Проектирование газораспределительной станции
МИНИСТЕРСТВО
ОБРАЗОВАНИЯ И НАУКИ РОССИЙСКОЙ ФЕДЕРАЦИИ
«РОССИЙСКИЙ
ГОСУДАРСТВЕННЫЙ УНИВЕРСИТЕТ НЕФТИ И ГАЗА ИМЕНИ И.М.ГУБКИНА»
КАФЕДРА
«НЕФТЕПРОДУКТООБЕСПЕЧЕНИЯ И ГАЗОСНАБЖЕНИЯ»
Курсовой
проект по курсу
«Газораспределительные
сети»
Доцент,д.т.н. Орехова
И.В.
Выполнила студентка
группы ТП-11-03 Одинцова А.А.
Москва
2015г
Содержание
1. Механический
расчет газопровода-отвода
2.Физические
свойства природного газа
3.Давление
газа на входе в ГРС
.Расчет
тупиковой разветвленной сети среднего давления
.Технологическая
схема, работа оборудования и компоновка ГРС. Выбор регулятора давления
.Графическая
часть
Литература
1.Механический расчет газопровода-отвода.
.Расчет толщины стенки:
Где
-
коэффициент перегрузки;
;
- рабочее
(нормативное давление), МПа;
- наружный диаметр
газопровода, мм;
;
- расчетное
сопротивление материала трубопровода растяжению или сжатию;
Где
-
коэффициент условия работы трубопровода;
- выбирается в
зависимости от категории трубопровода (для данного варианта категория
трубопровода III);
- нормативное
сопротивление растяжению (сжатию) металла труб, соответствующее минимальному
значению временного сопротивления, МПа. Трубы, предназначенные для
строительства газопроводов, нефтепроводов и нефтепродуктопроводов на рабочее
давление 5,4 - 7,4 МПа (марка стали - Ст09Г2).
Проверка прочности.
Рассчитаем продольные осевые напряжения:
где a - коэффициент
линейного расширения металла трубы,
,
a
= 1,2×10-5
∆t
.
Е - переменный параметр упругости (модуль Юнга),
МПа,= 210000 МПа
m - переменный коэффициент поперечной деформации
стали (коэффициент Пуассона), m = 0,25;- нормативное давление,
МПа
- внутренний
диаметр нефтепровода, мм;
- номинальная
толщина стенки,;
- коэффициент
надежности по нагрузке,
;
- расчетное
сопротивление растяжению (сжатию) металла трубы, определенное выше.
Проведем проверку на прочность в продольном
направлении:
Т.к.
,
то сжимающих напряжений в трубопроводе нет, и коэффициент y2
= 1. Толщину стенки округляем в большую сторону[1].Условие прочности в
продольном направлении примет вид
Таким образом, условие прочности выполняется.
Проверка прочности с номинальной толщиной
стенки.
Номинальная толщина стенки для труб диаметром
426 мм должна приниматься 9 мм, исходя из толщины которую мы рассчитали
Проведем проверку на прочность в продольном
направлении:
Т.к.
,
то сжимающих напряжений в трубопроводе нет, и коэффициент y2
= 1. Условие прочности в продольном направлении примет вид
Таким образом, условие прочности выполняется.
Для дальнейших расчетов
2.Физические свойства природного газа
|
Состав
природного газа, %
|
|
    
|
|
|
|
|
|
|
90,76
|
4,24
|
3,89
|
0,11
|
0,25
|
0,75
|
Основные физико-химические свойства компонентов
газов, используемые для газоснабжения
|
Газы
|
Молекулярная
масса, кг/моль
|
Плотность
при 0 °С
и атмосферном давлении, кг/м3
|
Критическая
температура, К
|
|
|
16,0430,7175190,5554,5988
|
|
|
|
|
|
|
30,0701,3351305,834,880
|
|
|
|
|
|
|
44,0972,0098369,824,250
|
|
|
|
|
|
|
58,1232,7091425,153,784
|
|
|
|
|
|
|
44,0101,9767304,207,386
|
|
|
|
|
|
|
28,0141,2555126,23,390
|
|
|
|
|
|
|
|
|
|
|
|
|
Молекулярная масса газовой смеси:
Газовая постоянная смеси:
Критическая температура газовой смеси:
Критическое давление газовой смеси:
Приведенная температура (при нормальных
условиях):
Приведенное давление:
Коэффициент сжимаемости:
Плотность газовой смеси:
Число Воббе:
Согласно ГОСТ 22667-82 «Газы горючие природные.
Расчетный метод определения теплоты сгорания, относительной плотности и числа
Воббе»
|
Низшая
теплота сгорания, МДж/м3
|
|
    
|
|
|
|
|
|
|
35,88
|
64,36
|
93,18
|
123,57
|
-
|
-
|
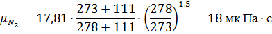
Расчет величины вязкости газовой
смеси:
|
Наименование
газа
|
Метан
|
Этан
|
Пропан
|
Бутан
|
|
|
|
Динамический
коэффициент вязкости при 0
|
10,28
|
12,23
|
7,5
|
6,9
|
14,8
|
17,81
|
|
Постоянная
Сазерленда
|
162
|
252
|
373
|
377
|
240
|
111
|

Определим объемный расход в газопроводе отводе:
Определим массовый расход:
Определим коэффициент гидравлического
сопротивления:
Где
-
среднее значение абсолютной эквивалентной шероховатости;
Примем
.
4.Расчет тупиковой разветвленной сети среднего
давления
Рабочее давление газа на входе в ГРС 5,5 МПа
Избыточное давление в начале сети (после ГРС) Рн
= 0,3 МПа
Перед потребителем не менее Рк = 0,05 МПа
Расходы газа потребителям (м3/ч):
|
ГРП-1
|
ГРП-2
|
Районная
котельная
|
|
|
РК-1
|
РК-2
|
РК-3
|
РК-4
|
|
5480
|
4160
|
6800
|
6700
|
6020
|
5860
|
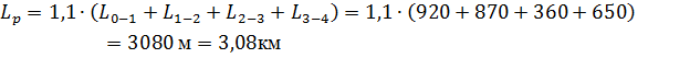
Геометрические размеры по плану (м):
|
0-1
|
1-2
|
2-3
|
3-4
|
1-5
|
5-6
|
5-7
|
2-8
|
8-9
|
8-10
|
3-11
|
|
920
|
870
|
360
|
650
|
450
|
530
|
270
|
490
|
130
|
360
|
680
|
Расчет тупиковой сети будем проводить с помощью
традиционного метода.
Методика расчета сводится к определению
необходимых диаметров газопроводов и к проверке заданных перепадов давлений.
Расчет главного направления ГРС - ГРП-2:
- расчетная длина
участка сети с учетом 10% надбавки на местные сопротивления.
Далее по номограмме для определения потерь
давления в газопроводах высокого давления определим диаметр, отложив по
вертикальной оси
, а по горизонтальной
оси
.
Так же по номограмме находим
Определим давление
в
точке 1:
Расчет участка 1-2:
Далее по номограмме определим диаметр, отложив
по вертикальной оси
, а по
горизонтальной оси
.

Определим давление
в
точке 2:
Расчет участка 2-3:
Далее по номограмме определим диаметр, отложив
по вертикальной оси
, а по
горизонтальной оси
.
Так же по номограмме находим
Определим давление
в
точке 3:
Расчет участка 3-4:
Далее по номограмме определим диаметр, отложив
по вертикальной оси
, а по
горизонтальной оси
.
Так же по номограмме находим
Определим давление
в
точке 4:
Расчет направления 3-11:
Предположим, что давление в точке 11 равно 0,15
МПа, тогда:
Далее по номограмме определим диаметр, отложив
по вертикальной оси
, а по
горизонтальной оси
.
Так же по номограмме находим
Определим давление
в
точке 11:
Расчет направления 2-8-10:
Предположим, что давление в точке 8 равно 0,15
МПа, тогда:
Далее по номограмме определим диаметр, отложив
по вертикальной оси
, а по
горизонтальной оси
.
Так же по номограмме находим
Определим давление
в
точке 8:
Расчет участка 8-10:
Далее по номограмме определим диаметр, отложив
по вертикальной оси
, а по
горизонтальной оси
.
Так же по номограмме находим
Определим давление
в
точке 10:
Расчет направления 2-8-9:
Предположим, что давление в точке 9 равно 0,15
МПа, тогда:
Далее по номограмме определим диаметр, отложив
по вертикальной оси
, а по
горизонтальной оси
.
Так же по номограмме находим
Определим давление
в
точке 9:
Расчет направления 1-5-6:
Предположим, что давление в точке 8 равно 0,15
МПа, тогда:
Далее по номограмме определим диаметр, отложив
по вертикальной оси
, а по
горизонтальной оси
.
Так же по номограмме находим
Определим давление
в
точке 5:
Расчет участка 5-6:

Далее по номограмме определим диаметр, отложив
по вертикальной оси
, а по
горизонтальной оси
.
Так же по номограмме находим
Определим давление
в
точке 6:
Расчет направления 1-5-7:
Предположим, что давление в точке 7 равно 0,15
МПа, тогда:
Далее по номограмме определим диаметр, отложив
по вертикальной оси
, а по
горизонтальной оси
.
Так же по номограмме находим
Определим давление
в
точке 5:
|
Участок
|
Длина,
   Давление,
|
|
|
|
|
|
  
|
|
|
|
|
|
|
|
Расчет
главного направления ГРС - ГРП 1
|
|
920101235020377×942400340
|
|
|
|
|
|
|
|
|
87095721520325×828340301
|
|
|
|
|
|
|
|
|
3603969640219×640301273
|
|
|
|
|
|
|
|
|
6807485480150×4,583273112
|
|
|
|
|
|
|
|
|
|
|
|
Расчет
отвода 3-4
|
|
6507154160133×483273114
|
|
|
|
|
|
|
|
|
Расчет
ответвления 1-5-6
|
|
1-5
|
450
|
495
|
13500
|
219×6
|
97
|
340
|
268
|
|
5305836700150×4,590268139
|
|
|
|
|
|
|
|
|
|
|
|
Расчет
отвода от ответвления 5-7
|
|
5-7
|
720
|
792
|
6800
|
219×6
|
92
|
268
|
251
|
|
Расчет
ответвления 2-8-10
|
|
2-8
|
490
|
539
|
11880
|
219×6
|
70
|
301
|
237
|
|
8-10
|
360
|
396
|
5860
|
150×4.5
|
75
|
237
|
160
|
|
935
|
|
|
Расчет
отвода от ответвления 8-9
|
|
8-9
|
130
|
132
|
6020
|
150×4.5
|
237
|
220
|
.Технологическая схема, работа оборудования и
компоновка ГРС. Выбор регулятора давления
В конце магистрального газопровода или на отводе
от него в любой точке для подачи газа в газораспределительную сеть города,
населенного пункта ли промышленного предприятия сооружаются ГРС.
Газораспределительные станции предназначены для
выполнения следующих операций:
приема газа из магистрального газопровода;
очистки газа от механических примесей;
снижения давления до заданной величины;
автоматического поддержания давления на заданном
уровне;
распределения газа по потребителям;
измерения количества газа.
Кроме того, на ГРС может осуществляться
одоризация газа.
Принцип работы основного оборудования ГРС.
Регуляторы давления
Регулятором давления принято называть
устройство, автоматически поддерживающее рабочее давление в газопроводе на
заданном уровне путем изменения количества газа, протекающего через регулирующий
клапан. Он состоит из регулирующего и реагирующего устройств. Основная часть
последнего - чувствительный элемент (например, мембрана). Основной частью
регулирующего устройства является регулирующий орган и чувствительный элемент,
которые соединены между собой исполнительной связью.
В зависимости от пропускной способности,
величины начального и конечного давлений, места установки и назначения
регуляторы отличаются конструктивным исполнением, формой и размерами.
По принципу действия регуляторы давления газа
бывают прямого действия и непрямого действия. Регуляторы прямого действия
управляются непосредственно редуцируемым газом из газопровода низкого давления.
Регуляторы непрямого действия для управления используют постороннюю энергию от
управляющего узла (пилота).
Регулирование давления газа происходит следующим
образом. Степень открытия дроссельного органа, которая определяется давлением
газа за регулятором, достигается установкой тарельчатых грузов или пружины,
создающих соответствующее усилие. Изменение расхода газа вызывает изменение
давления за регулятором, которое по импульсной трубке передается в
подмембранную полость. Если давление газа понизилось, мембрана под действием
груза опустится и прикроет седло клапана. Если давление за регулятором
повысилось, то мембрана, преодолевая усилие груза или пружины, приподнимется и
прикроет седло.
Для замедления перемещения мембраны в крышке
регулятора делают дыхательное отверстие диаметром 2-3 мм.
В качестве чувствительного элемента применяют
мембраны, изготовленные из специальной кожи, пропитанной смесью касторового (50
%) и вазелинового (50 %) масел. Иногда применяют мембрану из
маслобензоморозостойкой протестированной листовой резины.
Регуляторы прямого действия с усилителем состоят
из двух узлов -клапана регулирующего и пилота. В этих регуляторах мембрана
подвергается двухстороннему воздействию газа: с одной стороны, давление из
контролируемой точки (из газопровода низкого давления), а с противоположной
стороны - давление газа, прошедшего через пилот (редуктор).
В регуляторах непрямого действия импульс
давления газа поступает на чувствительный элемент регулятора из управляющего
устройства (пилота) .В надмембранное пространство подается воздух (газ)
постоянного давления, называемый командным. Давление газа через импульсную
трубку приводит в действие манометрическую пружину, которая через рычажное
устройство перемещает заслонку, открывающую или закрывающую воздушное сопло. В
зависимости от положения заслонки меняется давление воздуха (газа),
поступающего в надмембранное пространство, что вызывает перемещение мембраны.
Предохранительные и сбросные устройства.
К вспомогательным устройствам данного вида
относятся:
предохранительные запорные (ПЗУ)
предохранительные пружинные сбросные устройства
(ПСУ).
Они предназначены для предотвращения чрезмерного
повышения или понижения давления поступающего в газопроводы газа.
В ГРП (ГРУ) ПЗУ устанавливают на газопроводе
перед регулятором давления, а ПСУ - за регуляторами давления.
Предохранительные запорные устройства типа
ПКН(ПКВ) являются полуавтоматическими устройствами. Устройство автоматически
закрывается при выходе контролируемого давления за установленный верхний или
нижний пределы, а открывается вручную.
Принцип работы клапана следующий: в открытом
положении штифт рычага, сцеплен с крючком анкерного рычага. Нижний конец
молотка упирается в выступ этого же рычага. Штифт молотка сцепляется с концом
коромысла. Когда контролируемое давление находится в установленных пределах,
пружина нижним торцом через тарелку упирается в выступ крышки мембранной
коробки и не оказывает давления на мембрану.
Мембрана под действием давления снизу занимает
среднее положение. Гайка прижата к тарелке пружины. Коромысло находится в
горизонтальном положении и сцеплено со штифтом молотка.
Когда давление под мембраной превысит предел,
установленный пружиной, мембрана со штоком начнет подниматься, сжимая пружину.
Поднимается и внутренний конец коромысла, а конец его выйдет из зацепления со
штифтом молотка, упадет и ударит по концу анкерного рычага. Рычаг выйдет
зацепления и упадет, в результате чего клапан окажется открытым.
Когда давление под мембраной упадет ниже
предела, установленного пружиной, мембрана со штоком начнет опускаться,
наружный конец коромысла переместится вверх и выйдет из зацепления со штифтом
молотка. В результате клапан окажется перекрытым.
Предохранительное запорное устройство типа
ПКК-40М так же является полуавтоматическим устройством, предназначенным для
автоматического перекрытия потока неагрессивных газов или температурой не выше
60°С в случаях повышения давления в контролируем участке сети сверх
установленного предела или при уменьшении перепада между входным и
контролируемым давлениями ниже определенного предела. Устройство ПКК-40М
устанавливают перед регулятором давления, а импульс контролируемого давления
берут после регулятора. Открывают его вручную, для чего необходимо отвернуть
пусковую пробку.
Для того чтобы открыть клапан, необходимо
отвернуть пусковую пробку, при этом пространство между мембранами сообщается с
атмосферой через отверстия в пробке. Входное давление газа, преодолевая усилие
пружины клапана, поднимает его и нижнюю мембрану вверх до упора, а отверстие в
конце штока окажется закрытым клапаном в центре верхней мембраны после этого
пусковая пробка завинчивается. Газ через открытый клапан поступает в сеть и из
контролируемого участка (по импульсной трубке) через обратный клапан попадает в
полость между мембранами. Если контролируемое давление газа превышает
установленное верхней пружиной, то верхняя мембрана приподнимается, отверстие в
штоке открывается и по обе стороны от нижней мембраны установится одинаковое
давление газа. Под действием пружины основной клапан опустится на седло и
перекроет подачу газа, причем поступление газа в импульсную линию через
отверстие в штоке прекратится благодаря закрытию обратного клапана.
При уменьшении перепада между конгролируемым и
входным давлениями (ниже значения, определяемого пружиной основного клапана)
нижняя мембрана под действием пружины опустится, отверстие в штоке откроется,
что также приведет к закрытию основного клапана.
Самопроизвольно открытие клапана в результате
равенства давлений, действующих на обе стороны мембраны, исключается.
Фильтры газовые
Газовые фильтры в ГРП (ГРУ) предназначены для
транспортируемого по газопроводам газа от пыли, ржавчины и других механических
примесей, которые приводят к преждевременному износу газопроводов, запорной и
регулирующей арматуры, нарушают работу контрольно-измерительных и регулирующих
приборов.
Виды:
кассетные фильтры
висциновые пылеуловители
сетчатые фильтры
волосяные фильтры
Фильтры сетчатые.
Фильтрующим элементом служит однослойная
плетеная металлическая сетка № 025 (ГОСТ 6613-86).
Фильтры волосяные.
Они имеют чугунный корпус с кольцевым пазом,
внутри которого помещается фильтрующая кассета, в которой пространство между
торцевыми проволочными сетками заполнено капроновой нитью или спрессованным
конским волосом. Набивка пропитывается внсциновым маслом.
Кассетные фильтры.
Эти фильтры имеют значительно большие размеры
кассет, а также большую пропускную способность. В фильтре установлен отбойный
лист, который обеспечивает предварительную очистку газового потока от твердых
частиц крупных размеров, которые, ударившись о лист, теряют скорость и падают
на дно корпуса. Более мелкие фракции задерживаются в кассете.
Висциновые пылеуловители.
Эти фильтры рассчитаны на очистку газа высокого
давления. Они могут применяться также в ГРП с входным давлением менее 1.2 Мпа,
их устанавливают вне помещения.
Корпус фильтра, имеющий входной и выходной патрубки,
разделен двумя сетками или перфорированными листами, между которыми засыпаются
мелкие керамические или металлические кольца, смоченные висциновым маслом.
Отбойный лист обеспечивает более равномерное распределение потока газа по всему
сечению фильтра и отделение крупных частиц.
Компоновка ГРС
Основные узлы ГРС:
. Узел переключения;
. Узел очистки газа;
. Узел предотвращения гидратообразования;
. Узел редуцирования;
. Узел учёта газа;
. Узел одоризации газа.
Узел переключения ГРС предназначен для переключения
потока газа высокого давления с автоматического на ручное регулирование
давления по обводной линии, а также для предотвращения повышения давления в
линии подачи газа потребителю с помощью предохранительной арматуры.
Узел очистки газа ГРС предназначен для
предотвращения попадания механических (твёрдых и жидких) примесей в
технологическое и газорегуляторное оборудование и средства контроля и
автоматики ГРС и потребителя.
Узел предотвращения гидратообразований
предназначен для предотвращения обмерзания арматуры и образования
кристаллогидратов в газопроводных коммуникациях и арматуре.
Узел редуцирования газа предназначен для
снижения и автоматического поддержания заданного давления газа, подаваемого
потребителю.
Узел учёта газа предназначен для учёта количества
расхода газа с помощью различных расходомеров и счётчиков.
Узел одоризации газа предназначен для добавления
в газ веществ с резким неприятным запахом (одорантов). Это позволяет
своевременно обнаруживать утечки газа по запаху без специального оборудования.
Выбор регулятора давления.
Гидравлический расчет регулирующих устройств.
- давление после
регулятора давления;
- плотность газа
при нормальных условиях;
- температура
природного газа перед регулятором давления.
,
По вычисленному коэффициенту производительности
для
максимального расхода по таблице 5.1[1] находим ближайший условный диаметр
выбранного типа регулирующего органа.
РДУК-2-100/50
Для выбранного регулирующего устройства
рассчитывается запас пропускной способности по формуле:
Запас пропускной способности выбранного
регулятора давления
По СНиП 42-01-2002 «Газораспределительные
системы» данная величина должна быть не менее 15%.
6.Графическая часть
Чертеж регулятора давления типа РДУК [3].
Чертеж предохранительного сбросного клапана [4]
Литература
газораспределительный давление сеть
О.
С. Босюк, И.В.Орехова. Проектирование и эксплуатация газораспределительных
сетей. Учебное пособие по дипломному и курсовому проектированию. Изд. РГУ нефти
и газа имени И.М. Губкина, М.2009.-88 с.
ГОСТ
22667-82 «Газы горючие природные. Расчетный метод определения теплоты сгорания,
относительной плотности и числа Воббе»
«Каталог
продукции». ПромГазАрм. 2013г.
«Каталог
продукции». Региональная газовая компания Полюр.2014г.