Проектирование швейного цеха

  • Вид работы:
    Курсовая работа (т)
  • Предмет:
    Другое
  • Язык:
    Русский
    ,
    Формат файла:
    MS Word
    40,08 Кб
  • Опубликовано:
    2014-07-10
Вы можете узнать стоимость помощи в написании студенческой работы.
Помощь в написании работы, которую точно примут!

Проектирование швейного цеха

Введение

В настоящее время для производителей открылось реальная возможность наполнить внутренний рынок товарами народного потребления. Связанно это, в первую очередь, с ростом цен на импортную продукцию и сокращением объемов ее поставок. Поэтому одной из главных задач, стоящих перед швейными предприятиями, является расширение ассортимента выпускаемой продукции и резкое улучшение ее качества при одновременном повышении рентабельности производства.

Наряду с высокотехнические оснащенными предприятиями швейной промышленности в последние годы отмечается тенденция по организации новых производств малого и среднего бизнеса по изготовлению различных швейных изделий.

При разработке технологических процессов необходимо комплексно решать вопросы промышленного моделирования, конструирования, подбора материалов, входящих в пакет изделия, и комплектующих, а также выбора рациональных способов обработки изделий.

Важным этапом проектирования швейного производства является подбор рационального комплекта оборудования и средств технологической оснастки, в который могут входить: новые стачивающие и специальные машины с элементами автоматики (обрезка ниток в конце строчек, подъем лапки), обеспечивающие повышение производительности труда за счет сокращения времени на выполнение ручных работ (взять ножницы, обрезать нитки, отложить ножницы и т.д.), специальное оборудование полуавтоматического действия для выполнения отделочных элементов - складок, защипав, буф, мережек и т.д., новые аналогичные стачивающие и специальные машины без элементов автоматики, паровое оборудование для ВТО, прессы для дублирования.

Выбор оборудования и средств технологической оснастки во многом определяет особенности технологии изготовления швейных изделий.

Для предприятий, выпускающих плательный ассортимент, характерны частая сменяемость моделей и относительно небольшая величина партии изделий.

В связи с большим разнообразием моделей изготовление изделий платьевой группы рекомендуется производить на многофасонных и секционных агрегатно-групповых потоках. Одновременно на таком потоке могут изготавливаться 3 - 6 моделей, разных по трудоемкости. В потоках выделяются секции по заготовке деталей, монтажу изделия и окончательной отделки.

В заготовительной секции, как правило, с концентрированно специальное оборудование для выполнения отделочных операций, пресс для дублирования.

Применение прогрессивных форм организации производств, наряду с использованием передовой техники и технологии, имеет большое значение для роста производительности труда и улучшения качества продукции.

Целью данного проекта является разработка многофасонного потока с последовательным запуском по изготовлению женских костюмов, а также швейного цеха, в котором размещаются спроектированные потоки.

1.      Описание внешнего вида предлагаемой модели

Костюм женский для средней возрастной группы из плательно -костюмной ткани, состоящий из жакета и юбки.

Жакет полуприлегающего силуэта с центральной застежкой на 4 обметанные петли и 4 пуговицы, отрезной ниже линии талии с воланом по низу. Полочки с боковыми нагрудными и талиевыми вытачками.

Спинка со средним швом.

Воротник втачной, с отложными лацканами. Воротник и лацканы с закругленными концами.

Рукава втачные, одношовные, длинные.

Юбка женская, прямая, двухшовная, длиной до колена.

Переднее и заднее полотнища юбки с вытачками от линии талии.

Пояс притачной, застегивающийся на пуговицу и обметанную петлю. Застежка на тесьму - молнию в левом боковом шве.

2. Организация производства. Расчет и анализ потока

.1 Предварительный расчет потока в цехе

Предварительный расчет потоков производят как при проектировании новых, так и при организации действующих потоков. Это делается для того, чтобы в начальной стадии проектирования на основе анализа исходных данных и показателей работы потоков произвести размещения их в цехах, определить наиболее целесообразные и эффективные формы организации потоков.

В первую очередь производят расчеты показателей работы основного потока, а затем по укрупненным показателям остальные потоки. По каждому потоку определяют такт потока, число рабочих, выпуск в смену, количество рабочих мест, длину поточной линии, площадь для размещения потоков.

Расчет параметров основного потока.

Исходными данными для предварительного расчета потока является: ассортимент изделий (вид изделий); количество одновременно изготавливаемых моделей (изделий), их соотношение в выпуске; один из параметров потока (выпуск изделий в смену, количество рабочих, такт потока, производительная площадь), трудоемкость изготовления изделия.

Такт потока определяется по формуле:

.Зная мощность рассчитаем такт потока (τ):

τ = , где

τ - такт потока,с

R - продолжительность смены,с

M - выпуск в смену,шт

τ = = 131

.Количество рабочих в потоке определяется по формуле:

N = , где

N - кол-во рабочих

T - время на обработку изделия,с

N =

Подсчитаем трудоемкость изготовления модели.

Тизд.В = 3932(с).

3. Детали кроя жакета

 

полочка -2 шт.

2 спинка - 2 шт.

рукав - 2 шт.

верхний воротник - 1шт.

нижний воротник - 2 шт.

обтачка горловины - 2 шт.

подборт - 2 шт.

обтачка рукава - 2 шт.

волан - 2 шт.

Детали кроя юбки

переднее полотнище юбки - 1шт.

заднее полотнище юбки - 1 шт.

пояс - 1 шт.

4. Матрица связей



1

2

3

4

5

6

7

8

9

Количество связей

1

×

1

1

1

1

0

0

1

6

2

1

×

1

0

1

1

0

0

0

4

3

1

1

×

0

0

0

0

1

0

3

4

0

0

0

×

1

1

1

0

0

3

5

1

1

0

1

×

0

0

0

0

3

6

0

0

0

1

0

×

1

0

0

2

7

1

0

0

1

0

1

×

0

1

4

8

0

1

0

0

0

0

×

0

1

9

1

0

0

0

0

0

1

0

х

2


За основную сборочную единицу принимается деталь, у которой наибольшая сумма связей с другими деталями, в данном случае полочка.

5. Схема сборки модели женского жакета


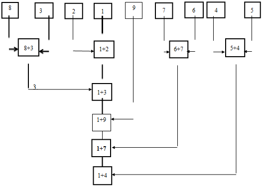
6. Построить граф процесс изготовления изделия

костюм крой жакет юбка



7. Составление технологической схемы основного потока

Исходя из данных предварительного расчета потока и в соответствии с выбранным типом потока, определяем условия согласования времени операций потока с тактом. Для потоков с последовательным запуском оно рассчитывается по формуле:

 К

Для АГП потоков на отдельных операциях допускается повышение такта на 15 - 20%, то есть отклонение равно . Для графического анализа загрузки (синхронности) организационных операций с целью выявления отклонений отдельных операций от такта потока построим график согласования времени выполнения организационных операций.

График строят следующим образом: вычерчивают оси координат и намечают линию такта потока и допустимые отклонения от такта.


"0" на графике означает линию такта и равен 1.


Синхронный график.

Для графического анализа структуры потока построим монтажный график.

Сводка рабочей силы технологического потока по изготовлению женской одежды.


Проведем анализ технологической схемы потока по следующим показателям.

) Средний разряд:

 ;

2) Средний тарифный коэффициент:


) Коэффициент согласования:

К= == 1,09

) Выробатка на одного рабочего в смену:

B =  =  = 219,8=7,3

)

 =  =  =  = 0,8

6) Стоимость изготовления изделия:

С =  = 62,18 руб.

Составление технологической схемы основного потока.

Данные по ЭП приведем в таблице.

Технико-экономические показатели проектируемого потока.

№ п/п

Технико-экономические показатели

Размерность

Числовое значение

1

Выпуск в смену, (М)

ед.

30

2

Время изготовления изделия, Тизд


3932

3

Кол-во рабочих в потоке, Nф

чел.

30

4

ед/см

1,09

5

Средний разряд, Ср


3,01

6

Средний тарифный коэффициент, СКт


1,8

7

Стоимость изготовления изделия, С

руб.

62,18

8

Коэффициент механизации, Км

с

0,8



8. Сводная таблица оборудования и рабочих мест потока

№ п/п

Оборудование

Кол-во оборудования



основного

запасного

всего

1

131-311+100 АО "Орша " Беларусь

16

2

18

2

AZ 8003H-A4DFПО "Азов" Россия

2

-

2

3

AZ6500H-C5DF ПО "Азов"Россия г.Подольск

11

1

12

4

852*28 "ЗПШМ" г. Подольск

3

-

3

5

285 кл.

1

-

1

6

1025 кл. АО "Орша"

4

-

4

7

1095 кл. "ЗПШМ" г. Подольск

4

-

4

8

101+0081+УТП-207 ОАО "Агат"

13

1

14


Планировка потоков в цехе и размещение рабочих мест в потоке зависят от выбранного способа организации технологического процесса и осуществляется в соответствии с предъявленными к ней требованиями.

Организация внутрицехового транспорта.

На неконвеерных потоках используют бесприводные внутрипроцессные средства перемещения. Бесприводные средства являются самыми простыми и экономичными в изготовлении и эксплуатации. Наибольшее распространение получили:

тележки-контейнеры напольного транспортирования для перемещения и хранения пачек кроя и деталей на стадии начальной обработки и полуфабрикатов (в заготовительной секции);

тележки-стеллажи напольного транспортирования для перемещения и хранения пачек и полуфабрикатов;

тележки-кронштейны напольного транспортирования для передачи и хранения полуфабрикатов и готовых изделий;

внутрипроцессные транспортные плоскости для хранения и передачи пачек деталей и полуфабрикатов.


9.      Контроль качества. Организация управления качества продукции в цехе, на потоке

Проблемы совершенствования качества продукции включают в себя организацию научно обоснованной эффективности системы технического контроля.

Отдел технического контроля - является контролирующей организацией, главная обязанность которой - предупредить выпуск предприятием продукции, не соответствующей стандартом, ТУ и т. д.

Кроме того, ОТК вменяется в обязанности проводить совместно с цехами, отделами и лабораториями анализ дефектов, выявленных в процессе контроля или эксплуатации, принимать меры к их устранению.

Основное внимание работников ОТК должно быть направлено на тщательный контроль поступающих на предприятие материалов, полуфабрикатов, фурнитуры и т. п., на контроль готовой продукции и законченной продукции основных цехов, наиболее ответственных операций и др.

Для обеспечения качества работы на всех этапах и стадиях производственного процесса на предприятии должен проводится операционный контроль, который ставит своей целью контроль продукции или технологического процесса после завершения определенной производственной операции: контроль технологических операций, контроль технологического процесса и контроль за хранением, упаковкой и отправкой изделий.

В швейном цехе задачей операционного контроля является контроль качества полуфабрикатов в целях предупреждения брака в готовом изделии. Для этого контроль качества полуфабрикатов должен быть организован таким образом, чтобы можно было проверить правильность обработки всех узлов и деталей изделия до их монтажа.

При организации контроля качества в швейном цехе нужно использовать различные формы контроля: самоконтроль, взаимоконтроль, межоперационный контроль и стационарный контроль, проводимый силами работников ОТК, который устанавливаю при проверке готовых изделий.

При отборе людей на контрольные операции следует отдавать предпочтение квалифицированным рабочим с хорошим глазомером, так как методы контроля в основном органолептические. Так же для повышения эффективности контроля все рабочие швейного цеха должны знать требования к качеству не только выполняемой ими операции, но и предшествующей и последующей операций, должны уметь правильно устанавливать причины возникновения дефекта и быстро его устранять.

10.    Организация рабочих мест для различных специальностей

В этом подразделе необходимо отразить: расчетные данные технологически неделимых операций, технические условия выполнения операций, требования к качеству изготовления, рациональную организацию рабочего места с организационно - технологической оснасткой и предметами труда, рациональные приемы выполнения операций с учетом передового опыта.

Карта инженерного обеспечения рабочих мест.

Тех. операции

Тех. Условия выполнения операций

Доп. отклонения

Оснастка раб. места (приспособл-я)

Застрачивание низа изделия, рукавов.

Ширина шва 0,5 см

+ 0,2 см

2 - 46 сборка №305192 3061200

Стачивание срезов

Ширина шва 1 см

+ 0,2 см

-

Притачивание тесьмы-"молнии"

В шов стачивания

+ 0,1 мм

1 - 59

Обтачивание горловины

Ширина шва 0,5 - 0,7 см

+ 0,1 см

-

Выполнение отделочных строчек

Ширина шва 0,1 см

+ 0,05 см

1 - 1 сборка № 305492 4703200 или 1-41

Притачивание отделочных деталей

Ширина шва 1,0 см

+0,2

-

Режимы ВТО

180 - 190 оС

+5о С

Различные колодки



Вывод

Задачей курсовой работы являлся выбор подходящей формы организации потока для изготовления женских костюмов.

На основании проделанной работы можно сделать вывод, что по своим характеристикам и показателям выбранная форма организации подходит для этого потока.

Список использованной литературы

1. Амирова Э.К., Труханов А.Т. и др. Технология швейного производства: Учеб. пособие для сред. проф. учеб. заведений - М.: Издат. центр "Академия", 2004.

. Шершнева Л.П. Качество одежды - М.: Легпромбытиздат, 1985.

. Савостицкий А.В., Мелихов Е.Х. Технология швейных изделий. М.: Легкая и пищевая промышленность, 2012.

. Типовая техническая документация по конструированию, технологии изготовления, организации производства, труда, основным и прикладным материалам, применяемым при изготовлении швейных изделий.

. Изместьева А.Я. и др. Технологический расчет основных цехов швейных фабрик. М.: Легкая индустрия, 2008.

. Изместьева А.Я. и др. Проектирование предприятий швейной промышленности. М.: Легкая и пищевая промышленность, 2007.

. Журналы "Швейная промышленность" за последние годы.

. Справочник по швейному оборудованию / Зак И.С., Горохов И.К,, Воронин В.И. и др.М., 2011.

. Единый тарифно-квалификационный справочник работ и профессий рабочих. Вып. 48, разд. "Швейное производство". М.: НИИтруда.

. Демина А.П., Клюев Б.В. Технология швейных изделий. Дипломное проектирование. Программа и методические указания по проектированию швейного и отделочного цехов для студентов специальности 1105.- М.:

Похожие работы на - Проектирование швейного цеха

 

Не нашли материал для своей работы?
Поможем написать уникальную работу
Без плагиата!
Без нейросетей!