Процесс гидрокрекинга вакуумного газойля

  • Вид работы:
    Курсовая работа (т)
  • Предмет:
    Другое
  • Язык:
    Русский
    ,
    Формат файла:
    MS Word
    154,1 Кб
  • Опубликовано:
    2014-12-04
Вы можете узнать стоимость помощи в написании студенческой работы.
Помощь в написании работы, которую точно примут!

Процесс гидрокрекинга вакуумного газойля

Введение

В 70-е годы необычайно широко начали использовать процессы гидроочистки продуктов нефтепереработки, начиная от легких фракций - сырья каталитического риформинга - и кончая смазочными маслами. Весьма перспективной оказалась деструктивная гидрогенизация, осуществляемая при более мягких режимах давления (от 5 до 20 МПа) и приводящая к достаточно глубокому превращению сырья при умеренных расходах водорода. Такая разновидность процесса гидрогенизации получила название «гидрокрекинг».

Гидрокрекинг - процесс более позднего поколения, чем каталитический крекинг и каталитический риформинг, поэтому он более эффективно осуществляет те же задачи, что и эти два процесса.

Гидрокрекингу подвергают вакуумный газойль под давлением водорода с целью производства автомобильных бензинов, дизельных топлив, сырья для каталитического крекинга, сжиженных углеводородных газов С3-С4. При гидрокрекинге не образуется никакого тяжелого неперегоняющегося остатка (кокса, пека или кубового остатка).

Бензин, который получается при гидрокрекинге можно использовать как топливо <#"810632.files/image001.gif">

Олефиновые углеводороды изомеризуются легче, чем парафиновые, и обычно изомеризация парафиновых углеводородов проходит через стадию образования олефинов.

Моноциклические алкилароматические углеводороды в условиях гидрокрекинга при невысоком давлении до 10 МПа легко отщепляют длинные боковые цепи. Наряду с отрывом боковых цепей возможно гидрирование ароматических колец. Ниже приведена схема гидрирования бензольного кольца и последующего разрыва цикла:

Образующиеся изогексаны могут претерпевать дальнейшие превращения - расщепление и изомеризацию. Повышение температуры гидрокрекинга способствует превращению бензольного кольца в изопарафиновые углеводороды.

Гидрирование бициклических ароматических углеводородов проходит через образование гидроароматических соединений, например тетралина. Дальнейшее превращение тетралина идет двумя путями: через образование алкилбензола и через образование декалина в результате гидрирования второго кольца. В первом случае конечным продуктом превращения является бензол, во втором циклогексан. Схема превращения нафталина:


Гидрирование трициклических и полициклических ароматических углеводородов также протекает через образование гидроароматических углеводородов. Прогидрированные кольца расщепляются и изомеризуются. Конечными продуктами распада являются бензол, циклогексан, их производные и изопарафиновые углеводороды. Би-, три- и полициклические углеводороды подвергаются гидрокрекингу при меньшем давлении, чем бензол.

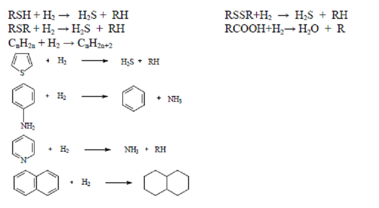
Значительные изменения при гидрокрекинге претерпевают сернистые и азотистые соединения и металлоорганические комплексы. Компоненты нефти и нефтепродуктов, содержащие серу, представлены многими классами соединений.

Это в первую очередь меркаптаны RSH, cульфиды RSR, дисульфиды RSSR.      

RSH + H2  →  RH + H2S+ 2H2  →  2RH + H2S+ 3H2  →  2RH + 2H2S

Для удаления более сложных сернистых соединений нужны очень глубокие преобразования молекулы вещества. У меркаптанов, сульфидов и дисульфидов возможна прямая деструкция связи С-S с образованием сероводорода и соответствующего углеводорода.

Наибольшую трудность при гидрокрекинге представляет удаление азотистых соединений. Степень удаления азотистых соединений ниже, чем сернистых. Наиболее трудно подвергаются гидрокрекингу соединения, в которых азот содержится в стабильном шестичленном кольце. В процессе гидрокрекинга азотистые соединения частично превращаются в азотсодержащие соединения меньшей молекулярной массы, которые концентрируются в продуктах, особенно в дизельных фракциях. Азотистые соединения придают нестабильность продуктам гидрокрекинга, в результате чего они быстро ухудшают цвет.

        анилин                                       бензол




       пиридин                                     аммиак

Кислородные соединения нефти при гидрокрекинге претерпевают практически полное превращение. При этом образуются соответствующие углеводороды и вода.

+ H2  →  R + H2O

Почти полностью происходит гидрогенолиз металлоорганических соединений; однако во всех случаях металлы отлагаются на катализаторе, что необратимо снижает его активность. Скорость гидрогенолиза металлоорганических соединений и полнота удаления различных металлов неодинаковы. Быстрее других металлов и более полно удаляется из нефтепродуктов ванадий, труднее всего удалить натрий. По этому показателю металлы можно расположить в следующий ряд: V>Fe>Ni>Mg>Ca>Cr>Na.

Температура. Процесс гидрокрекинга - экзотермический, и для выравнивания температуры сырьевой смеси по высоте реактора предусмотрен ввод холодного водородсодержащего газа в зоны между слоями катализатора.

С повышением температуры жесткость процесса возрастает, что приводит к снижению содержания серы, азота, кислорода и металлов в продуктах гидрокрекинга. При высоких температурах (от 400 до 420°С) значительно выше выход легких и газообразных продуктов. По мере повышения температуры расход водорода увеличивается.

Чем выше температура, тем выше скорость реакции и, следовательно, больше конверсия. Процесс проводится в интервале температур 350-480°С.

Гидрокрекинг - один из самых опасных процессов нефтепереработки, при выходе температурного режима из-под контроля, происходит резкий рост температуры, приводящий к взрыву реакторного блока.

Давление. Давление процесса гидрокрекинга варьируется в широких пределах - от 5 до 20 МПа. С ростом общего давления в процессе, растет парциальное давление водорода. С повышением парциального давления водорода увеличивается скорость гидрирования и достигается более полное удаление серы, азота, кислорода и металлов, а также насыщение непредельных углеводородов на катализаторах, вызывающих деструкцию (гидрокрекинг), снижается содержание ароматических углеводородов и асфальтенов и уменьшается закоксованность катализаторов, что увеличивает срок их службы.

Катализатор. Скорость процесса и качество продуктов в значительной степени зависят от свойства катализатора. Катализаторы должны обладать постоянной высокой каталитической активностью, селективностью, механической прочностью, термостойкостью, устойчивостью к действию каталитических ядов, большой длительностью работы, легкой регенерируемостью, определенными гидродинамическими характеристиками, незначительной стоимостью.

Катализаторы гидрокрекинга вакуумного газойля состоят из следующих основных компонентов:

кислотного компонента (аморфного или кристаллического алюмосиликата, обеспечивающего расщепляющую и изомеризующую функции катализатора);

металла или сочетания металлов в восстановленной, оксидной или сульфидной форме, обеспечивающих гидрирующую и расщепляющую функции;

связующего, обеспечивающего механическую прочность и оказывающего влияние на формирование пористой структуры катализатора.

Бифункциональные катализаторы состоят из носителя кислотного типа с нанесенным на него металлом, приготовляют на основе кислотных носителей - аморфных и кристаллических алюмосиликатов и др., обладающих расщепляющей способностью. Гидрирующими компонентами этих катализаторов служат металлы и их окислы или сульфиды. Носитель в составе катализатора гидрокрекинга играет роль не только инертного разбавителя, но и участвует в формировании активных фаз, а также служит в качестве структурного промотора, создающего специфическую пористую структуру, оптимальную для переработки конкретного сырья.

Для гидрокрекинга вакуумного газойля применяют алюмокобальтмолибденовый катализатор. Он обладает большей активностью, чем отдельные их составляющие (кобальтовый и молибденовый катализаторы). Одной из причин этого является их взаимное промотирование. Катализаторы устойчивы к действию сернистых соединений и применяются в промышленности на носителях и без них.

Промышленный алюмокобальтмолибденовый катализатор обладает высокой активностью в реакциях разрыва связей С-S и высокой термической стойкостью, вследствие чего имеет длительный срок службы. Важным преимуществом данного катализатора является стойкость каталитическим ядам.

Кроме того, этот катализатор обладает приемлемой активностью в реакциях разрыва связей углерод - азот, углерод - кислород, и практически используется для гидроочистки всех нефтяных фракций. Катализатор АКМ имеет высокую активность и селективность по целевой реакции обессеривания, достаточно активен в гидрировании непредельных соединений.

Оксиды молибдена с промоторами являются бифункциональными катализаторами: они активны в реакциях гидрирования-дегидрирования (гомолитических),    и   гетеролитических    реакциях    гидрогенолиза      гетероатомных

соединений нефтяного сырья. Однако каталитическая активность молибдена недостаточна для разрыва С-С связей. Поэтому для осуществления реакций крекинга углеводородов необходимо наличие кислотного компонента.

В качестве кислотного компонента, выполняющего крекирующую и изомеризующую функции, используют оксид алюминия, входящие в состав катализаторов. В качестве гидрирующих металлов используется кобальт и молибден.

Функции связующего часто выполняют кислотный компонент - оксид алюминия. Оксидные катализаторы, содержащие кобальт, молибден активны при 250-450°С.

С целью предотвращения дезактивации катализаторов гидрокрекинга сырье предварительно подвергают гидроочистке от сернистых, азотистых, смолистых и частично полициклических ароматических соединений в реакторе гидрокрекинга.

Регенерация катализатора проводится смесью воздуха и инертного газа, срок службы катализатора 4-7 месяцев.

Активность. Под активностью катализатора следует понимать количество превращенного сырья в единицу времени на единицу объема катализатора. Это  характеристика катализатора <http://ru.wikipedia.org/wiki/%D0%9A%D0%B0%D1%82%D0%B0%D0%BB%D0%B8%D0%B7%D0%B0%D1%82%D0%BE%D1%80>, выражающая его свойство ускорять химическую реакцию <http://ru.wikipedia.org/wiki/%D0%A5%D0%B8%D0%BC%D0%B8%D1%87%D0%B5%D1%81%D0%BA%D0%B0%D1%8F_%D1%80%D0%B5%D0%B0%D0%BA%D1%86%D0%B8%D1%8F>. Чем выше активность катализатора, тем большей скорости химической реакции <http://ru.wikipedia.org/wiki/%D0%A1%D0%BA%D0%BE%D1%80%D0%BE%D1%81%D1%82%D1%8C_%D1%85%D0%B8%D0%BC%D0%B8%D1%87%D0%B5%D1%81%D0%BA%D0%BE%D0%B9_%D1%80%D0%B5%D0%B0%D0%BA%D1%86%D0%B8%D0%B8> можно с помощью данного катализатора добиться.

Причины потери активности катализатора и уменьшения глубины гидрокрекинга, могут быть следующие:

изменение состава катализатора;

потеря активного компонента катализатора - при темпеpатуpе около 600°С испаряется тpехокись молибдена;

недостаточная скорость десорбции образующихся продуктов с поверхности катализатора при недостаточном парциальном давлении водорода.

Коксообразование. Коксообразование протекает за счет наличия в сырье высокомолекулярных соединений. При нормальном режиме работы высокое парциальное давление водорода и каталитическая активность гидрирования препятствуют процессу коксообразования. Образование кокса из высокомолекулярных соединений сырья регулируется качеством сырья.

Азотистые соединения, особенно основного характера, смолы и асфальтены являются ядами для катализатора.

Скорость отложения кокса на катализаторе возрастает с повышением их кислотности, увеличением размера частиц, повышением содержания в сырье ароматических углеводородов (особенно полициклических), азотистых соединений, смол, асфальтенов, снижением давления водорода и др.

Максимальный выход целевых продуктов обеспечивается подбором соответствующего катализатора и ограничением глубины превращения сырья с направлением непревращенного остатка на рециркуляцию.

Отравление катализатора металлами. Металлоорганические соединения разлагаются и удерживаются на катализаторе. Щелочные металлы могут накапливаться на катализаторе из-за недостаточного обессоливания сырья или из-за контактирования сырья с соленой водой и добавками, эти металлы по отношению к катализатору являются нерегулируемыми ядами. Количество отложений на катализаторе регулируется, ограничивая содержание металлов в нефтяном сырье.

Отравление катализатора аммиаком. Органические азотсодержащие соединения, присутствующие в вакуумном газойле, превращаются в аммиак. Поскольку аммиак является соединением с основными свойствами, он конкурирует с реагирующими веществами за кислотные участки катализатора и подавляет его активность. Большая часть аммиака удаляется из реакторного блока при помощи промывки продуктов реакции водой и поэтому его влияние на дезактивацию катализатора незначительна. При прекращении подачи промывочной воды аммоний концентрируется в рециркулирующем газе, возвращаемся в реакторы, что приводит к резкой потере каталитической активности. При возобновлении подачи промывочной воды активность восстановится до нормальной.

Кратность циркуляции водородсодержащего газа. В процессе гидрокрекинга необходимо поддерживать избыток водорода в циркуляционном газе, так как свежий водород, вводимый совместно с сырьем, интенсивно расходуется в химических реакциях процесса гидрокрекинга. Обеспечение требуемого парциального давления водорода в системе достигается путем удаления из циркулирующего водородсодержащего газа углеводородных газов, сероводорода и аммиака и введения в его состав свежего водорода.

Выбираемая для процесса кратность циркуляции водородсодержащего газа зависит от двух факторов: химического расхода водорода в процессе гидрокрекинга и чистоты водородсодержащего газа.

Выбор значений кратности циркуляции водородсодержащего газа выше 1500 м3/м3 характерны для процесса глубокого гидрокрекинга тяжелого сырья, при котором химический расход водорода весьма значителен. В процессе гидрокрекинга вакуумного газойля кратность циркуляции водородсодержащего газа достигает до 2000 м3/м3. Значение кратности циркуляции тем выше, чем тяжелее сырье, выше степень его превращения, а также чем легче получаемые продукты.

Увеличение кратности циркуляции водородсодержащего газа приводит к росту эксплуатационных затрат в процессе гидрокрекинга из-за необходимости сжатия и нагрева большого потока водородсодержащего газа. Поскольку значительное влияние на величину кратности циркуляции оказывает концентрация водорода в газе, необходимо глубоко очищать рециркулирующий водородсодержащий газ.

Расход водорода. Уровень расхода водорода в процессе гидрокрекинга оказывает решающее влияние на эксплуатационные затраты, а также на величину капитальных затрат при строительстве установки.

Водород при гидрокрекинге расходуется значительно больше, чем при гидроочистке. Количество расходуемого водорода в процессе гидрокрекинга вакуумного газойля определяется характером химических реакций, идущих в присутствии водорода. В процессе гидрокрекинга эти реакции можно разделить на три группы:

собственно реакции гидрокрекинга;

реакции гидрирования ароматических углеводородов;

реакции гидрообессеривания и гидродеазотирования сырья.

Расход водорода тем выше, чем выше степень превращения сырья. В случае использования сырья с высоким содержанием парафиновых углеводородов на каждый моль сырья требуется от 2 до 6 моля водорода (в зависимости от характера сырья и глубины превращения).

Особенно высокое потребление водорода происходит в реакциях гидрирования ароматических углеводородов. На один моль би- и трициклических ароматических углеводородов для их полного гидрирования (без гидрокрекинга) требуется соответственно 5 и 7 молей водорода, поэтому стоимость эксплуатационных затрат при переработке высокоароматизированного сырья очень высока.

Расход водорода в процессе гидрокрекинга возрастает с ростом содержания серы и азота в сырье. Поскольку в ходе процесса удаляется свыше 90% серы, расход водорода на эту реакцию значителен и составляет существенную долю (около 10%) в общем расходе водорода при гидрокрекинге.

Объемная скорость. Количество загружаемого в реактор катализатора определяется количеством и качеством проектного сырья и заданной конверсией. Отношение количества подаваемого сырья на количество загруженного катализатора в реактор при фиксированной единице времени называют объемной часовой скоростью. Объемная  скорость гидрокрекинга вакуумного газойля находится в пределах 0,5-1,5 ч-1.

При увеличении расхода подачи свежего сырья при постоянном объеме катализатора повышается часовая объемная скорость жидкости, и для сохранения постоянной конверсии потребуется соответствующее повышение температуры катализатора. Повышение температуры катализатора приводит к более быстрому коксообразованию и, следовательно, к сокращению периодов между регенерациями. При работе установки при часовых объемных скоростях, значительно превышающих расчетные, скорость дезактивации катализатора может стать недопустимо высокой.

.3 Описание технологической схемы процесса

Технологическая установка гидрокрекинга состоит из двухосновных блоков: реакционного и блока фракционирования. Кроме того, еще имеется блок очистки газов от сероводорода.

Технологическая схема одноступенчатого гидрокрекинга с получением преимущественно дизельного топлива из вакуумного газойля в стационарном слое катализатора приведена на рис. 1.

Сырье, подаваемое насосом 1, смешивается со свежим водородсодержащим газом и циркуляционным газом, которые нагнетаются компрессором 8. Газосырьевая смесь, пройдя теплообменник 4 и змеевики печи 2, нагревается до температуры реакции и вводится в реактор 3 сверху. Учитывая большое тепловыделение в процессе гидрокрекинга, в реактор в зоны между слоями катализатора вводят холодный водородсодержащий (циркуляционный) газ с целью выравнивания температур по высоте реактора.

Выходящая из реактора смесь продуктов реакции и циркуляционного газа охлаждается в теплообменнике 4, холодильнике 5 и поступает в сепаратор высокого давления 6. Здесь водородсодержащий газ отделяется от жидкости, которая с низа сепаратора через редукционный клапан 9, поступает далее в сепаратор низкого давления 10. В сепараторе 10 выделяется часть углеводородных газов, а жидкий поток направляется в теплообменник 11, расположенный перед промежуточной ректификационной колонной 15. В колонне при небольшом избыточном давлении выделяются углеводородные газы и легкий бензин.

Бензин частично возвращается в колонну 15 в виде острого орошения, а балансовое его количество через систему «защелачивания» откачивается с установки. Остаток колонны 15 разделяется в атмосферной колонне 20 на тяжелый бензин, дизельное топливо и фракцию >360°С.

Бензин атмосферной колонны смешивается с бензином промежуточной колонны и выводится с установки. Дизельное топливо после отпарной колонны 24 охлаждается, «защелачивается» и откачивается с установки. Фракция >360°С (тяжелый газойль) используется в виде горячего потока в низу колонны 20, а остальная часть (остаток) выводится с установки.

Водородсодержащий газ подвергается очистке водным раствором моноэтаноламина и возвращается в систему. Необходимая концентрация водорода в циркуляционном газе обеспечивается подачей свежего водорода.

Таблица 1  Нормы технологического режима

Наименование аппаратов и показатели режима

Единицы измерения

Допустимые пределы

Температура    - верха   - низа

оС

 420-430 450-480

Температура на входе в реактор  

оС

400-410

Температура в сепараторе

оС

50

Давление

МПа

15-20

Объемная скорость подачи сырья

ч-1

до 1,5

Кратность циркуляции водородсодержащего газа

м3/м3

до 2000

Расход водорода

% (масс.)

1,2-4,0


1.4 Качество сырья, готовой продукции, вспомогательных материалов

Качество сырья, поступающего на установку, влияет на:

температуру слоя катализатора;

количество расходуемого в процессе водорода;

продолжительность периодов между регенерациями катализатора и качество некоторых продуктов.

Влияние качества сырья на рабочие характеристики процесса очень существенно, особенно в отношении загрязняющих примесей, которые могут значительно снизить срок службы катализатора.

Таблица 2. Качество сырья, готовой продукции, вспомогательных материалов

Наименование продукта

ГОСТ, ТУ, СТП

Показателей по ГОСТ,  ТУ, СТП

Допустимые пределы

Сырье (тяжелый вакуумный газойль)

ГОСТ 3900-85

Плотность при 20ºС, кг/м3, не более

929


ОСТ 38.01380

Фракционный состав, ºС




температура начала кипения, не менее

387



10%

428



50%

479



95%

540



температура конца кипения, не более

560


СТБ 1420

Содержание серы, % мас., не более

1,51


UOP 384

Содержание азота, ppm мас., не более

1890


ГОСТ 11858-66

Асфальтены (нерастворимые в С7), % мас., не более

0,05


ГОСТ 33-2000

Вязкость кинематичесая при 50ºС, сСт

Не нормируется


ГОСТ 2477-65

Содержание воды, % мас.

Отсутствие

Водородсодержащий газ

ГОСТ 14920-79

Состав: Н2, С1, % об., не менее

99,9



СО + СО2, ррm, не более

20

Легкий бензин

ГОСТ 511

Детонационная стойкость: октановое число, не менее

85


ГОСТ 2177

Фракционный состав, ºС:




температура начала перегонки бензина, °С, не ниже

35



10 % бензина перегоняется при температуре, °С, не выше

70



50 % бензина перегоняется при температуре, °С, не выше

115



90 % бензина перегоняется при температуре, °С, не выше

180



конец кипения бензина, °С, не выше

205


ГОСТ 28828

Массовая концентрация свинца, г, на 1 дм3 бензина, не более

0,013


ГОСТ 19121

Массовая доля серы, %, не более

0,10


ГОСТ 6321

Испытание на медной пластине

Выдерживает


ГОСТ 6307

Водорастворимые кислоты  и щелочи

Отсутствие


Визуально

Цвет

Желтый

Тяжелый бензин

ГОСТ 2177

Фракционный состав, ºС:




температура начала перегонки бензина, °С, не ниже

160



10 % бензина перегоняется при температуре, °С, не выше

170



90 % бензина перегоняется при температуре, °С, не выше

195



конец кипения бензина, °С, не выше

200


ГОСТ 19121

Массовая доля серы, %, не более

0,025


ГОСТ 6356

Температура вспышки, определяемая в закрытом тигле,°С, не ниже

33


ГОСТ 12329

Анилиновая точка,°С, не выше

65


ГОСТ 12329

Массовая доля ароматических углеводородов, %, не более

16


ГОСТ 6321

Испытание на медной пластинке

Выдерживают


ГОСТ 6307

Содержание водорастворимых кислот и щелочей

Отсутствие

Дизельное топливо

ГОСТ 2177-99

Фракционный состав, °С:




температура начала кипения

160-180



температура конца кипения, не выше

360


СТБ 1420

Содержание серы, ppm мас., не более

10


ГОСТ 2477-65

Содержание воды и механических примесей

Отсутствие


Визуально

Цвет

Бесцветный


ГОСТ 33-2000

Вязкость кинематичесая  при 20ºС, сСт

3,000-6,000


ГОСТ 6356-75

Температура вспышки в закрытом тигле, °С, не ниже

62


ГОСТ 3122-67

Цетановое число

54


ГОСТ 6321

Испытание на медной пластинке

Выдерживает


Качественно по уксусно-кислому свинцу

Сероводородная коррозия

Отсутствие


Визуально

Цвет

Соломенный

Остаток >360oC (тяжелый газойль)

ОСТ 38.01380

Фракционный состав, °С

Не нормируется


.5 Автоматизация основного аппарата

Таблица 3. Спецификация средств автоматизации

Позиционное обозначение на схеме

Наименование и техническая  характеристика прибора

Тип  прибора

1

2

3

1а, 2а

Термоэлектрический преобразователь: градуировка ХА(К), класс допуска 1, диапазон измерения  -40…+850оС, материал 12Х18Н10Т

ТП-2088/1

Многоканальный цифроаналоговый прибор для измерения температуры, показывающий, регистрирующий, градуировка ХА(К), шкала 0…+600 оС, класс точности 0,5

Ф1766.4-АД

Одноканальный прибор, показывающий, регистрирующий, градуировка ХК, шкала 0…+400 оС, класс точности 0,5

РП160М1

Преобразователь давления, диапазон измерения  0-25 МПа, выходной сигнал 4-20 мА

Метран-150

Вторичный прибор электрический, показывающий, регистрирующий, сигнализирующий, входной сигнал  0-5 мА, шкала 0-25 МПа, класс точности 0,25

Ш9331П

4а, 5а, 6а

Сужающее устройство, диафрагма измерительная безкамерная, Dy=400 мм, Py=1 МПа

ДБС

4б, 5б, 6б

Датчик расхода (расходомер) измерительный преобразователь расхода, класс точности 0,5; выходной сигнал 4-20 мА, Py=2-10 МПа

Метран-150 RFA

Вторичный прибор для контроля расхода, показывающий, регистрирующий, сигнализирующий, входной сигнал 4-20 мА, шкала 0-63 кг/с, погрешность ±0,5%

РМТ-39Д

5в, 6в

Вторичный прибор для контроля расхода, показывающий, регистрирующий, входной сигнал 0-5 мА, шкала 0-65 кг/с, погрешность ±0,5%

КП1Т

Измерительный преобразователь гидростатического давления, выходной сигнал 0-20 мА, раб.давление 10-250 кПа, погрешность ±0,5%

Метран-43- ДГ-3535

Вторичный прибор для контроля уровня, показывающий, регистрирующий, сигнализирующий, входной сигнал    0-20 мА, шкала 0-100%; погрешность ±0,5%

А-100Н

Регулятор ПИ-закон регулирования, со станций управления, входной сигнал 0-5 мА, выходной сигнал    4-20 мА

РП-4-П-М1

Регулирующий клапан КМО, Dy=10-300 мм, Py=1,6-16 МПа

КМО ЛГ


1.6 Основы техники безопасности и противопожарные мероприятия

Основные показатели взрыво-, пожароопасности и токсические свойства сырья, полупродуктов, готовой продукции, реагентов и отходов производства и характеристика воздействия на организм человека представлены в таблице 4.

Таблица 4

Основные показатели токсичности, взрыво- и пожароопасности, запыленности и загазованности

№ п/п

Наименование вредных веществ и выделений

Характеристика по токсичности

Характеристика по пожароопасности

Характер воздействия на организм человека

 



ПДК, мг/м3

класс опасности

tвсп, оС

tсам, оС

НПВ, оС

ВПВ, оС


 

1

2

3

4

5

6

7

8

9

 

1

Тяжелый вакуумный газойль

300

4

160

>200

91

155

Оказывает сильное наркотическое действие. При отравлении исчезает тонус мышц и рефлексы, наступает паралич дыхания.

 

2

Водород-содержащий газ

300

4

-

500

4,0 % об.

75 % об.

Вызывает расстройство функций нервной системы, паралич, судороги.

 

3

Бензин

100

4

-80

250

-30

24

При лёгком отравлении чувствуется головная боль, головокружение, слабость, учащенное сердцебиение, сухость во рту, тошнота. При попадании на кожу может вызвать как острое воспламенение, так и хронические экземы.

 

4

Дизельная фракция

300

65

210

58

108

Вызывают расстройство функций нервной системы, паралич, судороги

5

Тяжелый остаток

300

4

>62

>250

130

-

Вызывают расстройство функций нервной системы, паралич, судороги

6

Сероводород

0,008

2

-

246

4,3

46

При отравлении Н2S наблюдается резь в глазах, светобоязнь, ощущение инородного тела в глазах, тошнота

7

Углеводо-родный газ

300

4

-

250

1,0 %об.

7,0 %об.

Углеводороды при больших концентрациях оказывают сильное наркотическое действие. При отравлении исчезает тонус мышц и рефлексы, наступает паралич дыхания

8

Кислая вода (0,4% Н2S в воде)

2

10

-

-

-

-

При отравлении наблюдается резь в глазах, светобоязнь, ощущение инородного тела в глазах, тошнота


По взрывопожарной и пожарной опасности производство относится к категории Ан, так как в процессе гидрокрекинга образуются горючие газы и легковоспламеняющиеся жидкости с температурой вспышки до 28оС, в таком количестве, что могут образовать взрывоопасные парогазовые смеси, при воспламенении которых развивается расчетное избыточное давление взрыва  в помещении, превышающее 5 кПа.

Установка гидрокрекинга является наружной, поэтому, согласно «Правилам устройства электроустановок» (ПУЭ), относится к категории взрывоопасности В-1г. К этой категории взрывоопасности относится пространство технологических установок, содержащих горючие газы или легковоспламеняющиеся жидкости.

Отнесение производственных помещений к данным категориям объясняется тем, что здесь образуются горючие и негорючие жидкости; горючие газы, жидкости и твердые вещества, которые сжигаются или утилизируются в качестве топлива, а также негорючие вещества и материалы в холодном состоянии.

Установка оборудована автоматической пожарной сигнализацией. По периметру установки и снаружи у входов в здание операторной установлены ручные пожарные извещатели. Места установки пожарных извещателей оборудованы искусственным освещением. Все электротехнические помещения, помещения операторной и аппаратной оборудованы автоматическими пожарными извещателями.

Безаварийная остановка оборудования сводится к срабатыванию автоматических систем. При срабатывании автоматической системы происходит сброс давления в аппаратах и реакционной смеси через ППК на факел, перекрываются трубопроводы подвода сырья на установку.

Оповещение пожарной части о пожаре на установке осуществляется по телефону или посредством кнопочных извещателей взрывозащищенного исполнения. Кнопочные извещатели расположены на территории установки. При нажатии кнопки на пожарном извещателе включается световая сигнализация на пульте дежурного пожарного поста завода.

.7 Меры по охране окружающей среды

С целью снижения уровня отрицательного воздействия производства на окружающую среду предприняты следующие природоохранные мероприятия на установке гидрокрекинга:

) технологический процесс осуществляется в герметически закрытой аппаратуре;

) дымовые газы удаляются через дымовую трубу, высота которой 54 м, обеспечивает необходимую степень рассеивания в атмосфере в соответствии с санитарными нормами;

) освобождение аппаратуры от газообразных продуктов при сбросе давления производится в закрытую общезаводскую факельную систему;

) сбросы от предохранительных клапанов осуществляются либо в герметичное технологическое оборудование либо в закрытую общезаводскую факельную систему;

) для снижения содержания сероводорода в водородсодержащем и углеводородном газах, часть которых сбрасывается в топливную сеть, предусмотрен вывод этих газов на очистку моноэтаноламином. Вода после промывки и пропарки аппаратуры направляется в систему канализации и далее на очистные сооружения предприятия, где проходит механическую, физико-химическую и биологическую очистку. Очищенная вода подается в общезаводской коллектор.

Все горючие газы, содержащие сероводород должны подвергаться очистке от него. На установке гидрокрекинга для снижения содержания сероводорода в циркулирующем водородсодержащем и сбрасываемом в топливную сеть углеводородном газах предусмотрен вывод этих газов на очистку моноэтаноламином, где из поступивших газов абсорбируется сероводород, который после десорбции поступает на установку производства серной кислоты.

Сброс утечек от насосов, дренирование аппаратов и оборудования осуществляется по закрытой дренажной системе. Промливневые стоки проходят механическую, физико-химическую и полную биологическую очистку на существующих сооружениях завода. При аварийных разливах нефтепродуктов организуется их сбор и вывоз с установки. Не допускается смыв нефтепродуктов в промливневую канализацию.

Основной проблемой при воздействии установки гидрокрекинга на окружающую среду являются выбросы в атмосферу с отходящими газами различных вредных веществ. С целью предотвращения загрязнения атмосферного воздуха вредными веществами целесообразно существенно уменьшить содержание вредных веществ в отходящих газах.

В проекте для уменьшения вредного воздействия на окружающую среду установки гидрокрекинга предусматриваются следующие мероприятия:

) сброс от предохранительных клапанов на установке осуществляется в закрытую систему на факел;

) технологический процесс осуществляется в герметически закрытой аппаратуре под избыточным давлением;

) все оборудование размещено на открытой площадке;

) дымовые газы и газы регенерации удаляются через дымовую трубу, высота которой обеспечивает необходимое рассеивание вредных веществ (оксиды углерода, азота) в атмосфере в соответствии с санитарными нормами.

) продукты откачиваются с установки с температурой не более 40оC, что позволяет сократить потери углеводородов за счет испарения;

) резервуары оборудованы плавающими крышами с целью снижения выбросов углеводородов при больших и малых дыханиях;

) все вентиляционные агрегаты установлены в отдельных помещениях на виброизолирующих основаниях и присоединены к воздуходувкам гибкими вставками;

) экономия топлива с помощью рекуперации тепла в теплообменниках установки;

) постоянное повышение квалификации экологического образования каждого работника.

Меры обеспечения надежности охраны водных ресурсов и воздушного бассейна:

) на установке имеется одна система стоков - промышленно-ливневая. Качество сбрасываемых с установки сточных вод контролируется лабораторией по охране природы, а также ежемесячно технологическим персоналом. Стоки с установки направляются на очистные сооружения, где подвергаются механической, физико-химической и биологической очистке.

) в атмосферу выбрасываются дымовые газы из печи, вентвыбросы из насосной и компрессорной, неорганизованные выбросы.

) сбросы от предохранительных клапанов и продувки компрессоров осуществляется в факельную емкость.

) для предотвращения аварийных выбросов вредных веществ в окружающую среду предусмотрена система сигнализации и блокировок. В насосной и компрессорной установлены СВК (система внутреннего контроля).

Таким образом, внедрение перечисленных мероприятий по охране окружающей среды на установке гидрокрекинга позволит наиболее рационально использовать природные ресурсы и внесет определенный вклад в решение проблем данного производства.

. Расчетная часть. Материальный баланс процесса

При составлении материальных балансов процессов исходят из закона сохранении массы. На основании этого закона составляется материальный баланс процесса. Материальный баланс лежит в основе любого технологического расчета, кроме того он является инструментов контроля производства.

Составление материального баланса - основное звено в оценке технико-экономической эффективности химического процесса.

На основании данных материального баланса определяют основные технико-экономические показатели, такие как выход, селективность, степень превращения, расходные коэффициенты. Данные материального баланса используются при составлении теплового баланса, при термодинамических и кинетических расчетах, расчетах реакторов.

Данные для расчета материального баланса:

Производительность установки по нефти 4 млн. т/год.

Установка работает 340 дней в году.

Вакуумный газойль 44% масс на нефть.

Поступило:

Вакуумный газойль - 100%

Водородсодержащий газ - 2,57%

Итого: 102,57%

Получено:

Аммиак + сероводород - 0,73%

Углеводородный газ - 6,35%

Легкий бензин - 10,68%

Тяжелый бензин - 29,59%

Дизельное топливо - 33,81%

Остаток >360oC (тяжелый газойль) - 19,18%

Потери - 2,23%

Итого: 102,57%

Степень превращения сырья: К (конверсия) = m (масса сырья превращенного в готовый продукт) * 100% / m (масса сырья введенного) (масса сырья превращенного в готовый продукт) = К * m (масса сырья введенного) / 100% = 44% * 4000000 / 100% = 1760000 т/год (по вакуумному газойлю)

Производительность т/сут

Время работы установки 340 дней

Производительность = 1760000/340 = 5176,47 т/сут

Производительность кг/час

Время работы установки 340 дней * 24 час = 8160 час в год

Производительность = 1760000*1000/8160 = 215686,25 кг/час

Производительность кг/с

Время 1 час = 3600 секунд

Производительность = 215686,25/3600 = 59,91 кг/с

,57% = х

% = 1760000 т/год               х = 102,57*1760000 / 100 = 1805232 т/год

Водородсодержащий газ = 2,57%

Производительность = 2,57*1805232 / 102,57 = 45232 т/год

т/год = 45232/340 = 133,03 т/сут

,03 т/сут = 133,03*1000/24 = 5542,92 кг/час

,92 кг/час = 5542,92/3600 = 1,54 кг/с

Получено:

Аммиак + сероводород = 0,73*1805232 /102,57 = 12848 т/год

Углеводородный газ = 6,35*1805232 /102,57 = 111760 т/год

Легкий бензин = 10,68*1805232 /102,57 = 187968 т/год

Тяжелый бензин = 29,59*1805232 /102,57 = 520784 т/год

Дизельное топливо = 33,81*1805232 / 102,57 = 595056 т/год

Остаток >360oC (тяжелый газойль) = 19,18*1805232 /102,57 = 337568 т/год

Потери = 2,23*1805232 /102,57 = 39248 т/год

Таблица 4.            Материальный баланс установки гидрокрекинга.

Наименование  продукта

% масс.

т/год

т/сут

кг/ч

кг/с







Поступило:






Вакуумный газойль

100

1760000

5176,47

215686,25

59,91

Водородсодержащий газ

2,57

45232

133,03

5542,92

1,54

Итого:

102,57

1805232

5309,50

221229,17

61,45

Получено:






Аммиак + сероводород

0,73

12848

37,79

1574,58

0,44

Углеводородные газы

6,35

111760

328,70

13695,84

3,80

Легкий бензин

10,68

187968

552,85

23035,42

6,40

Тяжелый бензин

29,59

520784

1531,72

63821,67

17,73

Дизельное топливо

33,81

595056

1750,16

72923,33

20,26

Остаток >360oC (тяжелый газойль)

19,18

337568

992,85

41368,75

11,49

Потери

2,23

39248

115,43

4809,58

1,33

Итого:

102,57

1805232

5309,50

221229,17

61,45



Список используемой литературы

В.Н.Эрих, М.Г.Расина, М.Г.Рудин. Химия и технология нефти и газа Л., 1985г.

С.В.Вержичинская, Н.Г.Дигуров, С.А.Синицин, Химия и технология нефти и газа М., 2009г.

В.А.Рябов. Химия нефти и газа М., 2004г. И.И.Поликарпов и др. Оборудование нефтеперерабатывающего производства.

Альбом по переработки нефти и газа. ГУ нефти и газа им. Губкина, 2003г.

С.А.Ахметов. Технология глубокой переработки нефти и газа, 2002г.

Е.В.Смидович. Технология переработки нефти и газа. Часть 2-ая. Крекинг нефтяного сырья и переработка углеводородных газов. М.: Химия, 1980г.

Р.З.Магарил. Теоретические основы процессов переработки нефти. Л.: Химия, 1985г.

Э.Ф.Каминский. Глубокая переработка нефти. Москва, 2001г.

Похожие работы на - Процесс гидрокрекинга вакуумного газойля

 

Не нашли материал для своей работы?
Поможем написать уникальную работу
Без плагиата!
Без нейросетей!