Технология работ при создании лесных культур на вырубке

  • Вид работы:
    Курсовая работа (т)
  • Предмет:
    Транспорт, грузоперевозки
  • Язык:
    Русский
    ,
    Формат файла:
    MS Word
    2,5 Мб
  • Опубликовано:
    2014-09-29
Вы можете узнать стоимость помощи в написании студенческой работы.
Помощь в написании работы, которую точно примут!

Технология работ при создании лесных культур на вырубке

МИНИСТЕРСТВО ОБРАЗОВАНИЯ И НАУКИ РОССИЙСКОЙ ФЕДЕРАЦИИ

Федеральное государственное бюджетное образовательное учреждение высшего профессионального образования «Санкт-Петербургский государственный лесотехнический университет имени С.М. Кирова» (СПбГЛТУ)

Кафедра проектирования специальных лесных машин





Курсовой проект по дисциплине

«Машины и механизмы в лесном и лесопарковом хозяйстве»

Выполнил: студент Дийкова А.В









Санкт-Петербург 2014 г.

Введение

Технический процесс в лесном хозяйстве в значительной степени зависит от качества применяемых машин и их рационального использования. Большинство технологических процессов в этой отрасли являются энергоемкими и их выполнение немыслимо без применения соответствующих машин и механизмов.

Лесное хозяйство имеет специфику, отрицательно влияющую на развитие механизации работ. Это сезонность работ, большое разнообразие природных и производственных условий, территориальная разбросанность и взаимодействие машин с живыми организмами - растениями. Эти особенности приводят к снижению коэффициента использования техники, применению большого числа типов и марок машин, что осложняет их производство и эксплуатацию, а высокие экологические требования к машинам часто приводят к снижению их производительности.

В таких сложных условиях рациональное использование машин возможно при изучении не только их устройства, но и теории взаимодействия рабочих органов с предметом труда. Это обеспечит правильный выбор машин для работы в заданных условиях.

Для правильного выбора технологии и машин, важное значение имеет системный подход, предусматривающий технологические и другие связи между машинами.

Система машин обеспечивает выполнение всех технологических процессов, направленных на повышение продуктивности лесов при минимальных затратах труда и средств на единицу выполненной работы.

В системе машин каждая предыдущая машина своей работы создает условия для работы последующей машины. Следовательно, для осуществления лесохозяйственных мероприятий из системы машин выбираются необходимые лесохозяйственные машины и транспортные средства.

При выборе лесохозяйственных машин и транспортных средств необходимо исходить из обеспечения качественного выполнения технологических процессов, повышения производительности труда, снижения эксплуатационных затрат.

1. Задание на курсовой проект


Тема курсового проекта: «Технология работ при создании лесных культур на вырубке».

Данные для выполнения курсового проекта:

объем работы 90 га;

почвы дренированные;

объем рубок ухода на одном га - 25 м3.(dдер менее 15 см - 10 м3; dдер более 15 см - 15 м3).

Исследование: исследуется сменная производительность Псм колесных транспортных систем при вывозке сортиментов от рубок ухода.

2. Подготовка посадочного материала

 

.1 Технология работ по заготовке семян


Лесному хозяйству нашей страны для проведения лесовосстановительных и лесокультурных работ ежегодно требуются десятки тысяч тонн семян. В настоящее время прилагаются усилия и направляются средства на разработку перспективных технологий и машин, позволяющих свести к минимуму долю ручного труда при заготовке семян.

Наибольшая производительность труда при сборе лесных плодов может быть достигнута при работе на специально организованных лесосеменных участках и плантациях. Здесь имеются все возможности для широкого использования машин как для ухода за древесными насаждениями, так и для сбора плодов. Поэтому намечено увеличение количества лесосеменных плантаций и повышение доли заготавливаемых на них плодов в общем объеме заготовок.

Таблица 2.1

№п/п

Наименование технологических операций

Способ проведения работ

Машины и механизмы

Марка трактора

Семенная производительность, Псм

1.

Сбор плодов с растущих деревьев в лесном массиве

ручной

-

-

8-10 кг плодов в смену (20 кг с поваленных деревьев)

2.

Сбор плодов с растущих деревьев на лесосеменных постоянно действующих плантациях

механизированный

Трактор с манипулятором

Т-25АЛ, Т-40АЛ, МТЗ-82Л (трактора с шарнирной рамой конструкции ЛТУ)

60 кг плодов в смену

3.

Извлечение семян из плодов (шишек)

механизированный

Шишкосушилки

-

2,0-7,5 кг семян в сутки, сосна - 2 кг, ель - 7,5 кг

4.

Очистка семян

механизированный

Машина МОС-1А

-

20 кг/час чистых семян

5.

Сортировка семян

механизированный

Машина МОС-1А

-

10 кг/час чистых семян

6.

Хранение семян

ручной

-

-

-

 

.2 Технология работ в посевном отделении лесного питомника


Таблица 2.2

№ п/п

Наименование технологических операций

Способ проведения работ

Машины и механизмы

Марка трактора

Сменная производительность, Псм=f(vтр)

1

Основная подготовка почвы

механизированный

Плуг ПЛН-3-35

МТЗ-82


2

Дополнительная обработка почвы

механизированный

Борона БДН-3,0

МТЗ-82


3

Внесение минеральных удобрений

механизированный

Разбрасыватель удобрений НРУ-0,5

МТЗ-82


4

Рыхление почвы перед посевом

механизированный

Культиватор КРН-4,2

МТЗ-82


5

Нарезка гряд

механизированный

Грядоделатель ГСД-1,4

ВТЗ-30СШ


6

Посев семян

механизированный

Сеялка «Литва-25»

ВТЗ-30СШ


7

Мульчирование посевов торфяной крошкой

механизированный

Мульчирователь МСН-1

МТЗ-82


8

Междурядная обработка почвы и подкормка

механизированный

Культиватор КРН-4,2

МТЗ-82


9

Полив посевов и сеянцев

механизированный

Дождевальная машина ДДН-70

МТЗ-82


10

Выкопка сеянцев

механизированный

Выкопочная машина НВС-1,2

МТЗ-82



Из посевного отделения саженцы пересаживают в школьное отделение.

2.3 Технология работ в школьном отделении лесного питомника


Таблица 2.3

№ п/п

Наименование технологических операций

Способ проведения работ

Машины и механизмы

Марка трактора

Сменная производительность, Псм=f(vтр)

1

2

3

4

5

6

1

Основная подготовка почвы

механизированный

Плуг ПЛН-3-35

МТЗ-82


2

Дополнительная обработка почвы

механизированный

Борона БДН-3,0

МТЗ-82


3

Внесение минеральных удобрений

механизированный

Разбрасыватель удобрений НРУ-0,5

МТЗ-82


4

Рыхление почвы перед посадкой

механизированный

Культиватор КРН-4,2

МТЗ-82


5

Нарезка гряд

механизированный

Грядоделатель ГСД-1,4

ВТЗ-30СШ


6

Посадка сеянцев

механизированный

Лесопосадочная машина ЭМИ-5

МТЗ-82


7

Междурядная обработка и подкормка саженцев

механизированный

Культиватор КРН-4,2

МТЗ-82


8

Полив саженцев

механизированный

Дождевальная машина ДДН-70

МТЗ-82


9

Выкопка саженцев

механизированный

Выкопочная машина НВС-1,2

МТЗ-82



Из школьного отделения сеянцы пересаживаются на вырубки.

3. Технология работ при создании лесных культур на вырубке с дренированными почвами

 

.1 Составление технологической карты


При составлении технологической карты выбор работающих машин производится в зависимости от почвенных условий.

При выборе лесохозяйственных машин для подготовки почвы на вырубке (лесных плугов) необходимо учитывать, что на дренированных почвах посадка лесных культур производится в дно борозды. Выбор лесопосадочной машины также зависит от почвенных условий. Агротехнический уход за лесными культурами производится культиваторами различных типов.

Производительность и потребное количество машинно-тракторных агрегатов (МТА) заносят в технологическую карту. Данные полученные при проведении надлежащих расчетов заносятся в Таблицу 3.1.

Таблица 3.1 Технологическая карта по созданию лесных культур на вырубке. Почвы дренированные. Объем работ 90 га.

Технологическая операция

Объем работ

Состав МТА

Длина пути МТА на 1 га / на 90 га м

Время смены, ч / сроки выполнения

Сменная производительность МТА и механизмов

Количество рабочих смен в год

Количество МТА или механизмов


га

на 1 га / на 90 га м3

л/х машина

трактор






1

2

3

4

5

6

7

8

9

10

1. Подготовка почвы

90

-

ПКЛ-70-4

ЛХТ-100

2200/198000

8/апрель

14000 м/см

15

1

2. Посадка саженцев

90

-

МЛУ-1

ЛХТ-100

2200/198000

8/май

14000 м/см

15

1

3. Уход за посадками механический (агротехнический)

90

-

КЛБ-1,7

ЛХТ-100

2200/198000

8/апрель-август

14000 м/см

15 (3 раза за сезон)

1

4. Борьба с вредителями и болезнями леса

90

Создание муравейников (3 шт. на каждом га), разведение птиц и др.

5. Рубки ухода с заготовкой древесины

90









5.1. Срезание деревьев d=15 см и менее

90

10/900

«Секор-3»

-

-

8/круглый год

6 м3/см

150

3

5.2. Срезание деревьев d=15 см и более

90

15/1350

Бензопила

-

-

8/круглый год

22 м3/см

62

3

5.3. Вывозка сортиментов

90










90










90










3.1.1 Подготовка почвы на вырубке

Для обработки почвы на вырубке с дренированными почвами применяется специальный лесной плуг ПКЛ-70-4 (двухотвальный).

Плуг комбинированный лесной ПКЛ-70-4 наиболее распространен в лесном хозяйстве. Он предназначен для полосной подготовки почвы на нераскорчеванных вырубках при количестве пней 800 шт./га и более. Плуг ПКЛ-70-4 служит для подготовки фронта работ следующей машины - лесопосадочной.

Также плуг применяют для устройства противопожарных, минерализированных полос.

Схема работы плуга изображена на рис. 3.1.

Рис. 3.1. Технологическая схема обработки почвы плугом ПКЛ-70-4

Плуг ПКЛ-70-4 укомплектован двухотвальным корпусом, с помощью которого образуется борозда шириной 0,70 м, а по обе стороны от нее - пласты шириной 0,35 м. Глубина борозды - 10-12 см.

Рис. 3.2 Плуг специальный лесной ПКЛ-70-4: 1 - лемех; 2 - нож дисковый; 3 - ось ножа; 4 - кронштейн ножа; 5 - кронштейн навесной системы; 6 - стойка навесной системы; 7 - раскос навесной системы; 8 - рама; 9 - стойка корпуса плуга; 10 - раскос корпуса плуга; 11 - отвал; 12 - пята

Плуг ПКЛ-70-40 агрегатируются с тракторами, оборудованными гидравлической навесной системой по двухточечной схеме: ЛХТ-55 (Рис.3.3), а также с тракторами ЛХТ-100 и «Онежец».

Техническая характеристика плуга ПКЛ-70-4

Масса плуга, кг

520

Габаритные размеры, м:


- длина

2,0

- ширина

1,8

- высота

1,5

Ширина борозды, м

0,7

Ширина минеральзованной полосы, м

1,4

Глубина борозды, м

0,10 - 0,12

Обслуживающий персонал

1 чел. (тракторист)


а)

б)

Рис. 3.3 Трактора ТДТ-55 и ЛХТ-55: а - базовая модель ТДТ-55; б - модификация ЛХТ-55: 1 - лебедка; 2 - трелевочный щит; 3 - ведущая звездочка; 4 - каток опорный;5 - гусеница; 6 - балансир; 7 - каток направляющий; 8 - передняя навесная система;9 - отвал; 10 - пусковой двигатель; /1 - воздухозаборник дизеля; 12 - кузов;13- привод ВОМ; 14- задняя навесная система; 15 - рычаг балансира

Тяговое сопротивление плуга ПКЛ-70-4 зависит от типа почвы, её физико-механических свойств, влажности, степени засоренности растительными остатками, глубиной вспашки, шириной захвата плуга и т.д.

При рабочем движении плуга тяговое сопротивление складывается из сил трения, скольжения и качения, сил резания почвы и крошения пласта и силы отбрасывания его (динамическая сила).

При работе лесного плуга на вырубках, где почва содержит значительное количество корней, тяговое сопротивление плуга находится по следующей формуле:

пл=Gплfт+Kпab+pabv2+q∆ab

где Gпл - сила тяжести плуга, Н; fт - коэффициент трения металла о почву; Kп - удельное сопротивление почвы резанию, Н/м2; а - глубина обработки, м; b - ширина захвата корпуса плуга, м; p - плотность почвы, кг/м3; v - скорость движения трактора, м/с; q - удельное сопротивление корня разрыву, Н/м2; ∆ - часть площади поперечного сечения пласта, занятого корневой системой.пл=5200*0,50+7*104*0,10*0,7+1500*0,10*0,7*0,92+2,5*106*0,03*0,10*0,7=12835 Н

Выбираем трактор ЛХТ-100.

 

.1.2 Посадка лесных культур на вырубке

Лесокультурный фонд, который представляется вырубками, отличается весьма большим разнообразием лесорастительных и почвенно-климатических условий.

В зависимости от условий местопроизрастания, типа почв и их увлажнения, количества пней, степени покрытия порослью, и травянистой растительностью, на вырубках применяют различные технологические приемы подготовки почвы, предшествующие посадке лесных культур. Одним из основных факторов, определяющих технологию подготовки почвы, является степень увлажнения почв.

На вырубках специальные лесные плуги создают борозды или микроповышения. На вырубках с дренированными почвами посадка лесных культур производится по бороздам лесопосадочными машинами СБН-1А или МЛУ-1.

Принципиальная схема лесопосадочной машины МЛУ-1 (вид сбоку) изображена на Рис.3.4.

Рис. 3.4 Схема лесопосадочной машины МЛУ-1: 1 - сошник; 2 - крылья для рыхления почвы; 3 - ограждение оператора;4 - сидение оператора; 5 - ящик для саженцев; 6 - посадочный механизм;7 - привод посадочного механизма; 8 - опорный каток, ас- угол вхождения сошника в почву >90°; tп - шаг посадки, м; а - глубина обработки почвы, м; Vt- скорость движения трактора, м/с

Сошник лесопосадочной машины выполнен с тупым углом вхождения в почву. Сошник имеет коробчатую форму высотой 40 см. На сошнике установлены крылья для рыхления почв. Корпус машины предохраняет оператора от возможных ударов. В корпусе машины установлены подрессоренные сидения. Саженцы размещаются в двух металлических ящиках, из которых операторы берут саженцы и укладывают в захват посадочного механизма.

Посадочный механизм получает вращение через зубчатый привод от уплотнительного катка. Уплотнительные катки уплотняю почву по всей высоте корневой системы саженца. Количеством захватов на посадочном механизме регулируется шаг посадки tп. Уплотнительные катки установлены с наклоном к поверхности почвы. Левый уплотнительный каток оборудован грунтозацепами для лучшего сцепления с почвой. В корпусе машины установлена сигнализация для связи с трактористом.

На вырубке высаживают, как правило, 4000 растений на одном га.

Техническая характеристика лесопосадочной машины МЛУ-1.

Масса, кг

945,0

Глубина обработки почвы, м

0,40

Ширина захвата дерноснимов, м

0,50

Ширина бороздки от сошника, м

0,20

Шаг посадки, м

0,5; 0,75; 1,0; 1,25; 1,50

Сошник

с тупым углом вхождения в почву

Габаритные размеры, м:


- длина

2,47

- ширина

1,70

- высота

2,20

Обслуживающий персонал


- операторы

2 чел.

- оправщики

1 чел.


Рис. 3.18 Схема посадки саженцев машиной МЛУ-1.

Тяговое сопротивление лесопосадочной машины Rл.м. определяется по формуле

л.м. = Gл.м.fк+Gл.м.fт.+Кпabnc+pabv2+qк∆ab

где Gл.м - сила тяжести лесопосадочной машины, Н; fк - коэффициент сопротивления трению качения опорного или уплотняющего катка ( fк= 0,11-0,15); fт - коэффициент трения поверхности сошника о почву (fт = 0,25-0,70); Кп - удельное сопротивление почвы, H/м^2 ( Кп = 3*10^4 - 10*10^4 Н/м^2); a - глубина хода сошника, м; b - ширина захвата (ширина борозды сошника), м; nс - число сошников; p-плотность почвы, кг/м^3; vт - скорость движения трактора, м/с; ∆ - часть площади поперечного сечения пласта, занятого корневой системой; qк - удельное сопротивление корня разрыву, Н/м^2.л.м.=9450*0,15+9450*0,50+7*104*0,40*0,20*1+1500*0,40*0,20*0,92+2,5*106*0,03*0,40*0,20=17840 Н

Выбираем трактор ЛХТ-100.

 

.1.3 Уход агротехнический за культурами на вырубке

Успешность развития лесных культур определяется не только мероприятиями, связанными с их производством, но и совокупностью мероприятий, объединяемых под общим названием - агротехнический уход. Эти мероприятия слагаются из уходов за почвой и уходом за создаваемыми культурами.

Для этих целей в лесном хозяйстве применяются культиваторы. Культиваторы предназначены для рыхления почвы, уничтожения сорной растительности, окучивания. Культиваторы имеют различные рабочие органы. В лесном хозяйстве при уходе за лесными культурами на вырубках применяют дисковый культиватор КЛБ-1,7.

Культиватор лесной бороздной КЛБ-1,7, применяется на вырубках и предназначен для ухода за лесными культурами, посаженными по дну борозд, подготовленных специальным лесным плугом ПКЛ-70-4 (двухотвальный вариант). Агрегатируется с трактором ЛХТ-100.

При уходе за лесными культурами на вырубках в некоторых случаях приходится уничтожать сорную растительность не только на гребнях, но и на склонах этих гребней. Для этой цели необходимо дисковые батареи устанавливать под углом а поперечной плоскости, что достигается поворотом в собственной плоскости вертикальной задней плиты 7, жестко связанной с верхней горизонтальной плитой 6, относительно вертикальной передней плиты 8.

Амортизационное устройство 10 служит для уменьшения воздействия встречающихся препятствий (корни, пни, камни и т.д.). При встрече с препятствиями дисковая батарея имеет возможность поворота относительно шарнира 13.

Для достижения необходимой глубины обработки культиватором на тяжелых почвах загружают его балластные ящики 11, увеличивая тем самым массу орудия. Дисковый культиватор КЛБ-1,7 имеет навесное устройство 9, при помощи которого соединяется с навесной системой трактора ЛХТ-55 или ЛХТ-100. Для установки дисковых батарей в свал или вразвал правую и левую дисковые батареи меняют местами.

колесных тракторов бензомоторный пила

Рис. 3.6. Принципиальная конструктивная схема культиватора лесного бороздного КЛБ-1,7

Техническая характеристика культиватора лесного бороздного КЛБ-1,7.

Масса, кг

580

Ширина захвата дерноснимов, м

1,7

Глубина обработки почвы, м

0,06 - 0,12

Диаметр сферического диска, м

0,51

Угол атаки дисков, град

0;10;20;30

Угол наклона дисковых батарей, град.

5;10;15;20

Габаритные размеры, м:


- длина

0,91

- ширина

1,71

- высота

1,50

Величина защитной зоны, м

0,2-0,4


Тяговое сопротивление Rд.к. дискового культиватора КЛБ-1,7 определяется по следующей формуле:

т.к. = Gо.рfт.р+Gо.рfк+Кпab+pabvт+∆qкab

т.к.=5800*0,50+5800*0,15+7*104*0,10*1,7+1500*0,10*1,7*0,92+2,5*106*0,03*0,10*1,7=28627 Н

Выбираем трактор ЛХТ-100.

3.2 Кинематика движения МТА


При выполнении основных видов работ по созданию лесных культур на вырубках МТА совершают циклические, повторяющиеся движения на каждом участке. Схема движения МТА, состоящего из трактора и лесохозяйственной машины, представлена на Рис. 3.7.

Рис. 3.7 Схема движения МТА на вырубке

Движение МТА включает рабочие движения, при которых выполняется полезная работа, и холостые движения. Холостые движения обусловлены необходимостью поворотов агрегата при выключении из работы лесохозяйственных машин.

Общая протяженность пути МТА на одном гектаре (100*100 м) определяется следующим образом:

∑=Lp.x + Lx.x

где L∑ - общая протяженность пути, м; Lp.x - протяженность пути рабочих ходов, м; L x.x - протяженность пути холостых ходов, м.

На одном гектаре Lp.x определяется так:.x = 100 м * 20 полос = 2000 м.x.x - для практических расчетов принимается равной 10% Lp.x т.е.:.x = 2000 м * 0,1 = 200 м.

Тогда L∑=Lp.x + L x.x = 2000 м + 200 м = 2200 м (это на одном гектаре).∑ = 2200 м * 90 га = 198000 м (это длина пути МТА на 90 га).

 

.3 Определение сменной производительности МТА


Для МТА, результаты которых измеряются в линейных единицах, сменная производительность Псм (м/см) определяется по следующей формуле:

Псм = vт * Тсм * Кт.г * Ксм* Кp*фр.х, (м/см)

где vт - скорость движения трактора, м/с, ( трактор ЛХТ-100, 2-я передача vт = 0,9 м/с); Тсм - продолжительность смены, с; Кт.г - коэффициент технической готовности МТА (Кт.г = 0,9); Ксм -коэффициент использования рабочего времени смены ( Ксм = 0,7); Кр - коэффициент учитывающий влияние рельефа местности (Кр = 0,95); фр.х - коэффициент рабочих ходов МТА (фр.х = 0,9).

Коэффициент рабочих ходов МТА фр.х определяется по формуле


После подстановки данных получим:

Псм = 0,9 * 8 * 60 * 60 * 0,9 * 0,7 * 0,95 * 0,9 = 13962 м/смену.

Для проведения расчетов значение сменной производительности Псм округляем до значения: Псм = 14000 м/смену.

Потребное количество рабочих смен Псм на общий объем работ (90 га) составит:

Псм = 198000/14000=14,14 смены.

Для проведения практических расчетов количество рабочих смен округляем и принимаем число: 15.

Принимаем количество смен в один рабочий день - 1 смена.

Тогда для выполнения работы вполне достаточно одной единицы МТА.

 

4. Борьба с вредителями и болезнями леса


Лесохозяйственные предприятия обязаны проводить мероприятия по организации защиты лесов от вредителей и болезней. Эти мероприятия заключаются в следующем:

обеспечение выполнения санитарных правил при ведении лесного хозяйства и эксплуатации лесов;

проведение санитарно-оздоровительных мероприятий в целях предотвращения массового появления и распространения вредных организмов в лесах;

организация и проведение лесопатологического надзора и лесопатологических обследований;

осуществление мероприятий по борьбе с вредителями и болезнями леса, обеспечивающих своевременную ликвидацию или локализацию появляющихся очагов.

Лесохозяйственные предприятия располагают специализированной службой, в состав которой входят станции по борьбе с вредителями и болезнями леса. Эти станции систематизируют материалы по лесопатологическому надзору, участвуют в составлении прогнозов численности вредных насекомых и распространению болезней, разрабатывают программы лесозащитных мероприятий, внедряют новые разработки научно-исследовательских институтов и вузов.

Биологические методы - это комплекс мероприятий, основанный на использовании организмов для предотвращения или снижения ущерба, причиняемого насаждениям в лесу. Биологические методы опираются на осуществление антагонистических отношений между отдельными между отдельными видами организмов, обитающих в лесных биогеоценозах. Биологические методы осуществляются путем использования энтомопатогенных микроорганизмов, насекомых-энтомофагов, насекомоядных птиц и зверей. Энтомопатогенные микроорганизмы применяются в виде биопрепаратов.

Их используют для подавления численности хвоегрызущих и листогрызущих насекомых. Препараты применяют методом мелкокапельного авиационного или наземного опрыскивания насаждений.

Например, в сельском хозяйстве для борьбы с вредителями используют полезное насекомое - куколку трихограммы. Куколку трихограммы рассеивают в мельчайших капельках воды с самолетов. Энтомофагов используют путем их интродукции и акклиматизации, сезонной колонизации и внутриареального расселения. Интродукция и акклиматизация достигают хороших результатов против завезенных вредителей леса. Сезонная колонизация сводится к разовому выпуску энтомофагов в очаги насекомых-вредителей леса. При внутриареальном расселении энтомофаги переносятся из затухающих очагов насекомых-вредителей леса в возникающие. Успешно расселяются в лесах рыжие муравьи. Насекомоядные птицы и звери не регулируют численность, а лишь существенно уменьшают количество насекомых-вредителей леса. Насекомоядных птиц и зверей охраняют и привлекают во всех лесных районах России.

Известно также, что куропатки прекрасно поедают колорадского жука. Народная мудрость гласит: где много птиц там мало вредных насекомых. Биологические методы защиты леса от вредителей и болезней имеют ряд преимуществ перед другими методами: они не загрязняют окружающую среду, не оказывают отрицательного влияния на человека, растения и лесные биогеоценозы.

В связи с указанными важнейшими факторами необходимо стремиться к тому, чтобы в борьбе с вредителями и болезнями леса соответствующие службы в значительной мере уменьшили применение химических методов, а развивали и применяли биологические. Весьма положительно на состояние почвы влияют органические и минеральные удобрения.

Минеральные удобрения содержат большое количество питательных веществ, быстрее усваиваются растениями, менее сложны по химическому составу. Они делятся на простые и комплексные.

Простые удобрения содержат, как правило, только один элемент питания (например, азот). В состав комплексных удобрений входят два или три основных элемента питания (азот и фосфор; азот и калий; азот, фосфор, калий). Простые удобрения по содержанию основного элемента подразделяются на азотные, фосфорные и калийные. Азотными удобрениями являются аммиачная, кальциевая и натриевая селитра, сульфат аммония и мочевина (карбамид). К фосфорным удобрениям относятся: суперфосфат простой порошковидный, суперфосфат простой гранулированный, двойной суперфосфат, фосфоритная мука, костная мука и томасшлак. К калийным удобрениям относятся: хлористый калий, калийная соль, калимагнезия и сульфат калия. Больше всего калия содержат хлористый калий (60%) и калийная соль.В каждом конкретном случае (работы в лесных питомниках, при лесовосстановлении на вырубках, при создании лесополос, садов и парков) вид удобрений выбирается специалистами лесного хозяйства.

5. Рубки ухода с заготовкой древесины


Рубки ухода является основным лесохозяйственным мероприятием интенсивного лесного хозяйства, и заключаются в периодической вырубке в древостое части деревьев, с оставлением каждый раз лучших их имеющихся деревьев и созданием для них наиболее благоприятных условий роста. Оставляя определенные породы при рубках ухода, формируют желательный состав древостоя. Рубки ухода за лесом называют еще рубками промежуточного пользования. Рубки ухода проводят, начиная с момента образования древостоя, и прекращают, когда до главной рубки остается один класс возраста. Получаемая при рубках ухода древесина и составляет промежуточное пользование. Древостои, в которых проводят рубки ухода, отличаются от непрореженных: они менее густы, деревья в них обычно больше по размерам и имеют кроны более правильной формы, средние диаметры деревьев также обычно выше, размещение деревьев более равномерное. Различают следующие виды рубок ухода: осветления, прочистки, прореживания и проходные рубки. В Табл. 5.1 даны возрасты насаждений для различных видов рубок ухода за лесом. В зависимости от природных и экономических условий лесорастительных зон указанные возрасты могут меняться, что отражается в региональных наставлениях.

Таблица 5.1

Возраст насаждений для различных видов рубок ухода за лесом

№ п/п

Виды рубок ухода

Возраст насаждений, лет



Хвойные и твердолиственные древостои

Мягколиственные древостои

1

Осветления

до 10

до 10

2

Прочистки

11-20

11-20

3

Прореживания

21-40

21-30

4

Проходные рубки

41 и старше

31 и старше

5.1 Механизация и технология лесосечных работ на рубках ухода за лесом


Выполнение возросших объемов рубок ухода невозможно без широкого применения средств механизации.

Рубки ухода с применением средств комплексной механизации предусматривают проведение работ на лесосеке. Для трелевки леса тракторами нужна сеть технологических коридоров и верхних складов, чтобы при работе машин и механизмов обеспечить максимальную сохранность от механических повреждений оставляемой части древостоя, подроста, почвы. Механические повреждения, наносимые стволам и корневым системам деревьев при валке и трелевке, могут быть причиной появления болезней, ослабления устойчивости насаждений к неблагоприятным метеорологическим условиям.

Технологические схемы разработки лесосек в зависимости от ширины пасек могут быть широкопасечные (80-100 м), среднепасечные (30-50 м) и узкопасечные (10-20 м).

На Рис. 5.1 показана среднепасечная технологическая схема разработки лесосеки при прореживании и проходных рубках ухода за лесом. Технологические коридоры предназначены для движения тракторов при трелевке леса. Магистральный трелевочный волок соединяет верхний склад с несколькими технологическими коридорами.

Рис. 5.1 Технологическая схема механизированных рубок ухода: 1- верхний склад; 2 - волок магистральный трелевочный; 3 - коридор технологический; 4 - лесохозяйственный колесный трактор; 5 - штабель сортиментов

Для спиливания деревьев при проведении рубок ухода в молодняках (осветления, прочистки) применяется моторизованный ручной инструмент «Секор 3».

Для валки деревьев при прореживании и проходных рубках ухода эффективно используются ручные бензомоторные пилы.

 

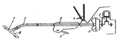
.2 Применение моторизованного ручного инструмента «Секор-3»


Общий вид и кинематическая схема моторизованного ручного инструмента представлена на Рис. 5.2 и Рис. 5.3.

Рис. 5.2. Ручной моторизованный инструмент «Секор-3»:1 - двигатель; 2 - корпус; 3 - вал; 4 - ограждение;5 - пильный диск для травяной растительности; 6 - ограждение диска;7 - пильный диск для деревьев

Рис. 5.3 Кинематическая схема: 1 - пильный диск; 2 - гибкий вал; 3 - корпус; 4 - ремень; 5 - двигатель; 6 - муфта сцепления; 7 - рукоятка управления; 8 -защитный кожух

Технические характеристики моторизованного ручного инструмента «Секор-3».

Марка

кусторез «Секор-3» (ручной моторизир. инструмент)

Двигатель

ДВС, одноцилиндровый, двухтактный с возд. охл.

Мощность двигателя, кВт (л/с)

2,6 (3,5)

Удельный расход топлива, г/кВт*ч

600

Число оборотов двигателя, об/мин

7000

Диаметр диска для деревьев и сучьев, м

0,25

Диаметр диска для травяной растительности, м

0,30

Максимальный диаметр спиливаемого дерева, м

0,15

Скорость срезания, м/с

90,0

Производительность чистого пиления, м2/с

0,007

Масса, кг

13,2

5.3 Применение бензомоторных цепных пил


Общий вид бензопилы Хускварна 3120 ХР представлен на рис. 5.4.

Рис.5.4. Бензопила Хускварна 3120 ХР.

Таблица 5.2 Техническая характеристика бензомоторных пил

№ п/п

Показатели

Единица измерения

Марки бензомоторных цепных пил




«Дружба-4»

МП-5 «Урал-2»

«Тайга-214»

«Крона-202»

Хускварна 3120 ХР

1

Мощность двигателя

кВт

3,2

3,7

2,6

1,8

6,4

2

Рабочая длина пильной шины

м

0,46

0,46

0,38

0,38

1,19

3

Скорость резания

м/с

8,0

11,0

16,0

15,4

-

4

Производительность чистого пиляния

м2/с

0,007

0,007

0,007

0,005

0,01

5

Удельный расход

г/кВт*ч

750

640

600

610

300

6

Число оборотов двигателя

об/мин

4500

6000

6500

6500

9000

7

Масса

кг

12,4

13

11,8

6,8

10,4

 

.4 Определение сменной производительности при спиливании деревьев


Часовая производительность при спиливании деревьев Пчас определяется по следующей формуле:


где 1 - коэффициент использования механизма по времени (1= 0,2);

Q - средний объем хлыста, м3;

d- средний диаметр дерева в месте пиления, м; К1 - коэффициент, учитывающий увеличение площади пиления (К1=1,5-2,0);

- коэффициент использования производительности чистого пиления пилы (2 = 0,3-0,43);

Ппил - производительность чистого пиления, м/с2 (0,01-0,007).

Данные для расчета:

- коэффициент перевода одного часа сменного времени в секунды (60 х 60 = 3600); ϕ1 - коэффициент использования пильного ручного инструмента по времени: для механизма «Секор-3» ϕ1 = 0,2, для бензопилы ϕ1 = 0,2; Q - средний объем дерева, м3: для деревьев d<15 см Q - 0,01 м3-, для деревьев d>15 см Q= 0,15 м3;d- средний диаметр дерева в месте пиления, м: для деревьев d<15 см d= 0,08 м, для деревьев d>15 см d =0,2 м; К1- коэффициент учитывающий площадь пиления: для деревьев d<15 см, К1= 1,5, для деревьев d>15 см, К1 = 2,0; Ппил - производительность чистого пиления, м2/с: для деревьев d<15 см, Ппил = 0,007, для деревьев d>15 см, Ппил= 0,01; (ϕ2 коэффициент использования производительности чистого пиления: для деревьев d<15 см, ϕ2 = 0,3, для деревьев d>15 см, ϕ2 = 0,43.

 

.5 Определение сменной производительности механизма «Секор-3»


Часовая производительность Пчас (м3/ч) для кустореза «Секор-3» определяется следующим образом


Чистое время работы механизма в смену Траб/см (ч) определяется следующим образом:

Траб/см= Тсм ∙ Ктг∙Ксм ∙ Кн

где Тсм - время смены, ч;

Ктг- коэффициент технической готовности механизма (Ктг=0,8);

Ксм - коэффициент использования времени смены (Ксм= 0,7);

Кн- коэффициент неучтенных потерь времени (Кн= 0,67).

После подстановки данных получаем:

Сменная производительность механизма «Секор-3» Псм (м3/смену) определяется так:

Количество рабочих смен определяется следующим образом:

м3∙90 га=900 м3

м3/6 = 150 смен.

 

.6 Определение сменной производительности бензопилы


Часовая производительность бензопилы (Пчас) при заготовке крупных деревьев (da>15 см) определяется следующим образом:

Учитывая, что чистое время работы (Тсм=3,0 ч) сменная производительность определяется:

Итак, на рубках ухода сменная производительность составит Псм=22м3/смену. Это значение подтверждается также и многолетней практикой.

Согласно заданию, при проведении рубок ухода на каждом гектаре необходимо заготовить 15 м3 крупной древесины в год.

На заданной площади (90 га) необходимо заготовить: 15м3∙90 га=1350м3

Для заготовки этой древесины определяем потребное количество рабочих смен: 1350/22=61,4 (62 смены).

Число смен в рабочий день - 1 смена. Число механизмов - 3 штуки (с учетом поломок).Данные заносим в таблицу.

Всего количество рабочих часов на общий объем работ бензопилы Хускварна определяется следующим образом: 62*3=186 ч,

 =N*qт/103=6,4*300/103=1,92кг/ч

∑ =1,92 кг/ч*186ч=357,12 (358 кг).

 

.7 Тракторы для вывозки сортиментов на рубках ухода

 

.7.1 Трактор Т-25А в агрегате с одноосным прицепом


Техническая характеристика транспортной системы

Марка

Т-25А

Двигатель

Д-120

Мощность двигателя, кВт (л/с)

22 (30)

Масса, кг

1780

Скорость движения, м/с

1,40...6,05

Колесная формула

4x2

Прицеп, марка

1-ПТС-2Н (одноосный)

Грузоподъемность прицепа, кг

1200

Масса прицепа, кг

735

Средняя сменная производительность вывозки сортиментов, м3/см

8,2


Рис. 5.7 Транспортная система Т-25А+ШТС-2Н

 

.7.2 Трактор Т-25АЛ с шарнирной рамой, колесная формула 4x4

В данном курсовом проекте применяется новая машина - колесный малогабаритный трактор Т-25АЛ с технологическим оборудованием для вывозки сортиментов (Рис. 5.8). Длина сортимента - 2,0 м.

Трактор состоит из одноосного моторного модуля трактора Т-25А и активного полуприцепа. На тракторе установлен манипулятор с захватом для сортиментов и коники для размещения и крепления двухметровых сортиментов. Трактору присвоена марка Т-25АЛ сортиментовоз.

Назначение трактора - вывозка сортиментов из-под полога леса на рубках ухода. Расстояние вывозки - 400 м.

Рис. 5.8 Лесохозяйственная модификация трактора Т-25АЛ для вывозки сортиментов

Техническая характеристика трактора Т-25АЛ - сортиментовоза.

Базовый трактор

трактор Т-25А

Масса (без груза), кг

3100

Объем пачки, м3

1,5

Скорость движения, м/с

1,40...6,05

Мощность двигателя, кВт (л.с.)

22 (30)

Колесная формула

4x4

Средняя сменная производительность вывозки сортиментов, м3/см

13,6


5.7.3 Трактор Т-25АЛ с шарнирной рамой, колесная формула 8х8


Рис. 5.9 Трактор Т-25АЛ повышенной проходимости

Техническая характеристика

Базовый трактортрактор Т-25А


Масса (без груза), кг

3420

Объем пачки, м3

1,5

Скорость движения, м/с

1,40...6,05

Мощность двигателя, кВт (л.с.)

22 (30)

Колесная формула

8x8

Средняя сменная производительность вывозки сортиментов, м3/см

16,2

 

6. Исследование сменной производительности Псм малогабаритных колесных тракторов при вывозке сортиментов на рубках ухода.

 

.1 Определение сменной производительности трактора


Рассмотрим три варианта транспортировки сортиментов от рубок ухода. Варианты транспортных систем приведены в табл. 6.2.

Определим сменную производительность Псм, (м3/смену) по следующей формуле:


где Псм - время чистой работы транспортной системы (трактора) на вывозке сортиментов от рубок ухода, мин.

Тсм=60*tсм*Ктг*Кр*Кпр, мин

где tCM - время продолжительности смены (8 часов);

Ктг - коэффициент, учитывающий техническую готовность трактора и технологического оборудования (остановки в случае поломки, заправки топливом и смазочными материалами, преодоление непредвиденных препятствий и др.), (Ктг= 0,9);

Кр- коэффициент, учитывающий рельеф местности (замедление движения при наличии подъемов, спусков, препятствий и т. д.), (Кр= 0,95);

Кпр,- коэффициент, учитывающий проходимость транспортной системы в сложных условиях, т. е. в зависимости от коэффициента сцепления ходовой части с почвой, сц.

Данные по значениям Кпр получены на основании многочисленных испытаний, проведенных кафедрой «Проектирования специальных лесных машин» на колесных тракторах с шарнирной рамой при работе на рубках ухода.

tпод - норматив времени на подготовительные работы по обслуживанию рабочего места, мин (tпод = 32 мин).

tотд - норматив времени на отдых и личные надобности рабочих, мин (tотд= 28 мин).

tРх - время движения транспортной системы с грузом до места разгрузки, мин (верхний склад)


где ϕтр - среднее расстояние вывозки сортиментов, м (ϕтр = 400 м); vpx -скорость движения транспортной системы в полностью загруженном (Q= 1,5 м3) состоянии, м/с (для трактора Т-25А и Т-25АЛ vpx = 1,0 м/с или 60 м/мин);


где vxх-скорость движения транспортной системы без груза, м/с (для трактора Т-25А и Т-25АЛ vxx = 1,6 м/с или 96 м/мин); tпер - время, затрачиваемое на переезд от одной пачки к следующей, мин (tпер= 4 мин.); tпогр - время, затрачиваемое на погрузочно-разгрузочные работы, мин (tпогр = 5 мин.); tн - время, неучтенных потерь времени, мин (tн = 3 мин.); Q - объем транспортируемой пачки сортиментов за один рейс, м3 (Q = 1,5 м3).

Сумма значений времени в знаменателе формулы расчета сменной производительности Псм составляет время рабочего цикла Tцикла подставляя данные получаем:

Данные заносим в таблицу 6.1 и 6.2

Таблица 6.1

Таблица 6.2 Данные для проведения исследований сменной производительности Псм.


6.2 Построение графиков

 

.2.1 Построение графика Тсм (Кпр)

0,45 - 185

,55 - 225

,65 - 266

,75 - 307

 

.2.2 Построение графика Псм (Кпр)

0,45 8,2

,55 11

,65 13,5

,75 16,2


6.2.3 Построение графика Кпр(ϕсц)

0,5 0,45

,6 0,55

,7 0,65

,8 0,75

 

6.2.4 Построение графика ρ (Fпк)

4500 700

600

500

400

 

7. Выбор трактора для вывозки сортиментов от рубок ухода


Выбираем трактор повышенной проходимости Т-25АЛ (колесная формула 8x8).

Проходимость - это способность транспортного средства осуществлять движение в сложных лесных условиях. Проходимость характеризуется следующими факторами:

1. Наличие всех ведущих колес.

2. Высокая маневренность.

3. Достаточно высокий дорожный просвет.

4. Колеса с низким давлением в шинах.

5. Минимальное удельное давление на грунт (желательно 400 г/см2).

Всем этим требованиям соответствует трактор Т-25АЛ (8x8).

8. Организация и производственная база технического обслуживания и ремонта машин


Виды периодического технического обслуживания:

1) ежемесячное техническое обслуживание (ЕО);

2) первое техническое обслуживание (ТО-1) -- проверка состояния крепления узлов, доливают масло;

3) второе техническое обслуживание (ТО-2) - помимо ТО-1, меняют масло в двигателе, проверяют и смазывают узлы и др.;

4) третье техническое обслуживание (ТО-3) - помимо операций при ТО-1 и ТО-2, углубленный контроль и регулировка агрегатов путем их частичной разборки и проверки на специальных стендах и др.;

5) сезонное техническое обслуживание - подготовка машине к смене сезона;

7) капитальный ремонт.

Таблица 8.1

При ТО-1 проверяют состояние крепления узлов, доливают масло в картеры двигателя и трансмиссии, смазывают все точки консистентной смазкой.

При проведении ТО-2 выполняют некоторые операции ТО-1 и дополнительно заменяют масло в двигателе, проверяют и смазывают узлы, при необходимости регулируют клапанный механизм двигателя, топливную аппаратуру, приборы электрооборудования, муфту сцепления, ходовую часть, механизм управления.

При ТО-3 выполняют операции предыдущих ТО и дополнительно предусматривают углубленный контроль и регулировку агрегатов путем их частичной разборки и проверки на специальных стендах, промывку систем смазки и охлаждения, устранение неисправностей.

Сезонное обслуживание включает выполнение работ по подготовке машины к смене сезона: изменение плотности электролита в аккумуляторных батареях, замену сортов топлива и масла на соответствующие наступающему сезону, промывку системы охлаждения.

Послесезонное обслуживание машин лесного и садово-паркового хозяйств проводят после окончания сезона работ перед тем, как поставить их на хранение. Машины и орудия очищают и моют. Наружным осмотром определяют комплектность и техническое состояние деталей и механизмов, выявляют потребность в ремонте. Места с поврежденной краской зачищают и подкрашивают. На неокрашенные металлические поверхности рабочих органов, резьбовых соединений наносят защитную смазку.

При техническом обслуживании используют технические средства диагностики для выявления скрытых неисправностей без разборки машины.

9. Охрана труда и техника безопасности при эксплуатации МТА


В лесном хозяйстве используется большое количество тракторов и лесохозяйственных машин. Применение и эксплуатация машин, механизмов, моторизованных инструментов требуют определенных знаний техники безопасности.

Техника безопасности представляет собой совокупность правил и приемов, выполнение которых предупреждает несчастные случаи и травмы людей, обслуживающих машины.

Основная задача техники безопасности заключается в создании благоприятных и безопасных условий труда на производстве.

Практика эксплуатации лесохозяйственных машин и орудий в производственных условиях показывает, что несчастные случаи происходят из-за нарушения правил техники безопасности.

За организацию охраны труда в лесхозах отвечают соответствующие руководители хозяйств. За состояние техники безопасности в тракторных бригадах ответственность несут в первую очередь бригадиры.

Заключение


Использование лесов не может приравниваться только к использованию древесины. Леса являются источником большого комплекса природных ресурсов. Леса регулируют сток воды, интенсивность снеготаяния, очищают воду и воздух, снижают скорость ветра, поглощают углекислый и другие вредные для человека газы, выделяют кислород, уменьшают шум. Леса оказывают благотворное влияние на человека. Укрепляя его нервную систему, а также положительно влияют на другие полезные воздействия в биосфере.

Перед лесным хозяйством поставлены задачи по улучшению ведения лесного хозяйства на основе повышения уровня его технического оснащения, более полного использования лесных ресурсов, повышения продуктивности и качественного состава лесов, проведения большого объема работ по лесовосстановлению и защитному разведению, по осушению лесов, расширению работ по уходу за лесом, усилению работ по охране лесов от пожаров.

На основании проведенных расчетов выбираем такие машины и механизмы, которые не наносят вреда лесной среде.

Список литературы


1. С.Ф. Козьмин А.В. Александров Машины и механизмы в лесном и лесопарковом хозяйстве (Учебное пособие) СПб 2012.

. С.Ф. Козьмин Механизация лесного хозяйства и садово-паркового строительства (Машины и механизмы справочник) СПб 2006.

. Александров В.А. Механизация лесного хозяйства и садово-паркового строительства: учебник / В.А. Александров. СПб.: Изд-во «Лань», 2012.

Похожие работы на - Технология работ при создании лесных культур на вырубке

 

Не нашли материал для своей работы?
Поможем написать уникальную работу
Без плагиата!
Без нейросетей!