Технология производства яиц

  • Вид работы:
    Реферат
  • Предмет:
    Сельское хозяйство
  • Язык:
    Русский
    ,
    Формат файла:
    MS Word
    165,86 Кб
  • Опубликовано:
    2015-06-01
Вы можете узнать стоимость помощи в написании студенческой работы.
Помощь в написании работы, которую точно примут!

Технология производства яиц

Содержание

Введение

. Основные принципы организации технологического процесса промышленного производства яиц

. Содержание родительского стада кур яичных пород

.1 Напольная система содержания

.2 Клеточная система содержания

.3 Принудительная линька кур родительского стада

. Содержание промышленного стада кур-несушек

.1 Напольная система содержания

.2 Клеточная система содержания

.3 Комплектование промышленного стада кур-несушек

. ГОСТ на пищевые яйца

Заключение

Список литературы

Введение


Продукты птицеводства отличаются высокой питательностью и прекрасными вкусовыми качествами, служат основными источниками диетического и детского питания.

Яйца кур содержат все необходимые для организма человека питательные вещества: полноценные белки, содержащие важные аминокислоты; жиры, богатые фосфолипидами, лецитином; почти все известные витамины; минеральные вещества (макро- и микроэлементы), необходимые для регулирования обмена веществ в организме, особенно у детей. Одно яйцо может обеспечить 4...5 % суточной потребности человека в протеине, липидах и минеральных веществах. Два свежих яйца могут полностью удовлетворить суточную потребность человека в основных витаминах.

 

1. Основные принципы организации технологического процесса промышленного производства яиц


Производством пищевых яиц занимаются птицефабрики яичного направления и птицехозяйства. Существуют птицефабрики с замкнутым циклом производства и птицехозяйства, закупающие молодняк в племзаводах.

Главные звенья технологии производства яиц - цехи (родительского стада, инкубации яиц, выращивания ремонтного молодняка, промышленного стада кур-несушек, сортировки и упаковки яиц, убоя и переработки птицы). К вспомогательным подразделениям относят котельную, кормоцех, транспортное хозяйство и др. Все цехи и службы работают четко по единому технологическому графику.

Технология промышленного производства яиц в специализированных хозяйствах строится с учетом следующих основных принципов:

использование высокопродуктивной птицы;

содержание птицы в клеточных батареях, обеспечивающих механизацию, автоматизацию промышленных процессов и высокую производительность труда;

кормление птицы полнорационными сухими комбикормами;

равномерное круглогодовое производство яиц в соответствии с технологическим графиком, в котором предусмотрено правильное использование всех производственных мощностей.

В основе технологических графиков на современных птицефабриках яичного направления положены рациональные технологические схемы выращивания молодняка и содержания взрослой птицы. Наибольшее распространение получила схема беспересадочного выращивания ремонтного молодняка с переводом в птичники для выращивания взрослой птицы. Согласно этой схеме молодняк переводят в помещение для кур-несушек в 17-недельном возрасте, срок использования птицы составляет 52 нед.

Эта схема более удобна как с биологической, так и с технологической точки зрения. Это объясняется не только тем, что можно применять серийные клеточные батареи по назначению, но и более эффективным использованием птицемест. За один технологический цикл (оборот) использования помещений для кур-несушек (5 нед доращивание, 52 нед эксплуатация несушек, 3 нед профилактический перерыв) в птичнике для молодняка можно вырастить три партии (17 нед выращивание + 3 нед профилактический перерыв). При этом молодняком, выращенным в одном птичнике, комплектуют три птичника для содержания кур-несушек.

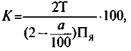
Эффективность использования птицемест на птицефабрике характеризует показатель - посадочный коэффициент (К):


где Т - продолжительность технологического цикла, нед; а - выбраковка птицы с учетом падежа, %; Пя - продолжительность продуктивного использования, нед.

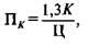
Число птицемест, необходимое для выращивания ремонтных курочек (Пк) на предприятиях различной мощности, можно определить по формуле


где К- посадочный коэффициент, %; Ц -число технологических циклов (оборотов); 1,3 - число суточных курочек, принимаемых для замены одной курицы-несушки.

Мощность птицефабрики характеризуется среднегодовым поголовьем кур-несушек, которое определяют делением общего числа птицедней за год на число календарных дней.

Один из важных показателей работы птицефабрики - оборот поголовья несушек, который определяют отношением числа курочек, переведенных в течение года в группу кур-несушек, к среднегодовому поголовью кур-несушек. Чем больше оборотов, тем больше требуется ремонтного молодняка и помещений для его выращивания. Для сокращения оборота стада необходимо увеличить срок эксплуатации несушек, снизить ежемесячную выбраковку и повысить сохранность поголовья.

На яичных птицефабриках цех промышленного стада кур-несушек основной, в связи с этим планирование движения поголовья начинают именно с него. Основная планируемая единица технологического графика - партия курочек 17-недельного возраста.

 

2. Содержание родительского стада кур яичных пород


Главное назначение родительского стада - бесперебойное обеспечение цеха инкубации необходимым числом высококачественных гибридных яиц. Из гибридных яиц получают ремонтный молодняк, идущий на ремонт промышленного стада кур-несушек.

Для производства гибридных яиц в стаде содержат отобранные на сочетаемость родительские формы (материнские и отцовские). Это могут быть размноженные исходные линии (двухлинейный кросс) или гибриды, полученные от кросса двух исходных линий (трех- или четырехлинейные кроссы). Родительские формы (разделенные по полу суточные цыплята-петушки отцовской формы и курочки материнской формы) завозят из репродукторов I порядка или племзаводов.

Родительское стадо кур содержат на предприятиях-репродукторах и в отдельных случаях на птицефабриках с замкнутым циклом производства. Среднегодовое поголовье кур родительского стада определяется исходя из потребности в инкубационных яйцах.

Размер родительского стада составляет от 8 до 15 % поголовья промышленного стада кур-несушек. Для равномерного производства инкубационных яиц в течение года оптимальным вариантом считается комплектование родительского стада 1 раз в месяц, то есть 12-кратное комплектование. Однако это создает трудности с выращиванием ремонтного молодняка, поэтому в большинстве хозяйств используют 4...6 -кратное комплектование стада, что позволяет вести достаточно равномерное производство яиц в течение года.

При содержании родительского стада кур яичных пород применяют напольную (на подстилке) и клеточную системы.

2.1 Напольная система содержания

несушка стадо яйцо линька

Для напольного содержания кур используют оборудование, которое включает кормораздаточные линии, системы поения, обеспечивающие поддержание микроклимата, насесты, гнезда, линии сбора яиц. Птичник разделен на секции по 1000...2000 кур в каждой. Норма плотности посадки на 1 м2 площади пола составляет 4...5 голов. Фронт поения 3 см/гол, кормления - 10 см/гол. Гнезда устанавливают из расчета 5 кур на одно гнездо. Расход подстилки за период содержания несушек 8... 10 кг/гол.

 

.2 Клеточная система содержания


Родительское стадо яичных кроссов в промышленном птицеводстве содержат в основном в клеточных батареях. Наибольшее распространение получили комплекты клеточного оборудования КБР-2, К-П-1, К-П-9, К-П-15.

Двухъярусная клеточная батарея КБР-2 укомплектована цепным желобковым кормораздатчиком и желобковыми поилками, канатно-скребковым пометоуборщиком. Размеры одной клетки, мм: длина 2700, ширина 910, высота 650...700. В клетку рекомендуется сажать 33 головы (30 кур и 3 петуха).

Комплект К-П-15 укомплектован такими же клетками.

В клеточном оборудовании К-П-9 размеры одной клетки составляют, мм: длина 3600, ширина 653, высота 580...700. Норма посадки 34...35 голов в одной клетке.

Цех родительского стада кур яичных пород укомплектовывают ремонтным молодняком в 105... 119-дневном возрасте (разница в возрасте не более 5 дней). Продолжительность этого процесса не должна превышать 5 дней. В данном возрасте, как правило, молодняк достигает половой зрелости. Пересадку проводят до наступления яйцекладки. Петухов рекомендуется помещать в клетки на 2 дня раньше кур, чтобы установить их доминирующее положение над курами. Половое соотношение должно быть 1 :(9...П). Нормы плотности посадки родительского стада при содержании взрослой птицы в клетках клеточной батареи следующие, см2 на 1 голову: куры яичных кроссов с белой окраской скорлупы яиц - 600, с коричневой окраской скорлупы - 680...720. Клетки желательно оборудовать гнездами, насестами и кормушками для подкормки петухов.

 

.3 Принудительная линька кур родительского стада


Родительское стадо кур яичных пород используют в течение 52 нед продуктивности (когда яйценоскость снижается до 30 %). После этого кур или выбраковывают, или применяют принудительную (искусственную) линьку. Принудительная линька позволяет получить от кур второй цикл продуктивности. Принудительную линьку у кур вызывают после первого периода цикла продуктивности, когда яйценоскость по стаду снижается до 40...50 %.

Суть принудительной линьки заключается в воздействии на птицу каких-либо стресс-факторов, вызывающих линьку. Существуют зоотехнические, химические и гормональные способы, вызывающие принудительную линьку. Наиболее распространен зоотехнический способ, когда резко изменяют режимы кормления, поения и световой. Уже через 2 нед после применения данного способа яйцекладка у кур прекращается полностью. Продолжительность принудительной линьки 10 нед. Перелинявшей считается несушка, полностью сменившая оперение и восстановившая нормальную величину и окраску гребня. Такие куры называются переярыми. К 50...55-му дню яйценоскость этих кур снова достигает высокого уровня (60...70 %) и сохраняется на протяжении 5...6мес, затем постепенно в течение последующих 2...3 мес снижается до 50 %, то есть второй период продуктивности у кур продолжается не менее 6 мес. С помощью принудительной линьки можно увеличить срок использования родительского стада, исключить затраты на выращивание ремонтного молодняка. После принудительной линьки кур, то есть во второй продуктивный период, яйценоскость кур снижается, но пригодность яиц к инкубации возрастает. Куры после линьки несут более крупные яйца.

За период проведения принудительной линьки предусматривается падеж и выбраковка несушек в пределах 3,7...4 %.

Петушков искусственной линьке, как правило, не подвергают; их на этот период отсаживают от кур.

К перелинявшим курам подсаживают молодых петухов в возрасте 6...7 мес за 2...3 нед до сбора яиц на инкубацию.

 

3. Содержание промышленного стада кур-несушек


При содержании промышленного стада кур-несушек применяют напольную (на подстилке, сетчатых полах) и клеточную (в клетках) системы.

 

.1 Напольная система содержания


При напольном содержании птицы (рис. 1) используют глубокую несменяемую или периодически сменяемую подстилку.

Рис. 1. Напольная система содержания кур яичных пород

В качестве подстилочного материала используют торф, солому, опилки, стружку, мякину, подсолнечную лузгу, измельченные стержни початков кукурузы, песок. От качества подстилки существенно зависят условия содержания птицы. В результате биохимических процессов, происходящих в глубокой подстилке, она нагревается до 30 °С и в зоне нахождения птицы создается определенная температура. Кроме того, в толще подстилки образуется витамин В12, гибнут возбудители некоторых инфекционных заболеваний (вследствие образования кислой среды), задерживается гнилостное разложение помета. Лучшим подстилочным материалом считается верховой сфагновый торф, обладающий большой влаго- и газопоглотительной способностью.

Подстилку можно засыпать сразу (толщиной 25...30 см) на весь период содержания птицы или периодически (сначала слоем 5...7 см, затем по мере увлажнения и загрязнения через 10... 12 дней добавлять свежую). В летний период толщина подстилки не должна превышать 10... 12 см. Расход подстилки на период содержания кур составляет 8 кг на 1 голову в год.

Другой вариант напольного способа содержания птицы - содержание на сетчатых или планчатых полах, что позволяет увеличить плотность посадки птицы на 10... 15 % по сравнению с содержанием на глубокой подстилке. Наиболее целесообразно для этого использовать типовые широкогабаритные птичники (12 х 96 м и 18 х 96 м). По центру птичника, примерно на 1/3 его ширины, устанавливают пометный короб, на котором смонтированы насесты, механизированные линии кормораздачи и поения. Под насестами натягивают редкую сетку из проволоки. Гнезда для кур-несушек располагают над пометным коробом, а между гнездами устанавливают ленточный транспортер для сбора яиц. Помет из короба ежедневно удаляют скрепером.

 

.2 Клеточная система содержания


Эта система (рис. 2). является основой современного промышленного производства яиц, при которой птица проявляет максимальную продуктивность при минимальных затратах труда и средств в условиях регулируемого микроклимата, комплексной механизации и автоматизации трудоемких процессов.

Особенности клеточного содержания птицы - ограничение подвижности, повышенная плотность посадки, относительное постоянство факторов внешней среды.

Рис. 2. Клеточная система содержания кур яичных пород

Преимущества клеточного содержания птицы по сравнению с напольным: куры размещаются малыми группами или индивидуально, что способствует лучшему сохранению и своевременному удалению слабых и низкопродуктивных особей; на одной и той же площади можно содержать в 3...4 раза больше птицы, то есть на столько же увеличивается вместимость помещений; облегчаются механизация и автоматизация производственных процессов, в 1,8...2 раза повышается производительность труда; птица меньше двигается и на 10... 15% меньше расходует корма на получение продукции; снижается себестоимость производства продукции; не используется подстилочный материал (уменьшается возможность заражения птицы через помет); в результате концентрации поголовья сокращается протяженность всех коммуникаций, что позволяет создать более комфортный микроклимат в помещении, повысить культуру производства, улучшить условия труда обслуживающего персонала.

На производстве применяют батареи одноярусные ОБН или ЕКТ, двухярусные ККТ и АПЛ-2Г, трехярусные БКН-3 (полуступенчатые) и многоярусные КБН и КБН-Б. Наиболее распространены комплекты оборудования с клеточными батареями КБН-1, КБН-Ф-4, БКН-3, БКН-ЗА, К-П-12Л, К-П-12ЛМ.

В двухрядных четырехъярусных клеточных батареях КБН-1, КБН-Ф-4 процесс раздачи кормов механизирован - используется навесной бункер-кормораздатчик. Поение осуществляется из желобковых поилок, помет убирают с помощью канатно-скреперных установок. Сбор яиц осуществляется одновременно с раздачей корма с помощью продольных ленточных транспортеров. Размеры клетки, мм: длина 700, ширина 455, высота 400. Плотность посадки до 19 голов на 1 м2 площади пола птичника. В клеточной батарее КБН-1 в каждую клетку сажают по 7 голов.

Клеточная батарея БКН-3 для. кур собрана на каркасе, к которому прикреплены кормораздатчики, детали механизмов сбора яиц и элементы системы водоснабжения. На каркасе в три яруса расположены клетки. Над клетками первого и второго ярусов размещены наклонные металлические настилы с продольным проемом для сбора помета, который перемещается скребками и сбрасывается в траншею, откуда убирается в торец птичника скребковой установкой. Из клеток первого яруса помет падает в траншею через подножные решетки.

На торцах каркаса крепят переднюю и заднюю стенки. На передней установлены элеватор системы сбора яиц, приводы системы раздачи корма, уборки помета, кормовой бункер-дозатор, шкаф управления всеми механизмами батареи. Длина батареи 88,8 м, вместимость 5640 кур-несушек. В типовом птичнике шириной 12 м устанавливают 4 батареи, а шириной 18 м - 6 батарей.

Пол в клетке выполнен с наклоном 5...6° на внешнюю сторону. Снесенное яйцо выкатывается из клетки в желоб. В каждой клетке размещается по 5 кур из расчета 24,7 головы на 1 м2 пола клетки и 20,4 головы на 1 м2 пола птичника.

Клеточные батареи БКН-ЗА модернизированы. В комплекты оборудования с батареями поставляются электромагнитные клапаны для внедрения прерывистых режимов кормления, усовершенствованные бункера-дозаторы корма, поворотные блоки в транспортерах для сбора яиц и кормораздатчиках. Плотность посадки - 25 голов на 1 м2 пола клетки.

При содержании взрослой птицы в клетках наиболее оптимальный тип кормораздатчика - бункерный со шнеками-питателями. Данный тип кормораздатчика позволяет дозировать раздачу кормов в зависимости от возраста и уровня продуктивности птицы по всей длине кормушки.

Использование желобковых поилок в клеточных батареях, как правило, способствует излишнему расходу воды и проблемам, связанным с ее утилизацией. К тому же часть воды из-за неправильного регулирования уровня наклона проточных поилок может попадать в кормушки с кормом, что приводит к его закисанию. В связи с этим для поения птицы целесообразно использовать ниппельные поилки. Это позволяет экономить воду, снизить расход воды и к тому же продлить срок эксплуатации клеточных батарей из-за коррозии металла самой поилки и стоек батарей.

Одна из самых трудоемких операций в технологическом процессе - удаление помета. Наиболее эффективна и перспективна система удаления помета с помощью ленточных транспортеров, установленных на каждом ярусе клеточной батареи. Использование данной системы позволяет снизить затраты электроэнергии, продлить срок технологического оборудования и улучшить микроклимат в помещении. При данной системе помет удаляют 1 раз в 3 дня; за это время он подсыхает до влажности 30...50 %.

3.3 Комплектование промышленного стада кур-несушек

Стадо кур-несушек комплектуют многократно по графику птицефабрики через определенные промежутки времени. Это позволяет равномерно в течение года производить товарные яйца. Для крупных птицефабрик оптимально 12-кратное комплектование.

Комплектуют промышленное стадо кур-несушек одновозрастным молодняком, хорошо развитым, выравненным по живой массе, полученным от высокопродуктивных кроссов. Птичник заполняют в кратчайший срок - в течение 5 дней. Ремонтных курочек следует переводить в птичник для кур-несушек до начала яйценоскости в возрасте 105... 110 дней, но не позднее 120 дней. В возрасте 150 дней молодняк переводят в группу взрослых кур (птица остается в этом помещении).

Кур яичных кроссов промышленного стада с белой и коричневой окраской скорлупы яиц используют в течение 52 нед продуктивности.

Плотность посадки в клетках для кур яичных кроссов с белой окраской скорлупы яиц должна быть 400...450 см2/гол., с коричневой окраской- 600...675 см2/гол. Переуплотнение птицы приводит к возникновению драк, падежу и выбраковке, увеличению боя и насечки яиц, а также снижению яйценоскости.

Фронт кормления для кур в расчете на 1 голову должен составлять не менее 7 см, а при ограниченном кормлении не менее 10 см. Фронт поения при использовании желобковых поилок не менее 2 см на 1 голову, ниппельных и микрочашечных поилок - один ниппель или одна микрочашка на 4...5 голов.

 

4. ГОСТ на пищевые яйца


ГОСТ на пищевые яйца имеет большое значение в повышении товарных качеств яиц (табл. 1, 2).

Таблица 1. ГОСТ Р 52121-2003 «Яйца пищевые куриные»

Сорт

Обозначение

Срок хранения яиц, сут.

Высота возд. камеры, не более, мм

Диетические

Д

1-7

4

Столовые

С

8-25

7

Холодильниковые

с

не более 90

9


Таблица 2. Товарные качества пищевых яиц

Категория

Масса 1 яйца, г

Масса 360 яиц, кг, не менее

Высшая В

75 и более

27

Отборная О

65-74,9

23,4-26,9

Первая 1

55-64,9

19,8-23,39

Вторая 2

45-54,9

16,2-19,79

Третья 3

35-4,9

12,6-16,19


Пример обозначения на этикетке: ДВ или С1.

Сейчас птицефабрики предпочитают реализовывать яйца в основном как столовые. Цена столовых и диетических яиц на рынке одинаковая.

Заключение


Повышения эффективности птицеводства необходимо добиваться за счет интенсификации отрасли.

Увеличение производства продукции птицеводства прежде всего должно идти за счет роста продуктивности птицы (яйценоскости, среднесуточных приростов молодняка).

Важным фактором повышения эффективности птицеводства является правильное формирование родительского стада птицы, с тем, чтобы продукция поступала равномерно в течение года. Кроме того, родительское стадо должно быть оптимального размера, что позволяет получать необходимое количество продукции (товарных, инкубационных яиц, бройлеров для откорма, молодняка для воспроизводства основного стада) с наименьшими затратами.

Список литературы


1.      Кочиш И.И., Петраш М.Г., Смирнов С.Б. Птицеводство. - М.: «КолосС», 2003. -408 с.

.        Мурусидзе Д. Н., Легеза В. Н., Филонов Р. Ф. Технология производства продукции животноводства. - М.: КолосС, 2005. - 432 с: ил.

.        Промышленное птицеводство / Ф.Ф. Алексеев, М.А. Асриян, Н.Б. Бельченко и др.; Сост.: В.И. Фисинин, Г.А. Тардатьян. - М.: Агропромиздат, 1991. - 544 с.

.        Ресурсосберегающая технология производства яиц: Методические рекомнедации / В.И. Фисинин, А.Ш. Кавтарашвили, И.А. Егоров и др.; Под общ. редакцией В.И. Фисинина и А.Ш. Кавтарашвили. - Сергиев Посад, 2004. - 110 с.

.        Штеле АЛ. Куриное яйцо: вчера, сегодня, завтра. - М.: Агробизнесцентр, 2004. - 196 с.

Похожие работы на - Технология производства яиц

 

Не нашли материал для своей работы?
Поможем написать уникальную работу
Без плагиата!
Без нейросетей!