспособление современной банковской системы к изменяющимся условиям развития
экономики; налицо структурная перестройка банковской системы; концентрация и
универсализация деятельности банков с сохранением определенной специализации;
отмечается динамизм небанковских кредитных учреждений. Быстрое стирание различий
или ломка барьеров между отдельными типами банков, между банками и
небанковскими учреждениями- одна из важнейших тенденций структурной перестройки
кредитной системы последних лет. [17]
Универсализация
кредитных учреждений прослеживается по двум направлениям. Первое - через
расширение нетрадиционных банковских операций, коммерческие банки пытаются
вторгнутся в страховой бизнес, факторинг, информационно- консультационный
бизнес и др. Они идут на прямую конфронтацию с другими группами кредитных
учреждений, внедряясь в такие сферы финансового обслуживания, где ранее либо
вовсе не участвовали, либо участвовали очень редко - сделки с недвижимостью,
бухгалтерское и компьютерное обслуживание, лизинговые дела.
Второе
- через проникновение на банковские рынки небанковских учреждений (страховые,
брокерские, сберегательные, трастовые компании, пенсионные фонды и др.).
Последние в настоящее время все больше конкурируют с банками в инвестиционной
деятельности, оказание информационно- консультационных услуг, а также в чисто
банковской сфере депозитно-ссудных операциях.[23]
В
последние годы между банковскими и другими специализированными
финансово-кредитными учреждениями исключительно острый характер приняла борьба
за сбережения населения и накопления фирм и компаний.
Раньше
коммерческие банки не могли свободно пользоваться таким эффективным оружием
привлечения сбережений населения, как повышение ставок по депозитам. Им был
установлен максимальный предел процентных ставок, который разрешалось
уплачивать владельцам срочных и сберегательных вкладов, а у других
специализированных кредитных учреждений таких ограничений не было. Естественно,
последние имели преимущество в конкурентной борьбе. Сейчас положение
изменилось. Банки добились разрешение выпускать так называемые сертификаты
денежного рынка, процент по которым устанавливался в зависимости от состояния
конъюнктуры.
Следует
отметить, что в соответствии с изменившимся условиями в экономики произошла
перестройка самой банковской деятельности, традиционных банковских операций.
Этому способствовала отмена административных правил, регулирующих банковскую
деятельность, т.е. дерегулирование. Цель делегурирования - побудить банки
использовать более широкий инструментарий конкуренции, активизировать рынок
банковских услуг.
Делегирование
банковской деятельности затронуло как активные, так и пассивные операции.
Активные операции коммерческих банков претерпели значительные изменения. В
настоящее время они полностью перешли от косвенного кредитования (выдача под
залог и учет векселей) к прямому банковскому кредитованию фирм и корпораций.
Конкретно эта тенденция проявляется в попытках банков конвертировать свои
кредиты в рыночные ценные бумаги. [15]
Происходит
укрупнение объектов кредитования. Коммерческие банки тщательнее стали подходить
к качеству своих активов, т.к. точная и своевременная оценка качества активов -
залог благополучия банков.
Руководство
банков ведет контроль за качеством своих активов, предоставлением новых
кредитов, технологией кредитования (документация, контракты, обеспечение),
соблюдением заемщиком условий кредита и др.
Особую
роль в развитии банковских операций играют современные технические средства
информации и коммуникации. Банковское дело, как никогда прежде, стало зависеть
от своевременности передачи информации, быстрой ее обработки и достоверности
данных, анализа экономической ситуации и правильной оценки перспективы развития
денежного рынка. Участники финансовых рынков требуют все большего объема
информации для ведения своих дел. Поэтому без внедрения последних достижений
НТР в банковское дело, без освоения компьютерной техники невозможна современная
модернизация банковской деятельности. Как значительное явление в развитии
банковской системы следует отметить переход кредитных учреждений от «оптовых»
операций к «розничным», что ведет к огромному расширению круга их клиентов. До
второй мировой войны банкиры проявляли консерватизм и осторожность, обслуживали
только избранную, «особо надежную» клиентуру, сейчас крупные банки изменили
свою стратегию. Активно внедряясь во все сферы предпринимательства и охватывая
мелкий бизнес, они ориентируются на массовую клиентуру, в т.ч. малоимущие слои
населения. Это меняет облик современного крупного банка, его политику. Мы
остановились лишь на некоторых важных моментах, характеризующих современную
кредитную систему в странах с развитой рыночной экономикой. Для Казахстана,
перестающего свою экономику на рыночные рельсы, эти современные тенденции
развития мировой банковской системы представляют собой интерес, поскольку
переход к рыночной экономике требует создания собственной рыночной кредитной
системы.
Заключение
Таким
образом, исходя из вышеизложенного можно сделать следующий вывод, что
большинство экономистов рассматривают кредитную политику как неотъемлемую часть
любой экономической политики. Действительно, в ее пользу можно привести
несколько конкретных доводов:
Быстрота
и гибкость, то есть по сравнению с фискальной политикой кредитно-денежная может
быстро меняться. Так, в США комитет открытого рынка Совета Федеральной резервной
системы буквально ежедневно принимает решения о покупке и продаже ценных бумаг
и тем самым влияет на денежное предложение и процентную ставку.
Слабая
зависимость от политического давления. Например, провести в Государственной
Думе новый налог либо поднять ставку уже имеющегося значительно сложнее, нежели
повысить учетную ставку Центрального банка, хотя и в последнем случае ощущается
влияние политической Среды. Кроме того, даже по своей природе кредитно-денежная
политика мягче и консервативнее в политическом отношении, чем фискальная.
Изменения в государственных расходах непосредственно влияют на
перераспределение ресурсов. В то время как кредитно-денежная политика,
наоборот, действует тоньше, а потому представляется более приемлемой в
политическом отношении.
Монетаризм,
представители которого аргументировано доказывают, что изменение денежного
положения и количества денег в обращении -- ключевой фактор определения уровня
экономической активности и фискальная политика относительно неэффективна.
Список использованной литературы
кредит экономика казахстан
1. Закон Республики Казахстан "О банках и
банковской деятельности Республике Казахстан" от 31.08.95 г. 34 2444.
. Закон Республики Казахстан « О внесении
изменений и дополнений в некоторые законодательные акты РК по вопросам
банковской деятельности» от 11 июля 1997 г.
. Ильясов К.К. . Финансово-кредитные проблемы
развития экономики Казахстана /Под ред.- Алматы: Бiлiм, 2000 - 240 с.
. Кучукова Н.К. Макроэкономические аспекты
реформирования финансово-кредитной системы Республики Казахстан в условиях
перехода к рыночной экономике. - Алматы: Гылым, 2004. - 439 с.
. Райзберг Б.А.. Курс экономики: Учебник /Под
ред.- ИНФРА-М, 2004. - 720 с.
. Чекмаева Е.Н. Межбанковский кредитный рынок и
его регулирование /Деньги и кредит. 2006. №5-6. с. 68-71.
. «Предприниматель и право». №12 (73), май, 2002.
. А.С. Семицев «Деньги, кредит, банки», Москва,
2007 год.
Учебное пособие «Введение в банковское дело»,
Москва, 1997 год.
. Г.Г. Коробова «Банковское дело», Москва, 2004
год.
. Алимбаев «Государственное регулирование
экономики», Алматы, 1999 год.
. Под редакцией проффесора И.Т. Балабанова «Банки
и банковское дело», Москва, 2001 год.
. Под редакцией Г.С. Сейткасимова, Алматы, 2006
год.
. В. Лесис, «Кредит и банки» Москва, Перспектива
2007 год.
. А,Г. Конакбаев, журнал, «Банки Казахстана»
2007,№ 5, с.11-13.
. В.П. Воронин, «Деньги, кредит, банки», Москва,
2003 год.
. А.И. Казьмин, «Деньги и кредит» 2005, №11,
с.4-10.
М.Т. Давлетова, «Экономика», Алматы, 2006 год.
. Большой экономический словарь Под редакцией
А.Н. Азрилина, Москва, Правовая культура, 2005 год.
. Современный экономический словарь, Инфа-М, 2007
год.
. Банки и банковское дело / Под ред. И.Т.
Балабанова. СПб: Питер, 2001.
. Банковское дело / Под ред. В.И. Колесникова, Л.П.
Кроливецкой.- М.: финансы и статистика, 2006.
. Банковское дело / Под ред. Г.С. Сейткасимова.
Алматы: Каржы Каражат, 2007г
. Банковское дело / Под ред. О.И. Лаврушипа. М:
Финансы статистика, 2000.
. З.Эдвин Дж. Долан, Колин Д. Кэмпбелл, Розмари
Дж. Кэмпбслл. Деньги, банковское дело и денежно-кредитная политика. - M.-Л.,
2002.
. Ильясов К.К. . Финансово-кредитные проблемы
развития экономики Казахстана /Под ред.- Алматы: Бiлiм, 2004 - 240 с.
. www.minfin.kz
. www.profinance.kz