Разработка технологического процесса изготовления трёхслойной втулки
Содержание
Аннотация
Введение
1.
Характеристика изделия и условия его работы. Основные методы и способы
производства трехслойной втулки
. Остаточные
напряжения в магниево-алюминиевых композитах
3.
Проектировка детали
4.
Характеристика материалов
4.1 Алюминиевые
сплавы АМг6 и АД1
4.2.
Магниевый деформируемый сплав МА20
5. Карта
раскроя
6. Маршрутная
карта
7.
Оборудование
7.1
Автоматический отрезной станок HVS-400-FADR
.2 Фрезерный
станок модели 6652
.3
Дефектоскоп ДУК-13ИМ
.4
Листоправильная машина UBR 40x3150
.5
Токарно-винторезный станок Jet GH-1840 ZX DRO
7.6.
Электрическая камерная печь НКО 8.10.8/7
8. Расчет
параметров сварки взрывом
9. Планировка
участка
Заключение
Список
использованных источников
Аннотация
Задачей данного курсового проекта является разработка технологии
изготовления трехслойной втулки, состоящей из материалов: Амг 6, АД 1 и МА20.
В проекте рассматриваются характеристика изделия, условия его работы и
свойства материалов из которых оно изготовлено, рассматриваются режимы сварки
взрывом, выбирается оборудование для производства заготовок, а также
проектируется цех для изготовления деталей.
Введение
На современном этапе развития материаловедения значительное внимание
уделяется вопросам создания, изучения и использования композиционных материалов
(КМ) с повышенными физико-механическими и эксплуатационными свойствами, потому
что традиционные металлы и сплавы не обладают такими свойствами.
Важное место в данной области занимают металлические слоистые
композиционные материалы (СКМ) полученные сваркой взрывом.
Применение металлических композиционных материалов позволяет существенно
повысить эффективность производства широкого класса деталей и оборудования для
предприятий химического, нефтяного, сельскохозяйственного, транспортного,
энергетического и других отраслей машиностроения.
Потребителями таких материалов являются также приборостроение и
радиоэлектроника, инструментальная промышленность, предприятия, производящие
товары культурно-бытового и хозяйственного назначения.
1. Характеристика изделия и условия его работы. Основные методы и способы
производства трехслойной втулки
Основное преимущество металлического магния - его легкость (магний-самый
легкий из конструкционных металлов). Технически чистый магний обладает невысокой
механической прочностью, однако введение в него в небольшом количестве других
элементов (алюминия, цинка, марганца) значительно улучшает его механические
свойства почти без увеличения удельного веса. Магниевые сплавы превосходят
сталь и алюминий по удельной жесткости и поэтому применяются для изготовления
деталей, подвергающихся изгибающим нагрузкам (продольным и поперечным).
Методы сварки плавлением непригодны для соединения магния с алюминием
из-за образования между ними хрупких интерметаллидов и химических соединений
типа MgnMem, не обладающих металлическими свойствами и
делающих конструкцию неработоспособной.
Проблема создания прочно-плотных магниево-алюминиевых плоских плит
толщиной 20-40 мм, предназначенных для выточки цилиндрических переходников разнородных
конструкций новой техники (трубопроводы, термокомпенсаторы, баллоны и т.п.).
Эта задача была решена исследователями, которые предложили 2 типа композитов.
Одним из них является трехслойная композиция, исследуемая в моей работе,
АМг6-АД1-МА20 - для работы при температурах от -196 до +100°С, требующая при
дуговой сварке устранения перегрева границы АД1- МА20 [2].
Трехслойная композиция может применяться в сварных разнородных
конструкциях, в частности в качестве переходников, непосредственно после сварки
взрывом без промежуточных нагревов при допустимых температурах 100°С, поскольку
последние, по существу, не изменяют первоначально возникшее поле остаточных
напряжений, а нагрев до более высоких температур является недопустимым из-за
падения прочности соединения АД1+МА20.
Технологии сварки взрывом заключается в плакировании отожженного
магниевого сплава МА20 алюминием АД1 и приварке к последнему пластин из сплавов
АМг6. Одновременная сварка из-за высокой кинетической энергии W приводит к
образованию микротрещин и хрупких расплавов на границе АД1-МА20 в трехслойной
композиции. Предварительный отжиг сплавов магния при температуре 450оС
устранял его структурную неоднородность и повышал пластичность (твердость
понижалась до 0,50 - 0,55 ГПа по сравнению с 0,70 - 0,78 ГПа в состоянии
поставки) [2].
2. Остаточные напряжения в магниево-алюминиевых композитах
Остаточные напряжения были исследованы в композициях, состав которых
приведен в таблице 1. Сварку взрывом во всех случаях производили на оптимальных
режимах, обеспечивающих разрушение образцов при испытаниях на отрыв слоев по
наиболее слабому основному металлу композиции. Остаточные напряжения определяли
механическим методом на призматических образцах размерами 25х60 мм [2].
Таблица 1
Состав и состояние исследованных композиций
|
Опыт
|
Состав композиции
|
Состояние, в котором
исследовались остаточные напряжения
|
|
1
|
АД1-МА20
|
После сварки взрывом (СВ)
|
|
2
|
АД1-МА20
|
СВ и нагрев 100 °С в
течении 1 ч
|
|
3
|
АМг6-АД1-МА20
|
СВ АМгб с заготовкой из
опыта 1
|
|
4
|
АМг6-АД1-МА20
|
СВ АМгб с заготовкой из
опыта 2
|
|
5
|
АМг6-АД1-МА20
|
СВ и нагрев 300 °С в
течении 1 ч
|
Распределение напряжений в биметалле МА20-АД1 после сварки взрывом и его
нагрева в течении часа до 100°С практически одинаково (рисунок 1). В
околошовных зонах возникли высокие напряжения растяжения (σmax=100-115 МПа), которые при удалении
от границы раздела резко убывают и меняют знак. В слое АД 1 действуют
остаточные напряжения сжатия величиной до 80-90 МПа, а в большей части
магниевого слоя - до 10 МПа, которые вблизи свободной поверхности МА20
переходят в растягивающие.
а) б)
Рисунок 1 - Эпюра остаточных напряжений в композиции АД 1 сварки взрывом
(а) и последующего нагрева в течение 1 часа (б).
Последующая приварка АМг6 к композициям АД1+ МА20 со стороны АД1 привела
к появлению в трехслойных соединениях (рисунке 2) новых, близких (опыт 3 и 4)
по характеру распределения полей остаточных напряжений. Вследствие
термопластических деформаций в зоне соединения образовались остаточные напряжения
растяжения с пиковым значением вблизи границы АМг6+ АД1 до 130-160 МПа. Большее
тепловыделение при сварке на границе АМг6 - АД1 по сравнению с границей АМг 6+
МА20 вызвало образование общей зоны растягивающих напряжений в значительной
части слоев АМг6 и АД1. С приближением к свободной поверхности напряжения в
АМг6 меняют знак и на свободной поверхности достигают 80-100 МПа. В АД1
действуют напряжения растяжения и лишь на границе с МА20 переходят в напряжения
сжатия. В МА20 остаточные напряжения не превышают 50 МПа и трижды меняют знак
[2].
Нагрев композиции АМг6+АД1 + МА20 до 300°С с выдержкой в течении 1 часа
(опыт 5) привел к образованию на границе раздела интерметаллидной прослойки,
снизил прочность соединения до 20-30 МПа и вызвал полное перераспределение
остаточных напряжений (рисунок 3). Новое поле напряжений с их резким скачком
вблизи границы раздела возникло вследствие различия в коэффициентах линейного
расширения магния и алюминия. При этом в слое МА20 (а = 27,9х10-6
град-1) действуют напряжения растяжения, а в слое алюминия (а =
25,4х10-6 град-1) - напряжения сжатия. Их максимальные
значения достигают 55 МПа [3].
а) б)
Рисунок 2 - Эпюра остаточных напряжений в композиции АМг6+АД1+МА20 после
сварки взрывом без промежуточного нагрева (а) и с промежуточным нагревом до 100оС
перед приваркой слоя АМг 6 (б)
Рисунок 3 - Эпюра остаточных напряжений в композиции АМг6+АД1+МА20 после
сварки взрывом и последующего нагрева до 300 оС.
Таким образом, трехслойная композиция алюминиевый сплав АМг6 - алюминий
АД1 - магниевый сплав МА20 может применяться в сварных разнородных
конструкциях, в частности в качестве переходников, непосредственно после сварки
взрывом без промежуточных нагревов при допустимых температурах 100°С, поскольку
последние, по существу, не изменяют первоначально возникшее поле остаточных
напряжений, а нагрев до более высоких температур является недопустимым из-за
падения прочности соединения АД1+МА20.
Для повышения работоспособности магниево-алюминиевой композиции
целесообразно вводить между слоями АМг6 и МА20 биметаллическую прослойку
ВТ1-0-АД1, которая за счет титана, имеющего наименьший температурный
коэффициент линейного расширения, обеспечивает после отпуска при 300°С наиболее
благоприятное распределение остаточных напряжений при сохранении прочности
композиционного соединения [4].
3. Проектировка детали
Трехслойная втулка изготавливается методом сварки взрывом из листовых
заготовок металлов Амг6, АД 1 и МА 20.
Листовой прокат из Амг6 и АД1. Плиты изготовляют в соответствии с
требованиями стандарта [5]. АД1 с химическим составом по [7]; для алюминиевого
сплава марок: Амг6 с химическим составом по [7]. Плиты толщиной более 60 мм
изготовляют прокаткой из целого слитка без разрезки на мерные длины и без
обрезки концов. Длина плит не нормируется. Плиты изготовляют без
термообработки. Плиты изготовляют без обрезки боковых кромок. На кромках и на
концах, выходящих за номинальные размеры плит, допускаются вмятины, забоины, трещины
и другие дефекты, обусловленные способом производства. Поверхность плит должна
быть без трещин, расслоений, пятен коррозионного происхождения, диффузионных
пятен (на плитах с нормальной плакировкой), шлаковых включений и обнаженных от
плакировки участков (на плитах с нормальной плакировкой).
Рисунок 4 - Трехслойная втулка
Допуски на внутренний диаметр и внешний равны F8 и f8
соответственно. В виду того, что деталь планируется применять как переходник
при сварке разнородных труб, то деталь можно отнести к 5му классу
шероховатости, Ra не
задаётся, задаётся только высота неровностей Rz=20-10мкм
Листовой прокат из сплава МА20. Плиты изготовляют в соответствии с
требованиями стандарта [7] по технологической документации, утвержденной в
установленном порядке, из магниевого сплава МА20 с химическим составом по [8].
Плиты толщиной до 32 мм изготовляются с обрезанными кромками и торцами, без
заусенцев. Поверхность плит должна быть подвергнута антикоррозионной обработке.
Поверхность плит должна быть без плен, трещин, рванин, расслоений, а также
шлаковых флюсовых включений и железной окалины.
На поверхности плит допускаются надрывы, задиры, царапины, вмятины и
выпуклости, риски, рябизна и единичные металлические и неметаллические
включения в виде точек, если глубина их залегания, определяемая контрольной
зачисткой, не превышает нижнего предельного отклонения по толщине.
4. Характеристика материалов
.1 Алюминиевые сплавы АМг6 и АД1
Алюминий не имеет полиморфных превращений, обладает решеткой
гранецентрированного куба с периодом а =0,4041 нм. Атомный номер алюминия 13,
атомная масса 26,9815, температура плавления 660°С, температура кипения 2270°С,
плотность 2,7 т/мЗ, модуль упругости 71 ГПа, удельное
электросопротивление p1 = 2,6-108 Ом-м,
коэффициент линейного расширения в интервале температур 20-100°С составляет а =
23,9 -10 -6 °С-1.
Алюминий и его сплавы хорошо поддаются горячей и холодной деформации -
прокатке, ковке, прессованию, волочению, гибке, листовой штамповке и другим
операциям.
Все алюминиевые сплавы можно соединять точечной сваркой, а специальные
сплавы можно сваривать плавлением и другими видами сварки.
Деформируемые алюминиевые сплавы разделяются на упрочняемые и
неупрочняемые термической обработкой. Все свойства сплавов определяют не только
способом получения полуфабриката заготовки и термической обработкой, но главным
образом химическим составом и особенно природой фаз - упрочнителей каждого
сплава.
Свойства стареющих алюминиевых сплавов зависят от видов старения:
зонного, фазового или коагуляционного.
На стадии коагуляционного старения значительно повышается коррозионная
стойкость, причем обеспечивается наиболее оптимальное сочетание характеристик
прочности, сопротивления коррозии под напряжением, расслаивающей коррозии,
вязкости разрушения (K1C) и пластичности (особенно в высотном
направлении).
Химический состав, физические и механические свойства деформируемых
сплавов на основе алюминия приведены в табл. 1-6. Для массивных полуфабрикатов
основными характеристиками разрушения при однократном нагружении являются
характеристики К1С и КСТ [5].
Коррозионно-стойкие сплавы на основе систем А1-Мn и Al-Mg. Сплавы типа АМц, АМг2, АМг6 не
упрочняются термической обработкой. Они отличаются высокой пластичностью,
хорошей свариваемостью и высокой коррозионной стойкостью. Обрабатываемость
резанием улучшается с увеличением степени легированности сплавов. Сплавы
используются в отожженном, нагартованном и полунагартованном состояниях.
Применяются для изделий, получаемых глубокой вытяжкой, сваркой, от
которых требуется высокая коррозионная стойкость (трубопроводы для масла и
бензина, радиаторы тракторов и автомобилей, сварные бензобаки), а также для
заклепок, корпусов и мачт судов, узлов лифтов и подъемных кранов, рам транспортных
средств и др. [5].
Сплавы системы Al-Cu-Mg. Дуралюмины Д1, Д16, Д18, Д19, ВД17 упрочняются термической
обработкой; характеризуются хорошим сочетанием прочности и пластичности.
Применяются: Д1 - для лопастей воздушных винтов, узлов креплений,
строительных конструкций и др.; Д16 - для силовых элементов конструкций
самолетов (тяги управлений, лонжероны), кузовов грузовых автомобилей, буровых
труб и др.; Д19 - для тех же деталей, что и из сплава Д16, но работающих при
нагреве до 200-250°С; В65, Д18- для заклепок; ВД17 - для лопаток компрессора
двигателей, работающих при температуре до 250°С. Дуралюмины хорошо свариваются
точечной сваркой и практически не свариваются плавлением из-за высокой
склонности к трещинообразованию.
Сплавы Д1, Д16 в искусственно состаренном состоянии имеют улучшенную
коррозионную стойкость, которая не снижается при повышенных температурах
эксплуатации деталей, и более высокие значения σ0,2 и σв.
Появление склонности к межкристаллитной коррозии у закаленных и
естественно состаренных сплавов системы Al-Cu-Mg при нагреве зависит от их фазового
состава. Сплавы Д19, ВД17 менее склонны к межкристаллитной коррозии после
нагрева, чем сплавы В65, Д18, Д1 и Д16.
Плакированные полуфабрикаты обладают повышенной коррозионной стойкостью.
Неплакированные детали следует защищать анодно-окисными, химическими и
лакокрасочными покрытиями.
Все дуралюмины удовлетворительно обрабатываются резанием в закаленном и
состаренном состояниях [6].
Таблица 1
Механические свойства деформируемых сплавов при высоких температурах [5]
|
Сплав
|
Полуфабрикат,
|
t испытания, °С
|
σв
|
σ0,2
|
δ
|
ψ
|
|
Толщина
|
|
МПа
|
%
|
|
АМц
|
Лист отожженный,
|
20
|
100
|
-
|
30
|
-
|
|
30 мм
|
100
|
95
|
-
|
35
|
-
|
|
|
200
|
70
|
-
|
41
|
-
|
|
|
300
|
45
|
-
|
45
|
-
|
|
АМг6
|
Лист, 30мм:
|
20
|
350
|
165
|
22
|
-
|
|
Отожженный
|
100
|
320
|
160
|
34
|
-
|
|
|
200
|
195
|
135
|
45
|
-
|
|
|
300
|
130
|
60
|
55
|
-
|
|
|
20
|
385
|
290
|
11
|
-
|
|
нагартованный
|
100
|
335
|
285
|
15
|
-
|
|
|
200
|
250
|
185
|
25
|
-
|
|
Профиль (все размеры)
|
20
|
350
|
180
|
18
|
-
|
|
отожженный и без
|
100
|
310
|
160
|
20
|
-
|
|
термической обработки
|
200
|
200
|
140
|
30
|
-
|
|
|
250
|
170
|
120
|
35
|
-
|
Таблица 2
Химический состав (в %) деформируемых сплавов [7]
|
сплав
|
Аl
|
Си
|
Mg
|
Мп
|
Ni
|
Fe
|
Si
|
Zn
|
Ti
|
Сг
|
Zr
|
Be
|
Прочие примеси
|
|
|
|
|
|
|
|
|
|
|
|
|
|
Каждая в отдельности
|
сумма
|
|
АД1
|
Не менее 99,3
|
До 0,05
|
До 0,05
|
До 0,025
|
-
|
До 0,3
|
До 0,3
|
До 0,1
|
До 0,15
|
-
|
-
|
-
|
0,02
|
-
|
|
АМгб
|
Основа
|
До 0,1
|
5,8-6,8
|
0,5-0,8
|
-
|
До 0,4
|
До 0,4
|
До 0,2
|
0,02-0,10
|
-
|
-
|
0,0002-0,005
|
0,05
|
0,1
|
Таблица 3
Физические свойства деформируемых сплавов [5]
|
сплав
|
ρ, т/м3
|
ρ1·108, Ом·м, при 20°С в зависимости от состояния
полуфабриката
|
α·106, °С -1
|
λ, Вт/(м·°С)
|
с, кДж/(кг·°С)
|
|
|
|
при температуре °С
|
|
|
|
20-100
|
20-400
|
100
|
400
|
100
|
400
|
|
АД1
|
2,71
|
М-2,92 Н-3,02
|
24 -
|
25,6 -
|
М - 226 Н - 216
|
- -
|
- -
|
- -
|
|
АМг6
|
2,64
|
М-6,73
|
24,7
|
27,4
|
122
|
138
|
0,922
|
1,09
|
Таблица 4
Механические свойства деформируемых сплавов при температуре 20 °С[7]
|
Марка сплава
|
Вид полуфабриката
|
Состояние испытуемых
образцов
|
Толщина или диаметр, мм
|
Е
|
G
|
σ -1на базе 2·107 циклов
|
σв
|
σ0,2
|
σпц
|
δ
|
ψ
|
σсж
|
КС, и
|
КС, т
|
|
|
|
|
ГПа
|
МПа
|
%
|
МПа
|
МДж/м2
|
|
АД1
|
Лист
|
Отожженный
|
20
|
71
|
27
|
-
|
80
|
40
|
-
|
35
|
80
|
-
|
-
|
-
|
|
Пруток
|
Без термической обработки
|
20
|
-
|
-
|
-
|
150
|
100
|
-
|
6
|
60
|
-
|
-
|
-
|
|
АМг6
|
Лист плакированный
|
Отожженный
|
30
|
71
|
27
|
100
|
340
|
170
|
130
|
20
|
-
|
180
|
-
|
-
|
|
|
Нагартованный 20%
|
-
|
-
|
-
|
-
|
400
|
300
|
230
|
9
|
320
|
-
|
-
|
|
|
То же 30%
|
-
|
-
|
-
|
-
|
420
|
320
|
-
|
10
|
-
|
330
|
-
|
-
|
|
Плита
|
Нагартованная 16%
|
30
|
71
|
27
|
-
|
400
|
310
|
240
|
7
|
-
|
320
|
0,2
|
0,09
|
|
Профиль горяче-катанный
|
Отожженный
|
6
|
-
|
-
|
-
|
345
|
170
|
100
|
20,5
|
-
|
170
|
0,2
|
0,17
|
|
|
Без термической обработки
|
6 До 2500 кг
|
-
|
-
|
-
|
355
|
190
|
-
|
19,5
|
-
|
190
|
-
|
-
|
|
Поковка
|
Отожженная
|
|
-
|
-
|
-
|
300
|
150
|
-
|
14
|
-
|
-
|
-
|
-
|
Таблица 5
Механические свойства деформируемых сплавов при низких температурах [5]
|
Сплав
|
Полуфабрикат, толщина
|
t испытания, °С
|
σв
|
σ0,2
|
δ
|
ψ
|
|
|
|
МПа
|
%
|
|
АД1
|
Пруток без термической
обработки, 20 мм
|
20
|
60
|
40
|
35
|
-
|
|
|
-70
|
105
|
45
|
45
|
-
|
|
|
-196
|
160
|
50
|
50
|
-
|
|
АМг6
|
Лист отожженный, 2,5 мм
|
20
|
365
|
160
|
22
|
-
|
|
|
-196
|
470
|
185
|
24
|
-
|
|
Плита, 30 мм:
нагартованная, 18% в продольном направлении
|
|
|
|
|
|
|
|
20
|
395
|
345
|
10
|
22
|
|
|
-196
|
505
|
380
|
12
|
32,5
|
|
|
20
|
405
|
330
|
9,5
|
14,5
|
|
Полунагартованная с
повышенным качеством выкатки
|
-196
|
515
|
350
|
16,5
|
16
|
|
|
20
|
315
|
280
|
3,5
|
5
|
|
|
-196
|
360
|
325
|
1,5
|
2
|
|
|
|
|
|
|
|
|
Профиль отожженный и без
термической обработки, все размеры
|
20
|
350
|
180
|
18
|
-
|
|
|
-70
|
360
|
-
|
22
|
-
|
|
|
-196
|
510
|
-
|
31
|
-
|
Таблица 6
Длительная прочность и ползучесть деформируемых сплавов[5]
|
Сплав
|
Полуфабрикаты, толщина или
диаметр
|
T испытания, °С
|
σ10
|
σ100
|
σ1000
|
σ10000
|
σ0,2/10
|
σ0.2/100
|
σ0.2/1000
|
|
|
|
МПа
|
|
АМг6
|
Плита отожженный, 30 мм
|
20
|
-
|
-
|
300
|
280
|
-
|
155
|
150
|
|
|
50
|
-
|
290
|
250
|
230
|
-
|
150
|
145
|
|
|
100
|
-
|
220
|
180
|
120
|
-
|
130
|
110
|
|
|
150
|
-
|
140
|
100
|
-
|
-
|
60
|
20
|
|
|
200
|
-
|
70
|
45
|
-
|
-
|
-
|
-
|
|
|
250
|
-
|
35
|
25
|
-
|
-
|
-
|
-
|
.2 Магниевый деформируемый сплав МА20
Сплав МА20(магниевый деформируемый сплав) применяют для изготовления
полуфабрикатов методом горячей деформации, а также для производства сварных
деталей сложной геометрической формы, длительно работающих до температуры
+150°С и кратковременно - до +200°С.
Таблица 7
Химический состав сплава МА20 в % [8].
|
Fe
|
Si
|
Mn
|
Ni
|
Al
|
Cu
|
Be
|
Mg
|
Zn
|
Примесей
|
|
до 0.05
|
до 0.1
|
0.15-0.5
|
до 0.005
|
3-4
|
до 0.05
|
до 0.02
|
94.4-97.65
|
0.2-0.8
|
всего 0.3
|
Сплав относится к системе Mg-Zn-Zr, то есть отличается высокими механическими свойствами
благодаря повышенному содержанию цинка в сочетании с модифицирующим действием
циркония. Сплав дополнительно легирован редкоземельным металлом, церием,
который улучшает механические свойства, особенно при повышенных температурах.
Сплав марки МА20 обладает средней прочностью, высокой пластичностью,
хорошей свариваемостью и коррозионной стойкостью, не склонен к коррозионному
растрескиванию
5. Карта раскроя
а)
б)
Рисунок 5 - Карта раскроя: а - Для АМг6 и МА20, б - Для АД1
После получения основных материалов в заготовительном отделении цеха
металлы подвергают предварительной обработке: правке, зачистке и вырезке
заготовок из тяжелых и громоздких кусков листового проката. Резку производят в
целях облегчения транспортировки и дальнейших операций по изготовлению деталей.
При этом размеры заготовок под сварку взрывом, должны быть кратными размеру
деталей [8].
Коэффициент использования материала = 80%.
Для изготовления заготовки 1 используем лист из алюминиевого сплава АМг 6
толщиной 20 мм, шириной 1200 мм, длинной 2000 мм [7].
Для изготовления заготовки 2 используем лист из алюминиевого сплава АД1
толщиной 30 мм, шириной 1200 мм, длинной 2000 мм [7].
Для изготовления заготовки 3 используем лист из сплава МА20 толщиной 20
мм, шириной 1200 мм, длинной 2000 мм [8].
6. Маршрутная карта
) Входной контроль качества. Контроль - визуальный, измерительный
инструмент
) Разметка листов - разметочный стол, измерительный инструмент, чертилка
(мел)
) Контроль - измерительный инструмент
) Резка листов - гильотинные ножницы
) Контроль - визуальный, измерительный инструмент
) Подготовка свариваемых поверхностей - металлическая щетка, ацетон,
спирт, безворсовая ткань
) Контроль - визуальный
) Изготовление пазов в метаемой пластине - станок фрезерный
) Контроль-визуальный
) Изготовление оснастки для СВ - проволока, картон, ножницы,
вспомогательный инструмент
) Контроль - визуальный
) Сборка пакета под СВ
) Контроль - визуальный
) Сварка взрывом
) Контроль - визуальный
) Подготовка свариваемых поверхностей - металлическая щетка, ацетон,
спирт, безворсовая ткань
) Контроль - визуальный
) Изготовление пазов в метаемой пластине - станок фрезерный.
) Контроль-визуальный
) Изготовление оснастки для СВ - проволока, картон, ножницы,
вспомогательный инструмент
) Контроль - визуальный
) Сборка пакета под СВ
) Контроль - визуальный
) Сварка взрывом
) Контроль - визуальный
) Контроль сварного соединения - дефектоскопия
) Термическая операция (отжиг) заготовок - электрическая камерная печь
НКО 8.10.8/7
) Контроль - измерение твердости
) Правка листа - машина листоправильная
) Контроль - визуальный
) Резка листов на заготовки - Станок ленточнопильный вертикальный
) Контроль - визуальный, измерительный инструмент
) Токарная обработка детали - станок токарный
) Контроль - измерительный инструмент
) Выходной контроль
втулка магниевый алюминиевый слоистый композит
7. Оборудование
.1 Автоматический отрезной станок HVS-400-FADR
Рисунок 6 - Отрезной станок, серия HVS-400-FADR [9]
Отрезные станки с дисковой пилой являются наиболее популярными и
востребованными в случаях, когда требуется недорогой станок для качественной
резки труб (диаметром до 110мм) и профиля (круглый, прямоугольный, овальный и
т.д.). В отличие от любого другого популярного способа резки (ленточнопильным
станком, абразивным кругом и т.д.), дисковая пила отрезает трубу / профиль
чисто и быстро, что для многих задач очень актуально, т.к. в дальнейшем не
требуется производить лишнюю операцию по чистовой обработке торцов отрезанной
детали. Однако для распиловки цельного проката или труб большого диаметра
(более 120 мм), предпочтительнее использовать ленточнопильные станки вместо дисковых
пил, т.к. в этом случае именно ленточнопильная технология обеспечивает наиболее
оптимальное соотношение себестоимости и качества распила [9].
Автоматические отрезные станки точны, надёжны и просты в эксплуатации.
«Автоматический» означает, что после установки длинной трубы, она автоматически
зажимается, автоматически подаётся на заданную длину и отрезается, с
последующей подачей и резкой, пока труба не израсходуется. В автоматических
отрезных станках регулируются и программируется множество параметров, среди
которых: давление и скорость опускания дисковой пилы, величина подачи, счётчик
резов с функцией автоматического отключения после выполнения задания и т.д.
Станки серии HVS являются станками колонного типа, то есть дисковая пила
перемещается вертикально по колонне, что обеспечивает более высокую жёсткость и
точность резки, по сравнению с любым станком маятникового типа. Станки HVS
оптимально подходят для резки тонкостенных и толстостенных труб/профиля,
цельного проката. Более того, станки HVS прекрасно справляются с пакетной
резкой (т.е. одновременная резка 2, 4, 6, 9 труб), что значительно увеличивает
производительность, без потери качества реза.
Особенности автоматических отрезных станков серии HVS-FADR:
• Прочная станина обеспечивает жёсткость конструкции и отсутствие
вибраций при резке заготовки [9].
• Станок колонного типа, что обеспечивает дополнительную жёсткость
подвижных узлов, увеличивает срок службы пильного диска.
• Высокая точность и скорость резки. Система балансировки дисковой пилы.
• Автоматическая резка с регулируемыми давлением и скоростью опускания
пилы.
• Автоматическая подача СОЖ (Смазочно-Охлаждающей Жидкости) в зону
резания.
• Встроенный лоток для сбора стружки.
|
Модели
|
|
HVS-400-FADR
|
|
Технические характеристики
|
|
Заготовка
|
|
Макс. размер квадратной
трубы
|
|
125x125 мм
|
|
Макс. размер круглого
проката
|
|
100 мм
|
|
Макс. размер круглой трубы
|
|
125 мм
|
|
Макс. размер прямоугольника
|
160x100 мм
|
|
Характеристики отрезных
станков
|
|
Величина подачи трубы мм
|
6 - 1845 (спец. заказ: 6 -
3000)
|
|
Устанавливаемая дисковая
пила
|
|
275 - 400 мм
|
|
Вес кг
|
|
1200
|
.2 Фрезерный станок модели 6652
Рисунок 7 - Фрезерный станок модели 6652 [10]
Станок предназначен для сверлильной, фрезерной и расточной обработки
крупногабаритных и длинномерных деталей в замкнутом полуавтоматическом цикле.
Фрезеровать можно как с одной, так сразу с двух или трех сторон. В работе могут
принимать участие от одной до четырех шпиндельных бабок. Станок применяется в
индивидуальном и серийном производстве для обработки стали и чугуна
твердосплавными, а также быстрорежущими фрезами.
Таблица 8
Технические характеристики станка 6652 [10].
|
Размеры рабочей поверхности
стола в мм
|
1250х4250
|
|
Максимальный продольный ход
стола в мм
|
4500
|
|
Максимальный вес
обрабатываемой детали в кг
|
8000
|
|
Количество шпиндельных
бабок
|
4
|
|
Число скоростей вращения
шпинделей
|
12
|
|
Пределы чисел оборотов
шпинделей в минуту
|
37,5-475
|
|
Мощность привода каждой из
шпиндельных бабок в кВт
|
20
|
|
Максимальный диаметр фрезы
в мм
|
400
|
|
Пределы угла наклона оси
шпинделей в град
|
|
Мощность привода подач в
кВт
|
10
|
|
Пределы скоростей подач в
мм/мин: шпиндельных бабок стола
|
11,8-590 23,5-1180
|
|
Мощность привода быстрых
перемещений в кВт
|
10
|
|
Скорость быстрых
перемещений шпиндельных бабок вмм/мин
|
1800
|
|
Скорость быстрого
перемещения стола в мм/мин
|
3500
|
|
Мощность - привода
перемещения траверсы в кВт
|
14
|
|
Скорость перемещения
траверсы в мм/мин
|
800
|
|
Габариты, мм
|
1350х5600х4420
|
.3 Дефектоскоп ДУК-13ИМ
Дефектоскоп предназначен для выявления внутренних дефектов в изделиях из
металлов (трещин, пор, расслоений, непроваров, шлаковых включений и т. д.), определения
их координат в сварных и клепаных соединениях.
Прибор является переносным и используется в цеховых и полевых условиях в
интервале температуры 0-40°С и относительной влажности не более 80% при 20°С.
Работает он на частотах 1,8 и 2,5 МГц как с прямыми, так и с наклонными
искательными головками.
Чувствительность прибора регулируется в широких пределах и на частоте 2,5
МГц обеспечивает выявление дефектов, эквивалентных отверстиям в эталоне № 1 при
температуре 20°С:
для искательных головок с углами 30 и 40° - отверстия 45 мм;
для искательных головок с углами 50° - отверстия 5 мм.
Минимальная глубина выявления дефектов (мертвая зона прибора) - не более
3 мм для искательных головок с углом падения 50°.
Максимальная глубина прозвучивания - 600 мм (для стали) в режиме
«контроль по слоям».
Прибор позволяет вести контроль объекта в двух режимах работы:
контроль по слоям;
контроль от поверхности.
При контроле по слоям задержка развертки по времени плавно регулируется в
пределах от 12 до 100 мкс. Длительность развертки регулируется в пределах от 20
до 100 мкс [11].
В приборе ДУК-13ИМ имеется электронный глубиномер со шкалами прямого
отсчета координат залегания дефектов и шкалой отсчета времени прохождения
ультразвука в микросекундах. Шкала «МКС» используется для определения координат
дефектов при контроле изделий из материалов со скоростью ультразвука, отличной
от скорости ультразвука в стали СтЗ.
Прибор комплектуется прямой искательной головкой для прозвучивания
объектов продольными волнами на частоте 2,5 МГц и призматическими головками с
углами падения УЗК 30, 40 и 50° - для прозвучивания объекта питания прибора
является сеть переменного тока напряжением 220 В частотой поперечными волнами
на частотах 1,8 и 2,5 МГц [11].
Индикация дефектов производится при появлении сигналов в телефоне и
импульса на экране электронно-лучевой трубки (ЭЛТ) и сточником 50 - 60 Гц.
Рисунок 8 - Дефектоскоп ДУК-13ИМ [11]
7.4 Листоправильная машина UBR 80
Рисунок 8 - Листоправильная машина UBR 80 [12]
Применяется в прокатном производстве для выравнивания поверхности
листовой стали. Листоправильные машины разделяют на роликовые (валковые),
наиболее распространённые, и растяжные. Роликовые листоправильные машины
предназначены для правки тонких и толстых листов в горячем и холодном
состоянии, а растяжные - главным образом для правки в холодном состоянии тонких
листов (стальных и из цветных металлов), к качеству которых предъявляют
повышенные требования. Процесс правки основан на упругопластическом
знакопеременном изгибе листа приводными роликами, расположенными в рабочей
клети в 2 ряда в шахматном порядке. Точность правки зависит от шага роликов
(большой шаг не обеспечивает требуемой точности), размеров и числа их (чем
больше роликов, тем выше точность). Обычно число правильных роликов колеблется
в пределах 7-23; большинство современных листоправильные машины имеют, кроме
правильных, опорные ролики. Скорость правки зависит от толщины листа и
составляет 0,1-6 м/сек.
Процесс правки на растяжных листоправильных машинах основан на создании в
листе напряжений, близких к пределу текучести, растягивающим усилием. Растяжная
листоправильная машина состоит из станины, двух зажимных головок, механизма
передвижения рабочей головки и привода. Широкое распространение находит
растяжная листоправильная машина с гидравлическим приводом рабочей головки.
Получил применение также комбинированный способ непрерывной правки полос
- изгибом и натяжением. Изгиб осуществляется влистоправильной машине, а
натяжение - в устройствах с роликами большого диаметра, расположенных по обе
стороны листоправильной машины.
Таблица 9
Технические параметры листоправильной машины UBR 80
[12]
|
Модель
|
UBR 80
|
|
Главный параметр
|
80мм; макс. 3200мм
|
|
Производитель
|
ERNST THÄLMANN
|
|
Оснастка
|
Роликовые столы перед и за
листоправильной машиной.
|
|
Ширина листа максимальная
|
3200мм
|
|
Скорость правки
|
12м/мин
|
|
Главный привод
|
132квт
|
|
Регулировка эксцентрика
|
2x0,55квт
|
|
Регулировка по высоте
|
22квт
|
|
Маслянный насос
|
0,55квт
|
|
Вес машины без
принадлежностей
|
105 550кг
|
7.5 Токарно-винторезный станок Jet GH-1840 ZX DRO
Токарно-винторезный станок Jet GH-1840 ZX DRO - мощное оборудование
профессионального класса. Предназначено для проведения сверхточных работ по
металлу и дереву [13].
Станок отличается массивностью и повышенной прочностью. Все направляющие
выставляются при помощи дисплея цифровой индикации, где минимальная цена
деления - 0.005мм. Работает от 380В.
Технические характеристики станка JET GH-1840 ZX DRO
· Основные
· Подробные
|
Напряжение, В
|
380
|
Мощность, Вт
|
8800
|
|
Max диаметр обработки над
станиной, мм
|
460
|
Расстояние между центрами,
мм
|
1015
|
|
Частота вращения шпинделя,
об/мин
|
25-1800
|
Вес, кг
|
2267
|
|
Система подачи СОЖ
|
есть
|
Max размер державки резца,
мм
|
25
|
|
Ход пиноли, мм
|
124
|
Поперечный ход суппорта, мм
|
228
|
|
Продольный ход суппорта, мм
|
130
|
Конус шпинделя
|
МК-7(МК-5)
|
|
Диаметр сквозного отверстия
шпинделя, мм
|
80
|
Габариты, мм
|
2462х1016х1241
|
Комплектация
· 3-х кулачковый патрон Ø250мм с прямыми/обратными кулачками;
· 4-х кулачковый патрон Ø300мм;
· Планшайба Ø300мм;
· 4-х позиционный резцедержатель с фиксатором;
Рисунок 9 - Токарно-винторезный станок Jet GH-1840 ZX DRO [13]
Особенности JET GH-1840 ZX DRO:
Может работать с большими заготовками
Для этого в конструкции предусмотрен патрон Ø250мм с прямыми/обратными кулачками и
отверстием шпинделя Ø80мм.
Точная и аккуратная работа. 4-х позиционный резцедержатель с фиксатором
надежно закрепит деталь для обработки.
Продуманный механизм. Полноразмерная коробка подач токарно-винторезного
станка Jet GH-1840 ZX DRO позволяет нарезать различную резьбу без замены
шестерен.
Надежное оборудование. Централизованная система смазки продольного
суппорта значительно продлевает срок службы всей системы.
7.6 Электрическая камерная печь НКО 8.10. 8/7
К наиболее действенным способам борьбы с внутренними напряжениями
относятся: подогрев конструкции перед сваркой и отжиг после сварки.
Предварительный подогрев конструкций уменьшает в металле разность температур, и
замедляет скорость охлаждения металла после сварки.
При горячей сварке изделие подогревается до температуры перехода металла
в пластическое состояние. При этом почти полностью предотвращается появление
внутренних термических напряжений.
Вторым наиболее существенным средством уменьшения внутренних напряжений
является отжиг сварных конструкций после окончания сварки. Отжигом устраняются
также напряжения, образовавшиеся в процессе прокатки, вальцовки, гибки. Отжиг
осуществляется в печи или горне. Изделие при отжиге следует охлаждать медленно
(вместе с печью). При достижении температуры отжига изделие выдерживается в
печи определенное время в зависимости от его толщины. На каждые 25 мм толщины
выдержка составляет 1 час.
Таблица 10
Температурные режимы отжига [5]
|
Операции
|
Температура отжига
заготовок, °С
|
|
До сварки взрывом
|
из АД 1и АМг 6 - 280-300°С*
из МА 20 -220-300°С
|
|
После сварки взрывом
|
200°С
|
Примечание:* Для сплава АМг 6 после отжига проводят выдержку при
температуре 250-260°С в течении часа
Охлаждение проводится на воздухе, вместе с печью.
Для проведения термической операции была выбрана электрическая камерная
печь НКО 8.10.8/7.
Отличительной особенностью данных печей является: равномерное
распределение температуры в зоне нагрева 5 град. °С, точная цифровая
регулировка и установка параметров термообработки.
Загрузка материалов осуществляется фронтально (камерная печь).
Камерные печи поставляются также и с механизированным выдвижным подом
[14].
Рисунок 10 - Камерная печь НКО 8.10.8/7 [14]
Характеристики:
Размер рабочей камеры, мм длина-ширина-высота, (D-E-F)
-800-800
Температура максимальная, oС 700
Мощность, кВт 62
8. Расчет параметров сварки взрывом
Расчет режимов сварки взрывом
. АД1+МА20 и
. АМг6+(АД1+МА20)
Расчет ведем по методике, основанной на энергетическом подходе [15].
Таблица 11
Исходные данные для расчета параметров СВ
|
Материал
|
Исходные данные
|
|
Толщина
|
Плотность
|
Скорость звука
|
Удельная теплоёмкость
|
Тпл
|
Предел текучести
|
|
δ
|
ρ
|
С0
|
С
|
|
σ0,2
|
|
мм
|
г/см3
|
м/с
|
Дж/(кг*град)
|
°С
|
МПа
|
|
АМг6
|
20
|
2,6
|
5000
|
0,922
|
635
|
130
|
|
АД1
|
30
|
2,7
|
4972
|
0,9
|
667
|
30
|
|
МА20
|
20
|
1,8
|
5000
|
1,13
|
625
|
160
|
Свариваем
АД1+МА20
. Определим
скорость точки контакта
Vk=(0.4-0.5)Co
Vk=0.5*4972=2486
. Определим необходимую для получения соединения скорость соударения
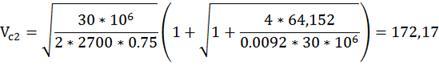
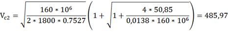
Vc=0.5(Vc1+Vc2)
Vc=0.5(172,17+485,97)=329,072
-активный объем
𝛥T=0.8Tпл
3. Определить высоту заряда ВВ, способную разогнать метаемую пластину до
требуемой скорости соударения
Нmin=48мм
Выбираем тип ВВ Аммонит 6 ЖВ 50% + аммичная селитра.
Н=60мм
D=3060
м/с
Pвв=910 кг/м3
4. Определяем зазор между пластинами
87041
Свариваем
АМг6+(АД1+МА20)
Определяем приведенную толщину (АД1+МА20)
1. Определим
скорость точки контакта
Vk = (0.4-0.5)Co
Vk = 0.5*4972 = 2486
. Определим необходимую для получения соединения скорость соударения
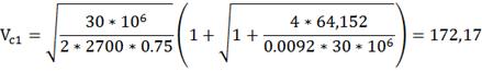
Vc=0.5(Vc1+Vc2)
Vc=0.5(364,48172,17)=268,32
-активный объем
𝛥T=0.8Tпл
3. Определить высоту заряда ВВ, способную разогнать метаемую пластину до
требуемой скорости соударения
Нmin=24мм
Выбираем тип ВВ Аммонит 6 ЖВ 50% + аммичная селитра.
Н=30мм
D=2550
м/с
Pвв=910 кг/м3
4. Определяем зазор между пластинами
Таблица 12
Результаты расчётов режима СВ
|
Скорость точки контакта Vkl
|
3060м/с
|
|
Vk2
|
2550 м/с
|
|
Скорость соударения VC1
|
330 м/с
|
|
VC2
|
270 м/с
|
|
Высота заряда Н1 Н2
|
60 мм 30 мм
|
|
Тип взрывчатки 1 Тип
взрывчатки 2
|
Тип ВВ Аммонит 6 ЖВ 50% +
аммиачная селитра. Тип ВВ Аммонит 6 ЖВ 50% + аммиачная селитра.
|
|
Высота зазора h1 h2
|
2 мм 2 мм
|
Определим размеры листов
. Определение размера неподвижной пластины из сплава МА20
Прокат МА20 выпускается в виде листов шириной 1200 мм и длиной 2000 мм
при толщине 20мм [8].
- длина неподвижной пластины
- ширина неподвижной пластины,
где
= 40-50мм - начальный участок
бок=
= 2
20=40 мм - ширина боковых участков
Размеры конечно сваренного образца:oбp= 116 мм
Вобр= 116 ммH = 50 + 116 + 40 = 216 мм,H =
116+ 2
40= 196 мм,
Величина нависании:
Переднее Нп=3Н=3
60=180 мм
Боковое Нб=Н=60 мм
Заднее Нз=Н= 60 мм
Где Н- высота заряда
. Определение размера метаемой пластины (сплав АД1)
Прокат АД1 выпускается в виде листов шириной 1200 мм и длиной 2000 мм при
толщине 30мм [7].
мм - длина метаемой пластины
- ширина метаемой пластины
. Определение размера метаемой пластины (сплав Амг 6)
Величина нависания:
Переднее НП=3Н=3
30=90 мм
Боковое Нб=Н=30 мм
Заднее Нз=Н=30 мм
Где Н- высота заряда
M
= Lh + 4
Н = 2000 + 4
30=2120 мм - длина метаемой пластины
Вм = Вн + 2
Н=1200+2
30=1260 мм - ширина метаемой пластины
Прокат АМг6 выпускается в виде листов шириной 1200 мм и длиной 2000 мм
при толщине 20мм [7].
Рисунок 11- Пакет под сварку взрывом: 1 -
электродетонатор, 2 - взрывчатое вещество, 3 - лист из АД1, 4 - лист из МА20
Рисунок 12 - Пакет под сварку взрывом: 1 - электродетонатор, 2 -
взрывчатое вещество, 3 - лист из АМг 6, 4 - лист из АД1, 5 - лист из МА 20.
9. Планировка участка
При детальном проектировании участка основным методом уточнения служит
последовательное расположение оборудования в зависимости о выполнения
технологического процесса изготовления изделия.
Для боле удобного размещения оборудования в пространстве цеха выбираем
следующие значения основных параметров цеха, исходя из габаритов оборудования.
Принимаем: шаг колонн 6 м; ширину пролета 25м; проезд 4м.
Состав производственных отделений и участков механических цехов
определяется характером изготовляемых изделий, технологическим процессом,
объемом и организацией производства. Основным принципом при составлении плана
расположения оборудования в цехе является обеспечение прямоточного движения
детали в процессе их обработки в соответствии с технологическим процессом.
Металлорежущие станки участков могут быть расположены одним из двух способов:
по типам оборудования или по ходу технологического процесса, т.е. в порядке
выполнения операции. По типам оборудования станки располагаются только в
небольших цехах единичного и мелкосерийного производства при малых массах и
габаритах обрабатываемых деталей, а также для обработки отдельных деталей в
серийном производстве. В этих случаях создаются участки однородных станков:
токарных, сверлильных, фрезерных, шлифовальных и т.д. [16]. По ходу
технологического процесса располагают станки в цехах массового и серийного
производства [16].
При размещении станков руководствуются следующими правилами:
Участки, занятые станками, должны быть наиболее короткими. В
машиностроении длина участков составляет 40-80 м. Зоны заготовок и готовых
деталей включаются в длину участка.
Технологические линии могут располагаться как вдоль пролетов, так и
поперек их.
Станки вдоль участка могут быть расположены в два, три и более рядов. При
расположении станков в два ряда между ними оставляется проход для транспорта.
При трехрядном расположении станков могут быть два или один проход. В последнем
случае продольный проход образуется между одинарными и сдвоенными рядами
станков. При расположении станков в четыре ряда вдоль участка устраивают два
прохода: у колонн станки располагают в один ряд, а сдвоенный ряд - посредине.
Таблица 13
Нормы расстояний между станками и от станков до стен и колонн зданий [16]
|
Расстояния
|
Нормы расстояний между
станками при их размерах в мм
|
|
До 1800 Х 800
|
До 4000 Х 2000
|
До 8000 Х 4000
|
До 1600 Х 6000
|
|
Между станками по фронту
(а)
|
700
|
900
|
1500
|
2000
|
|
Между тыльными сторонами
станков (б)
|
700
|
800
|
1200
|
1500
|
|
Между станками при
поперечном расположении к проезду
|
При расположении станков в
«затылок» (в)
|
1300
|
1500
|
2000
|
-
|
|
При расположении станков
фронтом друг к другу и обслуживании одним рабочим
|
Одного станка (г)
|
2000
|
2500
|
3000
|
-
|
|
|
Двух станков (д)
|
1300
|
1500
|
-
|
-
|
Тыльной или боковой стороны
станка (е)
|
700
|
800
|
900
|
1000
|
|
Фронта станка (ж)
|
1300
|
1500
|
2000
|
-
|
Станки могут располагаться по отношению к проезду вдоль поперек и под
углом. Наиболее удобное расположение - вдоль проезда и при обращении станков к
проезду фронтом. Станки для прутковой работы располагают загрузочной стороной к
проезду, а другие станки так, чтобы сторона с приводом была обращена к стене
или колоннам.
Станки по отношению друг к другу могут располагаться фронтом, «в затылок»
и тыльными сторонами.
Крупные станки не должны стоять у окон, так как это приводит к затемнению
цеха.
При определении расстояний между станками, от станков до стен и колонн
здания (таблица 17) нужно учитывать следующее:
расстояния берутся от наружных габаритных размеров станков, включающих
крайние положения движущихся частей, открывающихся дверок и постоянных
ограждении станков.
для тяжелых и уникальных станков (габаритом свыше 16000 х 6000
мм) необходимые расстояния устанавливаются применительно к каждому конкретному
случаю.
при установке станков на индивидуальные фундаменты расстояние станков от
колонн, стен и между станками принимаются с учетом конфигурации и глубины
фундаментов станков, колонн и стен.
при разных размерах двух рядом стоящих станков расстояние между ними
принимается по большему из этих станков.
при монтаже станки устанавливают в линию по выступающим деталям, что не
только эстетично, но и целесообразно. При такой планировке облегчается уборка
помещения, вывоз любого станка с участка, а также доступ к станкам для
обслуживания.
Таблица 14
Нормы ширины магистральных проездов в механических и сборочных цехах [16]
|
Схема
|
Вид транспорта
|
Грузоподъемность, т.
|
А, мм
|
Б, мм
|
|
Проезд продольный Проезд поперечный
|
Электротележки
(электрокары)
|
До 1 До 3 До 5
|
3000 3500 4000
|
3400 4000 4500
|
|
Электропогрузчики с
подъемными вилами
|
До 0,5 До1 До 3
|
3500 4000 5000
|
4000 4500 5500
|
|
Грузовые автомашины
|
До 1 До 5
|
4500 5500
|
5000 6000
|
В поточных линиях станки также могут устанавливаться в один ряд или в два
ряда; в последнем случае деталь в процессе обработки переходит с одного ряда на
другой. Поточная линия может быть и с двумя параллельными потоками деталей. При
обработке деталей с большим количеством операций поточной линии придают
зигзагообразную форму с тем, чтобы длина каждого участка должна быть равна
длине других участков, т.е. равнялась 40-80 м., и чтобы выход готовых деталей
был в том же направлении, что и для других поточных линий. Цифры на рисунках
указывают последовательность прохождения детали через станки линии.
Станки в потолочных линиях с применением рольгангов или других конвейеров
могут устанавливаться относительно них параллельно или перпендикулярно; они
могут быть и встроены в линию рольганга или конвейера [16].
Заключение
В данной курсовой работе был спроектирован
технологический процесс изготовления трехслойной втулки, состоящей из
материалов АД1, АМг6 и МА20. При этом были рассмотрены характеристики изделия и
свойства данных материалов до и после сварки взрывом.
Для производства трехслойной втулки была выбрана
технология сварки взрывом, как наиболее надежный, экономичный и
производительный способ, при котором обеспечивается высокое качество соединения
разнородных материалов.
Так же, был произведен расчет параметров сварки
взрывом, выбор оборудования для производства заготовок и спроектирован цех для
производства данного изделия.
Список использованных источников
1. Трыков,
Ю.П. Технология производства металлических КМ: методическое указание / Ю.П.
Трыков. - Волгоград, ВолгГТУ, 2003. - 26 с.
. Трыков,
Ю.П. Основы технологии получения композиционных материалов: методическое
указание / Ю.П. Трыков, В.Г. Шморгун, О.В. Слаутин. - Волгоград, ВолгГТУ, 1997.
- 30 с.
. Трыков
Ю.П., Шморгун В.Г., Проничев Д.В. Методы исследования строения и свойств
переходных зон сваренных взрывом металлических КМ: Учеб. пособие / ВолгГТУ,
Волгоград, 2002. - 106 с
. Лысак, В.И.
Классификация технологических схем сварки металлов взрывом / В.И. Лысак, С.В.
Кузьмин // Сварочное производство. - 2002. - №9. - С. 33-39.
. Справочник
сталей и сплавов / В.Г. Сорокин [и др.]; под ред. В.Г. Сорокина. - М.:
Машиностроение, 1980.
. Лысак, В.И.
Сварка взрывом / В.И. Лысак, С.В. Кузьмин. - М.: Машиностроение-1, 2005. - 544
с.
7. ГОСТ 17232 - 99. Плиты из алюминия и алюминиевых сплавов. Технические
условия. - М.: Издательство стандартов, 1985. - 10 с.
. ГОСТ 21990 - 76. Плиты из магниевых сплавов. Технические условия. - М.:
Издательство стандартов, 1985. - 10 с.
. Оборудование. Автоматический отрезной станок HVS-400-FADR [Электронный
ресурс]
. Оборудование. Фрезерный станок модели 6652. [Электронный ресурс]
. Оборудование. Дефектоскоп ДУК-13ИМ25 [Электронный ресурс]
12. Оборудование. Листоправильная машина UBR 80. [Электронный ресурс]
13. Оборудование. Токарно-винторезный станок Jet GH-1840 ZX DRO
[Электронный ресурс]
14. Оборудование. Электрическая камерная печь НКО 8.10.8/7. [Электронный
ресурс]
15. Красовский,
А. И. Основы проектирования сварочных цехов: учебник для вузов по специальности
«Оборудование и технология сварочного производства». - 4-е изд., перераб. /
А.И. Красовский. - М.: Машиностроение, 1980. - 319с.
.
Проектирование машиностроительных заводов и цехов: справочник в 6 т.. Т.4 /
Е.С. Ямпольский [и др.]; под ред. Е.С. Ямпольского. - М.: Машиностроение, 1975.
- 326 с.