|
Материал
|
|
|
|
БрО10Ф1
|
245
|
195
|
. Допускаемые напряжения.
Допускаемое напряжение:
Суммарное число циклов перемены напряжений:
- время работы
передачи, примем 10 000 ч.
Коэффициенты:
- коэффициент
эквивалентности
- эквивалентное
число циклов нагружения зубьев червячного колеса за весь срок службы
- учитывает
интенсивность изнашивания материала.
- коэффициент
долговечности.
Допускаемые контактные напряжения:
Допускаемые напряжения изгиба:
Предельные допускаемые напряжения:
. Межосевое расстояние.
= 610 для
эвольвентных, архимедовых и конволютных червяков.
= 1.025 начальный
коэффициент концентрации нагрузки.
Принимаем межосевое расстояние = 125 мм.
. Основные параметры передачи.
Число зубьев колеса:
= 1 - червяк
однозаходный
Модуль червяка:
Принимаем значение модуля m
= 5
Коэффициент диаметра червяка:
Коэффициент смещения:
Угол подъёма линии витка червяка.
. На начальном и делительном цилиндре
. Размеры червяка и колеса.
Диаметры червяка:
Делительный диаметр червяка:
Диаметр вершин витков:
Диаметр впадин:
Длина нарезанной части червяка:
Диаметры червячного колеса:
Делительный диаметр колеса:
Диаметр вершин витков:
Диаметр впадин:
Наибольший диаметр колеса:
Ширина венца:
- 0,355 при
однозаходном червяке.
Принимаем
Рис. 3 Размеры червячной передачи
. Проверочный расчёт передачи на
прочность.
Определим скорость скольжения в зацеплении:
Расчётное напряжение:
K = 1,0117 -
коэффициент нагрузки.
условие
выполняется
. КПД передачи.
КПД червячной передачи:
приведённый угол
трения, принимаем по таблице p
= 1.
. Силы в зацеплении.
Окружная сила на колесе, равная осевой силе на
червяке:
Окружная сила на червяке:
Радиальная сила:
20 для
стандартного угла.
Рис. 4 Силы зацепления в червяке
Расчётное напряжение изгиба:
коэффициент зуба
колеса. Принимаем
условие выполняется.
Расчёт зубчатой передачи.
. Выбор материала.
Материал шестерни 40ХН - Улучшение, HB
= 250,
=
630 МПа.
Материал колеса 45 - Нормализация, HB
= 200,
=
320 МПа.
. Допускаемые напряжения.
Предел контактной выносливости:
Для шестерни
Для колеса:
Допускаемые контактные напряжения:
Для шестерни:
Для колеса:
ZN
- коэффициент долговечности, принимаем = 0.95.
ZR
-
коэффициент учитывающий шероховатость, принимаем = 1
Zv
-
коэффициент учитывающий окружную скорость, принимаем = 1.
Допускаемые напряжения изгиба:
Для шестерни:
Для колеса:
предел
выносливости.
. Межосевое расстояние.
Находим предварительное значение межосевого
расстояния:
коэффициент
зависящий от твёрдости поверхности зубьев.
момент на
шестерне.
Окружная скорость:
частота вращения
шестерни.
По ГОСТ 164-81 степень точности при данной
скорости - 9.
Уточняем межосевое расстояние:
для прямозубых
колёс = 450.
коэффициент ширины
= 0,25.
коэффициент
нагрузки, принимаем = 1.2
Принимаем
. размеры колеса и шестерни, модуль.
Предварительный делительный диаметр
колеса:
Ширина:
Принимаем
Максимальное значение модуля:
Минимальное значение модуля:
для прямозубых =
3.4 ∙ 103.
коэффициент
нагрузки при расчёте по напряжениям изгиба, принимаем = 1,58.
Принимаем модуль m
= 2.5
Суммарное число зубьев:
Число зубьев шестерни:
Принимаем Z1
= 44
Число зубьев колеса:
Фактическое передаточное число передачи:
Диаметры.
Шестерня:
Делительный диаметр:
Диаметр вершин:
Диаметр впадин:
Колеса:
Делительный диаметр:
Диаметр вершин:
Диаметр впадин:

Рис. 5 Размеры зубчатой шестерни (слева) и
колеса (справа).
. Проверка по контактным напряжениям.
Проверка зубьев по контактным напряжениям:
- для прямозубых.
,82 < 405,9091,
условие выполняется.
. Силы в зацеплении.
Окружная сила:
Радиальная:
Так как передача прямозубая, то осевая сила в
зацеплении отсутствует.
Рис. 6 Силы зацепления в зубчатой передачи.
. Проверка зубьев колёс по напряжениям
изгиба.
В зубьях колеса:
коэффициент,
учитывающий форму зуба, принимаем = 3,59
,5997 < 133,82 условие выполняется.
В зубьях шестерни:
,6542 < 167,28 условие выполняется.
Расчёт валов.
Материалы для валов:
Сталь 45. Улучшение.
n =1,5 … 2,5 -
коэффициент запаса прочности.
= 1,5 … 2 -
коэффициент концентраций напряжений.
Данные:
Силы на червячном колесе:
Fr1
=
664.0149 Н
Fa1
=
215.7263 Н
Ft1
=
1834 Н
Силы на шестерне:
Fr2
=
1213 Н
Ft2
= 3334
Н
. Расчёт вала червячный редуктор -
шестерня.
Рис. 6 Предварительные размеры вала.
Вертикальные силы:
∑M(A)=0;
∑М(B)=0;
∑М(C)=0;
Составим систему линейных уравнений
Решая систему уравнений получаем:
Ra
= 372.696 Н
Rb
= -543.3602 Н
Rc
= 2048 Н
Горизонтальные силы:
∑M(A)=0;
∑М(B)=0;
∑М(C)=0;
Составим систему линейных уравнений
Решая систему уравнений получаем:
Ra
= 838.29 Н
Rb = -1442 Нc
= 5771 Н
Рис. 7 Эпюра вала червячный редуктор - шестерня.
Диаметры вала:
Конструктивно принимаем значение d1
= 30
мм
Конструктивно принимаем значение d2
= 30 мм
Конструктивно принимаем значение d1
= 45 мм
Конструктивно принимаем значение d4
= 35 мм - размер под шестерню.
. Расчёт вала для зубчатого колеса.
На втором валу с зубчатым колесом держится вес
руки.
Данные:
Vz
= 0,5 м/с - скорость перемещения по оси Z.
Z = 0,5 м - величина
перемещения по оси Z.
mр =
120 кг - масса руки.
m = 400 кг - масса
всей верхней части робота.
Ускорение руки при движении по оси Z:
Сила тяжести:
G = 9,81∙400 =
3924 Н
Сила инерции при движении руки по оси:
Fин =
120∙1 = 120 Н
Максимальный вес, действующий на вал:
G = 3924 + 120 =
4044 Н
Рис. 8 Предварительные размеры вала.
Вертикальные силы:
∑M(A)=0;
∑М(B)=0;
Горизонтальные силы
∑M(A)=0;
∑М(B)=0;
Рис. 9 Эпюра вала-шестерни.
Диаметры вала:
Конструктивно принимаем значение d1
= 80 мм.
Конструктивно принимаем значение d2
= 90 мм - размер под подшипник.
Конструктивно принимаем значение d1
= 80 мм.
робот груз зубчатый
Заключение
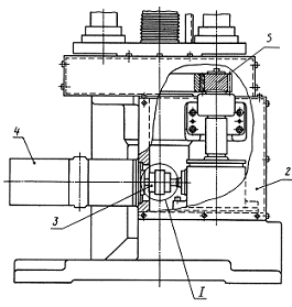
Промышленный робот М20П.40.01 является
устаревшим образцом промышленных цилиндрических роботов. Несмотря на это он
отлично подходит в качестве учебного пособия для студентов технических вузов.
Это обеспечивается за счет простоты конструкции, высокой надежности и хорошего
доступа к узлам робота, по которым можно изучать такие кинематические передачи,
как винтовая пара качения, зубчатые передачи, ременные передачи, пневмоприводы,
которые обеспечивают движение поступательным и вращательным степеням
подвижности робота.