Проект механизации молочной фермы крупного рогатого скота на 200 голов в условиях ТОО 'Зеренды Астык' с разработкой линии доения и конструкции доильного аппарата

  • Вид работы:
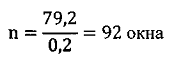
    Дипломная (ВКР)
  • Предмет:
    Сельское хозяйство
  • Язык:
    Русский
    ,
    Формат файла:
    MS Word
    845,07 Кб
  • Опубликовано:
    2013-06-27
Вы можете узнать стоимость помощи в написании студенческой работы.
Помощь в написании работы, которую точно примут!

Проект механизации молочной фермы крупного рогатого скота на 200 голов в условиях ТОО 'Зеренды Астык' с разработкой линии доения и конструкции доильного аппарата

Аннотация

Дипломный проект на тему «Проект механизации молочной фермы крупного рогатого скота на 200 голов в условиях ТОО «Зеренды Астык» с разработкой линии доения и конструкции доильного аппарата» состоит из пояснительной записки на 90 страницах машинописного текста и графической части на 8 листах формата А1.

Ключевые слова: молочная ферма, механизация, модернизация, доение, доильный аппарат.

В проекте разработаны мероприятия по переоборудованию линий доения, поения, удаления навоза. Модернизация связана с разработкой линии доения доильного аппарата, позволяющего производить массаж вымени коровы. Это позволит повысить эффективность в процессе доения коров. Даны рекомендации по организации управления охраной труда на предприятии, систематизации и контролю над выполнением управленческих решений.

Проект содержит разделы: введение; анализ хозяйственной деятельности; технологическая часть; конструкторская часть; охрана труда; технико-экономические показатели проекта; заключение.

В графической части представлена следующая информация: Анализ хозяйственной деятельности, План помещения коровника КРС на 200 голов, Обзор и анализ существующих конструкции доильных аппаратов, Чертеж общего вида предлагаемой конструкции доильного аппарата, Сборочный чертеж, Рабочие чертежи деталей, Охрана труда, Технико-экономические показатели.

При написании дипломного проекта было использовано 40 источников литературы.

Срок окупаемости принятых в проекте решений - 1,45 года. Общая годовая экономия - 200000 тенге.

ВВЕДЕНИЕ

Программа стратегического развития Республики Казахстан до 2050 года, ежегодные Послания Президента страны предусматривают значительные позитивные изменения в управлении народным хозяйством страны. Немаловажное значение в стратегии экономического развития уделяется развитию животноводческих хозяйств.

Увеличение производства продукции животноводства в республике предусматривается главным образом за счет внедрения интенсивных технологий и новой техники, повышение продуктивности скота, а также форм хозяйствования.

Создание новых машин и оборудования должно основываться на строго научном подходе, результатом которого являются система машин для комплексной механизации сельскохозяйственного производства. Внедрение в производство новой системы машин позволит уменьшить эксплуатационные издержки на получение продукций животноводства на 20...25%, снизить прямые затраты труда в 1,5... 1,9 раза.

Промышленностью уже освоен массовый выпуск основных комплектов машин и оборудования, позволяющих перейти от использования на фермах разрозненных машин к созданию поточных технологических линий, обеспечивающих механизацию как основных так и вспомогательных операций, включая транспортные и погрузочно - разгрузочные работы. Эти комплекты оборудованы новыми более сложными рабочими органами с гидравлическими и пневматическими системами, а также устройствами автоматического управления, контроля и сигнализации [1].

Техническое переоснащение фермы предъявляет повышение требований к подготовке специалистов среднего звена, которые должны не только овладевать основами интенсивных технологий получения мяса, изучить устройство и работу машин, но и уметь использовать передовой опыт, осваивать и рационально использовать технические средства выпускаемые промышленностью, а также знать основные требования предъявляемые к реконструкции старых и строительству новых животноводческих помещений.

В настоящее время свыше половины машин и комплектов оборудования для животноводства требуют замены новыми, более совершенными, обеспечивающими значительное повышение производительности труда.

Дальнейший путь развития отрасли животноводства немыслим без выделения значительных капитальных вложений и материально-технических средств, которые необходимы для коренных изменений условий производства продукции и создания мощной производственной базы.

Цель работы:

разработка проекта молочной животноводческой фермы КРС на 200 коров;

разработка конструкции доильного аппарата;

В соответствии с поставленной целью необходимо решение следующих задач:

провести анализ хозяйственной деятельности ТОО «Зеренды Астык»;

определить размеры производственного помещения;

определить потребность в средствах механизации и произвести подбор машин и оборудования для фермы;

         провести обзора и анализ существующих конструкции доильных аппаратов;

разработать конструкцию доильного аппарата;

разработать предложения по снижению вредного воздействия производственной деятельности фермы на окружающую среду;

·  определить экономический эффект от предложенных мероприятий.

Объект исследований - ТОО «Зеренды Астык» Акмолинской области.

Научная новизна проекта:

разработка конструкции доильного аппарата с дополнительным массажником;

разработка мероприятий по механизации молочной фермы КРС с повышением получения молока.

В процессе проектирования применялись методы сравнительного анализа, производились технологические, прочностные и экономические расчеты.

1. АНАЛИЗ ХОЗЯЙСТВЕННОЙ ДЕЯТЕЛЬНОСТИ ПРЕДПРИЯТИЯ

1.1    Общие сведения

Данная дипломная работа основана на данных ТОО «Зеренды Астык », которое образовалось 28 апреля 1997г. Расположено хозяйство в Акмолинской области, Зерендийского района.

Основным видом деятельности хозяйства является производство и реализация сельскохозяйственной продукции (зерно).

Территория хозяйства и его пахотные земли расположены в степной зоне на обыкновенных черноземах. Среднегодовое количество осадков составляет 265-285мм, причем 60% их выпадает в период вегетации растений, а максимум приходится на июль месяц - до 85мм. Типичной почвой для пашен хозяйства являются черноземы обыкновенные со средневзвешенным баллом бонитета 52,8. Предприятие имеет в наличии собственную сельхозтехнику для производственной деятельности.

Общая площадь земельных угодий составляет 46734га, пашня 38657га.

Территория 97 % посевной площади относится к первой категории пригодности земель. Это как раз земли пригодные под пашни. Балл бонитета колеблется от 53,4 до74,4 %.

В хозяйстве имеются тракторно-полеводческая комплексная бригада с укомплектованной материально-технической базой и штатом рабочих, автомобильный парк с 36 единицами автомашин, машинно-тракторная мастерская с производственными цехами (токарный, слесарный, кузнечный, аккумуляторный, электроцех, моторный, сборочный).

Имеется столовая на 40 посадочных мест, обеспечивающая питанием рабочих, занятых в посевной и уборочных компаниях.

Пекарня с суточной выпечкой хлеба 750 булок, работающая на собственном сырье т.е. мука с пшеницы собственного производства.

Склады для длительного хранения зерна общей вместимостью на 5600 тонн. Руководящий состав хозяйства состоит в основном из высококвалифицированных специалистов. Директор хозяйства Абдрахманов Абай Абишевич.

Штат работников ТОО «Зеренды Астык» составляет 300 человека с планируемым фондом зарплаты 26000 тыс.тенге.

За последний год приобретено 3единицы техники: ЖВП-9 «Лафет», УАЗ 3909, ВАЗ 2121, полуприцеп («Алка», трактор Т-4).

Производственная продукция (зерно) проходит первоначальную обработку на мех.токах хозяйства, доводится до необходимой кондиции и отправляется своим транспортом на элеватор.

Размер объявленного уставного капитала ТОО «Зеренды Астык» составляет 100 тысяч тенге.

Финансовое состояние предприятия необходимо анализировать с позиций и краткосрочной, и долгосрочной перспектив, так как критерии его оценки могут быть различны, состояние финансов предприятия характеризуется размещением его средств и источников их формирования, анализ финансового состояния проводится с целью установить, насколько эффективно используются финансовые ресурсы, находящиеся в распоряжении предприятия. Финансовую эффективность работы предприятия отражают: обеспеченность собственными оборотными средствами и их сохранность, состояние нормируемых запасов товарно-материальных ценностей, состояние и динамика дебиторской и кредиторской задолженности, оборачиваемость оборотных средств, материальное обеспечение банковских кредитов, платежеспособность.

В практике проведения аналитической работы применяется ряд классификаций видов анализа хозяйственной деятельности. Они различают по выбранным классификационным критериям. Наиболее часто применяемой является следующая классификация:

по времени проведения - оперативный, текущий и перспективный анализ;

по отдельным объектам управления - функциональный, технический, экономический, социальный и экологический анализ;

по функционально взаимосвязанным объектам управления - функционально-стоимостной, технико-экономический, социально-экономический, экономико-экологический;

по уровням управления - внутрипроизводственный (на уровне предприятия), отраслевой, региональный и народно-хозяйственный анализ.

Оперативный анализ. С помощью этого вида анализа можно за короткие промежутки времени проанализировать выполнение оперативных планов производственной деятельности предприятия и его структурных подразделений основного, вспомогательного производств и обслуживающих структур.

Технический анализ. Предметом этого вида анализа являются причинно-следственные связи технических процессов и их влияния на хозяйственную деятельность. Последняя, в немалой мере зависит от обновления производства, оснащения его новыми высокими технологиями, более совершенной техникой.

Экономический анализ. Объектом этого вида анализа являются: экономические процессы, протекающие на предприятиях в ходе производства продукции и оказания услуг. К таким процессам относятся формирование себестоимости и эффективность использования затрат на выпуск готовой продукции, ее реализацию, живого и овеществленного труда; формирование стоимости продукта и др. указанные процессы.

Текущий анализ. Данный вид анализа имеет те же цели и задачи, что и оперативный анализ, только в более укрупненном объеме и за более длительный период времени. Это обуславливает некоторые особенности и специфику его поведения.

Перспективный анализ. Эффективность функционирования предприятия в значительной мере зависит от перспектив и его развития. Поэтому на предприятии разрабатываются стратегические цели и определяются задачи, стратегия и тактика их достижения.

Функциональный анализ. Предприятие выпускает продукцию и оказывает услуги потребителям. Для последних не безразличен технический уровень изделий и их качество. Эти параметры приобретают особую значимость в условиях жестокой конкуренции и за рынки сбыта продукции. Здесь повышение качества продукции является одним из приоритетных направлений развития предприятия.

Социальный анализ. Предприятие представляет собой сложную социально-экономическую систему, где наряду с производственно-хозяйственной деятельностью протекают и социальные процессы. Последние находят свое выражение в создании нормальных условий труда, обеспечивающих допустимые нормы шума, затененности, освещенности, вибрации, температуры и др. развитие социальной инфраструктуры и других аспектов труда и быта работающих.

Экологический анализ. Предприятие в процессе своей производственно-хозяйственной деятельности существенно загрязняют окружающую среду атмосферу, гидросферу.

Функционально-стоимостной анализ. Объектом исследования здесь выступают функции изделий и обусловленные ими стоимости.

Социально-экономический анализ. Объектом анализа являются социальные процессы и их влияние на результаты производственно - хозяйственную деятельности. Предметом исследования служат причинно-следственные связи, определяющие социально-экономическое развитие трудового коллектива.

Экономико-экологический анализ. Объектом исследования служат экологические и экономические процессы, связанные с улучшением экологической обстановки.

Анализ основных технико-экономических показателей деятельности предприятия позволяет дать общую оценку предприятия, не раскрывая внутреннего содержания каждого фактора, повлиявшего на формирование отдельных показателей, а также дать возможность непосредственно познакомиться с масштабами хозяйственной деятельности, ее особенностями и т.д. Результаты анализы обычно оформляются в соответствии с таблицей.

Анализ структуры и изменения статей баланса показывает:

какова величина текущих и постоянных активов, как изменяется их соотношение, а также за счет чего они формируются;

какие статьи растут отражающими темпами, и как это сказывается на структуре баланса;

какую долю активов составляют товарно-материальные запасы и дебиторская задолженность;

насколько велика доля собственных средств, и в какой степени компания зависит от заемных ресурсов;

каково распределение заемных средств по срочности;

какую долю в пассивах составляет задолженность перед бюджетом, банками и трудовым коллективом.

Рельеф

Акмолинская область занимает западную окраину Казахской складчатой страны между горами Улытау на юго-западе и Кокшетаускими высотами на севере. Общий уклон местности - с востока на запад. В том же направлении среднюю часть Акмолинской области пересекает долина реки Ишима, поворачивающая круто на север невдалеке от западной границы области. По характеру рельефа Акмолинскую область можно разделить на 3 части: северо-западную - равнинную, юго-западную - равнинную с отдельными холмами и восточную - возвышенную часть Казахской складчатой страны. Северо-западная часть (прилегающая к долине Ишима, на участке её поворота к северу) представляет равнинное плато, расчленённое сухими оврагами и балками. К долине Ишима плато обрывается уступом. В юго-западной части Акмолинской области (южнее р. Ишима) простирается повышенная равнина. На ней разбросаны многочисленные холмы с плоскими вершинами, а в понижениях между холмами - мелководные солёные и пресные озёра различной величины. На востоке Акмолинской области - та часть Казахской складчатой, некогда горной, страны, выровненной процессами разрушения (денудации), в которой сохранился сложный комплекс холмов, гряд и увалов с мягкими очертаниями склонов, называемых здесь сопками (так называемый мелкосопочник). Относительная высота сопок от 5-10 м до 50-60 м и реже до 80-100 м. Форма и размеры холмов изменяются в зависимости от состава слагающих пород. Наиболее высокие с округлыми вершинами сопки сложены обычно гранитами, сопки с ещё более пологими склонами и мягкоконтурными вершинами - порфирами и, наоборот, островерхие сопки, как правило, - кварцитами. Замкнутые котловины между сопками, размерами от нескольких десятков метров до нескольких десятков километров в диаметре, часто заняты озёрами.

Климат

В Акмолинской области климат резко континентальный, засушливый, с жарким летом и холодной зимой. Суточные и годовые амплитуды температур очень велики. Весна и осень выражены слабо. Солнечных дней много, количество солнечного тепла, получаемого летом землёй, почти столь же велико, как в тропиках. Облачность незначительна. Годовые осадки уменьшаются с севера на юг, максимум их приходится на июнь, минимум - на февраль. Снеговой покров удерживается в среднем 150 дней. Ветры в Акмолинской области довольно сильные.

Гидрография

Водами Акмолинская область бедна. Реки мелководны, несудоходны, питаются за счет талых вод и в меньшей степени - грунтовых источников. Летом реки часто пересыхают, вода в них становится солоноватой. Главные реки Акмолинской области: Ишим (приток Иртыша) и его притоки: Терс-Аккан - слева, Жабай, Колутон и др. - справа. Многие реки оканчиваются в бессточных озёрах (реки Нура, Селенты, Уленты). Десятки озёр занимают котловины мелкосопочника и возвышенной равнины Акмолинской области. Наибольшие из них - солёные озёра Тенгиз (недалеко от границы с Карагандинской областью) около 40 км шириной, Калмык-Коль и др., меньшие по размерам - пресноводные Ала-Коль, Шоинды-Коль и многие др. Благодаря низменным берегам многие озёра меняют свои очертания при сильных ветрах.

Почвенно-растительный покров Акмолинской области представлен степями и отчасти полупустынями. В зависимости от рельефа и подстилающих пород почвенные комплексы и растительные ассоциации чрезвычайно пестры и разнообразны. К северу от Ишима расположены разнотравно-злаковые степи на южных чернозёмах с большим количеством солонцов по понижениям и скелетных почв по сопкам. Растительность засухоустойчива, представлена ковылями, типчаком, а по возвышенностям нередко встречаются сосновые боры. Всю западную треть Акмолинской области (проникая вдоль долины р. Ишима на восток до Акмолинска) занимают злаковые степи на тёмно-каштановых почвах. Задернованность почв здесь составляет всего 30-40 %. К востоку от Акмолинска в почвенном покрове значительную роль начинают играть солонцы, а в растительности - полыни и типчаки. В южной части Акмолинской области в районе озера Тенгиз на солонцах и солончаках распространяется несомкнутый покров полыней и типчаков.

Пахотные земли в хозяйстве, как правило засорены. Наиболее широко распространены сорняки: вьюнок полевой, овсюг, молочай, осот, сурепка и др.

Вред, наносимый земледелию сорняками очень большой. Они глушат посевы, используют питательные вещества почвы, засоряют зерно и в итоге сильно снижают урожайность. Поэтому борьба с ними является особенно необходимой.

массажник доильный молочный фермы

1.2 Структура товарной продукции

Специализация хозяйства определяется по структуре товарной продукции по данным за три года.

Таблица 1.1 Структура товарной продукции

Отрасли и виды продукции

Реализовано продукции тыс. тг.

Структура товарной продукции


2009

2010

2011

К общему итогу в %

К итогу отрасли

Растениеводство Всего:

42063

31124

45809

98,5

100

В том числе зерновые

38876

27583

40813

87,5

88,6

Прочие продукции растениеводства

4753

3541

4996

12,5

11,4

Животноводство Всего:

-

-

-

-

-

Продано на мясо КРС

-

-

-

-

-

Итого:

43749

32538

46734

100

100


Для определения размеров сельскохозяйственных предприятий пользуются системой показателей. Основными из них следует считать стоимость валовой продукции, стоимость товарной продукции, площадь сельскохозяйственных угодий, среднесписочный состав рабочих. Поэтому составим таблицу с этими показателями и сделаем из этой таблицы вывод.

Выражением удельный вес отдельных видов продукции в процентах к общему итогу, т.е. итогу по растениеводству и животноводству. По плотности в процентах к общему итогу каждого вида продукции определяем какие виды продукции, т.е. какие отрасли в хозяйстве являются главными и дополнительными

По данным таблицы 1.2 видно, что хозяйство имеет четко выраженную зерновую специальность (98,5%) пшеница, товарной продукции.

Дополнительными отраслями является кормопроизводство.

Для оценки уровня специализации производства рассчитаем коэффициент специализации по следующей формуле:

                                                (1.1)

где Удп - удельный вес п - го вида товарной продукции в общем ее объеме;

п - порядковый номер отдельных видов продукции по их удельному весу в ранжированном ряду.

Для ТОО «Зеренды Астык» коэффициент специализации по формуле (1.1) составил 0,56. Это свидетельствует о высоком уровне специализации в анализируемом хозяйстве.

По опыту труда руководящих работников и специалистов в ТОО «Зеренды Астык» относится ко II-ой группе.

Из таблицы 1.2 видно, что площадь сельскохозяйственных угодий в последние годы стабилизировалась, количество рабочих мест тенденцию стоимости валовой и товарной продукции имеет тенденцию к увеличению.

Для определения размера хозяйства рассмотрим таблицу 1.2. Из таблицы видно, что анализируемое хозяйство по основным показателям является одним из крупных в районе.Хозяйство является средним по величине. На основные показатели, как стоимость валовой продукции, существенно влияют природно-климатические условия.

Таблица 1.2 Показатели размера хозяйства

Показатели

Ед. измерения

годы

В среднем за 3 года



2009г.

2010г.

2011г.


Стоимость валовой продукции, всего:

тыс. тг

38257

42536

46215

42336

Животноводство






Растениеводство


42063

31124

45809

39665

Площадь сельскохозяйственных угодий

га

46734

46734

46734

46734

Пашня


38776

38776

38776

46734

Посев зерновых


32380

32380

32380

32380

Среднегодовая численность работников

чел.

300

180

300

260

Энергетические мощности

л.с.

80173

75934

73860

76656

1.3 Структура земельного фонда

Общая земельная площадь составляет на 2011 год 80000 га. Площадь хозяйства стабильна и колеблется в небольших пределах. Посевные угодья на 2011 год составили 46734 га.

По данным таблицы 1.3 видно, что в хозяйстве имеются большие площади важнейших видов земельных угодий. Это позволяет успешно развивать отрасль растениеводства. Из структуры землепользования мы видим, что основную часть занимают пашни, что характеризует развитие основной отрасли хозяйства

Таблица 1.3 Состав земельных угодий

Наименование угодий

2009г.

2010г.

2011г.

 


га.

%

га.

%

га.

%

 

Общая земельная площадь

80000

100

80000

100

80000

100

В т.ч. с/х угодия

46734

35

46734

35

46734

35

Из них пашня

38657

28

38657

28

38657

28

Пастбища

4608

8,9

4608

8,9

4608

8,9

Сенокосы

3280

5,9

3280

5,9

3280

5,9

Приусадебные участки







Леса, водоемы







Приходится на одного сельхоз работника

Пашни

84,41


81,86


88,53


Сельхоз угодий

99,5


97,2


105,41



растениеводство, часть занята пастбищами и сенокосами.

При этом прослеживается динамичный рост полезной площади приходящейся на одного работника.

Таблица 1.4 Производство и распределение продукции

Культура, сорт

Площадь посева, га

Урожайность, ц/га

Валовый сбор, ц

Распределение урожая, т





Реализация

Семена

Корма

Прочие цели

Пшеница

2009-20346

23,0

46795

35348

-

-

-

Рапс

2009-1875

12

22500

2324

-

-

-

Ячмень

2009-1584

24

38016

2165

498

-

-

Пшеница

2010-20346

11,6

23601

15342

1890

-

-

Рапс

2010-1875

22,6

42375

1324

-

-

-

Ячмень

2010-1584

12,6

19958

1165

398

50

50

Пшеница

2011-20346

26,1

46333

38348

3000

200

508

Рапс

2011-1875

15,2

2843

256

-

-

-

Ячмень

2011-1584

27,7

4398

246

530

-

-


Судя по данным, приведённым в таблице 1.4 ТОО «Зеренды Астык» является крупным хозяйством с постепенно расширяющимся производством.

Вся продукция, произведенная хозяйством реализуется, либо перерабатывается.

Таблица 1.5 Структура пашни ТОО «Зеренды Астык» за 2011 г.

Показатели

га

%

1

2

3

Всего пашни

38776

100

Из них зерновых:

23109

59

Пшеница

20517

Ячмень

2007

5

Рапс

2000

5

Овес

585

2

Горох

634

2

Однолетние травы

0

0

Многолетние травы

1505

4


Из таблицы 1.5 видно, что 92.8 % площади пашни занимают зерновые культуры (пшеница, ячмень), остальную часть пашни занимают различные культуры, что говорит о хорошей работе агрономической службы хозяйства.

1.4 Обеспеченность хозяйства рабочей силой и ее использование

Для анализа сопоставляется фактическая численность работников по категориям, запланированной на будущий год и данными предыдущего года.

Анализ таблицы 1.6 показывает, что фактическая среднегодовая численность работников снижается. Все категории постоянных работников в основном представители местного населения.

Таблица 1.6 Обеспеченность хозяйства рабочей силой

Показатели

2007

2008

2009

1

2

3

4

Численность работников в целом по хозяйству

326

330

314

Из них постоянных

326

330

314

в т.ч. трактористов-машинистов

56

54

53

сезонных

-

-

-

временных

-

-

-

Из них руководители

7

5

8

Специалисты

19

20

17

Работники занятые: в ЖКХ и культурно - бытовых учреждениях

8

8

8

В торговле и общепите

7

7.

6

На капитальном ремонте

30

26

28

В подсобных предприятиях и промыслах

20

20

20


1.5 Состав и структура основных производственных фондов

Необходимые данные для анализа берутся из годового отчета и сводятся в таблицу 1.7. Затем выявляется обеспеченность и эффективность использования основных фондов, в результате расчета и анализа следующих показателей: фондообеспеченность, фондоемкость, фондовооруженность, энергообеспеченность и энерговооруженность. Эффективность использования производственных фондов устанавливается по уровню фондоотдачи и уровню рентабельности.

Таблица 1.7 Состав и структура основных производственных фондов

Показатели

Среднегодовая стоимость, тыс. тг.

В среднем за 3 года

%


2007г.

2008г.

2009г.



1

2

3

4

5

6

Производственные основные средства с/х назначения

40956

44193

48132

44427

84

В том числе: здания

14039

14681

15038

14565

30,5

Сооружения

1823

1863

2608

2098

5,3

Машины

11058

15399

14312

13589

29

Транспортные средствасредства

13615

10668

17879

14054

36,2

Производственные основные средства не с/х назначения

3567

4880

6832

5093

11,6

Непроизводственные основные средства

2103

2487

2544

2378

4,4

Итого

46025

49915

58673


100


Анализ таблицы 1.7 показывает, что стоимость производственных основных средств сельскохозяйственного назначения, производственных основных средств не сельскохозяйственного назначения и непроизводственных основных средств имеет тенденцию к увеличению за 3 года.

Для того чтобы определить эффективность использования средств, которыми располагает хозяйство составим таблицу и проведем анализ показателей.

Таблица 1.8 Показатели обеспеченности и использования основных производственных фондов

Показатели (фонда на 100 га с/х угодий)

Ед. измерения

2007

2008

2009

В среднем за 3 года

1

2

3

4

5

6

Средняя стоимость ОПФ с/х назначения

тыс.тг

40535

42584

49297

44138

1 Фондообеспеченность

тыс.тг

1,85

1,93

2,02

1,93

Количество рабочих в с/х производстве

чел.

326

330

314

323

Фондовооруженность

тыс.тг/чел.

316

989

850

718

Стоимость валовой продукции

тыс.тг

38257

42536

46216

42336

Фондоотдача

тыс.тг

40,69

5,99

6,8

17

Фондоемкость

тыс.тг

0,2

0,17

0,15

0,17

 

Всего энергетической мощности

л.с.

80173

75934

73860

76656

 

Энергообеспеченность

л.с./га

0,84

0,87

0,82

0,84

 

Энерговооруженность

л.с./га

37,6

42,5

39,1

35,7

 


Анализ показывает, что в 2011 году по сравнению с 2009 и 2010 годами оснащенность основными фондами сельскохозяйственного назначения увеличилась, что показывает достаточно эффективное использование основных производственных фондов.

1.6 Себестоимость основных видов продукции

Из таблицы 1.9 видно, что себестоимость производимой в хозяйстве продукции ежегодно возрастает. Причиной повышения себестоимости является рост цен на ГСМ, семена, электроэнергию, а также падеж скота, вызванный инфекционными заболеваниями.

Таблица 1.9 Себестоимость основных видов продукции

Виды продукции

2009г.

2010г.

2011г.

Пшеница, тг/ц

966

1100.

1134

Ячмень, тг/ц

783

1020

1120

Рапс, тг/ц

1201

1530

1740

Мясо говядина, тг/ц1





Из таблицы 1.9 видно, что за отчетный период себестоимость всех видов производимой продукции растет. Рост себестоимости вызван ростом цен на горюче-смазочные материалы, семена, электроэнергию, а также повышением заработной платы.

Таблица 1.10 Структура себестоимости основных видов продукции

Статьи затрат

Растениеводство

Животноводство


тыс. тг.

%

тыс. тг.

%

Заработная плата с начислениями

118

16,1



семена

214

25,3



корма





ГСМ

174,2

20,6



Электроэнергия

194,6

23



Затраты на содержание основных средств

126,9

15



Всего

846

100

1086

100


Анализ таблицы 1.10. показывает, что для снижения себестоимости зерна необходимо прежде всего снизить затраты на семена (25,3%) и электроэнергию (23%).

1.7 Рентабельность производства

Для оценки деятельности хозяйства в целом и его подразделений в производстве отдельных видов сельскохозяйственной продукции, рассчитывается уровень рентабельность в (%).

Таблица 1.11 Рентабельность производства продукции за 2011 год

Вид продукции

Выручено от реализации и продукци и тыс.тг.

Рентабельность от реализации и продукции тыс.тг.

Результат реализации

Уровень рентабельности %




Прибыль тыс.тг.

Убыток тыс.тг.


Растениеводство

40365

33412

6213

-

31,7

в т.ч . зерновые

38562

18783

4467

-

28

Прочие продукции растениеводство

1803

870

2505

-

62

Животноводство



-



Мясо КРС



-



Итого

27525

23022

-

5

14


Показатель уровня рентабельности дает экономическую оценку хозяйственной деятельности хозяйства в целом и его отраслям.

Уровень рентабельности определяют по формуле:

                                                                (1.2)

где П - прибыль от реализации, тыс.тенге;

С - себестоимость, тыс.тенге.

Рентабельность выступает в качестве обобщающего показателя успешности производства конкретной продукции в условиях данного предприятия и позволяет принимать правильные управленческие решения.

По данным таблицы 1.10 видно, что в отчетном году рентабельность отрасли растениеводства составила (+31,7%). Самый высокий показатель рентабельности (+62%) у прочей продукций, обьем которой в выручке от реализации незначителен. Рентабельность основной продукций растениеводства - зерновых культур составила (+28%).

Прибыль получения за счет производства зерна очень большая по сравнению с убытком полученным в животноводстве.

Поэтому необходимо разработать мероприятия по снижению затрат на себестоимость единицы продукции животноводства. В частности это может быть использование новых механизмов и конструктивных разработок снижающие затраты на производство продукции.

Для увеличения объема продукции животноводства и рентабельности её производства предлагается проект молочной фермы крупного рогатого скота на 200 голов в условиях данного хозяйства.

Выводы и предложения по разделу

Выводы:

проведен анализ общих сведений о хозяйстве, структуры товарной продукции, земельных фондов, обеспеченности хозяйства рабочей силой, рентабельность производства;

стоимость реализованной продукции ежегодно увеличивается. В среднем за 3 года она составила 30893 тыс.тенге.

наибольший удельный вес в структуре товарной продукции занимают зерновые 92,8%, а вся продукция отрасли растениеводства составляет 98,5%. Специализация хозяйства с каждым годом повышается;

в 2011 году в среднем оплата труда основного работника составила 118 тысяч тенге, общая площадь земельных угодий составила 46734 гектар.

Предложения:

· отрасль животноводства необходимо выделить в отдельный цех и повысить эффективность производства;

· приглашать высококвалифицированных специалистов;

· экономно расходовать оборотные средства;

· сократить расходы на запасные части, путем модернизации ремонтной мастерской.

2. Технологическая часть

2.1 Обоснование способа содержания животных

Важнейшее условие успешного производства продукции - это способ содержания животных. Для крупного рогатого скота применяют две системы содержания: привязную и беспривязную (разновидностями беспривязной системы являются содержание животных на глубокой несменяемой подстилке и боксовое содержание).

В зависимости от конкретных производственных условий хозяйств каждая из этих систем может быть применена в сочетании с использованием пастбищ в летнее время или с круглогодовым стойловым (безпастбищным) содержанием животных. При круглогодовом стойловом содержании коров молочных и мясных пород для них организуют активный моцион (ежедневные прогулки на расстояние не менее 1 км). Для сухостойных коров во всех случаях целесообразно предусматривать использование пастбищ.

На пастбищах, удаленных от ферм более чем на 3 км, устраивают летние лагеря, оборудованные кормушками и поилками, навесами и загонами для скота, а также передвижными доильными станциями типа УДС-3А.

При привязном содержании скота молочных и комбинированных пород животных размещают в индивидуальных стойлах на привязи, с использованием подстилки или без нее. В течение дня животным (за исключением скота на откорме) при благоприятных погодных условиях предоставляется прогулка на выгульных площадках продолжительностью не менее двух часов.

Кормление и поение скота организуют в стойлах. При круглогодовом стойловом содержании допускается в летний период кормление животных на выгульно-кормовых дворах. Доят коров в стойлах или на доильных площадках, расположенных в специальных доильных залах.

При беспривязном содержании животных молочных и комбинированных пород размещают группами, в секциях на глубокой подстилке, на решетчатых полах без подстилки и с устройством в секциях индивидуальных боксов, обеспечивающих сухое ложе животным при минимальном расходе подстилки или без нее.

В районах с расчетной зимней температурой наружного воздуха ниже минус 25°С кормление животных организуют в зданиях, в секциях для содержания скота или на специальных кормовых площадках. При круглогодовом стойловом содержании допускается в летний период кормление скота на выгульно-кормовых дворах.

В районах с расчетной зимней температурой наружного воздуха до минус 10°С животных старше 6 месяцев следует кормить на выгульно-кормовых дворах круглый год, а в районах с расчетной зимней температурой наружного воздуха от минус 110С до минус 25°С - большую часть года.

На откормочных фермах крупного рогатого скота применяют привязный и беспривязный (боксовый) способы содержания. Каждый из них имеет несколько вариантов [2].

Привязный способ основан на индивидуальном обслуживании коров и нормированном кормлении животных, рекомендуется для племенных и товарных ферм.

Беспривязно - боксовый способ основан на групповом обслуживании животных. По технологии он значительно сложнее, чем привязный, так как требует достаточных запасов кормов и подстилки, четкой организации всех работ на ферме, тщательного подбора групп животных. Этот способ увеличивает нагрузку на основного работника фермы, что требует значительного повышения производительности его труда. Но при этом он позволяет получать высокий среднесуточный привес (при содержании на откорме). При данном способе содержания снижаются затраты труда.

Проектируемая ферма предназначена для откорма крупного рогатого скота, поэтому выбираем беспривязно - боксовый способ содержания, при котором можно получить большой прирост в весе, при этом повышается нагрузка на основного работника фермы. С целью снижения этой нагрузки все основные процессы на ферме будут максимально механизированы.

Комплекс рассчитан на откорм 200 голов молодняка крупного рогатого скота в год, содержащихся в двух зданиях фермы, в каждом зданий будет содержаться по 100 голов. Ставится на откорм в 6 месячном возрасте и по достижению 450-500 кг (в 18 мес.) сдаётся на районный мясокомбинат.

Рис.2.1 Бокс для молодняка

Скот содержится привязно, в боксах (по 1 голове на бокс). Тип кормления - концентратно-силосный

Концентрированные корма (комбикорм К-60) будут закупаться на внешних рынках. Грубые, сочные корма (сено викоовсяное, силос кукурузный, свекла кормовая) будут заготавливаться на близлежащих к комплексу землях. Комплекс максимально автоматизирован.

2.2 Планировка и застройка животноводческой фермы

Территорию для размещения предприятий крупного рогатого скота выбирают в соответствии с утвержденной схемой развития, а также с действующим проектом районной планировки, планом организационно-хозяйственного устройства предприятий и планировкой данного населенного пункта. Предприятие должно быть обеспечено водой, электроэнергией и подъездными путями для подвоза и вывоза продукции и навоза, огорожено и отделено от ближайшего жилого района санитарно-защитной зоной (разрывом).

Расстояния между комплексами промышленного типа по производству мяса на 1200 и более коров, по производству говядины и выращиванию ремонтных телок размером более 3000 скотомест и другими животноводческими объектами следует принимать не менее 1000 м.

Расстояния между фермами крупного рогатого скота размером менее 800 голов и менее 3000 скотомест для молодняка могут быть сокращены по согласованию с местными органами государственного ветеринарного надзора.

Технологические разрывы между всеми зданиями и сооружениями для крупного рогатого скота следует принимать равными противопожарным разрывам, если не возникает необходимость увеличения этих разрывов в связи с технологическими и планировочными требованиями (устройство выгульно-кормовых дворов и выгульных площадок в разрывах, вертикальная планировка участка террасами и др.).

Ориентация одноэтажных зданий для содержания скота шириной до 30 м при павильонной застройке, как правило, должна быть меридиональной (продольной осью с севера на юг); допускается отклонение от рекомендуемой ориентации в пунктах, расположенных севернее широты 50 в пределах до 30°; в более южных широтах и горных районах - до 45. В пунктах, расположенных к югу от широты 50 в зависимости от местных условий (жаркое сухое лето, направление ветров и др.) допускается также широтная ориентация (продольной осью с востока на запад). Выгульные площадки и выгульно-кормовые дворы во всех случаях не рекомендуется размещать с северной стороны здания.

Ворота должны легко открываться и плотно закрываться. В районах с расчетной зимней температурой наружного воздуха ниже минус 20 °С ворота должны быть снабжены тамбурами, а в обоснованных случаях воздушно-тепловыми завесами (кроме ворот в зданиях для беспривязного содержания скота с кормлением на выгульно-кормовых дворах). Тамбуры устраиваются размером не менее: шириной - более ширины ворот на 100 см, глубиной - более ширины открытого полотнища на 50 см.

Для мобильной раздачи кормов принимаем ширину кормовых проходов равную 2,5м, индивидуальные боксы в соответствии с зоотехническими требованиями принимаем равным 2x1.

Ширина рабочих, межстенных и эвакуационных проходов 1,5 м, поперечных проходов в середине здания - 1,2 м, в торцах - 1,5 м.

Распорядок дня на объекте. Составляем распорядок дня на основании его соответствия биологическим особенностям животных и созданию оптимальных условий для работы обслуживающего персонала.

При выбранном нами привязно - боксовом способе содержании скота, проектом предлагается трехразовое кормление.

Таблица 2.1 Распорядок дня на объекте

Кормление Операция

1- ое

2-ое

3- е


время, ч.

продол, мин.

время, ч.

продол.мин

время, ч.

продол, мин.

Кормление

7:00

60

13:00

60

21:00

60

Уборка навоза

8:00

55

14:00

55

22:00

55


2.3 Технологический расчет производственной линии водоснабжения

На животноводческих фермах вода расходуется на поение животных, а также на технологические, гигиенические и противопожарные нужды. При выборе источника воды лучше присоединять систему к уже существующим источникам. Если такой возможности нет, подбираются местные подземные источники, вода которых не требует специальной очистки.

На рисунке 2.2 представлена система водоснабжения проектируемой откормочной фермы. Она локальная, то есть она обслуживает только данную ферму. Система водоснабжения имеет одну ступень подъема воды и простейшее оборудование.

Рис. 2.2 Схема механизированного водоснабжения: 1 - источник воды; 2 - водозаборное сооружение; 3 - насосная станция первого дъема воды; 4 - очистное сооружение; 5 - резервуар Для чистой воды; 6 - -:осная станция второго подъема; 7 - напорное сооружение; 8 - внутренний юдопровод; 9 - водора5даточные устройства; 10 - внешний водопровод.

Только при достаточном обеспечений водой возможно достижение высокого прироста веса животных. Определим расчетным путем потребности проектируемой фермы в воде.

Среднесуточный расход воды  (л) определяем по формуле:

                                                      (2.1)

где n - число водопотребителей;

g - среднесуточная норма потребителей, 40 л/сут

 = 200 X 40 = 8000 л.

Максимальный суточный расход воды определяем из выражения:


где Ксут = 1,3 - коэффициент суточной неравномерности.

Максимальный часовой расход воды определяем по формуле (л/ч):


где а = 2 - 2,5 - коэффициент часовой неравномерности.

Секундный расход (л/с) воды равен:

_

Суточный расход насосной станций определится из выражения:


где т - продолжительность работы насоса, ч.

Диаметр труб внешнего водопровода (м) равен:


где v - скорость воды в трубах, м/с;

- максимальный секундный расход воды, л/с.

При секундном расходе до 1 л/с скорость равна v = 0,3 м/с.

Диаметр равен:

 = 100 мм.

Принимаем для удовлетворения потребностей в воде животных одночашечные поилки ПА-1А предназначенные для поения скота при безпривязном содержании.

2.4 Технологический расчет производственной линии раздачи кормов

Состояние здоровья, продуктивность животных зависит не только от качества и полноценности кормов, но в и значительной мере от своевременной выдачи кормов.

Доставку и раздачу кормов осуществляет погрузчик - кормораздатчик кормов.

Преимущество мобильной раздачи перед стационарной в том, что раздатчик кормов обеспечивает доставку кормов к месту раздачи, равномерность и точность раздачи корма, его дозировку индивидуально каждому животному, исключает распространение инфекционных заболеваний и травмирование животных.

Технологию раздачи кормов выбирают, исходя из типа и рациона кормления

Опыт показывает, что затраты труда и себестоимость животноводческой продукции ниже в тех хозяйствах, где внедрена комплексная механизация технологического процесса раздачи кормов.

Таблица 2.2

Суточный рацион кормов на ферме в расчете на одну голову

Корма

Масса, кг

Сено

5,0

Соломенная резка

2,0

Силос

5,0

Бобово-зерновая зеленая масса

10,0


Для определения потребного количества кормораздатчиков на ферме проведем следующие технологические расчеты.

Суточный грузопоток (кг), связанный с транспортировкой кормов на животноводческой ферме равен:


где - масса отдельных видов кормов, кг;

m - количество животных.

Масса кормов потребных для животноводческой фермы в течение года рассчитывается по формуле:


где  - суточный грузопоток, кг;

Д - длительность периода кормления животных на ферме, сут.

На проектируемой ферме раздача кормов производится мобильным кормораздатчиком.

Определяем фронт кормления (м):


где  - грузоподъемность кормораздатчика, кг;

q - норма выдачи на 1 голову, кг/м;

α - коэффициент, учитывающий одновременную выдачу на одну или две стороны, (α = 2).

Число рейсов за один час:


где  - время движения транспортных средств с грузом, мин;

 - время движения без груза, мин;

 -продолжительность разовой погрузки, мин;

- продолжительность разгрузки, мин.

Исходя из фронта кормления, принимаем число потребных мобильных кормораздатчиков равным одному, который будет обслуживать два здания фермы, в каждом из которых содержится по 100 голов скота.

.5 Технологический расчет процесса доения и первичной обработки молока

Для механизации процесса доения и первичной обработки молока выбираем доильную установку с молокопроводом АДМ - 8. доильная установка АДМ - 8 включает в себя 12 доильных аппаратов ДА-2М, вакуум провода, два главных вакуум-регулятора, шесть вакуум-подъемников молокопровода, два унифицированных вакуум-насоса (установка УВУ-60/45), фильтр и пластинчатый охладитель.

Оборудование молочной линии включает два групповых счетчика надоя молока, шесть устройств учета молока, молокосборник, насос, молочный универсальный фильтр и пластинчатый охладитель молока. Также доильная установка снабжена устройством для автоматической циркуляционной промывки молокопровода и доильной аппаратуры, источником тепла - электрическим водонагревателем-термосом ВЭТ-400, шкафом управления и шкафом запасных частей.

Определяем расчеты.

Число Аф доильных аппаратов, потребных для обслуживания всего поголовья дойных коров на ферме, определяется по формуле

Аф = мд.к. * т / Тд                                             (2.3.1.)

где, мд.к. - число дойных коров на ферме;

т - среднее время доения одной коровы, мин;

Тд - общая продолжительность дойки, мин.

Аф = 200 * 7 / 120 = 11.7

Принимаем 12 доильных аппаратов.

Определяем продолжительность т маш машинного доения:

т маш = тр * (Аод - 1)                                       (2.3.2.)

где, тр - продолжительность ручных операций (2-3 мин);

Аод - оптимальное число аппаратов для одного оператора-дояра;

тмаш = 2 * (3- 1) = 4 мин.

Производительность труда оператора, коров/ч.:= 60 / тр= 60 / 2 = 30 коров/ч.

Время первичной обработки молока зависит т организации работы производственной линии. Минимальное время затрачивается при использовании поточной линии. Чтобы осуществлялся поток, необходимо согласовать часовую производительность всего оборудования поточной линии.

Расчетное количество молока (кг), надаимового за 1 ч работы установки, определяют по формуле:

qp = β * m * c' * G * Mд.ч.

а за сутки:сут = β * G * Mд.ч.

где, β - коэффициент, учитывающий максимально возможный надой молока за сутки (0.003); m - коэффициент неравномерности поступления молока (1.5…1.6); с' - коэффициент, учитывающий максимально возможный надой молока за одну дойку (0.65); G - средний надой молока за год от одной коровы фермы, кг;

Мд.ч. - число коров, выдаиваемых за 1 ч.= 0.003 * 1.5 * 0.65 * 3000 * 100 = 877.5 кг,сут = 0.003 * 3000 * 200 = 1800 кг

Максимальную производительность (кг/ч) рассчитывают по формуле:

М = p * m * Y / (365 * Kд* T)

где, p - коэффициент сезонности поступления молока (1.2...1.5); m - поголовье фермы; Y - средний годовой удой, кг; Kд - кратность дойки; T - длительность дойки стада, ч.

М = 1.35 * 200 * 3000 / (365 * 2 * 2) = 554.8 кг/ч.

По этой производительности подбирают основное, вспомогательное и транспортное оборудование для молочной.

Потребность в искусственном холоде определяют (Дж/ч) по формуле:

хол = М * с (tн - tk)

где, с - удельная теплоёмкость молока, Дж/кг*°С (3.9);н - температура молока, поступающего на рассольную секцию охладителя после предварительного охлаждения на водяной секции, °С (10…15);к - конечная температура охлажденного молока, °С (4…6).хол = 554.8 * 3.9 * (12 - 4) = 17309.8 Дж/ч

Во время протока рассола по подводящим и отводящим трубам он нагревается, поэтому потребность в холоде необходимо увеличить на 10…15%.= Qхол + 15%

= 17309.8 + 17309,8 * 15 / 100 = 19906.3Дж/ч ≈ 20 кДж.

2.6 Технологический расчет производственной линии сбора и удаления навоза

Суточный выход навоза колеблется в широких пределах, так как он зависит от системы и способов содержания животных, т.е. на подстилке или без нее, от вида и половозрастной группы животных, от состава кормов в рационе и способов кормления и наконец, от степени концентрации поголовья и объема производства. Технологический расчет производственной линии сбора и удаления навоза проводим в следующем порядке.

Определяем выход навоза за одни сутки, кг;


где m - поголовья животных, гол;

 - твердые экскременты, кг;

 - жидкие экскременты, кг.

На ферме рекомендуется строить одно навозохранилище для всего объема навоза, получаемого из всех животноводческих помещений.

Для ферм крупного рогатого скота с поголовьем 200 голов строят навозохранилище по типовому проекту 815-28 вместимостью 6000 тонн.

Выбор способа и системы удаления навоза зависит от специализации и поголовья хозяйства, места его расположения, наличия водных и энергетических ресурсов.

Навоз может удаляться периодически или непрерывно. Существуют две основные системы удаления навоза: механическая и гидравлическая.

В проектируемой ферме мы выбираем периодическое удаление навоза, что предполагает применение механической системы, с установкой скреперных механизмов в каналах, перекрытых решетками, поскольку крупный рогатый скот стоит на откорме, и при этом мы предполагаем снизить нагрузку на основного работника фермы.

Навоз удаляется стационарными механизированными скреперными установками: из продольных каналов установкой УС - 15, из поперечного -УСН - 8. Удаление навоза будет проводиться 3 раз в день.

Расчет скреперной установки.

Производительность цикла (мин) удаления навоза:


где  - длина одной навозной канавки, м;

 средняя скорость скрепера,  = 0,2 м/с.

Производительность (т/ч) установки равна:


где V - расчетная вместимость скрепера, V = 0,13 - 0,25м;

ρ - плотность навоза, т/ м³;

ψ - коэффициент заполнения скрепера, ( ψ = 0,9 - 0,12).

Количество рабочих циклов скрепера определим из выражения:


где m - число животных в ряду;

 - выход навоза от одного животного.

Продолжительность работы установки (ч) равна:


Исходя из производительности скреперных установок, принимаем что в одном животноводческом помещении будет установлена по одной скреперной установке УС- 15 и УСН-8.

2.7 Организация и планирование технического обслуживания машин и оборудования

Комплексная механизация ферм требует безотказной работы оборудования и машин, более эффективного его использования. Перебой в работе отрицательно влияет на продуктивность животных и могут явиться причиной их заболеваний и выбраковки.

Комплекс работ для поддержания исправности работоспособности оборудования при подготовке его по назначению называется техническим обслуживанием. По сроком выполнения и содержанию операции оно разделяется на ежедневное (ЕТО), периодическое  (ТО-1) и не периодическое  (ТО-2). Периодичность технического обслуживания для основных групп оборудования для данной фермы приведена в таблице 2.3

Таблица 2.3 Периодичность технического обслуживания (ТО), ч

Оборудование (по группам)

ЕТО

ТО-1

ТО-2

При хранении

Водоподъемные установки

+

1 раз в месяц (120)

2 раза в год (720)

Автопоилки

+

1 раз в месяц (240)



Кормораздатчик

+

1 раз в месяц (120)

2 раза в год (720)

+

Вентиляционная установка

+

1 раз в месяц (120)


+

Навозоуборочные установки

+

1 раз в месяц (120)


+


Периодичность ЕТО выполняют операторы и слесари ферм. Техническое обслуживание  и  необходимо проводить с участием работников СТОЖ или силами работников СТОЖ.

Примечание: 1. В скобках указана минимальная наработка в часах.

. Знак «+» означает необходимость проведения данного вида ТО; знак «-» означает, что данный вид ТО не проводится.

3. КОНСТРУКТОРСКАЯ ЧАСТЬ

3.1 Зоотехнические требования, предъявляемые к разрабатываемой машине

Зоотехнические требования, предъявляемые к технологии машинного доения, обусловлены физиологией животного и сводится к следующему.

1. Нельзя устанавливать доильные стаканы на соски, если корова не припустила молоко. Все подготовительные операции на вымени должны быть проведены в течение одной минуты.

2. Выдаивание самых высокопродуктивных коров должно быть выполнено за 4 - 6 минут со скоростью доения до 30 - 35 г/с (2 л/мин).

3. Необходимо предусмотреть полный отвод молока из подсосковых камер доильных стаканов в период наибольшего выдаивания.

4. Следует обеспечить полное выдаивание машиной всех коров без применения ручного додаивания.

5. Нельзя оставлять доильные стаканы на сосках после прекращения истечения молока из вымени, так как это связано с опасностью возникновения мастита и снижения продуктивности коровы. При применении трехактных аппаратов это ограничение снимается, и дояр может работать с большим количеством аппаратов.

3.2 Обзор и анализ существующих конструкции доильных аппаратов

По роду силы, используемой для извлечения молока из вымени коровы, аппараты подразделяются на выжимающие и отсасывающие, а по принципу действия - на трехактные («Волга»), двухтактные (ДА - 2М) и непрерывного отсоса. Кроме того, их можно разделить на аппараты попарного («Импульс - 59») и одновременного доения. По месту сбора молока различают аппараты со сбором молока в переносное или подвесное доильное ведро, в подвижную ёмкость, в молокопровод, а также с раздельным сбором молока от каждого соска (почетвертное доение).

В настоящее время на молочнотоварных фермах и комплексах применяют трехтактные аппараты «Волга», двухтактные аппараты «Майга», универсальные аппараты АДУ-1, стимулирующие аппараты АДС и низковакуумные аппараты конструкции ВИЭСХ.

Трехтактный режим работы в большей степени отвечает требованиям физиологии животного, обеспечивает стимуляцию процесса молокоотдачи и не опасен для здоровья животного, если по той или иной причине доильный стакан не будет своевременно снят с соска после прекращения истечения молока.

Двухтактные аппараты работают без такта отдыха. Аппарат АДУ-1 может работать в двухтактном или трехтактном режиме.

Во время такта сосания в подсосковом и межстенном пространствах доильного стакана образуется вакуум - происходит высасывание молока. Этот такт должен быть непродолжительным, чтобы не нарушалось кровообращение в соске и вымени животного. После такта сосания в межстенное пространство стакана поступает атмосферный воздух, который сжимает сосковую резину: происходит такт сжатия и массаж соска. Однако такта сжатия недостаточно для полного восстановления физиологических функций соска, так как его кончик всегда находится под воздействием вакуума. Поэтому в трехтактном аппарате введен еще один такт - отдых.

Доильные аппараты состоят из трех основных сборочных единиц - пульсатора, коллектора и доильных стаканов, соединенных шлангами и патрубками. Чередование тактов достигается благодаря взаимосвязанной работе пульсатора и коллектора.

Пульсатор преобразует постоянный вакуум в переменный. По принципу работы пульсаторы подразделяют на пневматические и электромагнитные.

Коллектор предназначен для сбора молока во время доения, передачи его по молочному шлангу в ведро или молокопровод (у трехтактного аппарата коллектор предназначен также для создания такта отдыха).

Доильные стаканы - основные исполнительные органы доильного аппарата, осуществляющие выведение молока из вымени.

Основное различие между двух - и трехтактными аппаратами заключается в различной конструкции коллекторов. Коллектор двухтактного аппарата не имеет клапанного механизма, так как он в отличие от аппарата «Волга» выполняет только функции сбора молока и передачи его в доильное ведро или молокопровод. В нем всего две камеры: камера постоянного вакуума (молокосборная), расположенная в корпусе и всегда соединенная с ведром или молокосборником, и камера переменного вакуума, расположенная в распределителе и всегда соединенная через патрубки с межстенными камерами доильных стаканов и с камерой переменного вакуума пульсатора.

Для механизации доения коров системой машин предусмотрены четыре типа доильных установок: 1) для доения в стойлах в переносные ведра - АД-10А и ДАС-2Б; 2) для доения в стойлах в общий молокопровод - АДМ-8А; 3) для доения в специальных помещениях - установки УДТ-8 и УДА-8 «Тандем», УДЕ-8 и УДА-16

«Ёлочка» и Уда-100 «Карусель»; 4) для доения на пастбищах и в летних лагерях - установка УДС-3А.

Молоко из вымени коровы может отсасываться теленком, выводиться ручным способом путем выжимания молока через сосок вымени и доильным аппаратом (машинное доение). При машинном доении молоко извлекается из вымени путем отсасывания с помощью разрежения (вакуума), образованного под сосками, чередующегося с периодическими сжатиями сосков. Исполнительным рабочим органом доильного аппарата является доильный стакан, разделенный сосковой резиной на две камеры: межстенную и подсосковую. Стакан состоит (рис 25.1) из корпуса 2, сосковой резины 1, молочного 6 и вакуумного патрубков. Между корпусом 2 и сосковой резиной 1 предусмотрена межстенная камера. Пространство внутри сосковой резины 1 при надевании стакана на сосок образует подсосковую камеру.

Рис. 3.1 Схема работы и устройство двухкамерных доильных стаканов: а - двухтактное доение; б) трехтактное доение; 1- резиновая манжета; 2-корпус стакана; 3- сосковая резина; 4- соединительное кольцо; 5- прозрачный смотровой патрубок корпуса; 6 - молочный резиновый патрубок; 7- уплотнительное кольцо.

Промышленность выпускает двухтактные и трехтактные доильные аппараты. Тактом называют период времени, в течение которого происходит физиологически однородное взаимодействие машины с животным, а совокупность разноименных тактов называется циклом или пульсом. В двухтактных аппаратах рабочий цикл состоит из тактов сосания и сжатия, а в трехтактном добавляется такт отдыха.

Во время такта сосания (см. рис. 25.1) в обеих камерах создается вакуум, и молоко за счет разницы давлений в вымени и подсосковой камере выводится через открытый сфинктер (запирающая мышца) соска. При такте сжатия в подсосковой камере остается вакуум, а в межстенной давление повышается до атмосферного за счет подачи воздуха. Под действием разности давлений сосковая резина сжимается и массирует сосок, прекращая вытекания молока. В процессе такта отдыха трехтактном аппарате в подсосковую камеру попадает воздух, и в обеих камерах устанавливается атмосферное давление. Сосок в это время находится как бы в естественных условиях: полностью восстанавливает свою форму и кровообращение.

Трехтактный режим работы доильного аппарата в большей мере отвечает требованиям физиологии животного и лучше обеспечивает стимуляцию процесса молокоотдачи, а при двухтактном режиме сосок большую часть времени под вакуумом. Преимущество двухтактных аппаратов - более высокая скорость доения. Однако здесь может возникнуть опасность быстрого опорожнения молочной цистерны и распространения вакуума в полость вымени, что приводит к нарушению кровообращения и заболеванию коров маститом. Промышленность выпускает трехтактные доильные аппараты марки « Волга», АДУ - 1 и двухтактные - ДА-2М, « Майга», «Импульс» М-66, АДУ - 1.

Трехтактный доильный аппарат «Волга» (рис.25.2) состоит из ведра 8, крышки 6, пульсатора 4, коллектора 11, четырех двухкамерных доильных стаканов 1, шлангов 3, 7 и 10 патрубков.

Рис.3.2 Доильный аппарат «Волга»: 1-стаканы; 2 - смотровой конус; 3 вакуумный шланг;4 - пульсатор; 5 - гребенка; 6 - крышка; 7 - магистральный вакуумный шланг; 8 - ведро; 9 - зажим; 10 - молочный шланг; 11 - коллектор

Крышка 6 ведра имеет воздушный и молочный патрубки, а также обратный и воздушный клапаны. Обратный клапан препятствует проникновению в ведро наружного воздуха и предохраняет от попадания в ведро грязи. Воздушный клапан служит для разгермитизации ведра при снятии с него крышки. Дужка ведра, входящая в выступы гребенки крышки, обеспечивает надежное закрепление крышки на ведре. Пульсатор аппарата закреплен на крышке.

Пульсатор (рис. 25.3) предназначен для преобразования постоянного по величине вакуума в переменный, необходимый для работы доильных стаканов.

Рис. 3.3 Пульсатор аппарата «Волга»: I - камера постоянного вакуума; II - камера переменного вакуума; III - камера атмосферного давления; IV - камера переменного вакуума (управляющая); 1- основание; 2 - клапан; 3 - патрубок; 4 - воздушный канал; 5 - канал регулировочного винта; 6- регулировочный винт; 7 - пружина; 8 - резиновая мембрана; 9 - клапан - шайба; 10 - крышка; 11 - кольцевая выточка в крышке; 12 - кольцевая выточка в корпусе; 13 - корпус; 14 - патрубок магистрального шланга; а) воздушный канал

Пульсатор состоит из основания 1, корпуса 13, стержня с шайбой 9, мембраны 8, клапана 2, крышки 10 с регулировочным винтом 6, патрубков 5 и 14.

В пульсаторе имеются четыре камеры. Камера I (постоянного вакуума) присоединена через патрубок 14 и шланг к вакуум - магистрали. Камера II (переменного вакуума) отделена от камеры I и нижним клапаном 2. Кольцевая камера III (атмосферного давления) сообщается с атмосферным воздухом через отверстия в корпусе 13 пульсатора и отделена от камеры II кольцевым выступом. Камера IV (переменного вакуума) управляющая работой пульсатора, отделена от камеры III резиновой мембраной 8, а с камерой II сообщается через канал 5, сечение которого регулирует винт 6.

Пульсатор работает так. При включении доильного аппарата в магистраль возникает разность давлений между камерами I и II. Клапан 2, опускаясь вниз, тянет за собой стержень с укрепленными на нем резиновой мембраной 8 и верхним клапаном 9. Вакуум распространяется на камеру II, на межстеннные камеры стаканов и по каналам 4 и 5 на камеру IV. Нарастание глубины вакуума в камере IV приводит к увеличению подъемной силы, действующей на мембрану и верхний клапан.

Мембрана 8 и связанные с ней через стержень клапаны 9 и 2 перемещаются в верхнее положение. При этом воздух из камеры III поступает в камеру II и далее в подсоединенные к ней через коллектор межстенные камеры доильных стаканов. Такт сжатия сменяет такт сосания. Со стороны камеры II воздух оказывает давление на клапан 2. Постепенно воздух из камеры II, проходя по каналам 4 и 5, снижает вакуум в камере IV. Наступает момент, когда давление на площадку клапана 2 становится достаточным для опускания в нижнее положение всего мембранно-клапанного механизма пульсатора. Происходит такт сосания.

Рис.3.4 Коллектор трехтактного доильного аппарата: 1 - корпус;2, 5, 7, 14 - патрубок;3 - перегородка; 4 - мембрана; 6 - крышка; 8 - шайба; 9 - винт; 10 - кронштейн; 11 - стержень; 12 - клапан; 13 - отверстие.

Продолжительность тактов (частоту пульсаций) регулируют в пределах от 1 до 150 пульсаций в минуту винтом 6, изменяя проходное сечение канала 5.

Коллектор (рис. 25.4) предназначен для преобразования такта сжатия пульсатора в такты сжатия и отдыха, а также сбора и отвода молока в емкость или молокопровод.

Коллектор состоит из корпуса 1, крышки 6 внутри которых размещен клапанно-мембранный механизм, состоящий из мембраны 4, стержня 11 и клапана 12. Коллектор снабжен молочными 2, 14 и воздушными 5 трубками.

Коллектор имеет четыре камеры: I - постоянного вакуума, II и IV - переменного вакуума и III - атмосферного давления. Камера IV отделена от камеры III резиновой мембраной 4, камера III от камеры II - перегородкой 3 и клапаном 12 (в его верхнем положении), камера II от камеры I - клапаном 12 (в его нижнем положении). Клапан и мембрана жестко закреплены на стержне 11.

Клапанно-мембранный механизм действует принудительно от пульсатора, камера II которого соединена шлангом с камерой IV коллектора. Когда в камере IV коллектора создается разрежение (такт сосания), давление воздуха со стороны камеры III, сообщающейся с атмосферой, поднимает мембрану 4 и связанные с ней детали. С открытием отверстия между камерами I и II вакуум распространяется на подсосковое пространство доильных стаканов. Верхнее положение клапанно-мембранного механизма соответствует такту сосания. При впуске воздуха в камеру IV в соединенных с ней межстенных камерах стаканов создается такт сжатия.

Величина вакуума в камере IV уменьшается почти до нуля. Тогда давление воздуха в камере III на верхнюю площадку клапана 12 превысит давление воздуха на мембрану. Клапан 12 своей нижней площадкой перекроет канал между камерами I и II, а воздух из камеры III поступит в камеру II и через патрубки 2 в подсосковые пространства доильных стаканов. Давление в подсосковых камерах приблизится к атмосферному. В то же время такое же по величине давление имеется и в межстенных пространствах стаканов, поэтому сосковая резина принимает исходную форму, а сосок вымени в это время не испытывает внешних нагрузок - отдыхает. Это положение деталей механизма коллектора соответствует такту отдыха. Затем автоматически повторяет такт сосания.

Работает трехтактный доильный аппарат «Волга» в таком порядке. При включении аппарата в вакуумную магистраль (рис. 25.5) образуется разрежение в камере I пульсатора, доильном ведре и камере I коллектора. Далее оно распространяется на камеру II пульсатора и связанные с ней через камеру IV коллектора межстенные пространства стаканов.

Рис.3.5 Схема работы трехтактного аппарата; а - такт сосания; б - такт сжатия; в - такт отдыха;1 - обратный клапан; 2 - регулировочный винт

Одновременно разряжение начинает образовываться и в камере IV пульсатора, соединенный каналом с камерой II. Вследствие образовавшегося разряжения в камере IV коллектора его мембрана под давлением воздуха со стороны камеры III поднимается и тянет за собой стержень с клапаном, перекрывающим своей верхней площадкой канал, вокруг стержня между камерами I и II коллектора. Разряжение образуется в камере II коллектора и подсосковых пространствах доильных стаканов.

Происходит такт сосания. К концу этого такта разряжение в управляющей камере IV пульсатора возрастает настолько, что давление атмосферного воздуха камеры III, действующее на кольцевую площадку давления мембраны, оказывается достаточным для перемещения вверх клапанно-мембранного механизма пульсатора. Нижний клапан перекрывает отверстие между камерой I постоянного вакуума и II переменного вакуума, а верхний открывает доступ атмосферному воздуху под мембраной из камеры III в камеру II. Далее воздух распространяется на камеру IV коллектора и межстенное пространство доильных стаканов.

Происходит такт сжатия. При этом воздух из камеры II пульсатора медленно проходит через канал регулировочного винта в камеру IV, постепенно снижая в ней вакуум. Одновременно в коллекторе выравниваются давления в камерах IV и III, но поскольку в камере II сохраняется вакуум, давление воздуха на верхнюю площадку клапана заставляет последний опуститься и перекрыть отверстие между камерами I и II. По открывшемуся каналу воздух из камеры III поступает в камеру II и подсосковые пространства стаканов. Такт сжатия сменяется тактом отдыха.

В такте отдыха продолжается проникновение атмосферного воздуха в камеру IV пульсатора и разряжение в ней настолько уменьшается, что давление воздуха на нижний клапан, направленное в сторону камеры I, превышает давление воздуха на мембрану, направленное в сторону камеры IV, а стержень с мембраной и клапанами перемещается вниз. Вакуум вновь распространяется на камеру II, и далее цикл повторяется. Смена тактов происходит автоматически.

Техническая характеристика доильного аппарата « Волга» приведена в таблицах 25.1.

Доильный аппарат АДУ - 1 предназначен для доения коров в ведра или молокопровод. Благодаря сменному коллектору может работать в двух- или трехтактном режиме.

Доильный аппарат состоит из доильных стаканов, коллектора, пульсатора, доильного ведра и комплекта шлангов.

Отличительные особенности конструкции доильного аппарата АДУ - 1 по сравнению с аппаратом «Волга» следующие:

-пульсатор выполнен с постоянной частотой пульсаций и с незасоряющимся дросселем;

- доильный стакан аппарата состоит всего из трех деталей - корпуса, сосковой резины и патрубка переменного вакуума;

- сосковая резина выполнена заодно с молочным патрубком, что упрощает ее конструкцию и облегчает монтаж и демонтаж доильного стакана;

- коллектор трехтактного исполнения изготовлен из пластмассы и имеет прозрачную молочную камеру для контроля за ходом молоковыведения;

- в коллектор введен клапан отключения от вакуума взамен зажима молочного шланга и смотровой трубки;

Выходной молочный штуцер коллектора имеет большой угол наклона к горизонтальной оси по сравнению с коллектором доильного аппарата «Волга», что улучшает отток молока.

Пульсатор унифицированного аппарата АДУ - 1 состоит из корпуса, двух колец, крышки, прокладок, обоймы, мембран и клапана. Патрубки на корпусе пульсатора служат для хранения молочных и воздушных шлангов. Пульсатор обеспечивает 62…78 пульсаций в минуту. Его дросселирующий клапан позволяет без регулировок сохранять стабильное число пульсаций.

Рис.3.6 коллектор аппарата АДУ - 1; а) общий вид (разрез); б) детали аппарата; 1- шплинт;2- крышка;3- клапан;4 и 6 - верхний и нижний корпуса;5- прокладка; 7- распределитель; 8- винт.

Коллектор АДУ - 1 (Рис.25.6) обеспечивает подачу вакуума или атмосферного давления в различные камеры доильного стакана и смену тактов во время доения. Он состоит из корпусов 4, крышки 2, клапана 3, нижнего корпуса 6, распределителя 7, прокладки 5, винта 8 и шплинта 1. Клапан 3 с шайбами позволяет автоматически отключать доильный аппарат при случайном спадании аппарата с вымени коровы. Этот же клапан используется как кран для отключения доильного аппарата от вакуумной линии установки при снятии его с сосков вымени коровы по окончании доения. Вакуум в подсосковые камеры доильных стаканов падают путем прижатия шайбы клапана 3 к корпусу 4 коллектора. Рабочий процесс аппарата АДУ - 1 протекает аналогично процессу аппарата «Волга».

Техническая характеристика доильного аппарата АДУ - 1 приведена в таблице 25.1.

Техническая характеристика доильных аппаратов

Показатели

«Волга»

АДУ - унифицированный



2х-тактный

3х-тактный

Режим работы

3х-тактный

2х-тактный

3х-тактный

Величина вакуума в системе аппарата, кПА

50…53

50,6

47,9

Частота пульсации, в мин

60

60…80

60

Соотношение тактов, %




сосание

60

65…70

66

сжатие

10

30…35

16

отдых

30


18

Масса подвесной части аппарата, кг

2,2

2,6

2,0

Вместимость молочной камеры коллектора, кг

0,06

0,10

0,06


Рабочий процесс машинного доения протекает в следующей последовательности. За минуту до присоединения доильных стаканов к соскам вымя обмывают чистой теплой водой температурой 40…500С и вытирают чистым полотенцем, смоченным в дезинфицирующем растворе. Если после этого рефлекс молокоотдачи не наступил, то быстро делают массаж, обхватывая пальцами рук отдельные четверти вымени и поглаживая их сверху вниз. Перед подключением доильных стаканов из каждого соска сдаивают несколько струек молока в специальную кружку.

Подвесную часть доильного аппарата (коллектор с доильным стаканами) устанавливают на вымя коровы в такой последовательности:

- берут коллектор отводным патрубком вниз, так чтобы доильные стаканы свободно свисали, и открывают клапан, прижимая шайбу клапана к корпусу коллектора;

- устанавливают вертикально головкой вверх наиболее удаленный доильный стакан, перегибая при этом молочную трубку сосковой резины;

- быстрым движением, выпрямляя трубку, надевают этот доильный стакан на соответствующий сосок вымени коровы, не допуская длительных подсосов воздуха;

- теми же приемами поочередно надевают доильные стаканы, проверяют надежность закрепления аппарата на вымени коровы и начале отдачи молока.

При замедлении пока молокоотдачи применяют машинное додаивание путем оттягивания коллектора вперед и вниз.

По окончании процесса молокоотдачи подвесную часть доильного аппарата снимают, для чего, оттягивая клапан коллектора вниз, отключают аппарат от вакуумной системы.

Все доильные установки комплектуют вакуумными насосами, доильными аппаратами и молокопроводами, регуляторами вакуума, приборами для измерения величины разряжения, а также оборудованием для мойки и стерилизации доильных аппаратов и магистральных молокопроводов, шкафами для хранения запасных частей и центральными пультами управления.

При правильном кормлении и содержании коровы образование молока в вымени происходит непрерывно в течение суток. Молоко из вымени нельзя удалить без соответствующей стимуляции, вызывающий молокоотдачу. Для этого необходим внешний раздражитель (массаж) для возбуждения нервной системы. Нервные импульсы передаются в головной мозг коровы, и в ответ на это происходит выделение в кровь гормона окситоцина. Он вызывает быстрое и энергичное сокращение мышц, в результате чего молоко из альвеол и мелких протоков выталкивается в более крупные потоки, а из них в молочные цистерны и соски. Такое состояние называется молокоотдачей и сопровождается значительным повышением давления внутри вымени. Молокоотдача начинается через 30…45 секунд после получения внешнего раздражения и длится 5…6 минут. За этот период необходимо выдоить корову.

Любая доильная установка должна обеспечить необходимую полноту выдаивания и не нарушать физиологии молокоотдачи.

С учетом этих требований технология машинного доения включает три основные операции:

- подготовительную - обмывание вымени водой, обтирание его и массаж, сдаивание первых струек молока вручную и надевание доильных стаканов на соски. Подготовительные операции должны быть выполнены за 60 сек. не более;

- основную - машинное доение (4…5 минут) и машинное додаивание (25…30 секунд);

- заключительную - отключение и снятие доильных стаканов вымени.

Доильные машины должны обеспечивать равномерное развитие четвертей вымени и неодинаковую скорость отдачи молока во время доения.

При любом способе доения (ручном или машинном) вымя раздражается. Однако в зависимости от степени и характера раздражение бывает физиологическое (нормальное) или патологическое (болезненное). Доильные машины не должны вызывать патологических раздражений сосков и вымени. Восстановлению нормальных физиологических процессов и предотвращению патологических раздражений во многом способствует правильный режим машинного доения.

На машинное доение переводят здоровых коров с нормально развитым выменем и сосками. Коров проверяют на наличие острых и хронических маститов в открытой или скрытой формах. При доении на доильных установках коров разбивают на отдельные группы в зависимости от продуктивности, скорости молокоотдачи, периода лактации и тугодойности.

С переводом коров на машинное доение необходимо постоянно следить за тем, чтобы все животные полностью выдаивались доильным аппаратом. С этой целью регулярно проводят контрольные доение необходимо постоянно следить за тем, чтобы все животные полностью выдаивались доильным аппаратом. С этой целью регулярно проводят контрольные доения с определением жирности молока.

Доильная установка АДМ - 8А предназначена для машинного доения коров в стойлах при привязном содержании, транспортирования выдоенного молока в молочную, группового учета молока от каждых 50 коров, фильтрации, охлаждения и сбора его в емкости для хранения. Установка выпускается в двух исполнениях - для обслуживания 100 и 200.

Установка АДМ - 8А (рис.26.1) состоит из молокопровода, доильных аппаратов 8, вакуум - силовой установки УВУ - 45/60 16, установки для автоматической промывки аппаратуры 9 и линии молокопровода 5, вакуум - трубопровода с арматурой, группового счетчика молока 14, воздухоразделителя 12, устройства для подъема концевых петель молокопровода, молочного насоса НМУ - 6, приборов для индивидуального учета молока УЗМ -1, охладителя молока, электронагревателя типа ВЭТ - 400, шкафа управления, шкафа запасных частей и комплекта инструмента.

Рис. 3.7 Доильный агрегат с молокопроводом АДМ - 8; вакуум-провод, 2- переключатель, 3- молокопровод, 4- главный вакуум - регулятор, 5- устройство для промывки молокопровода, 7- индивидуальный счетчик молока, 8- доильный аппарат, 9- автомат промывки, 10- охладитель молока, 11- фильтр, 12- воздухоразделитель (опорожнитель), 13- универсальный молочный насос НМУ - 6, 14- групповой счетчик удоя, 15- шкаф запасных частей, 16- вакуумная унифицированная установка УВУ 45/60, 17- электрический водонагреватель - термос ВЭТ-400

Молокопровод 3 установки служит для сбора молока от доильных аппаратов и транспортировки его к охладителю. Молокопровод состоит из стеклянных труб и соединительных муфт. Доильные аппараты соединяются с молокопроводом и вакуум - проводом при помощи совмещенных молочно-вакуумных кранов.

Молокопровод установки представляет собой две или четыре независимые линии. Каждая линия рассчитана на 50 коров. Линии заканчиваются в молочном отделении групповыми счетчиками молока. Для разделения молочной линии на отдельные ветви и обеспечения группового учета молока на молокоприводе установлены разделители.

Вакуумная установка типа УВУ - 60/45 создает разрежение для одновременной работы доильных аппаратов и транспортировки молока по молокопроводу. Вакуум, создаваемый установкой, используется также для циркуляционной промывки молокопровода и доильных аппаратов.

Установка УВУ - 60/45 состоит из вакуума насоса, электродвигателя, вакуум-баллона, глушителя и пускового щита.

Автомат промывки 9 обеспечивает автоматическую промывку технологической линии доения и первичной обработки молока водой, моющими и дезинфицирующими растворами. Он состоит из командного прибора, ванны 6, дозаторов, емкостей для моющих средств, клапана и вентилей, а также патрубков и соединительных шлангов.

Для обеспечения нормальной работы установки на ней смонтированы вакуум - регулятор, главный вакуумный регулятор и дифференциальный клапан. В начале вакуумной магистрали (от насоса) установлен предохранительный клапан.

Вакуумный регулятор обеспечивает изменение объема воздуха, проходящего через молокопровод. При повышении вакуума в молокопроводе приподнимается клапан, на котором закреплен грузило и происходит впуск воздуха в молокопровод. При понижении уровня вакуума клапан спускается и перекрывает впускное отверстие.

Главный вакуумный регулятор устанавливают в конце молочных линий, он обеспечивает заданный вакуум и подсос воздуха в молочном трубопроводе.

Дифференциальный клапан предназначен для автоматического поддержания необходимого вакуума в вакуум - проводе коровника и несколько повышенного в магистральном вакуум - проводе и вакуумном баллоне, что необходимо для обеспечения транспортирования молока.

Доильная аппаратура установки АДМ-8А состоит из подвесной части доильных аппаратов 8, соответствующего им числа молочных кранов с пульсаторами, устройства для зоотехнического учета молока (УЗМ - 1)7, соединительных вакуумных и молочных шлангов. В установке АДМ-8А применяют унифицированные доильные аппараты АДУ-1 или ДА-2 «Майга».

Оборудование молочного отделения включает молочный насос (НМУ-6)13, фильтр 11, охладитель молока 10, молокосборник 12, счетчики сумматоры молока и переключатель режима 2.

Молочный насос 8 обеспечивает подачу молока через фильтр 9 в охладитель пластинчатого типа и через него в емкость для хранения. Работает насос 8 в автоматическом режиме в зависимости от уровня молока в молокосборнике 12. Внутри последнего установлен стержень, на который надет датчик уровня поплавкого типа. При заполнении молокосборника 12 молоком или промывочной жидкостью датчик от вакуума. Под действием атмосферного давления переключатель включает молочный насос 8. При снижении уровня молокам поплавок опускается и с помощью переключателя выключает малый насос.

Групповой счетчик молока объемного типа служит для автоматического учета молока от группы коров, обслуживаемых одним дояром. Счетчик состоит из приемной и мерной камер, крышки, молокосборника с поплавковым устройством, сумматора, соединительных шлангов и арматуры. Молокопровод 3 стыкуется с групповыми счетчками молока 14 через переключатель 2 режима работы установки.

Устройства для подъема торцевых ветвей молокопровода обеспечивают их подъем для прохода кормораздатчика или опускание в горизонтальное положение, необходимое при доении.

В режиме доения работа доильного аппарата основана на отсосе молока под действием вакуума, создаваемого в системе вакуум - проводов1. Переключатель 2 устанавливается в положении «Дойка». Молоко из доильного аппарата поступает непосредственно в молокопровод 3, переключатель 2 и по нему в молочную к групповым счетчикам молока 14. Из счетчиков молоко попадает в молокосборник 12, отделяется от воздуха и молочным насосом 13 через фильтр 11 и пластинчатый охладитель 10 перекачивается в емкость для хранения молока.

Переключатель 2 устанавливается в положении «Промывка». В режиме промывки моющий раствор отсасывается из ванны 6 устройства промывки 9 через доильные аппараты 8 и далее через всю систему молокопровода 3, всасывается в молокосборник 12, откуда перекачивается насосом 13 в автомат, управляющий процессом промывки. Одновременно моющий раствор через охладитель 10 засасывается в молокосборник 12, обеспечивая промывку его стенок и охладителя. Автомат промывки 9 обеспечивает выполнение следующих операций: прополаскивание водой аппаратов, молочных линий и доильного оборудования, слив воды в канализацию, заполнение ванны моющим и дезинфицирующим раствором; проведение циркуляционной промывки; прополаскивание чистой водой; откачивание остатков воды из молокосборника; выключение вакуумных и молочных насосов.

Контроль за вакуумным режимом агрегата осуществляется по показателям вакуумометров и индикаторов расхода воздуха. У главных вакуум-регуляторов величина вакуума должна быть 50 кПа, у дифференциального клапана - 46 кПа.

Техническая характеристика доильной установки АДМ-8А приведена в таблице

Техническая характеристика доильной установки АДМ-8А

Показатели

АДМ-8А

Производительность, гол/ч

100

Обслуживающий персонал, чел

4

Количество ското-мест

200

Количество доильных Аппаратов

12

Количество доильных Аппаратов

12

Общая установленная мощность, кВт

9,1

Обслуживаемое поголовье, гол

200

Рабочий вакуум, кПа

48

Масса

3300


3.4 Обоснование и выбор предлагаемой конструкции доильного аппарата

Известен доильный аппарат, включающий коллектор и пневматический пульсатор, соединенные с доильными стаканами, имеющими межстенные и кольцевые массажные камеры и присоски.

Однако известный доильный аппарат не обеспечивает необходимого массажа вымени в процессе доения.

Цель изобретения - улучшение массажа вымени в процессе доения.

Достигается это тем, что доильный аппарат снабжен дополнительным пневматическим пульсатором, который соединен массажными камерами, а каждый присосок образован обращенными друг к другу стенками массажной и межстенной камер.

Доильный аппарат состоит из пульсатора 1, коллектора 2, доильных стаканов 3 и 4 соответственно для передних и задних долей вымени. Пульсатор содержит клапанные механизмы (блоки) 5 и 6 разделенные перегородкой 7 корпуса 8. Под мембранами 9 клапанных блоков расположена общая управляющая камера 10 пульсатора. Внутри пульсатора имеются камеры постоянного вакуума 11, переменного давления 12, 13 и постоянного избыточного давления 14.

Коллектор аппарата имеет корпус 15 с патрубками 16, над которым установлен дополнительный пневматический пульсатор 17 приводом массажных камер доильных стаканов для передних и задних долей вымени. Пульсатор 17 содержит верхний 18 и нижний 19 клапаны мембраны 20, камеры 21 и 22 переменного давления, соединенные шлангами 23 и 24 с камерами 12 и 13 пульсатора 1, камеры 25 постоянного атмосферного давления, камеры 26 и 27 переменного давления и камеру 28 постоянного избыточного давления, соединенную шлангом 29 с источником избыточного давления доильной установки. Молочная камера 30 коллектора соединена шлангом 31 с молокопроводом установки, а патрубками 32 - с подсосковыми камерами доильных стаканов. В коллектор установлены клапаны 34 и 35.

Доильный стакан имеет корпус 36, молочную чашечку 37, сосковую резину 38 и массажник 39 с эластичной вставкой 40. Каждый стакан содержит три камеры: подсосковую 33, межстенную 41 и кольцевую массажную 42. Массажные камеры соединены с камерами 26 и 27 пульсатора 17 с помощью патрубков 43 и 44. Между обращенными друг к другу стенками массажной 42 и межстенной 41 камер стакана расположены присоски 45, для чего нижняя часть 46 эластичной вставки 40 массажника выполнена в виде шайбы с отверстием для соска. Эластичная вставка 40 массажника выполнена вогнутой по форме нижней части вымени над соском, а массажная камера 42 с помощью перегородки 47 может быть разделена на две части, соединенные отверстием 48. Перегородка 47 может закрепляться в проушинах 49 корпуса массажника.

Для усиления массирующего воздействия сосковой резины доильных стаканов на соски вымени она выполнена в форме усеченного конуса, обрезанного двумя плоскостями, касающимися противоположных точек окружности нижнего основания конуса, а линией их пересечения является диаметр верхнего основания этого конуса. В верхней части сосковая резина плавно переходит в уплотнительную часть 50.

Пульсатор аппарата подключается к вакуум - проводу с повышенным вакуумом h и трубопроводу избыточного давления Н, а коллектор - к молокопроводу с пониженным вакуумом h. Для подачи вакуума в подсосковые камеры клапан 34 коллектора открывается.

Аппарат имеет два такта - выжимания и насасывания и работает в попарном режиме с различным соотношением тактов в стаканах для передних и задних долей вымени. Привод сосковой резины и эластичных вставок массажников может осуществляться в противофазах. При работе аппарата под действием вакуума мембраны 9 пульсатора 1 сначала поднимаются вверх, поднимая и клапанные блоки 5 и 6 вверх. В межстеные камеры доильных стаканов 3 для передних долей вымени из камеры 13 поступает вакуум h, а в межстеные камеры стаканов 4 для задних долей - избыточное давление Н из камеры 12. При этом в камеру 21 коллектора также поступает вакуум, а в камеру 22 - избыточное давление, эти камеры одновременно служат и управляющими камерами пульсатора 17 привода массажников. Под действием вакуума клапан 19 закроется, а клапан 18 откроется, и в камеры массажников для передних долей вымени нагнетается по патрубку 44 воздух избыточного давления. Поэтому в стаканах 3 для передних долей вымени сосковая резина растягивается к стенкам корпуса, в полости сосков насасывается молоко, а эластичные вставки массажных камер сжимают нижнюю часть вымени над передними сосками, что обеспечивает интенсивный массаж этой части вымени и устраняет наползание стаканов на соски. В этот момент под действием избыточного давления в камере 22 верхний клапан пульсатора закроется, а нижний - откроется.

В массажных камерах 42 доильных стаканов для задних долей вымени установится атмосферное давление из камеры 25, массаж вымени над задними стаканами прекратится и стаканы, несколько поднимаясь, сожмут соски с помощью сосковой резины, выдавливая молоко. Таким образом, в этот момент работы аппарата в стаканах для передних долей вымени происходит такт насасывания молока с одновременным массажем нижней части вымени, а в стаканах для задних долей - такт выжимания молока из сосков - без массажа нижней части вымени над сосками.

В следующий момент пульсатор 1 подаёт в межстеные камеры доильных стаканов 3 и в управляющую камеру 21 пульсатора 17 привода массажных камер воздух избыточного давления, а в межстеные камеры доильных стаканов 4 и в камеры пульсатора 17 - вакуум. Клапаны 18 и 19 этого пульсатора переключаются. В массажных камерах доильных стаканов 3 для передних долей вымени установится атмосферное давление, а сосковая резина, постепенно сжимая сосок от основания к верхушке, обеспечивает выдавливание молока из него.

В массажные же камеры доильных стаканов 4 для задних долей вымени поступит воздух избыточного давления. Следовательно, в этот момент в стаканах 3 передних долей вымени происходит такт выжимания без массирования нижних частей вымени, а в стаканах 4 для задних долей вымени - такт насасывания с одновременным массажем нижней части вымени. Далее процессы повторяются.

Надежное крепление стаканов на сосках обеспечивается присосками 45.

Благодаря улучшению массажа вымени в процессе доения осуществляется интенсивное стимулирующее воздействие на соски и вымя животного.

Формула изобретения.

Доильный аппарат, включающий коллектор и пневматический пульсатор, соединенные с доильными стаканами, имеющими межстенные и кольцевые массажные камеры и присоски, отличающиеся тем, что, с целью улучшения массажа вымени в процессе доения, он снабжен дополнительным пневматическим пульсатором, который соединен с массажными камерами. А каждый присосок образован обращенными друг к другу стенками массажной и межстенной камер.

Рис. 3.8 Схематичное изображение доильного аппарата

Рис. 3.9 Доильный стакан

3.4 Расчет основных параметров предлагаемой конструкции

3.4.1 Обоснование основных размеров предлагаемой конструкции

Доильный стакан состоит из алюминиевой гильзы, молочной чашечки, сосковой резины (резина VI-б, ТУ МХП № 233-545р) цилиндрической формы длиной 155мм с диаметром соскового отверстия 23 мм и массажник с эластичной вставкой.

3.4.2 Определение технологических параметров предлагаемой конструкции

Рекомендуемый вакуум - 46…50 кПа,

Число тактов - 2,

Число пульсаций в минуту - 45…60,

Соотношение тактов во времени одного пульса

такт выжимания - 50%

такт отсасывания - 50%

Масса доильного аппарата - 6,3 кг,

Продолжительность доения одной коровы - 3…5 мин,

Вместимость ведра - 20 л,

Диаметр молочной трубки - 14 мм,

Диаметр вакуум провода - 1´,

Вакуумная установка - УВУ-45,

3.4.3 Расчет деталей на прочность

Рассчитаем клапан на растяжение (сжатие).

σ = F / S                                                                       (3.4.4.1.)

σ ≤ [σ]                                                                          (3.4.4.2.)

где σ - напряжение на растяжение (сжатие);

[σ] - допускаемое напряжение на растяжение (сжатие);

F - сила, действующая на клапан, Н;

S - площадь поперечного сечения ножки клапана, кв см.

S = π * d² /4                                                                           (3.4.4.3.)

где, d - диаметр ножки клапана, мм.

S = 3.14 * 0.6² /4 = 0.2826 кв. см.

F = P * Sклапана                                                         (3.4.4.4.)

где P - давление в рабочей камере кПа; Sклапана - площадь рабочей поверхности клапана, кв см.

Sклапана = π * d²клапана / 4

где dклапана - диаметр рабочей поверхности клапана.

S = 3.14 * 2.5² / 4 = 4.9 кв см.

F = 0.53 *4.9 = 2.597 Н

σ = 2.597 / 0.2826 = 9.2

Для расчета пульсатора необходимо составить и решить уравнение равновесия сил, действующих на клапан и мембрану, для двух случаев:

1-й случай. Силы, действующие вниз :рв.к. (Н) - сила от давления воздуха на верхний клапан площадью Fв.к.; G - сила тяжести от подвижных частей. При этом

Рв.к. = (h - h1) * Fв.к.                                                 (3.4.4.5.)

Сила, действующая вверх рк (Н) - сила от давления атмосферного воздуха на кольцо мембраны площадью Fк: Rм (Н) - сила упругости мембраны, защемленной по её периметру.

При этом pк = h1 * u * Fk                                          (3.4.4.6.)

где u - коэффициент, учитывающий только ту часть нагрузки, которая от мембраны передаётся на стержень клапана, и называемый в дальнейшем коэффициентом активности мембраны.

Уравнение равновесия сил имеет вид.

рв.к. + G = Pk + Rm                                                    (3.4.4.7.)

Или

(h - h1) * Fв.к. + G - Rm = h1 * u * Fk                        (3.4.4.8.)

По опытным данным, упругая сила Rm мембраны составляет 2 Н.

2-й случай. Силы, действующие вниз: рн.к.(Н) - сила от давления воздуха на нижний клапан площадью Fн.к.; G - сила тяжести от подвижных частей; Rм (Н) - упругая сила мембраны.

При этом

pн.к. = h * Fн.к. * m.                                                   (3.4.4.9.)

Силы, действующие вверх: рш (Н) - сила от давления на шайбу площадью Fш; рк (Н) - сила от давления на кольцо мембраны площадью Fk.

При этом

рш = h2 * Fш * m; рк = h2 * u * Fk * m                     (3.4.4.10.)

Уравнение равновесия сил в момент переключения клапана из верхнего положения в нижнее имеет вид

pн.к. + G + Rm = pш + рк.                                         (3.4.4.11.)

после постановки рш и рк из формулы (3.4.4.10.) и соответствующих преобразований получим

h2 = h * Fн .к. _ G + Rm                                             (3.4.4.12.)

Fш + u * Fk m * (Fш + u * Fk)

В двухтактных аппаратах действительная длительность такта сосания составляет

tc = t1 - ∆tªотк + ∆tªв.п.                                                        (3.4.4.13.)

действительная длительность такта сжатия будет

tсж = t2 + ∆tªотк - ∆tªв.п.                                            (3.4.4.14.)

Промежутки времени ∆tªотк и ∆tªв.п можно определить по формулам:

∆tªотк = Vм.к. ln ( ψ3 * h )                                          (3.4.4.15.)

(76 - h) * r´p ( h -hªотк )

∆tªв.п. = Uм.к. ln ( ψ4 * h )                                         (3.4.4.16.)

76 * r´p (hªвп )

где Vм.к. - суммарный объем системы после пульсатора, см³; r´p - коэффициент Пуазейля, учитывающий диаметр dш и длину lш шланга

r´p = π * d4ш / (128 * lш * ŋв )                                   (3.4.4.17.)

Переменные коэффициенты соответственно равны

Ψ3 = 152 - (h + hªотк ) и Ψ4 = 152 - hªвп

152 - h 152 - h

По экспериментальным данным, промежутки времени ∆tªотк и ∆tªв.п. для рабочих значений вакуума h мало меняются и составляют примерно: ∆tªотк = 10 - 11 % и ∆tªв.п. = 8 % от времен полного цикла tц.

Выводы и предложения к разделу

- рассмотрены зоотехнические требования к процессу доения молока;

- проведен обзор и анализ существующих конструкции доильных аппаратов и их недостатки;

- для устранения выявленного недостатка разработана конструкция доильного аппарата ДА;

- для обоснования параметров доильного аппарата выполнены необходимые технологические расчеты.

Предложения:

- разработать инструкцию по технике безопасности и охране труда по доильному аппарату;

- рассчитать годовую экономическую эффективность от использования доильного аппарата в условиях ТОО «Зеренды Астык»;

4. ОХРАНА ТРУДА

4.1 Организация безопасности и охраны труда в ТОО «Зеренды Астык»

В соответствии с Трудовым кодексом от 01.06.2007г. на предприятиях с численностью работающих свыше 50 человек создается служба охраны труда или вводится должность специалиста по охране труда, имеющего соответствующую подготовку или опыт работы в этой области. Служба охраны труда является самостоятельным структурным подразделением предприятия и создается на каждом предприятии независимо от их организационно-правовых форм и видов собственности.

Служба охраны труда в своей работе руководствуется Трудовым кодексом, законодательными и нормативными актами по безопасности труда и гигиене производственной среды, указами Президента Республики Казахстан, руководящими, директивными, методическими и нормативно-техническими документами Департамента по труду и социальной защите населения Министерства труда и социальной защиты Республики Казахстан, решениями органов государственного надзора, приказами и распоряжениями предприятия.

Служба охраны труда по статусу приравнивается к основным производственным службам, а по вопросам охраны труда решения этой службы являются обязательными для выполнения руководителями и работниками всех подразделений.

Задачи службы охраны труда - это разработка и осуществление комплекса социально-экономических, организационно-технических, санитарно-гигиенических и лечебно-профилактических мероприятий по созданию и обеспечению безопасных и здоровых условий труда на производстве.

Функции службы охраны труда в ТОО «Зеренды Астык»:

- обеспечение разработки, внедрения и эффективного функционирования системы управления охраны труда на предприятии;

- координация работы функциональных и производственных подразделений предприятия в вопросах безопасности труда и взаимодействие с уполномоченными по охране труда профсоюзных организаций и работниками регионального управления охраны труда;

· руководство организацией и проведением аттестаций рабочих мест по условиям труда;

· контроль обеспечения работающих молоком, мылом, смывающими и обеззараживающими средствами, доброкачественными и соответствующими ГОСТам, техническим условиям и условиям производства, спецобувью и другими средствами индивидуальной защиты;

· контролирует организацию их приема, хранения, чистки, стирки, и ремонта;

·   контроль безопасности ведения производственных процессов и работ, техническое состояние и правильность эксплуатации производственного оборудования, зданий и сооружений, бытовых помещений;

·   разработка программы вводного инструктажа рабочих и инженерно-технических работников, проводит вводный инструктаж поступающих на предприятие работников и др.

4.3.1 Расчет вентиляции

Потоки воздуха в животноводческих помещениях создают не одинарную концентрацию вредных газов в различных местах здания. При отсутствии воздушных течений окись углерода и водяные пары, имея относительно малую массу, собираются в верхней зоне помещения, углекислый газ СО и аммиак NН концентрируются над полом и в заглубленных объемах здания. Необходимый воздухообмен рассчитывается по содержанию в воздухе углекислоты, используя нормативные данные [17].

Требуемый воздухообмен определяется по формуле:


где d - количество углекислоты выделенное одним животным, л/м (d=90л/м³);

т - число животных в помещении, ( m=100 голов);

 - содержание СО в приточном воздухе ( = 0.3...0.4 дм³ м³);

 - допустимая норма СОв помещении (= 2.5дм м³).

С учетом регулировки принимаем воздухообмен:


Кратность воздухообмена в животноводческом помещении определяем по формуле:


где V - объем помещения, V= 4752 м³.

При кратности воздухообмена К < 3 выбирают естественную вентиляцию.

При естественной вентиляции воздухообмен происходит вследствие разности температур внутри и снаружи помещения. Воздух в помещении перемещается по каналу снизу вверх.

Рассчитываем сечения воздуховодных каналов.

Общую площадь воздуховодных каналов рассчитываем по формуле:


где v - скорость движения воздуха в канале равная


где h - высота канала, м;

 - температура воздуха внутри помещения, = 20° С;

- температура воздуха вне помещения, =10°С.

Тогда общая площадь воздуховодных каналов будет равна:

Потребное число вентиляционных каналов равно:


где f - сечение одного канала, f = 0.25 м².

Принимаем потребное число вентиляционных каналов равным 10.

С помощью специальных устройств - дефлекторов, усиливаем тягу. Поток ветра, обтекая дефлектор, создает в канале некоторое разряжение. За счет этого скорость движения воздуха по каналу увеличивается.

Диаметр патрубка дефлектора определим из выражения:


где - производительность дефлектора, м³/ч;

- скорость воздуха в трубе дефлектора.

Скорость воздуха в трубе дефлектора будет равна:

vД = (0,2 - 0,4) vв                                                       (2.23)

С учетом того, что скорость воздуха равна vв = 1,5 м/с, то скорость воздуха в трубке дефлектора будет равна vД = 0,2 × 1,5 = 0,5 м/с .

Производительность дефлектора определяется из выражения,м³/ч:

=                                                              (2.24)

где  - заданный воздухообмен, м³/ч;

 - количество дефлекторов, ( = 10).

WД = м3/ч

Диаметр патрубка дефлектора равен:

D = 0,0188 ×  = 0,77 м.

4.3.2 Расчет освещения

Важным фактором поддержания микроклимата в производственных и вспомогательных помещениях является освещение, которое должно соответствовать нормам технологического проектирования ферм крупного рогатого скота.

При проектировании освещения животноводческих помещений учитывают следующие основные требования:

во всех помещениях должно максимально использоваться естественное освещение;

освещение должно соответствовать типу животноводческой фермы.

Естественное освещение

Степень естественного освещения характеризуется отношением площади окон к площади пола, т.е. коэффициентом К.

Значение К=1/10 для помещения с беспривязным содержанием КРС. Площадь окон определим по формуле:


где  - площадь пола в помещении,  = 792 м².

Число окон определяем из выражения:

где f- площадь оконного проема, f= 0.2 м²

Искусственное освещение

При искусственном освещении определяем необходимое количество ламп по их удельной мощности из выражения:


где S - площадь освещаемого помещения, м²;

 - удельная мощность, ( = 2 Вт/м² );

 - мощность одной лампы,(=60Вт).

Учитывая химически активную среду в откормочной ферме крупного рогатого скота, светильники должны быть из материала, противостоящей этой среде или же покрыты защитными материалами с раздельным вводом проводов. Выбираем лампу ПСХ - 60М - УЗ по ТУ 16 535 - 829.

Определяем высоту подвески светильников:


где Н - высота помещения, Н = 4 м;

 - расстояние от светильника до потолка,  = 1,2 м;

 - расстояние от пола до рабочей поверхности,  = 0,2 м.

Равномерность распределения освещения зависит от типа светильника и отношения расстояния между светильниками и высоте подвески светильника над осевой поверхностью.

Похожие работы на - Проект механизации молочной фермы крупного рогатого скота на 200 голов в условиях ТОО 'Зеренды Астык' с разработкой линии доения и конструкции доильного аппарата

 

Не нашли материал для своей работы?
Поможем написать уникальную работу
Без плагиата!
Без нейросетей!