Устройство и работа посевных машин
ВВЕДЕНИЕ
Научно-технический прогресс в
механизации сельскохозяйственного производства направлен на снижение удельных
затрат энергии, повышение производительности, улучшение показателей качества
выполняемой работы и условий труда тракториста-машиниста, автоматизации
рабочего процесса машин, снижение техногенной нагрузки на природную среду.
При разработке новой техники
используют принцип дополнения или принцип замены. В первом случае
производственную машину усовершенствуют или модернизируют без изменения ее рабочего
процесса. Производительность усовершенствованной машины увеличивается в 1,3
раза, а модернизированной - 1,6 раза по сравнению производственной. Во втором
случае, используя изобретения, разрабатывают новую или принципиально новую
машину, рабочий процесс которой отличается существенной новизной, а
производительность возрастает в 2 раза и более.
Огромная роль также отводится
специалистам сельского хозяйства. Агрономы, экономисты, инженеры и другие
специалисты должны иметь необходимые знания о сельскохозяйственных машинах, с
тем чтобы выбирать на рынке экономически эффективные образцы техники,
составлять из них комплексы для реализации запланированных технологий и
организовывать эффективное их использование.
Для конкретных условий
хозяйствования можно применять несколько вариантов технологий. Однако не все
они будут одинаково эффективны. Для выбора оптимального варианта учёный-агроном
проводит технико-экономический анализ всех технологий с отражением, как
рационально это сделать на всех стадиях производства, какие ресурсы и техника
для этого необходимы.
В зависимости от наличия в
хозяйстве средств интенсификации производства (семян, удобрений, средств
химической защиты, машин, топлива и т. п.) применяют экстенсивные, нормальные,
интенсивные и высокоинтенсивные технологии. Экстенсивные технологии
ориентированы на использование естественного плодородия почв без применения
органических и минеральных удобрений. Нормальные технологии предусматривают
применение удобрений в объёмах, обеспечивающих поддержание среднего уровня
окультуренности почв и предотвращение их деградации. Интенсивные технологии
обеспечивают оптимальный уровень минерального питания растений и применение
химических средств защиты растений от вредителей, болезней, сорняков и
полегания.
Высокоинтенсивные технологии обеспечивают не
только оптимальный уровень минерального питания растений и защиту их от
сорняков, вредителей и болезней, но и качественно отличные способы предпосевной
подготовки почвы с помощью комбинированных машин, посев семян на одинаковую
глубину сеялками точного посева, адекватную систему ухода за посевами с
использованием прецизионных опрыскивателей, уборку урожая
высокопроизводительными техническими средствами с минимальными потерями и
безотходную послеуборочную обработку урожая.
Нормальные технологии обеспечивают реализацию
биологического потенциала возделываемых сортов более чем на 50%, интенсивные -
на 65%, высокоинтенсивные - на 85%.
В отличие от промышленности в
сельском хозяйстве машины непосредственно воздействуют на объекты живой
природы: растения, семена, почву, населённую разнообразными живыми организмами,
и др.
При выполнении технологических
процессов машины должны, во-первых, создавать наилучшие условия для
возделывания растений, а во-вторых, не наносить им вреда и не создавать
условий, препятствующих их развитию. Поэтому при создании новых машин или
выборе их из образцов, выпускаемых промышленностью, учитывают технологические
свойства и агробиологические особенности возделываемых растений,
почвенно-климатические условия и сроки работ. Для успешного применения машин
важно также, чтобы растения были приспособлены для машинной технологии их
возделывания. Это требование учитывают при выведении и районировании новых
сортов сельскохозяйственных культур.
Контрольная работа по сельскохозяйственным
машинам выполняется на основе знаний общеобразовательных, общетехнических и
общеспециальных дисциплин.
Целью данной контрольной работы является
закрепление теоретических знаний об устройстве и работе посевных машин.
Задачи работы:
. Осуществить анализ технологий посева
зерновых культур и конструкций посевных машин;
. Рассчитать параметры высевающего
аппарата зерновой сеялки;
. Осуществить анализ сошниковой группы.
1. АНАЛИЗ СУЩЕСТВУЮЩИХ ТЕХНОЛОГИЙ ПОСЕВА
ЗЕРНОВЫХ КУЛЬТУР И КОНСТРУКЦИЙ ПОСЕВНЫХ МАШИН
Сроки посева различных культур
зависят от биологических особенностей и почвенно-климатических условий.
Проведенный в оптимальные сроки посев позволяет создать для культуры наиболее
благоприятные условия водного, теплового, питательного и светового режимов,
предотвратить появление сорняков и повреждения вредителями и болезнями.
Несвоевременный сев может привести к потере урожая, поскольку растения могут
повредиться или погибнуть от заморозков, засухи, суховеев и других
неблагоприятных условий. Среди полевых культур выделяют озимые, ранние и
поздние яровые, летние промежуточные. Их высевают в разные сроки - осенью,
весной, летом. В зависимости от вида и сорта культуры могут быть ранне-средне и
поздневесенними, осенними и летними. Некоторые культуры высевают в разные сроки
- рано или поздно весной, летом, в летне-осенний период. К ним относятся рапс,
редька масличная, кукуруза на зеленый корм, люцерна, эспарцет, овсяница
луговая, ежа сборная и другие.
Яровые культуры подразделяются
на культуры раннего и позднего срока сева. К первой группе относятся: яровая
пшеница, ячмень, овес, горох, бобы, чечевица, люпин, подсолнечник, сахарная
свекла, лен-долгунец и другие. Семена этих культур прорастают при температуре
ниже 5º
С.
К культурам позднего срока посева, семена которых прорастают при температуре
почвы 8-12º С, относятся:
кукуруза, просо, сорго, рис, картофель, соя, фасоль, арахис, хлопок и другие.
Озимые зерновые культуры
высевают за 50-60 дней до наступления устойчивого похолодания и прекращения осенней
вегетации. Слишком ранние посевы озимых осенью перерастают, повреждаются
болезнями и вредителями. Такие посевы могут погибнуть зимой от вымерзания и
выпревания.
Способы посева
сельскохозяйственных культур зависят от биологических особенностей, плодородия
и засорения почвы, обеспечения влагой. При правильном способе посева растения
равномерно размещаются на площади, что создает условия для интенсивного
формирования урожая.
Различают обычный строчный,
узкорядный, перекрестный, широкорядный, полосовой, пунктирный, гнездовой,
квадратно-гнездовой и другие способы сева. Обычный строчный способ - это посев
семян с междурядьями от 10 до 25 см, узкорядный имеет междурядья менее 10 см,
широкорядный - более 30 см. При перекрестном способе посева семена высеваются
строчным способом в двух взаимно перпендикулярных направлениях половинными
нормами высева.
Обычным строчным, узкорядным и
перекрестным способами высевают культуры с небольшими площадями питания
растений (зерновые, кроме кукурузы и сорго, зернобобовые, многолетние травы).
Эти способы обеспечивают равномерное размещение семян на площади. Недостатком
перекрестного способа посева является двукратное засевания поля, что
увеличивает энергетические затраты и приводит к разрушению структуры почвы.
Широкорядные посевы применяются
при выращивании культур, растения которых требуют больших площадей питания и
интенсивного освещения солнечными лучами (кукуруза, подсолнечник, картофель,
сахарная свекла). Сахарная свекла высевается с междурядьями 45 см (при орошении
и на торфяных почвах - 60 см), картофель, подсолнечник, кукурузу - 70 см. На
засоренных почвах широкорядным способом высевают просо и гречиху. Культуры,
которые выращивают широкорядным способом называют пропашными. На посевах
пропашных культур периодически рыхлят междурядья для борьбы с сорняками.
При ленточном посеве семена
помещают лентами по 2-3 строки с расстоянием между ними 7,5-15 см, а между
лентами - 45-60 см. Ленточным способом чаще высеваются культуры, которые
требуют хорошего освещения, медленно растут в начале вегетации и слабо
конкурируют с сорняками. К таким культурам относятся просо, гречиха и др.
Пунктирный способ посева - это
широкорядный, с размещением семян в рядках на определенном расстоянии друг от
друга (пунктиром). При этом способе создаются благоприятные условия почвенного
и воздушного питания растений. Для посева используются только калибровочные
семена. Пунктирный сев применяется при выращивании кукурузы, подсолнечника и
сахарной свеклы.
При квадратно-гнездовом способе
посева семян группами размещается по углам квадратов. Этим способом можно
высевать все культуры широкорядного способа сева - кукурузу, сорго,
подсолнечник, хлопчатник, бахчевые культуры и др. При квадратно-гнездовом
способе создаются наилучшие условия для высокого уровня механизированного ухода
за посевами. Зерновые сеялки
Современные зерновые сеялки
имеют множество конструктивных особенностей и способны качественно проводить
посев различными способами. Разные способы посева в зависимости от конкретных
почвенно-климатических условий могут сильно влиять на урожайность. Кроме этого
уменьшается расход посевного материала, каждому растению создаются наиболее
оптимальные условия для роста путем создания необходимой площади питания.
Высокопроизводительные сеялки
значительно снижают затраты труда. В результате не только повышается
урожайность, но и происходит снижение себестоимости продукции.
Наиболее популярными способами
посева являются рядовой, узкорядный, широкорядный. Реже применяются
перекрестный, ленточный, разбросной и некоторые другие способы посева.
При выращивании зерновых
культур чаще применяется рядовой посев. В таком случае семена ложатся в почву
на глубину 4 - 8 см в виде параллельных рядов при расстоянии между рядами 15
см.
Разновидностью такого способа
является узкорядный посев, при котором ширина междурядий составляет около 7,5
см. При таком посеве семена распределяются более равномерно и, следовательно,
имеют оптимальную площадь питания.
Зерновые сеялки применяются и
для перекрестного способа посева. При таком посеве поле засевается поочередно в
двух перпендикулярных друг другу направлениях при установке половинной нормы
высева семян. Семена при таком способе распределяются равномернее, чем при
узкорядном способе.
В настоящее время находят
большое применение сеялки точного высева, которые равномерно распределяют
семена по всей засеваемой площади. Классификация сеялок
Сеялки классифицируются по
способу агрегатирования с трактором:
. Навесные;
. Прицепные.
По конструкции высевающего
аппарата зерновые сеялки подразделяются:
. Сеялки с механическими
высевающими аппаратами;
. Сеялки с
пневматическими высевающими аппаратами.
Кроме этого сеялки могут
высевать одновременно с зерном минеральные удобрения, а могут не оснащаться
туковысевающими аппаратами и проводить только высев зерен.
Устройство сеялок и тенденции
их развития
Сеялки, оборудованные
механическими высевающими аппаратами, имеют, как правило, два бункера. Один из
них предназначен для засыпки семян высеваемой культуры, второй заполняется
удобрениями. Семена и удобрения высеваются при помощи катушечных высевающих
аппаратов, привод которых осуществляется от опорных колес сеялки. Подъем
сошников в зависимости от конструктивных особенностей сеялки осуществляется при
помощи механических или гидравлических устройств, которые управляются
механизатором с трактора. Современные сеялки комплектуются управляемыми
маркерами (обычно гидравлическими).
К зерновым сеялкам в виде
дополнительного оборудования может идти дополнительный бункер для проведения
высева семян трав. В таком случае нет необходимости закупать отдельно еще и
травяную сеялку. В комплект поставки многих сеялок входят следозаделыватели, а
также пружинная борона, которая хорошо засыпает семена.
Механические высевающие
аппараты сеялок представлены желобчатыми или штифтовыми катушками. Иногда они
выполнены в виде внутриреберчатых катушек.
Не так давно появились на рынке
зерновые сеялки с катушечно-ложечным типом высевающего аппарата. Подобный тип
аппарата характеризуется большой универсальностью. Вращение катушки по часовой стрелке
позволяет вести посев зерновых. Смена направления вращения катушки высевающего
аппарата дает возможность проводить однозерновый посев различных мелкосемянных
культур.
Отдельные производители сейчас
комплектуют сеялки комбинированными катушками (крупные и мелкие штифты).
Высевающие аппараты, подобного типа позволяют равномерно высевать разные по
крупности семена. Одна половина катушки предназначена для высева крупносеменных
культур. Вторая половина катушки позволяет вести посев мелкосемянных культур,
доводя норму высева семян до 1 кг/га. Коробка и катушка такого аппарата сделана
из пластмассы.
Для таких сеялок производятся
самые разнообразные конструкции сменных сошников. Применение того или иного по
устройству сошника обусловлено условиями проведения сева, а также особенностями
высеваемой культуры. Это двухдисковые и однодисковые сошники, которые
применяются на тяжелых почвах. Равномерную глубину заделки семян обеспечивают
коньковые сошники, имеющие ограничители. Такие сошники хорошо обеспечивают равномерность
глубины укладки семян на 1 - 4 см.
Многие современные модели
сеялок оборудуются электронными системами. Подобные системы позволяют вести
контроль над процессом высева, а также управлять рабочими органами. Электронный
прибор может показывать скорость посева, наличие семян в бункере, обороты вала
высевающих аппаратов. С его помощью можно управлять маркерами, которые
предназначены для разметки проходов агрегата. Прибор показывает как площадь,
засеянную за смену, так и площадь каждого участка в отдельности.
Большое применение нашли и
пневматические зерновые сеялки. Подобные агрегаты по типу высевающих систем
подразделяются:
. С централизованной
высевающей системой;
. С индивидуальными
дозаторами.
Сеялки с централизованной
высевающей системой имеют общий катушечный дозатор, который при помощи
пневматического распределителя направляет семена по всем сошникам.
Равномерность распределения семян по сошникам в основном зависит от работы
турбулизатора (смешивателя). В случае изменения ширины междурядий можно перекрывать
часть семяпроводов. Лишние семена сбрасываются обратно в бункер. Дозатор имеет
привод от опорных колес сеялки.
Агрегаты с индивидуальными
дозаторами имеют подобные устройства на каждый сошник.
В пневматических сеялках путем
регулировки катушек дозатора можно установить минимальную норму высева 2 кг
семян на 1 га. Норму высева можно довести до 400 кг на 1 га.
. РАСЧЁТ ПАРАМЕТРОВ ВЫСЕВАЮЩЕГО АППАРАТА
ЗЕРНОВОЙ СЕЯЛКИ
Катушечно-желобчатый высевающий аппарат. При
расчете этого аппарата определяют размеры рабочей катушки; массу семян,
высеваемых за один оборот катушки; частоту вращения катушки на единицу длины
пути сеялки. Учитывают механические свойства семян, требуемые нормы высева на
единицу площади или пути и т.д. Основные размеры желобка - ширины b1
и глубина h (рисунок 1, а).
Принимают h
=2d0,
м, где d0
- средний поперечный размер семени, м Принимаем d0
= pbз2/4,
где bз=2,7
h = 2·5,7 = 11,4мм
d0 = 3,14·2,72/4
= 5,7мм
Ширину желобка, м, делают больше глубины, b1
= (1,5-2,5)h.
b1
= 2·11,4 = 22,8мм
Рисунок 1. Расчетная схема высевающего аппарата:
а- катушечного.
Диаметр катушки dк,
м, определяют как диаметр описанной окружности правильного многоугольника,
имеющего nж
сторон, т.е. желобков. Тогда


,
где l0 = b1 + D - длина
стороны многоугольника (здесь D
= 0,0016м - величина ребра между соседними желобками).
l0 = 0,021 +
0,0016 = 0,0226 м.

.

град.
Для исключения пульсаций принимают nж = 10.
Радиус желобка r, м, в
зависимости от угла a1 находят из
расчетной схемы

.

Углы a0 и a1 определяют
из построения, учитывая, что расстояние от оси катушки (точка 0) до точки
пересечения прямых, формирующих плоскую часть стенок желобка.
Площадь сечения желобка, м2,
находят как сумму площадей трех фигур: S1 и S3 - двух
круговых сегментов, S2 -
равнобедренной трапеции (рисунок 1), т.е.
fж
= S1 + S2 + S3
fж
= 1,9 + 0,16 + 0 = 2,06

,


,

где b = 180 -
2·100 = 
20 град.
Отсюда

.



Определяющей характеристикой
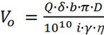
высевающего аппарата служит его рабочий объем, м3, т.е. объем семян,
высеваемых за один оборот катушки (рисунок 2),
Рисунок 2. Схема для определения
объема активного слоя семян

,



где Q = 4 - норма
высева семян, шт/га; b = 0,125 - величина междурядья, м; D = 0,5 -
диаметр опорно-приводного колеса сеялки, м; d
= 40 - масса 1000 зерен, г; (d
= 38-44 г); i = 0,402 -
передаточное отношение; g = 750 -
плотность семян, кг/мм3; h
- коэффициент проскальзывания колеса (h
= 0,9).
Уточняем величину передаточного
числа i,
nв
= nк × i,
nв
= 100,7×
0,402 = 40,48 мин-1
где nв и nк - частота
вращения вала высевающей катушки (диска) и опорно-приводного колеса, мин-1,
nк = 60nh/pD,
nк =
60·2,93·0,9/3,14·0,5 = 100,7 мин-1
где D - диаметр
ходового колеса сеялки, м, размеры которых указаны в технических документациях
по эксплуатации посевных машин.
D = 0,5 м.
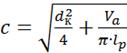
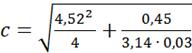
Рабочая длина катушки, м,


Рабочий объем Vo = 1,05

Для определения объема желобков Vж, м3,
необходимо знать площадь поперечного сечения одного желобка fж, число
желобков nж и рабочую
длину катушки lр:


Объем активного слоя, м3,
Vа = Vо - Vж
Vа = 1,05 -
0,6 = 0,45 
При настройке сеялки на норму высева
требуется учитывать наличие активного слоя, который можно оценить по его
толщине, м.
co = c (m+1)=0,91(2.6+1)=3,276м
где с - толщина условного
(приведенного) слоя семян, м; m - опытный коэффициент (для пшеницы
и тритикале m = 2,6; для
льна m = 1,7; для
проса m = 1,4)
Тогда

- 

- 
3. СИЛОВОЙ АНАЛИЗ СОШНИКОВОЙ ГРУППЫ
Назначение сошника - создание
борозды определенной глубины, укладка в нее семян или клубней и закрытие их
почвой.
Рисунок 3. Типы сошников сеялок
На сошник действует сила тяжести,
составляющая от силы натяжения пружины, реакция почвы и равнодействующая всех
сил сопротивления.
Для дискового сошника (рисунок 4, а)
равновесие будет соблюдаться, когда равнодействующая сила проходит через ось
подвеса при выполнении следующего условия:
R × m = G × h + F × n = 0
где R -
равнодействующая всех сил сопротивления, приложенных к сошнику, кН; G - сила
тяжести сошника вместе с поводком, кН; F - сила
давления пружины на поводок сошника, кН; m, h и n -
расстояния (плечи) от точек приложения соответствующих сил относительно оси
подвеса, м.
Однако условие устойчивости
сошниковой группы нарушается ввиду изменения величины и направления силы R, зависящей
от физико-механических свойств почвы и микронеровностей рельефа поля.
С учетом действующих сил и моментов,
при допущении, что переменная составляющая R1 реакции
почвы R изменяется
по гармоническому закону, положение сошниковой группы можно характеризовать
углом наклона поводка
Рисунок 4. Расчетная схема сошников
посевных и посадочных машин

где p - частота
изменения составляющей R1, 1/с; I - момент
инерции сошниковой группы относительно оси подвеса, кг м2; w0 -
собственная частота колебаний сошниковой группы, 1/с; g - коэффициент жесткости
пружины, кН/м.
Тогда, квадратичная функция w, 1/с2,

Трубчато-лаповый сошник должен в
процессе работы находится в вертикальном положении. В противном случае
возрастают колебания сошника и семена будут располагаться в недопустимой зоне
разброса: в сухом слое почвы, раскрытой бороздке. Поэтому необходимо обеспечить
соответствующее натяжение пружины.
Реакция почвы на копирующее колесо
находится на плане скоростей, совмещенного с нижним звеном паралеллограммного
механизма. Результирующую силу определяют из силового многоугольника, принимая
для условия устойчивости параллельность ее звеньям механизма подвеса сошника.
Наиболее простой случай -
обеспечение устойчивости хода одноповодковой системы.
Для расчетов необходимо применять
значение горизонтальной составляющей
реакции почвы равной, кН.
Силовой анализ механизма перемещения
сошников из рабочего в транспортное положение, служит для определения
требуемого усилия на исполнительном механизме (например, гидроцилиндре) при
переводе рабочих органов(навесной машины) из рабочего положения в транспортное.
Для этого необходимо иметь кинематическую схему механизма, выполненную в
масштабе или реально существующий механизм.
Удельное сопротивление машин, кН/м,
при скорости до 2,8 м/с, указано в таблице 4.
Таблица
Удельное
сопротивление , Кн/м
|
|
Сеялки:
Зерновая прицепная Зерновая навесная Овощная навесная Свекловичная навесная
Кукурузная навесная Картофелесажалка навесная
|
1,0-1,5
0,96-1,4 0,5-0,8 0,8-1,2 1,1-1,4 3,0-3,5
|
Методика определения требуемого усилия изложена
в контрольной работе по расчету параметров почвообрабатывающих машин.
Динамика движения сеялки определяется по режиму
работы сошника, который должен заделывать семена на глубину, а величина которой
должна изменяться в пределах агротехнических требований, при выполнении
следующего условия:
Условие нарушается ввиду изменения величины и
направления силы R, зависящей
от технологических свойств почвы и микронеровностей рельефа поля. Значения
параметров I, h,L
определяют из технических параметров сеялки и условий ее эксплуатации в
процессе посева заданной с/х культуры или травосмеси. Здесь I-
расстояние от места крепления поводка сеялки до точки приложения силы F.
Сила реакции почвы для данных условий имеет
переменное значениеR(t).
Под действием этой силы сошник изменяет свое положение, что приводит к
изменению глубины посадки а. Например, при увеличении силы R(t)
сошник выглубляется и поворачивается на угол γ относительно
рамы сеялки в точке О. это приводит к деформации пружины до величины силы,
необходимой для восстановления равновесия, т. е.
F(t)=F
+ c∆X
Где F
- сила предварительного сжатия пружины, кН; с - жесткость пружины, кН/м; ∆X
-деформация пружины.
F=cX
где с=19,6 кН/м, X -
предварительное сжатие пружины,
X - размер
пружины в свободном состоянии, см;
- длина пружины в 1 положении
ограничителя ( расстояние между отверстиями на штанге пружины - 25 мм),
количество отверстий - 4.
Тогда
зерновой сеялка сошниковый пневматический
∆X=I
Для малых углов
, поэтому
F(t)=F+clγ
Таким образом, сошник находится под
действием момента возмущающихся сил, который сообщает сошнику угловую скорость
и угловое ускорение. При этом возникают инерционный момент М и момент от силы
сопротивления от почвы.
Где I- момент
инерции сошника с поводком относительно оси вращения, кН*м*с Момент от силы
сопротивления почвы вертикальным перемещением сошника пропорционален скорости
поворота сошника, т.е
Где d -
коэффициент затухания колебаний сошника, кН*м*с.
Момент сопротивления
всегда
действует в сторону, противоположную перемещению сошника.
Так как сила R(t) постоянно
меняется, то в данный момент времени нельзя указать величину и направление ее
действия. Приняв колебания сошника по гармоничному закону можно определить
величину момента инерции сошника с поводком
При р=0 cos рt=1, тогда
формула принимает вид
При p=1 cos pt=1, с=4000 H/м, γ=10 1/с, тогда
формула, записывается в виде
Из анализа формулы следует, что
при возрастании силы G или F
увеличивается глубина хода сошника а;
с увеличением момента инерции
сошника I и жесткости
с пружины улучшается устойчивость его хода по глубине( уменьшается γ);
- сила R(t) в
уравнении (54) случайная величина, следовательно, глубина хода сошника а(t)
пропорциональна углу γ
отклонения
поводка от положения равновесия и имеет переменную случайную функцию.
Характеристика величины с принимают
равными 2000-5000 с интервалом 500.
Пневматические высевающие аппараты
характеризуются тем, что в процессе посева каждое единичное семя присасывается
к отверстию в непосредственной близости от всасывающего аппарата.
Таблица 2
|
Коэффициент
жесткости пружины сошника, Н*м
|
С
|
2000;3000;4000;5000.
|
Условие захвата и выноса единичного семени
воздушным потоком.
На семя действуют:
присасывающая сила, Н, воздушного потока
Где с1 - безразмерный коэффициент;
\r - плотность воздуха, кг/м ; S - площадь проекции семени на
плоскость перпендикулярную направлению движения воздушного потока, м; v- скорость
воздушного потока, м/с;
-осевое
давление в массе семян, Н;γ- угол внутреннего трения семян, град.
Таблица 3
|
Технологические
характеристики посева. Наименование и параметры сеялки.
|
Обозначения
|
Числовые
значения
|
|
Удельное
сопротивление машин, кН/м
|
1,2; 1,5.
|
|
|
Глубина
посева, м
|
а
|
0,03;
0,035
|
|
Марка
трактора
|
МТЗ-80/82
|
|
|
Тяговое
усилие трактора, кН
|
1,4
|
|
|
Тип
сеялки пневматический
|
|
|
|
Тип
сошника: наральниковый, двухдисковый, полозовидный
|
|
|
|
Разрежение
в вакуумной камере, МПа
|
∆Р
|
6,0;
5,0;
|
|
Аэродинамический
коэффициент присасывания
|
ᵝ
|
1,1;
0,72;
|
|
Угол
трения почвы о сталь, град
|
γ
|
25
|
|
Угол
вхождения сошника в почву, град
|
ᵡ
|
33;50
|
|
Число
отверстий в вакуумной камере
|
8;12
|
ᵐ
|
0,18;
0,20
|
|
Ход
штока гидроцилиндра, м
|
0,25
|
|
|
Скорость
движения агрегата, м/с
|
v
|
2,5;
2,93;
|
|
Плотность
воздуха, кг/м
|
ᵖ
|
1,2043
|
|
Коэффициент
жесткости пружины сошника
|
с
|
3000,4000
|
Присасывающая сила выражается через
площадь отверстия
-разрежение ∆Р,
т.е
Р=
*∆Р*S
Где к1 - коэффициент
пропорциональности( для семян кукурузы к1=0,55-1,35).
Разрежение ∆Р - подбирают
таким образом, чтобы присасывающая сила была в десятки раз больше силы тяжести
семян. Для семян кукурузы ∆Р/mg=32,0
Коэффициент
- =0,75-0,95
для отверстий диаметром 3мм при скорости вращения диска 0,41-0,61м/с.