|
|
|
|
|
|
2 2 1,9 2 1,85 1,774
|
Многоуровенность
городской газовой сети [] отражается на модели установившегося поток
распределения в этой сети. Эта особенность обусловлена работой регуляторов
давления, через которые осуществляется связь между уровнями. Если давление на
входе регулятора больше некоторого критического, то на его выходе
поддерживается постоянное давление, на которое данный регулятор настроен.
Поэтому в нормальном режиме функционирования (в этом случае входные давления
регуляторов выше критических) отдельные уровни оказываются развязанными и
математическая модель сети распадается на модели отдельных уровней. Модели
уровней сводятся к рассмотренной модели установившегося поток распределения,
если вместо регуляторов на входе уровня ввести фиктивные источники, исходящие
из точки с нулевым давлением и развивающие выходное давление, равное давлению на
выходе соответствующих регуляторов. При этом регуляторы на выходе текущего
уровня необходимо рассматривать как стоки с заданными расходами, известными
заранее или получаемыми в результате решения соответствующей задачи расчета на
следующем уровне, нижнем по отношению к данному.
В режиме дефицита
газа входное давление регулятора может стать ниже критического. В этом случае
регулятор полностью открывается и начинает работать в режиме пассивного
элемента (трубопровода) со своей нагрузочной характеристикой (1.7), и модели
уровней, связанных этим регулятором, рассматривать независимо уже нельзя. Таким
образом, особенность городских газовых сетей заключается в зависимости
структуры модели сети от режима ее функционирования (входное давление
регулятора выше критического - дуга, соответствующая регулятору, замыкается на
вход регулятора и образует связь между уровнями, которую уже необходимо
учитывать при решении соответствующей задачи).
Вторая особенность
городских газовых сетей, учитываемая в моделях, связана с необходимостью учета
сжимаемости газа и зависимости от температурных режимов (она находит свое
отражение в выражении (7) для сетей высокого и среднего давления). Кроме того,
для этих сетей в качестве параллельной переменной принимается не разность
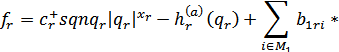
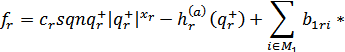
давлений, а разность квадратов давлений. Для J-го участка трубопровода []:

(1.10)
где

(1.11)
Здесь PjH, Pjk
- давления в начале и в конце j-го
участка; 
- относительная
плотность газа по воздуху; cj
- длина j-го расчетного участка; Tjcp,
Zjcp - средние температуры
транспортируемого газа и коэффициент сжимаемости по длине j-го участка; αj
- поправочный коэффициент, учитывающий отклонение режима течения газа от
квадратичного на j-м участке; 
- коэффициент,
фиксирующий влияние подкладных колец 
- внутренний диаметр
газопровода на j - м участке; Ej - коэффициент эффективности j-го участка; qj
- коммерческий расход на j-м
участке.
Среднее значение
температуры Tjcp на j-м
расчетном участке вычисляют по формуле В.Г. Шухова:

(12)
где 
- среднегодовая (или
средняя за сезон, месяц) температура грунта на глубине заложения газопровода; 
- температура газа в
начале участка; 
; KT - коэффициент теплопередачи от газа
к грунту; 
- наружный диаметр
участка газопровода; 
- теплоемкость газа. Для
сетей низкого давления параллельной переменной является разность давлений на
входе и выходе трубопровода, а зависимость от расхода для j - го участка трубопровода выглядит следующим образом []:

если 
(13)

если 1185<
(14)

если 
(15)
где

(16)

(17)
Выражение (1.13)
соответствует случаю ламинарного движения газа, (14) - области гидравлической
гладкости труб, а (15) - области гидравлической шероховатости. Здесь 
- число Рейнольдса; 
- перепад давления на j-м участке, Па; 
- диаметр j-го участка газопровода, м; 
- расход газа на j-м участке, 
-длина j-го участка газопровода, м; 
- плотность газа, кг/м3; 
-кинематическая вязкость
газа, м2/с.
Следует отметить, что
математическая модель установившегося поток распределения в инженерных сетях
достаточно проработана в источниках
[] частности, в работах
[] инженерные сети названы нелинейными гидравлическими цепями. Эта
математическая модель лежит в основе решения задач анализа и входит в
формирование допустимой области задач оптимизации на инженерных сетях.
1.3 Существующие методы
анализа и синтеза поток распределения в инженерных сетях
В настоящее время в
городских водопроводах принята упрощенная расчетная схема водозабора, основанная
на условном допущении, что подаваемая в сеть вода расходуется равномерно по
длине сети и, следовательно, количество воды, отдаваемой каждым участкам,
пропорционально его длине. При этом утверждается, что учет действительных
сосредоточенных расходов воды, незначительных по величине и часто меняющихся во
всех домовых ответвлениях представляет задачу, практически неосуществимую.
Подобное допущение позволяет очень просто заменить все путевые расходы
эквивалентными им узловыми и получить такую условную схему отбора воды, при
которой вся отдача происходит в узлах сети [].
Определение экономичных
диаметров труб водопроводных линий является одной из главных задач при
проектировании и расчете систем подачи и распределения воды, поэтому
литература, посвященная этому вопросу достаточно обширна. В работах []
предлагаются различные методики решения такой задачи.
В настоящее время хорошо
изучен вопрос выбора наиболее экономически выгодных диаметров труб участков
сети при известных расходах воды от вод питателей и заданном поток
распределении. При этом, если потеря напора обусловлена величиной
располагаемого напора (при транспортировании воды самотеком; в случае расчета
проектируемого водопровода для подачи потребителям воды из существующей
водопроводной линии с известным и достаточным свободным напором) диаметр труб
легко определяется по формуле, приведенной в []. Если потеря напора так же, как
и диаметр труб, неизвестна, задача значительно усложняется
и может быть решена путем технико-экономического расчета. В этом случае
диаметры труб выбираются такие, при которых затраты на сооружение и
эксплуатацию водопроводных линий и насосных станций, подающих в них воду, будут
наименьшими за расчетный срок их работы.
В работах по
технико-экономическому расчету кольцевых водопроводных сетей [] предлагаются
различные критерии оптимальности. Однако в основу решения задачи в большинстве
из них принималось уравнение, которое можно написать в следующем виде:

, (1.14)
где Si
- капительные вложения на строительство сети и сооружений, зависимые от
диаметров труб; 
- коэффициент;
Р - затраты на энергию в течение года для преодоления сопротивлений
движению воды в трубах; С - прочие эксплуатационные затраты; 
- коэффициент
амортизации; М - число участков сети; 
~ коэффициент
эффективности капительных вложений или годового прироста производительности
труда.
Вопрос о выборе
критерия оптимальности для задачи параметрической оптимизации водопроводных
сетей имеет дальнейшую разработку в целом ряде работ [], в которых представлены
функции приведенных затрат, необходимых для строительства и эксплуатации
водопроводных сетей. В этих функциях эксплуатаций расходы на электроэнергию
определяются по пьезометрической высоте диктующей точки сети относительно
уровня воды в питающем резервуаре насосной станции и сумме потерь напора по
одному из возможных направлений от диктующей точки с нулевым давлением в сети:

, (1.15)
Где 
- приведенные затраты,
подсчитанные по j-му возможному
пути; 
и 
соответственно
нормативный коэффициент эффективности капитальных вложений и норма
амортизационных отчислений; 
-коэффициенты в формуле
стоимости единицы длины трубопровода;
и
- соответственно длина и
диаметр i-го участка сети; Ро - экономический показатель,
характеризующий затраты, связанные с подачей воды в сети; Q - суммарный расход в сети воды для режима максимального
водопотребления; 
- пьезометрическая
высота диктующей точки сети относительно уровня воды в питающем резервуаре
насосной станции;

- сумма потерь напора
от диктующей точки до точки с нулевым давлением по j
- му возможному пути.
При таком критерии
оптимальности капительные затраты подсчитываются по всем участкам сети, а
эксплуатационные затраты определяются лишь по участкам, входящим в одно из
возможных направлений. Это приводит к тому, что функция приведенных затрат
(1.15) не учитывает влияние, оказываемое навошедшими в выбранное направление
участками сети. В работе [] предлагается устранение этого недостатка. В
результате получена функция приведенных затрат как среднеарифметическая
величина функции (1.15) для всевозможных путей:

, (1.16)
где 
- число
возможных путей от диктующей точки сети доточки с нулевым
давлениемпроходящимчерез-тыйучастоксети; - число возможных путей.
Величинаопределяет роль - го участка кольцевой водопроводной сети в
расходовании электроэнергии на подъем воды. Чем больше величина, тем больше
должен быть диаметр на этом участке. Значение величины для каждого i - го участка находится в пределах:
Так как задача
построения всевозможных путей от диктующей точки сети до точки с нулевым
давлением является достаточно сложной, в работах [] предлагается определять
коэффициенты кольцевой водопроводной сети путем пропуска через сеть в
соответствии с первым постулатом сетей фиктивного единичного расхода. При этом
абсолютная величина расхода на том участке сети принимается за величину этого
участка.
В работе [] предлагается
включить в эксплуатационные расходы непроизводительные затраты, зависящие от
величины утечек воды в сети, которые в свою очередь пропорциональны величине
избыточного напора в узлах сети.
Таким образом, в основу
методики технико-экономического расчета положена модель соизмерения всех затрат
как некоторой усредненной величины без учета неравномерности и
последовательности изменения их во времени. Однако на практике при экспликации
системы водоснабжения сопротивление трубопроводов постепенно увеличивается, их
строительство может осуществляться по очереди, а трубопроводы различного
назначения имеют различный срок функционирования. Некоторые авторы [] cчитают, что нечет этих факторов может привести к существенным
погрешностям при выборе экономически на выгоднейших диаметров трубопроводов и
предлагают исключить этот недостаток, определяя приведенные затраты через
капиталовложения и затраты, зависящие от эксплуатационных расходов.
В некоторых методиках []
эта задача формулируется как задача дискретного математического
программирования при ограничениях в виде равенств и двусторонней ограниченности
переменных, причем ограничения по дискретности накладываются только на
диаметры. Эта задача дискретного нелинейного программирования при линейных
ограничениях при полностью заданном поток распределении и дискретного
нелинейного программирования при нелинейных ограничениях в виде равенств при
частично заданном поток распределении. Такая задача в общем виде
трудноразрешима, поэтому предлагаются различные приближенные методы ее решения.
В работе [] задачу
параметрической оптимизации предлагается решать путем кусочно-линейной
аппроксимации участка длиной через участки стандартной длины со стандартными
диаметрами. В этом случае задача нахождения экономических диаметров сводится к
нахождению таких длин , при которых приведенные затраты на сооружение и
эксплуатацию водопроводных сетей будут минимальными с учетом выполнения некоторых
ограничений. Так как приведенные затраты и ограничения получаются относительно
длин и напоров линейными, то задача определения экономических диаметров может
быть решена методами линейного программирования за конечное число шагов.
Выбор экономических
диаметров как задача линейного программирования формулируется и в работе []
В работе [] для
решения задачи параметрической оптимизации также привлекается аппарат линейного
программирования. Известно, что связь между диаметром и расчетным расходом
имеет степенный характер. Линеаризация достигается не путем аппроксимации, а
соответствующим подбором искомых неизвестных, позволяющих построить линейную
математическую модель.
Своеобразный метод
решения такой задачи приведен в работе []. Основан он на оптимальном сочетании
требуемых расходов воды и скорости ее протекания по трубам. Выбор диаметра труб
влияет на стоимость энергии, затрачиваемой на преодоление сопротивления воды. В
работе дана номограмма, позволяющая определить стоимость электроэнергии,
потребляемой двигателем насоса для преодоления сопротивления трения воды по
трубам.
Использование
линеаризованной модели имеет ряд существенных преимуществ перед классическими
методами оптимизации. Во-первых, используя аппарат линейного программирования
возможно - учитывать дискретность набора рекомендуемых к прокладке диаметров
труб. Во-вторых, с его помощью можно решать задачи расширения и реконструкции
существующей сети, когда функция цели становится многоэкстремальной. В-третьих,
аппарат линейного программирования в настоящее время хорошо изучен и почти на
всех ЭВМ имеются реализующие его стандартные программы.
К существенным
недостаткам, препятствующим» его использование, относится большая размерность
возникающих линейных задач, время решения которых с увеличением числа
оптимизируемых параметров растет пропорционально его кубу []. Кроме того, при
расчетах конкретных объектов по программам, реализующим метод линейного
программирования, необходимо каждый раз вручную выполнять трудоемкую работу по
формированию соответствующей модели линейного программирования, которая до сих
пор не автоматизирована.
В настоящее время
задача выбора диаметров решается путем применения полного
технико-экономического расчета или путем использования упрощенных формул или
таблиц предельных расходов []. И в том, и в другом случае диаметр определяется
по «приведенному расходу» []. В практике проектирования преимущественное
распространение имеют упрощенные приближенные способы нахождения экономически
наивыгоднейших диаметров, так как полный технико-экономический расчет весьма
трудоемкая задача.
Из множества
методов технико-экономических расчетов сети базирующихся на построении
непрерывных математических моделей можно выделить «дифференциальный алгоритм»
[], обеспечивающий получение глобального минимума при полностью заданном
потокораспределении и локального минимума при частично заданном поток
распределении мой предпосылкой оптимизации многоконтурных сетей для всех
перечисленных методов (также как и для линейного программирования [])
применительно к кольцевым водопроводам служит предварительное распределение
расходов воды по участкам сети, несмотря на то, что отыскание навыгоднейшего
распределения расходов по участкам сети должно явиться составной частью решения
общей задачи оптимального синтеза многоконтурных систем. В последнее время
наряду с задачей технико-экономического расчета проектируемых сетей, актуальны
задачи реконструкции и расширения существующих сетей. Эти задачи, как правило,
решаются в комплексе. В работах [] задача оптимальной реконструкции и
расширения существующих сетей совместно с задачей технико-экономического
расчета проектируемой сети формулируется как задача дискретного математического
программирования. Такая задача трудноразрешима и может дать данное от оптимума
решение при использовании приближенных методов. В [] предлагают использовать
метод динамического программирования []. Основными предпосылками для его
использования являются аддитивность минимизируем функции, а также то
обстоятельство, что он лучше других целочисленных методов приспособлен к
сетевой специфике задачи. К недостаткам метода динамического программирования
следует отнести ограничение области его использования системами, описываемыми
графами в виде деревьев. Для решения задач технико-экономического расчета кольцевых
сетей предложен метод многоконтурной оптимизации [], включающий метод
динамического программирования своей составной частью.
Приведенные выше
методы параметрической оптимизации водопроводной сети в качестве необходимой
информации используют величину расхода на активном источнике, питающем сеть. В
случае работы на сеть более одной насосной станции применение этих методов не
даст оптимального решения, так как на этапе составления технического задания на
проектирование нет точного значения расходов на каждой насосной станции.
В последнее время
стала особо актуальной проблема надежности в связи с заметным разрывом между
большими масштабами сетей, степенью централизации, растущей протяженностью и
пропускной способностью с одной стороны, и недостаточным уровнем
проектирования, технической оснащенностью, и технических средств эксплуатации,
развитием водопроводных сетей - с другой.
В ряде публикаций
[] для учета требований надежности привлекается понятие ущерба от неподачи воды
потребителям, которые предлагается вводить при оптимизационных расчетах в
«обобщенную» функцию затрат с последующей ее минимизацией.
В некоторых работах
[] требования к надежности водоснабжения рассматриваются не полностью и в
отрыве от задачи экономической оптимизации, при этом оценка надежности работы
водопроводной сети осуществляется по одному показателю вероятности обеспечения
потребителей необходимыми количествами воды только в нормальных условиях.
В [] разработана
методика для количественной оценки надежности. И резервирования сетей, основными
положениями которой являются:
1) параметрическое
задание уровней надежности в виде вектора узловых норм, устанавливаемых для
каждого узла проектной
схемы с учетом
категории потребителей;
) сочетание
вероятностных методов расчета надежности путей снабжения каждого из узлов схемы
и детерминированных методов гидравлического анализа пропускной способности
водопроводных сетей в нормальных и аварийных ситуациях;
) отказ от
использования математического ожидания ущерба от неподачи воды потребителю.
Методика [] может
дать обоснование практике проектирования сетей в виде графов-деревьев с
использованием «временного» резервирования вместо дублирования участков
трубопровода.
В ряде работ
вопросы оптимального управления трубопроводными системами рассматриваются в
совокупности с задачами оптимизации размещения регулирующих органов на сети.
Так в работе [] предложена математическая модель задачи оптимального размещения
регулирующих органов в узлах замкнутой многокольцевой инженерной сети и
предложен алгоритм ее реализации, который позволяет определить оптимальные, в
смысле улучшения качества аварийного управления, координаты размещения
пассивных регулирующих органов на сети.
В работе [] задача
оптимального, в смысле улучшения качества аварийного управления, размещения
пассивных регулирующих органов в ветвях замкнутой инженерной трубопроводной сетевой системы
сведена к задаче нахождения кратчайшего пути в графе специального вида. В
работе рассмотрены вопросы построения систем автоматизированного проектирования
распределительных сетей систем
водоснабжения железнодорожного транспорта.
Алгоритмы и программы
применяемые в работе [] дают возможность
использовать в системах структурной оптимизации инженерных сетей.
В работах [] развит
системный подход к процессу проектирования инженерных сетей. В [] введено
важное определение автоматизированного управления потокораспределением в
инженерных сетях (к классу которых относятся и районные водопроводные
распределительные системы) как единства процессов решения с помощью ЭВМ задач
проектирования, реконструкции и оперативного управления.
В работе []
рассматривается задача разработки машинных методов и алгоритмов структурной
оптимизации трубопроводных сетевых систем коммунального хозяйства (на примере
городских газораспределительных сетей) на этапе проектирования и реконструкции
с позиции реализации оптимального управления в аварийных ситуациях, которая
заключается в определении таких координат размещения пассивных регулирующих
органов управления, при которых функция качества аварийного управления
(где 
- дополнительные
затраты на резервирование и установку пассивных органов управления; 
- уменьшение величины
ущерба за счет проведенных мероприятий) принимает наилучшее значение.
Математическая постановка данной задачи предлагается для однокольцевой сети в
виде задачи нелинейного математического программирования с двусторонней
ограниченностью переменных, а для замкнутой многозакольцованной сети сводится к
задаче нахождения кратчайшего пути между заданными вершинами графа.
Совершенствование
проектирования является составной частью общей проблемы - повышения
народнохозяйственной эффективности газоснабжения. Другая часть этой проблемы
заключается в совершенствовании методов управления технологическими процессами
распределения природного газа. Так, в работах [] указывается, что рост городского
газового хозяйства требует новых современных средств и методов
совершенствования процессов управления, в том числе создания и внедрения
автоматизированных систем управления.
В работе []
рассматриваются вопросы применения современной вычислительной техники в
городском газовом хозяйстве, При этом основное внимание уделяется расчету и
проектированию новых и реконструкции существующих водопроводных сетей с помощью
ЭВМ.
Авторы отмечают, что
использование ЭВМ и методов современной математики на всех этапах
проектирования, строительства и эксплуатации городских водопроводных сетей
открывает широкие возможности для решения задач оптимизации систем и получения
в результате этого существенного экономического эффекта. При рассмотрении
вопросов диспетчерского управления районными водопроводными сетями отмечено,
что наличие возможности оперативной гидравлического расчета сети позволяет
сократить объем необходимой телеинформации, частоту опроса и количество
опрашиваемых объектов.
В работах [] приводятся
результаты исследований нестационарных режимов в водопроводных сетях.
Рассмотрены различные методы линеаризации уравнений, описывающих нестационарное
движение воды в трубопроводах. В работе [] исследованы конкретные задачи
движения воды в разветвленных городских водопроводах, коротких с равномерно
распределенными по длине отборами.
Автор рассматриваемой
работы показал, что не стационарность возникает только при скачкообразном
изменении нагрузок, а погрешность расхода, возникающая, если пренебречь не
стационарностью, достигает 10-12%. При небольших по величине и плавных по
своему характеру изменениях нагрузки расчет режима газовых сетей без учета не
стационарности дает погрешность расхода не превышающую 2-3%.
Этот вывод
представляется весьма важным. Дело в том, что коммунально-бытовое газ
потребление во всех случаях характеризуется плавным изменением нагрузки: в
основном это отопительно-вентиляционная нагрузка, линейно зависящая от
температуры наружного воздуха. Промышленные же потребители в условиях лимитных
ограничений и напряженного баланса, как правило, регулируют неравномерность
водопотребления за счет использования заменяющегося режима.
Для построения
формальной модели и алгоритмизации процессов оптимального управления
газораспределительными системами необходимо знать модели отдельных
конструктивных элементов, входящих в состав объекта управления.
Так, в работах []
рассмотрены городские и районные системы водоснабжения. Изложены основы расчета
и эксплуатации водопроводных сетей. Вопросы построения математических моделей
установившихся режимов поток распределения и их исследования рассматриваются в
различных аспектах в работах []. Наиболее полно эти модели исследованы в []. На
основе таких моделей в работах поставлены различные задачи гидравлического
расчета инженерных сетей. Решение поставленных задач сводится к нахождению
некоторых параметров установившегося режима поток распределения в сети при
фиксированных ее параметрах или некоторых параметрах сети при заданном поток
распределении в ней. Для нахождения решений используются различные методы
математического программирования.
Так, в работе [] дается
определение понятия надежности водораспределительных систем и делается попытка
формализовать этот показатель. Надежность водораспределительных систем - это
способность обеспечивать круглогодичное непрерывное водоснабжение всех
потребителей с давлением
Следовательно, в каждый
момент времени количество воды, проходящего через узлы, должно быть равно сумме
расходов воды. В течение года количество транспортируемой воды в сети колеблется
в широких пределах. Если по какой-либо причине потребители не обеспечиваются
необходимым количеством воды, то это является отказом системы. Разность
требуемого и поставленного количества воды называется неотпускном воды и
является количественным критерием надежности системы:

.
По этой формуле можно
оценить надежность водоораспределительных систем, если рассматривать их в
качестве чисто транспортных. Однако для народного хозяйства небезразлично как
распределяется имеющееся в момент или интервал времени t количество
воды в системе
. Основной задачей
системы является первоочередное, преимущественное и наиболее полное обеспечение
газом потребителей, где его использование гарантирует наибольший
народнохозяйственный и социальный эффект. Такое обеспечение отражает качество
функционирования системы, в том числе и ее надежность []. С учетом этого можно
рассматривать показатель надежности, приведенный в работе [].

(1.20)
где 
- коэффициент приоритета
i-го потребителя:
где 
- стоимостная
составляющая народнохозяйственного эффекта водоснабжения; 
- составляющая
народнохозяйственного эффекта, не подлежащая стоимостной оценке, применяемая
при определении коэффициента приоритета коммунально-бытовых потребителей, жилые
дома, ясли, детские сады, школы, больницы и т.д.), а также потребителей,
приравниваемых к особо важным

(1.21)
Где 
- народнохозяйственный
эффект от водоснабжения i-го
потребителя; 
- среднее значение по
рассматриваемым объектам:

;
(1.22)

- устанавливается так,
чтобы коэффициент приоритета этих объектов
был наибольший у
потребителей, не входящих в указанный перечень. В случае равенства 
у нескольких
потребителей предпочтение следует отдавать тем, у которых больше значения 
.
Проблемы оперативного
управления поток распределением в инженерных сетях поставлены в работе []
согласно которой для определения объекта управления, необходимо сначала -
сформулировать цель (или цели) управления. Цели управления бывают двух видов -
качественные и количественные.
Качественная цель
управления городскими системами водоснабжения определяется их основным
функциональным назначением и заключается в обеспечении потребителей водой в
требуемых количествах и в заданном диапазоне давлений. Эта цель может быть
достигнута или не достигнута. Для количественной характеристики достижения
поставленной цели служит критерий управления, который в данном случае может
принимать только два значения: единицу (в случае достижения цели) и нуль (в
противном случае). Качественные цели являются стратегическими и используются на
самом верхнем уровне иерархии управления всей системой.
Городские системы
водоснабжения характеризуются множеством технических параметров, определяющих
состояние системы и зависящих от значений управляемых переменных. Достижение
стратегических целей возможно при различных значениях управляемых переменных и,
следовательно, при различных значениях этих параметров. Более того, для
достижения качественной цели, вообще неважно каковы будут значения параметров,
лишь бы они не выходили за допустимые границы. Однако при реализации управления
(реализации достижения качественной цели) далеко не безразлично, какой ценой
достигнута поставленная цель, т.е. речь идет не об управлении вообще, а об
управлении оптимальном, которое характеризуется количественными целями
управления - [].
Количественные цели
управления заключаются в стремлении уменьшить (или увеличить) значения
некоторых параметров (критериев оптимизации), характеризующих режимы
функционирования городской системы водоснабжения. При этом формулирование
критерия предшествует определению цели управления [].
Часто первоначально цель
управления формулируется качественно. Однако наличие, например, случайных
факторов делает случайным и исход управления; поэтому совершается переход к,
другой «более достижимой» цели управления, которая уже обычно оказывается целью
второго типа, образованной на базе первоначальной.
.4 Диалоговый подход к
анализу и синтезу поток распределения в инженерных сетях
В работах []
предлагается использование методов вариантного проектирования, при этом
последовательность проектирования и гидравлического расчета инженерной сети
остается неизменной:
- трассируют сеть и устанавливают схему ее питания;
- намечают узловые точки и определяют величины отборов целевого продукта из них при
заданных условиях работы сети;
·
намечают предварительное потокораспределение по линиям
кольцевой сети (в тупиковой сети эти расходы определяются
однозначно);
·
определяют диаметры труб расчетных участков сети и потери напора (перепада давлений) в
них;
·
увязывают кольцевую сеть по потерям напора, в результате чего устанавливают
фактические расходы и потери напора на каждой линии;
·
строят пьезометрические линии по участкам водопроводной сети для расчетных
случаев ее работы;
·
определяют потребную высоту водонапорной башни (если она нужна) и подбирают насосы,
питающие водонапорную сеть, с необходимой производительностью и напором.
С позиции
системного подхода каждый из этих этапов можно рассматривать как
самостоятельную задачу, а решение этих задач с применением ЭВМ представляет собой
автоматизированное управление потокораспределением в инженерной сети;
В работах []
конкретизируются эти задачи:
·
выбор оптимальной стадийности сооружения городской газовой
распределительной сети;
·
выбор оптимального числа газораспределительных станций;
·
выбор оптимальной схемы подключения сосредоточенных
·
потребителей к сетям разной категории давления;
·
определение оптимального числа газорегуляторных пунктов;
·
оптимальное распределение транзитных расходов газа
·
в распределительных сетях;
·
оптимальное распределение расчетного перепада давления в
распределительных сетях.
Оптимальность в
этих задачах рассматривается с точки зрения снижения стоимости строительства
систем газоснабжения.
Автоматизированное
управление потокораспределением в инженерной сети требует математически
формализовать перечисленные задачи. Однако, из-за возникновения в ходе расчетов
заранее неучтенных ситуаций, усложнения методик расчета, содержащих
альтернативные ситуации и плохо поддающиеся алгоритмизации моменты, невозможно
полностью формализовать все задачи. А также при проектировании невозможно
учитывать многообразие режимов и состояний режимов, сверхнормативные потери
целевого продукта в связи с избыточными напорами и т.д.
Кроме того,
некоторые этапы решения задач часто требуют корректировки промежуточных данных
путем вмешательства проектировщика - лица, принимающего решения (ЛПР).
Правильность коррекций, вносимых ЛПР, полностью определяется квалификацией и
опытом последнего, и становятся известными в ходе решения задачи при
возникновении конкретной ситуации.
Например, многие
показатели систем (суммарный избыточный напор, надежностные параметры и т.п.)
заданы не явно, т.е. могут быть вычислены только после реализации расчета, или
в процессе решения задачи один или несколько параметров могут выйти из
заданного диапазона.
Из-за этих
обстоятельств традиционное решение этих задач с применением ЭВМ производилось в
разрозненном виде, каждая задача рассматривалась в отдельности от общей
проблемы, разрабатывались отдельные рациональные алгоритмы. Не осуществлен
комплексный подход к решению задач, процесс проектирования инженерных сетей не
рассмотрен как единый процесс.
При системном и
комплексном подходе процесс проектирования инженерных сетей строится таким
образом, чтобы объем сведений о проектируемой (развиваемой) инженерной сети на
каждом последующем этапе возрастал. Однако среди множества вариантов,
построенных данным способом, существуют такие, которые не удовлетворительны с
точки зрения либо ограничений, наложенных на сети, либо некоторых критериев,
учитываемых при проектировании. Поэтому процесс проектирования на каждом этапе
состоит из генерации множества вариантов инженерной сети с глубиной детализации
этого этапа и выбора группы вариантов, удовлетворяющих его ограничениям и
критериям. На следующем этапе отобранные варианты прорабатываются и т.д. Так
как
При системном и
комплексном подходе процесс проектирования инженерных сетей строится таким
образом, чтобы объем сведений о проектируемой (развиваемой) инженерной сети на
каждом последующем этапе возрастал. Однако среди множества вариантов,
построенных данным способом, существуют такие, которые не удовлетворительны с
точки зрения либо ограничений, наложенных на сети, либо некоторых критериев,
учитываемых при проектировании. Поэтому процесс проектирования на каждом этапе
состоит из генерации множества вариантов инженерной сети с глубиной детализации
этого этапа и выбора группы вариантов, удовлетворяющих его ограничениям и
критериям. На следующем этапе отобранные варианты прорабатываются и т.д. Так
как отобранные варианты не всегда удовлетворяют ограничениям и критериям
последующих этапов из-за невозможности провести эту отобранные варианты не
всегда удовлетворяют ограничениям и критериям последующих этапов из-за
невозможности провести эту оценку на предыдущих этапах, то возникает
необходимость рассмотрения проектирования как итерационный процесс.
При таком подходе,
на каждом этапе проектирования выполняются достаточно сложные и специфические
задачи принятия решения, основные трудности которых состоят в следующем:
сложность математического описания реальных процессов проектирования инженерных
сетей; неполнота и неточность исходных данных; взаимосвязь проектирования, для
обоснования которого ставится оптимизационная задача, с другими решениями в
данном или смежных этапах проектирования [].
Комплексный подход
к решению этих задач приводит их к многокритериальной задаче. Например,
структурная и параметрическая оптимизация инженерной сети должны быть выполнены
таким образом, чтобы структура и параметры сети обеспечивали ей достаточную
пропускную способность и отвечали требованиям экономичности эксплуатации
сооружений и надежности работы сети в целом. Наряду с этим повышение степени
надежности работы и снижение стоимости эксплуатации системы могут быть
достигнуты дублированием участков или увеличением диаметров труб. Однако такое
решение повлекло бы за собой увеличение строительной стоимости сооружений. С
другой стороны, прокладка трубопроводов диаметрами меньше оптимальных
(экономичных), хотя и существенно снижает строительные затраты, однако влечет
за собой неоправданное ежегодное увеличение расхода электроэнергии на подъем и
транспортировку целевого продукта, повышает стоимость эксплуатации устройства.
Для преодоления
отмеченных трудностей при принятии оптимальных решений необходимо, во-первых,
создавать специализированные пакеты программ моделирования и анализа инженерных
сетей с учетом специфики их применения для решения задач структурной и
параметрической оптимизации и, во-вторых, решать экстремальные задачи в
интерактивном режиме оптимизации [], под которыми понимается подход к решению
экстремальных задач, когда человек может вмешиваться в процесс решения задачи
на любом его этапе. При этом он может изменять не только настроечные параметры
метода поисковой оптимизации или сам метод, но и математическую формулировку
решаемой задачи (вид критерия оптимальности; значения ограничений,
накладываемых на параметры; число и тип варьируемых переменных). Такой подход
позволяет сочетать алгоритмические процедуры решения экстремальных задач с не
формализуемыми приемами принятия оптимальных решений, но для этого необходимо
разрабатывать и программные средства организации интерактивного режима
оптимизации на современных ЭВМ. Наиболее эффективной формой организации
взаимодействия человека с ЭВМ в современных системах обработки данных является
диалог. Исследования по созданию диалоговых систем охватывают очень обширные
области [].
В работе [] даются
общие принципы построения диалоговых систем и, как необходимые условия
существования диалога, приводятся следующие требования: сведениями о предмете
диалога должен обладать хотя бы один из партнеров; партнеры должны иметь
некоторую общую область сведений; в результате диалога эта общая область должна
расшириться.
Диалоговые системы,
имеющие структуру пакетов прикладных программ [], могут иметь наибольшую
эффективность когда они достигаются с помощью многоступенчатых программ сборки,
реализуемых в диалоговом режиме.
Среди основных
требований к эффективной организации диалога на видеотерминальном устройстве
приводятся такие, как: наличие страничной формы, иерархичность, скорость ввода
данных и наличие оператора ввода-вывода.
В конкретных
случаях диалоговые системы имеют свои особенности. Среди важных особенностей
автор работы [] выделяет мобильность.
Реализация данного
требования позволяет реализовать непрерывную модификацию архитектуры системы,
начиная от изменения «сценария» и кончая введением новых функций. Здесь и в
работах других авторов [] большое внимание уделяется созданию справочного
сервиса для пользователя, обучения пользователя, оказание активной помощи при
составлении алгоритма и решения задач.
В этих работах
сделана попытка закрепить теоретически основные понятия и определения как
условие существования диалога, характеристики диалога. Авторами работы []
сделана попытка разработать такую структуру диалоговой системы, которая в
минимальной степени зависела бы от ориентации системы, а значит, могла бы
сравнительно просто настраивать диалоговые системы на различные сферы
применения. Вместе с тем и учитывается ориентация диалоговых систем на
конечного пользователя [].
Немаловажным
фактором является фактор разделения функции между человеком и ЭВМ [] и в
зависимости от функций разрабатывается специальное программное обеспечение.
С развитием
вычислительной техники и возможностей для ведения диалога с ЭВМ применялись и
диалоговые инструментальные системы []. Исследуются такие этапы создания
диалоговых программ как: проектирование структуры, определение информационных
содержаний, задаваемых вопросов, выбор типа контроля; реализация решений задач
по ЭВМ; документирование. Таким образом, наиболее эффективным средством
реализации человеко-машинных методов является диалоговая система,
организованная в виде диалоговых пакетов программ, в основу которой положено
многократное использование задач анализа [].
Данная диалоговая
система необходима для: исследования инженерных систем (на этапе,
предшествующем проектированию и эксплуатации); проектирования инженерных
систем; эксплуатации инженерной системы в оптимальных режимах.
Создание такой
диалоговой системы обуславливает анализ имеющихся моделей и методов реализации
перечисленных задач, разработку более эффективных методов и алгоритмов,
введение дополнительных критериев и определение основных контролируемых
параметров. В частности, требуется более полно исследовать задачу анализа, определив
условия ее разрешимости, а также создать гибкую систему коррекции и управления
данными, позволяющую оперативно изменить структуру и параметры исследуемой
сети.
1.5
Пути решения проблемы
Изучение
современного уровня проектирования и рациональной эксплуатации инженерных сетей
с помощью ЭВМ, а также обзор работ по анализу и синтезу потокораспределения в
инженерных сетях, позволяет сделать следующие выводы:
) интенсификация
развития трубопроводных систем приводит к необходимости совершенствования
традиционных методов их расчета для решения задач проектирования, реконструкции
и управления на базе человеко-машинных методов расчета, основанных на
интерактивных процедурах общения человека и машины;
) имеющиеся
разработки в этой области остановились на уровне решения отдельных задач и
являются, в основном, разрозненными;
) задача
оптимизации инженерных сетей рассматривалась в виде поэтапного решения задач
структурной и параметрической оптимизации;
) оптимизационные
задачи решались в основном по одному критерию - критерию минимума приведенных
затрат; они не относились к классу многокритериальных;
) невозможность
полной формализации процесса проектирования инженерных сетей, принятые
упрощения привели к существенному искажению результатов расчета;
) неэффективно использовались
методы декомпозиции в задачах синтеза инженерных сетей;
) доказана
единственность решения только прямой задачи анализа, практически применение
которой ограничено, но не имеется аналогичных доказательств для других задач
анализа, наиболее часто встречающихся в практических задачах;
) современные
методы проектирования и эксплуатации инженерных сетей, в отличие от
традиционных, требуют разработки человеко-машинных методов синтеза инженерных
сетей, основанных на диалоговых системах на базе решения задач анализа.
2.
Методика проведения исследования
2.1 Условия разрешимости уравнений модели задачи анализа
Остановимся на
одном классе задач анализа, к которому может бишь сведен большой комплекс
технических проблем, возникающих при организации нормального функционирования
различных инженерных сетей. Суть их фактически заключается в решении систем
алгебраических уравнений математической модели, приведенной в 1.2.
Будем считать, что
граф инженерной сети, местоположение и характеристики активных элементов и
коэффициенты нелинейности пассивных элементов известны и заданы, а каждый
участок сети характеризуется тремя величинами: последовательной и параллельной
переменными и гидравлическим или аэродинамическим сопротивлением, т.е.
зависимость (1.3) может быть представлена в виде:

(2.1)
В этом случае инженерная
сеть характеризуется взаимосвязанными величинами (по три для каждого участка).
Будем рассматривать эти величины как 3e переменные, входящие в систему уравнений (1.1), (1.2). Выберем e из этих переменных в качестве независимых (решений), тогда
остальные 2eпеременные будут зависимыми (состояниями) и могут быть выражены
как функции, в общем случае неявно заданные системой уравнений (1.1.), (1.2)
этих независимых переменных. Иными словами, задавая конкретные значения е независимых
переменных, можно определить в результате решения системы 2е уравнений
(1.1). (1.2) значения 2е состояний. Очевидно при этом, что е
независимых переменных должны быть между собой независимыми.
Сопротивления отдельных
участков взаимонезависимы. Существует не более 
независимых
последовательных переменных и не более 
независимых
параллельных переменных (первый и второй постулаты инженерных сетей). Из трех
величин, характеризующих участки сети, только две могут быть независимыми,
поскольку третья всегда определяется на основании (1.2).
Если на каком-то участке
сети заданы две переменные величины, то этот участок должен быть независим как
по расходам, так и по потерям напоров, При этом на каком-то «другом участке все
величины будут не заданы.
Условия
взаимонезависимости e независимых переменных
назовем условиями разрешимости уравнений модели []. Суть их сводится к
следующему: e независимых переменных
(решений) будут взаимонезависимы, если:
а) они не содержит
независимых переменных, соответствующих одной ветви;
б) существует хотя бы
одно дерево графа, ветвям которого не поставлены в соответствие две независимые
переменные или независимая переменная - расход;
в) существует
хотя бы одно другое дерево графа содержащее все ветви, которым поставлены в
соответствие две независимые переменные и независимая переменная - потеря
напора.
Любое решение
уравнений модели при задании е независимых переменных, удовлетворяющих
перечисленным выше условиям ее разрешимости, будем называть решением задачи
анализа. Очевидно, что так называемая прямая задача анализа [] - частный случай
рассматриваемой, когда в качестве независимых величин взяты сопротивления
участков инженерной сети.
Легко отметить, что все
это справедливо и для частной математической модели. Число уравнений при этом
будет е+т, а переменных задачи2e+m (e
- расходы 
, e+n
- давления 
, 2m - потери напора и сопротивления 
и
.Число независимых
переменных при этом также равно £
и они должны удовлетворять условиям разрешимости модели. Следует отметить
только, что давления между собой всегда независимы, потому что подграф,
содержащий нулевую вершину и все входы и выходы, всегда является деревом.
2.2 Анализ условий
существования и единственности решения задачи анализа при задании независимой
переменной в каждом участке сети
Выберем дерево графа
сети таким образом, чтобы участки с заданным напором стали ветвями дерева, а с
заданными расходами хордами. Очевидно, что число заданных напоров 
, а заданных расходов 
.
Подставляя значения
напоров из (2.9) в (1.8) и учитывая произведенное кодирование сети, представим
математическую модель установившегося потокораспределения в инженерной сети в
следующем виде:

(2.1)

(2.2)

, (2.3)

, (2.4)

, (2.5)

, (2.6)
Здесь L, N
и M - соответственно множества индексов участков заданными напорами,
расходами и сопротивлениями, а l,
nи m - количества
соответствующих этим индексам участков, причем:

, (2.7)

, (2.8)
Индексы «1» и «2»
характеризуют принадлежность соответствующих участков ветвям дерева и хордам соответственно.
Очевидно при этом, что
, а
, т.е. 
, 
и
- количества ветвей
дерева и хорд с заданными сопротивлениями.
Разрешив уравнения (2.1)
относительно
, получим:

, (2.9)
Таким образом,
рассматриваемая задача анализа (2.9), (2.2), (2.3) сводится к решению 
нелинейных уравнений
(2.2) относительно 
переменных 
, при 
, линейном уравнении
связи (2.3) с последующим вычислением остальных по формулам (2.9), (2.4). Чем
больше участков с заданными расходами, тем меньше система нелинейных уравнений,
которую необходимо решать. При 
или 
решение задачи сводится
к вычислению по формулам, а при 
рассматриваемая задача
вырождается в прямую задачу анализа []. Метод Ньютона решения системы
нелинейных уравнений (2.2) при линейных уравнениях связи (2.3) на К-й
итерации заключается п следующем:
) в соответствии с
выражением (2.3) по значению 
вычисляются значения 
;
согласно выражению (2.2)
вычисляются 
и сравниваются их
абсолютные значения с заданной точностьюрешения 
. Если 
для всех 
то решение найдено.
Если
хотя бы для одного 
2) вычисляются элементы матрицы Якоби системы уравнений
3) (2.2) при условии (2.3):

(2.10)

; (2.11)
) решается система
линейных уравнений

(2.12)
где 
, а 
5) вычисляются по
формуле

(2.13)
и осуществляется переход
к следующей итерации.
Покажем, что
симметрическая матрица Якоби системы нелинейных уравнений (2.2) при 
уравнении связи (2.3) -
положительно определена для любых
, если выполняются
условия (1.5), (1.6). Для этого рассмотрим дифференциальную квадратическую
форму

(2.14)
Подставляя значения
элементов матрицы Якоби из формул (2.10) и (2.11) в (2.14) и произведя ряд
элементарных преобразований, получим

(2.15)
Действительно, из (1.2)
следует, что

(
) (2.16)
а выражение в квадратных
скобках больше нуля при выполнении условия (1.6).
Поскольку симметрическая
матрица Якоби системы уравнений (2.2) при условии (2.3) положительно определена
для любых 
удовлетворяющих этому
условию, то система нелинейных уравнений (2.2) при линейных уравнениях связи
(2.12) имеет единственное решение [].
Решение этой системы
уравнений эквивалентно безусловной минимизации функции

(2.17)
относительно переменных 
при условии (2.3). Для
этой функции матрица вторых производных совпадает с матрицей Якоби
рассматриваемой системы уравнений и, следовательно, функция yпри условии (2.3) - выпукла (следствие положительной
определенности ее матрицы вторых производных для всех
удовлетворяющих условию
(2.3)) и имеет единственную стационарную точку, являющуюся ее минимумом. Именно
эта единственная стационарная точка и будет решение системы уравнений (2.2),
(2.3).
Таким образом, любая
задача анализа, удовлетворяющая условию разрешимости и имеющая по одной
заданной величине в каждом участке, имеет единственное решение и дает
сходимость при использовании большинства итерационных методов, в частности, и
рассмотренного метода Ньютона. Наиболее сложной задачей анализа является прямая
задача анализа, когда в качестве независимых переменных берутся сопротивления
участков сети. Задание в каком-либо участке сети расхода уменьшает число этих
уравнений на единицу. Задание напора уменьшает на единицу число переменных 
(
) в этих уравнениях.
Задание же в каком-то участке двух независимых переменных приводит и к тому, и
к другому одновременно.
Отметим, что матрица
Якоби при задании в каком-то участке двух величин перестает быть симметрической
и доказательство единственности решения, изложенное выше, не может быть
распространено на этот случай.
2.3 Гидравлический
расчет инженерных сетей
Одной из
распространенных задач, характерных как для этапа проектирования и
реконструкции инженерных сетей, так и для рационального планирования режимов их
функционирования, является гидравлический расчет этих сетей. Фактически
гидравлический расчет - это задача оптимального синтеза при заданных расходах в
источниках, решение которой сведено к последовательности ряда задач, наиболее
сложная из которых сводится к решению задачи анализа. Гидравлический расчет позволяет
определить потокраспределение в сети и выбрать режимы источников, если известны
их местоположение, структура сети и значение ряда параметров ее участков. Как
правило, задача гидравлического расчета водопроводных сетей по сравнению с
задачей расчета газовых сетей, проще по математической постановке, ибо в
процессе ее решения нет необходимости учитывать ряд дополнительных параметров,
связанных с температурным режимом и учетом сжимаемости газа.
Исходными данными для
гидравлического расчета инженерных; сетей являются: структура сети;
местоположение активных элементов, источников и аккумулирующих емкостей
(водонапорных башен); расход целевого продукта на источниках; параметры
реальных участков (длина, диаметр, геодезические отметки начала и конца участка
трубопровода); зависимость между параллельной и последовательной переменными
участка; расходы целевого продукта и минимально допустимые давления перед
потребителями (причем суммарный расход по всем источникам совпадает с суммарным
расходом по потребителям и аккумулирующим емкостям); а также для водопроводных
сетей уровни воды в аккумулирующих емкостях.
Цель расчета -
определить режим работы источников и потокраспределение в сети, обеспечивающие
заданные узловые расходы при давлении не меньше минимально допустимого.
Очевидно, такая задача имеет бесконечное множество решений. Для однозначного
решения (самого экономичного) необходимо определить так называемую диктующую
точку сети, в которой давление, полученное в результате решения, должно быть
равно минимально допустимому.
Гидравлический расчет
инженерной сети может быть сведен к последовательности решения трех задач []:
1) увязки колец
сети;
2) определение
давлений на источниках питания и характеристик с учетом минимальных свободных
давлений в узлах сети заданных разница геодезических высот;
3) определение
давлений в узлах сети.
Увязочный расчет
сложной кольцевой сети заключается в определении расходов и потерь напора
целевого продукта на реальных участках при заданной геометрической структуре
сети и известных узловых расходах. На этапе определения давлений на источниках
питания по вычисленным перепадам давлений, по реальным участкам и минимальным
допустимым давлениям в узлах сети находят путь с наибольшим перепадом давления
до одного из источников питания и устанавливают требуемые давления в остальных
точках питания сети.
Конечный этап
гидравлического расчета инженерной сети - вычисление истинных давлений в ее
узлах, которое не представляет особого труда, если известны давления источников
питания и перепады давлений по участкам.
Для математической
формулировки задачи произведем следующее кодирование сети: дерево графа выберем
таким образом, чтобы фиктивные участки с потребителями, фиктивные участки с
источниками, кроме одного, и участки с водонапорными башнями стали хордами. -
При этом реальные участки частично станут хордами, а частично - ветвями дерева.
Ветви дерева с источником присвоим номер 1. Обозначим через L, M,
Nи
множество участков с
источниками, реальных, фиктивных и с башнями (для водопроводных сетей)
соответственно.
Тогда, 

, 
, где «1» и «2»
соответственно индексы ветви дерева и хорды.
C
учетом произведенного кодирования ветвей сети, а также того факта, что

(2.18)
по любому замкнутому
циклу 
содержащему реальные
участки сети, математическая модель инженерной сети примет вид:

(r
), (2.19)

(2.20)

(2.21)

(2.22)

,
(2. 23)
где:

(2.24)
Отметим, что система
уравнений (2.21) и параметр 
(геодезическое
превышение участков) при расчете газовой сети отсутствуют. Здесь 
- коэффициент,
учитывающий направление потока воды в башню (
или из башни в сеть 
;
- высота
уровня воды в баке башни.
В приведенной
математической модели предполагается, что участки с источниками направлены от
фиктивного узла к сети, а фиктивные участки с башнями - наоборот.
Рассмотрим алгоритм
решения задачи гидравлического расчета инженерной сети [];
) произведем увязочный
расчет, т.е. решим систему нелинейных алгебраических уравнений (2.19) при (
) - линейном уравнении
связи (2.23), используя в зависимости от сложности сети и имеющихся
вычислительных средств метод Ньютона или покоординатного спуска;
) определим требуемые
давления источников питания. Для этого в уравнения (2.20) и (2.21) для водопроводных
сетей) подставим полученные в результате увязочного расчета расходы и найдем
значения 
) при условии, что

,
и
равны 0, т.е.:

, (r
) (2.25)

, 
) (2.26)
Величины 
, найденные по формулам
(2.25) и (2.26), соответствуют потерям давлений от начала ветви 1 до узла с
узловым расходом 
плюс потери давления,
учитывающие минимальные допустимые давления в узлах и уровни воды в баках
водонапорных башен.
Сравнивая полученные
величины 
(r
определим путь с
максимальной потерей давлений и выберем 
равной этой потере
давлений:

(2.27)
найдем истинные узловые
давления, сопротивления водонапорных башен и требуемые значения давлений
остальных источников, подставив значение 
из формулы (2.27) в
уравнения (2.18) - (2.22):

(2.28)

, 
(2.29)
(
) (2.30)
2.4 Решение задач
анализа и синтеза потокораспределения в инженерных сетях
Разработанная диалоговая
система предназначена для активного использования в процессе решения задач
проектирования реконструкции и эксплуатации инженерных сетей и представляет
собой инструмент исследования различных вариантов сети и различных режимов ее
работы.
Структура диалоговой
системы и функции, которые она осуществляет, определились типом системы
(водопроводная, газовая, тепловая), видом решаемой задачи (гидравлические
расчеты, технико-экономические расчеты и т.д.), ее размерностью (сложностью),
возможностью применяемых ЭВМ и рядом. других параметров.
Как уже сказано, при
разработке и применении диалоговой системы основной задачей является
формализация методики расчета и проектирования системы, а также обработки
данных. Ибо при формализации такой методики в том или ином порядке выявляются
такие задачи, решение которых не может быть сведено к последовательному
применению ряда машинных программ (процедур) и требует интуиции и опыта
проектировщика, а также привлечения им различных дополнительных сведений, объем
и характер которых трудно предусмотреть заранее.
Решение задач расчета и
оптимизации потокораспределения в инженерных сетях в рамках диалоговой системы
может быть получено различными методами и алгоритмами. Результаты их работы
будут зависеть от задания параметров функционирования системы.
Последовательность применяемых алгоритмов также имеет существенное значение.
Поэтому в процессе практической работы с диалоговой системой была выработана
определенная технология решения задач (рис. 3.9), помогающая пользователю
упорядочить последовательность действий, выбрать требуемую схему обработки.
Схема решения каждой
прикладной задачи не единственна. Она зависит от квалификации пользователя и
конкретной ситуации. Принятие окончательного решения возможно на основе
тщательного анализа промежуточных результатов. Диалоговая система является в
этом смысле гибким и удобным инструментом, предоставляет широкие возможности
для вычислительных экспериментов [].
Пример I. В данном примере рассмотрим возможность применения разработанной
диалоговой системы при решении задач проектирования водопроводных сетей. При
этом будем считать, что нам известно местоположения и характеристики
потребителей. В качестве примера возьмем водопроводную сеть жилого массива на
территории г. Ташкента, схема которой приведена на рис. ПГ. Первоначальная
структура и параметры сети заданы проектировщиками. Кроме того, нам известен
набор возможных используемых труб (каталоги), технологические и
технико-экономические показатели. Требуется произвести гидравлический расчет
сети, проверить контролируемые параметры, вычислить критерии по
технико-экономическим показателям} оценить вариант сети по этим критериям,
корректировать сеть и повторить гидравлический расчет, проверять
работоспособность сети для различных режимов, на случай пожара, на надежность,
выбрать окончательную структуру и параметры. Последовательность расчетов
состоит в следующем. Исходные данные готовятся на входных документах при
соблюдении следующих правил:
все узлы должны быть
пронумерованы. При этом желательно номера потребителей, если они имеются,
сохранить;
в схеме два узла
(потребителя, источника, точки ответвления) не должны иметь одинаковый номер.
Допускается пропуск промежуточных номеров;
на нумерацию ограничения
не накладываются. Однако, самый максимальный номер узла не должен превосходить
количества участков и узлов вместе.
Входная документация
состоит из информации об обрабатываемой сети и трех форм.
Входные документы
заполняются в следующей последовательности:
1) в информации об обрабатываемой сети указываются небо
2) холимые данные о сети, например, название сети, адрес, режимы
3) и др. Длина строки не должна превышать 72 символов.
4) указывается тип потребителя информации («0» или «1»)
5) в зависимости от того, какие минимальные свободные напоры
6) они имеют;
7) заполняется форма 1 номерами источников и расходами,
8) выбираемыми из них. Если количество источников равно 1, то
9) можно пропустить значения расхода воды.
10) в форму 2 заносятся номера узлов на участках, длина
11) участка, диаметр трубы на участке и геодезический перепад на
12) участке. Если с одного узла к другому протянуты два параллель них
участка, то нужно два раза записать соответствующие данные. Геодезический
перепад вычисляется как разность геодезической отметки конечного узла от
геодезической отметки начального узла.
5) в форму 3
заносятся номера потребителей, их требуемые рас ходы и свободные напоры. Если
минимальный свободный напор одинаков у всех потребителей, то достаточно
значение этого напора указать для одного потребителя.
После подготовки
исходных данных и их ввода при помощи программного контроля выявляются
возможные ошибки.
Для данного примера
при расчете объема потребляемой воды для хозяйственно-питьевых нужд были
определены для каждого участка значения потери напора, расхода и скорости, а
также напор на источнике и свободный напор у потребителя.
Оценив полученные
результаты выявлено, что на участках основных колец при диаметрах 300 мм
скорость движения воды меньше, чем допустимая, определенная CНиП 02.04.02-97 (табл. 3.5).
Таблица 3.4
|
Узловая пара
|
Скорость м/с
|
Узловая пара
|
Скорость м/с
|
Узловая пара
|
Скорость м/с
|
|
57 - 62
|
0,36
|
70 - 71
|
0,11
|
47 - 48
|
0,66
|
|
61 - 62
|
0,33
|
71 - 72
|
0,07
|
48 - 49
|
0,64
|
|
62 - 63
|
0,32
|
72 - 73
|
0,05
|
49 - 50
|
0,61
|
|
63 - 64
|
0,31
|
73 - 74
|
0,03
|
50 - 51
|
0,59
|
|
64 - 65
|
0,27
|
74 - 75
|
0,02
|
51 - 52
|
0,58
|
|
65 - 66
|
0,25
|
75 - 76
|
0,04
|
52 - 53
|
0,55
|
|
66 - 67
|
0,21
|
76 - 77
|
0,11
|
53 - 54
|
0,52
|
|
67 - 68
|
0,18
|
77 - 78
|
0,13
|
54 - 55
|
0,72
|
|
68 - 88
|
0,16
|
78 - 56
|
0,14
|
55 - 56
|
0,73
|
|
88 - 69
|
0,15
|
45 - 46
|
0,74
|
54 - 89
|
061
|
|
69 - 70
|
0,13
|
46 - 47
|
0,70
|
89 - 56
|
0,70
|
После нескольких
расчетов с изменениями параметров (диаметров) получены необходимые скорости
воды в сети (табл. П1), что привело к снижению диаметров сетей и соответственно
к снижению расхода металла. После проверки полученного варианта сети на
удовлетворение хоз.-питьевых нужд проверены случаи работы сети на различных
режимах: на случай аварии на участках и пожара при условии сохранения
необходимого расхода на хоз.-питье.
Для проверки этих
ситуаций смоделирован случай пожара с расходом 52,5 м/с в районе узлов 61, 62 и
с одновременной аварией на участке 61 - 57. При этом расходы на хоз-питьевые
нужды были, в пределах норм СНиП, скорость вода на контрольных участках 56 -78
составила 2,80 м/с, а на участке 62 - 61 - 0,94 м/с, что находится в допустимых
пределах, установленных СНиП. Такие же проверочные расчеты произведены при
случае пожара в узле 78 и одновременно аварии на участке 56 -78 и, и также при
случае пожара в узлах 58, 69 и одновременной аварии на участке 45-46, и
получены соответствующие данные, удовлетворяющие СНиП.
Одним из основных
показателей эффективности рассчитанных вариантов является возможность снижения
расхода металла, сравнительная оценка которого приведена в таб. 3.5.
Таблица. 3.5
|
Диаметр трубы
|
Количество участков
|
Общая длина трубопроводам
|
Стоимость металла на м, руб.
|
Расход металла по трубопроводу, руб.
|
|
По базовому варианту
|
|
100
|
46
|
981
|
1,76
|
1726,56
|
|
150
|
8
|
419
|
2,69
|
1127,11
|
|
200
|
-
|
-
|
3,72
|
-
|
|
300
|
31
|
1539
|
5,61
|
8633,79
|
|
400
|
11
|
1446
|
7,99
|
11553,54
|
|
Общий расход металла 23041,00 руб.
|
|
По расчетному варианту
|
|
100
|
46
|
981
|
1,76
|
1726,56
|
|
150
|
8
|
419
|
2,69
|
1127,11
|
|
200
|
29
|
1451
|
3,72
|
5397,72
|
|
300
|
2
|
88
|
5,61
|
493,68
|
|
400
|
11
|
1446
|
7,99
|
11553,54
|
|
Общий расход металла 20293,61 р.
|
Данный пример
приведен для случая, когда трассировка сети предложена проектировщиком.
Диалоговая система
позволяет выбрать структуру из избыточной схемы и решить задачи анализа для
этой сети с коррекцией промежуточных вариантов и оценкой по вычисленным
критериям.
Пример 2.
Рассмотрим результаты оценки надежности и эффективности функционирования
инженерной сети на интервале времени сутки (в часовом разрезе) на примере
городской системы водоснабжения. Повышение надежности работы системы
водоснабжения может быть достигнуто за счет улучшения проектирования как ее
элементов, так и системы водоснабжения в целом. Для сравнения методом
имитационного моделирования производились расчеты режимов функционирования
водопроводной сети одного из районов современного города, питаемой двумя
насосными станциями (НС) с регулирующей емкостью и без нее. Структурная схема
водопроводной сети приведена на рис. П2. Регулирующая емкость (резервуар)
размещена мёду НС и соединена водоводами длиной 1400 м и диаметром 500 мм с
напорными водоводами из НС.
В таблице П2
приведены результаты расчета режимов работы системы водоснабжения с
регулирующей емкостью и без нее при различных уровнях водопотребления в сети.
Введение в систему водоснабжения регулирующей емкости позволит уменьшить
диапазоны изменения режимных параметров функционирования НС. Так, например, в
режиме минимального водопотребления давления на выходах НС снижаются с 78,36 до
75,39 м при работе сети без регулирующей емкости (исходный уровень которой
принимается равным 50 м) соответственно до 58,98 и 55,76 м при работе с
емкостью. При этом емкость получает воду (работав как потребитель); давление в
диктующей точке (узе № б на рис. П2) уменьшается с 70,29 м до 50,79 м., т.е.
существенно снижаются избыточные давления в сети. В режиме максимального
водопотребления давления на выходах НС увеличиваются с 32,83 м и 21,4 м при
работе сети без регулирующей емкости соответственно до 49,3 м и 43,57 и при
работе с емкостью. При этом регулирующая емкость подает воду в сеть (работает
как активный элемент); давление в диктующей точке увеличивается с 0,79 м до
19,31 м, за счет уменьшения недопоставок воды потребителям увеличивается
надежность работы сети.
В таблице ПЗ
приведены результаты расчета режимов работы водопроводной сети без резервуара,
а в таблице П4 соответствующие результаты для водопроводной сети с резервуаром,
расположенным между НС на высоте 50 м. В обоих случаях режим водопотребления
считался неизменным на протяжении каждого часа суток, а управляющие воздействия
на ИС - фиксированными в течение суток.
В таблице П5
представлен сравнительный анализ значений критериев надежности и эффективности
функционирования системы водоснабжения на интервале сутки при наличии
регулирующей емкости (резервуара) и без нее. Приведенные результаты
свидетельствуют о том, что использование регулирующей емкости в системе водоснабжения
позволяет существенно повысить надежность ее функционирования. Незначительное
увеличение затрат мощности на НС при этом расходуется на обеспечение заданного
уровня надежности функционирования водопроводной сети.
Пример
3. Разработанная диалоговая система расчета инженер-иных сетей
может быть применена опри проектировании и реконструкции городских водопровод
сетей В данном примере проиллюстрируем последовательность анализа состояния
ведер сетей среднего города с водопровод расходом 47 млн. нм3 и часовым
- 13 тыс. нм3.
Результаты расчета
режимов функционирования водопроводной сети при различных уровнях
водопотребления в сети
А) Сеть без
регулирующей емкости
|
№ режима
|
Давление на выходе первой насосной станции, м
|
Расход на выходе первой насосной станции, м3/с
|
Давление на выходе первой насосной станции, м
|
Расход на выходе первой насосной станции, м3/с
|
Расход емкости, м3/с
|
Давление в диктующей точке, м
|
|
1
|
78,36
|
0,6436
|
75,39
|
0,5534
|
-
|
70,29
|
|
2
|
74,20
|
0,7296
|
70,38
|
0,6270
|
-
|
63,83
|
|
3
|
66,82
|
0,8573
|
61,57
|
0,7387
|
-
|
52,49
|
|
4
|
61,16
|
0,9420
|
54,87
|
0,8136
|
-
|
43,85
|
|
5
|
51,61
|
1,0088
|
43,57
|
0,9262
|
-
|
29,29
|
|
6
|
48,15
|
1,1111
|
39,48
|
0,9637
|
-
|
24,01
|
|
7
|
32,88
|
1,2800
|
21,47
|
1,1140
|
-
|
0,79
|
|
Б) Сеть с регулирующей емкостью (Давление в узле с емкостью 50 м)
|
|
1
|
58,98
|
0,9726
|
55,76
|
0,8041
|
0,5796
|
50,79
|
|
2
|
56,84
|
1,0016
|
53,30
|
0,8301
|
0,4751
|
46,55
|
|
3
|
54,18
|
1,0364
|
50,60
|
0,8578
|
0,2982
|
40,45
|
|
4
|
52,92
|
1,0524
|
50,01
|
0,8638
|
0,1606
|
36,82
|
|
5
|
51,04
|
1,0760
|
48,30
|
0,8807
|
-0,0383
|
30,62
|
|
6
|
50,52
|
1,08,23
|
47,46
|
0,8890
|
-0,1035
|
28,41
|
|
7
|
49,30
|
1,0972
|
43,57
|
0,9263
|
-03705
|
19,31
|
|
|
|
|
|
|
|
|
|
Результаты расчета
режимов функционирования системы водоснабжения без резервуара
|
Часы суток
|
Давление на НС-1, м
|
Подачи НС-1, м3\с
|
Давление на НС-2, м
|
Подачи НС-2, м3/с
|
Давление в д.т., м
|
Сумма энергозатрат на НС, Квт-ч
|
|
1
|
2
|
3
|
4
|
5
|
6
|
7
|
|
0
|
71,2
|
0,56705
|
68,7
|
0,4710
|
65,0
|
1000,8
|
|
1
|
79,7
|
0,4668
|
77,9
|
0,3717
|
75,6
|
895,2
|
|
2
|
84,4
|
0,3913
|
83,1
|
0,3010
|
81,6
|
816,0
|
|
3
|
85,8
|
0,3616
|
84,6
|
0,2768
|
83,4
|
786,6
|
|
4
|
84,5
|
0,3908
|
83,1
|
0,3005
|
81,6
|
815,5
|
|
5
|
79,7
|
0,4661
|
77,9
|
0,3708
|
75,6
|
894,3
|
|
6
|
61,1
|
0,66235
|
57,9
|
0,5653
|
52,6
|
1098,6
|
|
7
|
48,6
|
0,7630
|
44,5
|
0,6642
|
37,2
|
1199,4
|
38,1
|
0,8372
|
33,4
|
0,7365
|
24,35
|
1272,15
|
|
9
|
34,0
|
0,8647
|
29,0
|
0,7632
|
19,3
|
1298,8
|
|
10
|
38,0
|
0,83805
|
33,3
|
0,7373
|
24,2
|
1272,9
|
|
11
|
48,04
|
0,76445
|
44,3
|
0,6655
|
36,9
|
1200,8
|
|
12
|
58,1
|
0,6881
|
54,7
|
0,5906
|
48,9
|
1124,6
|
|
13
|
69,2
|
0,5878
|
66,5
|
0,4912
|
62,5
|
1022,1
|
|
14
|
75,9
|
0,5143
|
73,8
|
0,4180
|
70,9
|
945,1
|
|
15
|
78,15
|
0,4870
|
76,2
|
0,3908
|
73,7
|
916,1
|
|
16
|
76,0
|
0,5133
|
73,9
|
0,4168
|
71,0
|
943,9
|
|
17
|
69,3
|
0,5860
|
66,7
|
0,4892
|
62,7
|
1020,1
|
|
18
|
58,3
|
0,6860
|
54,9
|
0,5882
|
49,2
|
1122,3
|
|
19
|
4503
|
0,7869
|
41,1
|
0,6871
|
33,2
|
1222,7
|
|
20
|
34,6
|
0,8614
|
29,5
|
0,7596
|
19,9
|
1295,4
|
|
21
|
30,2
|
0,8892
|
24,95
|
0,78655
|
14,6
|
1322,2
|
|
22
|
34,3
|
0,8628
|
29,3
|
0,7610
|
19,7
|
1296,8
|
|
23
|
45,0
|
0,7894
|
40,7
|
0,6895
|
32,8
|
1225,2
|
Результаты расчета
режимов функционирования системы водоснабжения с резервуаром
|
Часы суток
|
Давление на НС-1, м
|
Подача НС-1, м3\с
|
Давление наНС-2, м
|
Подача НС-2, м3\с
|
Давление в д.т., м
|
Уровень воды в резервуаре, м
|
Расход (потребление) резервуара, м3\с
|
Объем воды в резервуаре, М
|
Сумма энергозатрат на НС, квт
|
|
0
|
53,5
|
0,7255
|
51,7
|
0,6134
|
47,6
|
50,5
|
0,3008
|
2152,0
|
1154,0
|
|
1
|
56,1
|
0,70435
|
54,5
|
0,5922
|
52,1
|
50,75
|
0,4580
|
3235,0
|
1132,5
|
|
2
|
58,6
|
0,6836
|
57,3
|
0,5706
|
55,8
|
51,135
|
0,5619
|
4883,8
|
1110,9
|
|
3
|
59,8
|
0,6732
|
58,6
|
0,5599
|
57,4
|
51,6
|
0,5947
|
6906,5
|
1100,1
|
|
4
|
59,3
|
0,6776
|
58,0
|
0,5649
|
56,5
|
52,1
|
0,5512
|
9047,3
|
1105,0
|
|
5
|
57,5
|
0,69285
|
55,9
|
0,5813
|
53,5
|
52,56
|
0,4372
|
11031,6
|
1121,2
|
|
6
|
54,15
|
0,7201
|
52,9
|
0,6044
|
46,35
|
52,93
|
0,0968
|
12605,6
|
1146,4
|
|
7
|
53,16
|
0,7280
|
51,8
|
0,6128
|
42,7
|
53,01
|
-0,0865
|
12954,2
|
1154,6
|
|
8
|
52,8
|
0,7310
|
50,45
|
0,6228
|
39,86
|
52,94
|
-0,2199
|
12642,9
|
1161,8
|
|
9
|
52,3
|
0,7347
|
49,7
|
0,6283
|
38,4
|
52,75
|
-02649
|
11851,2
|
1166,6
|
|
10
|
52,4
|
0,7340
|
50,1
|
0,6255
|
39,45
|
52,53
|
-0,2158
|
10897,46
|
1164,6
|
|
11
|
52,5
|
0,7329
|
51,2
|
0,6173
|
42,06
|
52,35
|
-0,0797
|
10120,54
|
1159,4
|
|
12
|
53,3
|
0,7271
|
52,1
|
0,61025
|
44,9
|
52,3
|
0,0586
|
9833,5
|
1152,8
|
|
13
|
54,6
|
0,7164
|
52,9
|
0,6044
|
48,3
|
52,33
|
0,2417
|
10044,5
|
1144,8
|
|
14
|
56,3
|
0,70295
|
54,6
|
0,5914
|
51,4
|
52,54
|
0,3620
|
10914,75
|
1131,4
|
|
15
|
57,2
|
0,6955
|
55,6
|
0,5838
|
52,8
|
52,84
|
0,4016
|
12218,0
|
1123,8
|
|
16
|
56,8
|
0,6986
|
55,2
|
0,5871
|
52,0
|
53,2
|
0,3556
|
13663,7
|
1127,05
|
|
17
|
55,6
|
0,7084
|
54,0
|
0,5663
|
49,4
|
53,5
|
0,2295
|
14943,7
|
1136,6
|
|
18
|
54,5
|
0,7171
|
53,4
|
0,6002
|
46,2
|
53,66
|
0,0430
|
15769,8
|
1142,65
|
|
19
|
53,7
|
0,7283
|
52,0
|
0,6107
|
42,5
|
53,7
|
-0,1400
|
15924,7
|
1151,4
|
|
20
|
53,1
|
0,7285
|
50,46
|
0,6224
|
39,335
|
53,68
|
-0,2700
|
15420,7
|
1160,5
|
|
21
|
52,5
|
0,7333
|
49,6
|
0,62885
|
37,75
|
53,36
|
-0,3136
|
14448,7
|
1166,3
|
|
22
|
52,6
|
0,7321
|
50,0
|
0,6257
|
38,84
|
53,095
|
-0,2660
|
1164,0
|
|
23
|
52,9
|
0,7298
|
51,3
|
0,6166
|
41,65
|
52,87
|
-0,1326
|
12362,1
|
1157,6
|
Сравнительный
анализ значений критериев функционирования водопроводной сети на интервале
времени сутки
|
Тип водопроводной сети
|
Подача воды в сеть за сутки, м3
|
Затраты электро-энергии за сутки, квт-ч
|
Оценка среднего значения дефицита воды в-м узле
|
Оценка вероятности возникновения дефицита в узле
|
Оценка носительного значения величины дефицита в-м узле
|
Глубина возникновения дефицита в узле сети
|
Оценка дефицита воды во всех узлах сети
|
Оценка среднего значения вероятности возникновения дефицита воды
во всех узлах
|
|
Без регулирующей емкости
|
104104,8
|
26007,6
|
0,588-4,4368
|
0,167-0,33
|
0,016-0,1205
|
6,571-22,178
|
108,275
|
0,2606
|
|
С регулирующей емкостью (c
резервуаром
|
113837,4
|
27436,0
|
0
|
0
|
0
|
0
|
0
|
0
|
3.
Экспериментальная часть
Как было показано в
главе I, процесс проектирования или эксплуатации инженерных сетей
сводится к поэтапному решению ряда задач с возможной корректировкой предыдущих
этапов по результатам решения последующих, причем этот процесс полностью
формализовать нельзя. Отмечено, что наиболее эффективной процедурой решения
таких задач является человеко-машинная процедура, основанная на сочетании
решения отдельных хорошо формализуемых задач на ЭВМ с корректировкой полученных
результатов на основе опыта и интуиции пользователя. Такую человеко-машинную
процеди рук можно успешно реализовать в виде диалоговой системы общения
пользователя с машиной на базе решения задач анализа, рассмотренных в главе 2,
и модифицированных рядом вспомогательных процедуру, таких как вычисление
необходимых критериев, контроль ряда параметров и переменных, имитация
функционирования сети в различных режимах потребления и т.д.
Очевидно, что такая
диалоговая система должна быть открытой, т.е. предусматривать ее модификацию и
расширение для отдельных специфических задач потребителя, легко привязываться к
различному классу машин.
В данной главе
рассматриваются некоторые вопросы создания диалоговой системы анализа и синтеза
потокораспределения в инженерных сетях, алгоритмизации и математического
обеспечения, а также некоторые показатели (критерии), характеризующие
инженерную сеть и используемые в многовариантных расчетах. В основу диалоговой
системы положены математические модели потокраспределения в инженерных сетях,
описанные в гл. 1 и 2.
3.1
Основные технологические и экономические критерии функционирования и
проектирования инженерных сетей
Решение задачи
анализа установившегося потокраспределения позволяет определить
потокраспределение в инженерной сети, для конкретного ее варианта,
характеризуемого заданием структуры системы и параметров активных и пассивных
участков.
При этом каждому
варианту сети будут соответствовать не только вполне определенное
потокораспределение, но и конкретные значения ряда критериев, как
энергетические и эксплуатационные затраты, стоимость проектирования системы,
потери, связанные с утечками воды или газа и т.д. Вычисление значений этих
критериев позволяют принимать соответствующее решение. Как правило, значения
таких критериев являются функциями параметров и переменных системы и носят
аддитивный характер

(3.1)
где 
- множества источников,
потребителей и магистральных участков соответственно, а составляющая
вектора
характеризует i-й параметрj
- того участка, 
и
- расход и перепад
давлений на j - м участке.
Остановимся на основных
критериях и показателях функционирования водопроводных сетей. В проектной
практике диаметры участков водопроводной сети рассчитываются на пропуск
максимальных потоков, в то время как продолжительность периодов максимальных
нагрузок.
Рассмотренные
технологические и экономические критерии функционирования и проектирования
инженерных сетей позволяют оценить разные варианты сети или режимы ее
функционирования и выбирать более приемлемый из них.
3.2 Особенности анализа
и синтеза поток распределения в инженерных сетях в интерактивном режиме
Диалоговая система
анализа и синтеза поток распределения в инженерных сетях предоставляет
проектировщику удобные средства для планирования процесса проектирования,
гибкого управления этим процессом, его корректировки, возобновления и т.п. При
диалоге проектировщика и ЭВМ наблюдается определенная равноценность
деятельности партнеров и рациональное распределение функций между человеком и
машиной на основе взаимного дополнения и использования функциональных
возможностей [], которыми обладает каждый из партнеров, а также синтеза
творческих процессов человека и реализации машинных программ.
Последовательность
человеко-машинных процедур анализа и синтеза поток распределения в инженерных
сетях осуществляется в четыре этапа;
синтез начального
варианта сети;
генерирование
различных вариантов сети в зависимости от решаемой задачи и связанного с ней
многообразия факторов (контролируемых параметров, критериев, количественных
оценок надежности сети и т.д.), которые необходимо осмыслить пользователю в
процессе принятия решений, и выбор вариантов для дальнейшей проработки;
имитация различных
ситуаций для выбора окончательного., варианта из числа приемлемых вариантов;
выбор
окончательного варианта с вычислением технико-экономических показателей.
На первом этапе
производится формирование и синтез начального варианта сети. При этом
осуществляется подготовка исходных данных о структуре и параметрах сети в виде
набора данных на устройство прямого доступа. В дальнейшем будем называть его
локальной базой данных или просто базой данных (БД).
Вводя в схему сети
фиктивный узел и соединив все узлы (входы и выходы) с фиктивным узлом,
образуется граф, состоящий из узлов и участков пяти типов: пассивные участки,
участки с задвижками, участки с активными элементами, фиктивные участки,
являющиеся входами; фиктивные участки, являющиеся потребителями. Информация о
структуре сети полностью описывается в виде списка узловых пар, этот список
разбит на некоторые области по типам участков, каждому поставлены в
соответствие некоторые атрибуты: длина, диаметр, геодезический перепад и т.д.
Такое представление позволяет упростить структуру БД, а также относительно
просто реализовать функции корректировки структуры сети. Этап заканчивается
проведением синтеза сети с использованием имеющихся методов и алгоритмов, и получением
первоначальных результатов.
В основе
генерирования множества вариантов лежит решение задачи анализа или задачи
гидравлического расчета, которое проходит в следующей последовательности:
) формирование
исходной информации для текущей задачи, заключающееся в выборке из базы
требуемых данных с последующим преобразованием. Данные преобразуются с целью
экономии памяти и повышения эффективности. При этом производится пере нумерация
узлов, формирование различных видов связанных списков [] и сортировка номеров
участков по определенным признакам;
2) формирование
структуры системы нелинейных и вспомогательных уравнений задачи. Структуры
решаемых уравнений описываются множеством фундаментальных циклов и типом
текущей задачи []. Для этого сначала выбирается дерево графа, а потом строится
массив фундаментальных циклов. В состав дерева включаются все фиктивные участки
с заданными давлениями и часть реальных участков. Это позволяет использовать
дерево не только для построения фундаментальных циклов, но и для выбора неплохих
начальных приближений по расходам. Причем с целью экономии памяти в БД хранится
не сам массив, а некоторые вспомогательные массивы небольшой размерности
(массив хорд, массив точек сочленения и массив предшественников [] позволяющие
при необходимости генерировать фундаментальные циклы;
3) решение системы
нелинейных уравнений, то есть выполнение увязочного расчета с использованием (в
зависимости от сложности сети и имеющихся вычислительных средств) одного из
методов Ньютона, покоординатного спуска, группового спуска. Результатом решения
системы нелинейных уравнений являются значения
во всех участках (i, j)
и значения 
в виде
для сетей водоснабжения
и для газораспределительных сетей низкого давления, или 
для сетей газоснабжения
среднего и высокого давления;
) поиск диктующей
точки (при гидравлическом расчете) и вычисление значений некоторых переменных и
параметров таких, как давление в узлах, скорость текущей воды по участкам,
избыточный свободный напор и т.д.
Далее вычисляются
значения критериев функционирования сети и контролируемых параметров, описанных
в 3.1. Машинным способом производится анализ параметров в соответствии с.
нормативными данными и формируется список параметров, выходящих за пределы
допустимых норм. На основе этих данных и значений критериев оценивается вариант
сети и выбирается наиболее приемлемый. Если вариант является приемлемым, то он
сохраняется для дальнейшей проработки. Количество сохраняемых приемлемых
вариантов должно быть достаточным для того, чтобы из его множества можно было
выделить рациональные варианты, обеспечивающие выполнение основного
функционального назначения сети при различных экстремальных ситуациях.
В случае
неприемлемости варианта пользователь генерируетновый вариант путем
корректировки структуры и параметров сети. При этом могут возникнуть некоторые
обстоятельства. Например, увеличение диаметров приводит к уменьшению суммарного
напора источников, максимального и суммарного избыточного напора в узлах, а
также суммарной мощности насосов; для того чтобы уменьшить стоимостные
характеристики, можно перераспределить расход и давление на источниках,
уменьшить диаметры, заменить трубы на участках, например, на трубы из другого материала,
и удалить участки, слабо влияющие на надежность сети; уменьшение
непроизводительных расходов достигается уменьшением избыточных напоров на
потребителях; изменение структуры сети может повлиять на значение всех
критериев; надежность сети может быть повышена за счет образования
дополнительных контуров, резервирования отдельных участков и т.д.
При генерировании
варианта на ЭВМ возлагаются такие процедуры, как варьирование параметров в
требуемом диапазоне, проверка допустимости ограничений и условий и т.д.
Пользователь же, используя диалог, построенный на директивном языке, определяет
новую структуру сети (удаляет, заменяет, добавляет, дублирует участки),
переопределяет местоположение источников и аккумулирующих емкостей, а также
значения пахт метров сети (изменяет диаметры труб, длины участков, давление и
расхода на источниках и потребителях, состояние кранов и т.д.) [].
Кроме того,
пользователь может выбрать по своему усмотрению подходящий численный метод
решения системы нелинейных, уравнений. Для ее решения реализованы несколько
методов, каждый из которых обладает своими достоинствами и недостатками [].
Например, метод
покоординатного спуска требует для своей реализации минимальный, по сравнению с
другими, объем памяти, но сходимость его хуже, чем метод Ньютона. В некоторых
случаях сходимость метода Ньютона можно улучшить, предварительно выполнив
несколько итераций по методу покоординатного спуска. Метод группового спуска,
как по достоинствам, так и по недостаткам является «компромиссным вариантом» этих
двух методов. Эффективность метода группового спуска существенно зависит от
разбиения сети на фрагменты - задача, с которой пользователь может нередко
справиться лучше, чем ЭВМ. Кроме этого можно влиять на улучшение решения
системы уравнений выбором дерева, построением новых фундаментальных циклов,
декомпозицией системы уравнений, изменением начальных приближений, заданием
граничных условий и т.п.
Для выбора
окончательного варианта сети производится проверка различных вариантов с
имитацией возможных ситуаций. Ситуациями могут быть пожарный или аварийный
режимы, резкое увеличение или снижение потребления, плановые
ремонтно-профилактические работы, которые влекут за собой изменение структуры
сети и т.д.
Выбор
окончательного варианта производится на основе экономических критериев, как
например, приведенных затрат.
Важным средством
реализации человеко-машинных процедур анализа и синтеза поток распределения в
инженерной сети является диалог между человеком и ЭВМ.
Диалог, построенный
на языке пользователя, позволяет с необходимой степенью формализации описать
решаемую задачу, определить характер входных данных и требуемую структуру
выходных результатов, автоматизировать процесс построения обрабатывающей
программы, т.е. сборки рабочей программы из модулей системы[]. Сам
автоматизированный расчет (выполнение обрабатывающей программы) может
осуществляться в одном из двух режимов: пакетном, когда исходная информация
загружается полностью с внешнего устройства в память ЭВМ и решается без
вешатель-
·
пользователь имеет возможность осуществлять много вариант
·
Ное проектирование на основе различных подходов, т.е. процесс
·
получения проектных решений проходит путем многократных литера
·
цели и оценок промежуточных решений;
·
математическое обеспечение системы включает большой на
·
бор формальных методов решения задач при проектировании и управ
·
линии инженерными сетями, программ по оформлению табличных и
·
графических результатов;
·
система является достаточно гибкой и неограниченно рас
·
ширяемой, т.е. обеспечивает возможность оперативно вносить измен
·
нения в алгоритмы решения задач и по мере своего развития включить
в себя новые алгоритмы;
·
принципы и концепции, лежащие в основе построения системы, были
призваны обеспечить разработку машинно-независимой
·
системы.
3.3
Повышение эффективности решения задач анализа и синтеза поток распределения в
инженерных сетях в интерактивном режиме
В основу
человеко-машинных процедур антитеза и синтеза поток распределения в инженерных
сетях положено многократное использование задач антитеза, заключающееся в
многократном повторении решения систем линейных и нелинейных уравнений при
варьировании параметрами и структурой сети. В зависимости от того, какой метод
выбран дитя решения систем уравнений, а также в какой операционной среде функционирует
диалоговая система, может возникнуть ряд проблем: большая продолжительность
вычислений, неустойчивость вычислительного процесса, малая точность получаемых
результатов, дефицит объема оперативной или внешней памяти ЭВМ. Поэтому, при
создании диалоговой системы анализа и синтеза потокраспределения в инженерных
сетях усилия были направлены не только на разработку математического
обеспечения, но и на развитие методов и алгоритмов решения задач,
удовлетворяющих требованиям высокой экономичности, надежности и точности.
Развитие этих методов производится на основе подходов, группируемых в несколько
направлений, суть которых заключается в следующем []:
- декомпозиция сети с
точки зрения инженерной постановки задачи, т.е. сеть разбивается на части в определенных
(слабо-начале формирования следующего. Для фиксации завершения формирования
последнего списка инцидентных дуг в элемент массива M2с
номером, равным номеру столбца первого (слева) ненулевого элемента последней
строки матрицы 
, заносится специальный
признак (например, нулевое значение).
Рассмотренная
интерпретация позиционно-списочного представления показала, что в массиве M2
фактически находится 
ячеек, которые в
принципе можно использовать в процессе решения текущей задачи. Если каждому узу
графа инженерной сети инцидентно три дуги, т.е. каждый список дуг, состоит из
трех элементов, то это составляет 25% (
) памяти, занимаемой
массивами M1иM2.
3.4 Использование
интерактивной машинной графики при решении задач проектирования и реконструкции
инженерных сетей
Графическое выполнение
рабочих чертежей и других проектов, расчетов и обоснований составляет
значительную часть трудозатрат, при проектировании и принятии решений.
Повышение производительности проектировщиков и лиц, принимающих решения, могут
быть достигнуты путем автоматизации и графических работ.
Эффективность
автоматизации графических работ при проектировании и реконструкции инженерных
сетей определяется следующими условиями: представление информации для анализа в
удобной для проектировщика графической форме; использование в языке общения
системы и проектировщика удобных для него понятий, оборотов и стандартных
элементов; Комплекс содержит программы, позволяющие строить основные
графические элементы: прямую, символы, маркеры, многоугольники, дуги эллипсов и
окружностей; строить кривые и от координат в декартовой и полярных системах;
выполнять аффинные преобразования рисунка или его элементов (сжатие,
растяжение, поворот, симметричное отражение), а также экранирование и
формирование следа пера; штриховать различные области, ограниченные замкнутой
кривой; выполнять различные геометрические построения и вычисления; строить
карты изолиний и линии пересечений поверхностей. Как видно из перечня
выполнимых функций данный комплекс будет очень полезным, когда будет решаться
вопрос проектирования инженерных сетей различного назначения и когда
потребуется совместное рассмотрение их с точки зрения детальной планировки,
трассировки с увязкой возможности строительства.
Таким образом,
эффективность решения задач проектирования и реконструкции инженерных сетей на
малых ЭВМ может быть повышена путем ввода в комплекс программ элемента
графического диалога. Это позволяет проектировщику при решении задач, связанных
с выбором топологии сети оперативно воздействовать с системой для получения
рациональных решений, а также непосредственно выдавать графические материалы
для формирования проектно-сметной документации.
3.5 Примеры реализации
человеко-машинных методов анализа и синтеза поток распределения в инженерных
сетях
Разработанная диалоговая
система предназначена для активного использования в процессе решения задач
проектирования, реконструкции и эксплуатации инженерных сетей и представляет
собой инструмент исследования различных вариантов сети и различных режимов ее
работы.
Структура диалоговой
системы и функции, которые она осуществляет, определились типом системы
(водопроводная, газовая, тепловая), видом решаемой задачи (гидравлические
расчеты, технико-экономические расчеты и т.д.), ее размерностью (сложностью),
возможностью применяемых ЭВМ и рядом других параметров.
Как уже сказано, при
разработке и применении диалоговой системы основной задачей является
формализация методики расчета и проектирования системы, а также обработки
данных. Ибо при формализации такой методики в том или ином порядке выявляются
такие задачи, решение которых не может быть сведено к последовательному
применению ряда машинных программ (процедур) и требует интуиции и опыта
проектировщика, а также привлечения им различных дополнительных сведений, объем
и характер которых трудно; предусмотреть заранее.
Решение задач расчета и
оптимизации поток распределения в инженерных сетях в рамках диалоговой системы
может быть получено различными методами и алгоритмами. Результаты их работы
будут зависеть от задания параметров функционирования системы.
Результаты расчета
режимов функционирования водопроводной сети при различных уровнях
водопотребления в сети
А) Сеть без регулирующей
емкости
|
№ режима
|
Давление на выходе первой насосной станции, м
|
Расход на выходе первой насосной станции, м3/с
|
Давление на выходе первой насосной станции, м
|
Расход на выходе первой насосной станции, м3/с
|
Расход емкости, м3/с
|
Давление в диктующей точке, м
|
|
1
|
78,36
|
0,6436
|
75,39
|
0,5534
|
-
|
70,29
|
|
2
|
74,20
|
0,7296
|
70,38
|
0,6270
|
-
|
63,83
|
|
3
|
66,82
|
0,8573
|
61,57
|
0,7387
|
-
|
52,49
|
|
4
|
61,16
|
0,9420
|
54,87
|
0,8136
|
-
|
43,85
|
|
5
|
51,61
|
1,0088
|
43,57
|
0,9262
|
-
|
29,29
|
|
6
|
48,15
|
1,1111
|
39,48
|
0,9637
|
-
|
24,01
|
|
7
|
32,88
|
1,2800
|
21,47
|
1,1140
|
-
|
0,79
|
|
Б) Сеть с регулирующей емкостью (Давление в узле с емкостью 50 м)
|
|
1
|
58,98
|
0,9726
|
55,76
|
0,8041
|
0,5796
|
50,79
|
|
2
|
56,84
|
1,0016
|
53,30
|
0,8301
|
0,4751
|
46,55
|
|
3
|
54,18
|
1,0364
|
50,60
|
0,8578
|
0,2982
|
40,45
|
|
4
|
52,92
|
1,0524
|
50,01
|
0,8638
|
0,1606
|
36,82
|
|
5
|
51,04
|
1,0760
|
48,30
|
0,8807
|
-0,0383
|
30,62
|
|
6
|
50,52
|
1,08,23
|
47,46
|
0,8890
|
-0,1035
|
28,41
|
|
7
|
49,30
|
1,0972
|
43,57
|
0,9263
|
-03705
|
19,31
|
|
|
|
|
|
|
|
|
|
|
|
|
|
|
|
|
|
|
Результаты расчета
режимов функционирования системы водоснабжения без резервуара
|
Часы суток
|
Давление на НС-1, м
|
Подачи НС-1, м3\с
|
Давление на НС-2, м
|
Подачи НС-2, м3/с
|
Давление в д.т., м
|
Сумма энергозатрат на НС, Квт-ч
|
|
0
|
71,2
|
0,56705
|
68,7
|
0,4710
|
65,0
|
1000,8
|
|
1
|
79,7
|
0,4668
|
77,9
|
0,3717
|
75,6
|
895,2
|
|
2
|
84,4
|
0,3913
|
83,1
|
0,3010
|
81,6
|
816,0
|
|
3
|
85,8
|
0,3616
|
84,6
|
0,2768
|
83,4
|
786,6
|
|
4
|
84,5
|
0,3908
|
83,1
|
0,3005
|
81,6
|
815,5
|
|
5
|
79,7
|
0,4661
|
77,9
|
0,3708
|
75,6
|
894,3
|
|
6
|
61,1
|
0,66235
|
57,9
|
0,5653
|
52,6
|
1098,6
|
|
7
|
48,6
|
0,7630
|
44,5
|
0,6642
|
37,2
|
1199,4
|
|
8
|
38,1
|
0,8372
|
33,4
|
0,7365
|
24,35
|
1272,15
|
|
9
|
34,0
|
0,8647
|
29,0
|
0,7632
|
19,3
|
1298,8
|
|
10
|
38,0
|
0,83805
|
33,3
|
0,7373
|
24,2
|
1272,9
|
|
11
|
48,04
|
0,76445
|
44,3
|
0,6655
|
36,9
|
1200,8
|
|
12
|
58,1
|
0,6881
|
54,7
|
0,5906
|
48,9
|
1124,6
|
|
13
|
69,2
|
0,5878
|
66,5
|
0,4912
|
62,5
|
1022,1
|
|
14
|
75,9
|
0,5143
|
73,8
|
0,4180
|
70,9
|
945,1
|
|
15
|
78,15
|
0,4870
|
76,2
|
0,3908
|
73,7
|
916,1
|
|
16
|
76,0
|
0,5133
|
73,9
|
0,4168
|
71,0
|
943,9
|
|
17
|
69,3
|
0,5860
|
66,7
|
0,4892
|
62,7
|
1020,1
|
|
18
|
58,3
|
0,6860
|
54,9
|
0,5882
|
49,2
|
1122,3
|
|
19
|
4503
|
41,1
|
0,6871
|
33,2
|
1222,7
|
|
20
|
34,6
|
0,8614
|
29,5
|
0,7596
|
19,9
|
1295,4
|
|
21
|
30,2
|
0,8892
|
24,95
|
0,78655
|
14,6
|
1322,2
|
|
22
|
34,3
|
0,8628
|
29,3
|
0,7610
|
19,7
|
1296,8
|
|
23
|
45,0
|
0,7894
|
40,7
|
0,6895
|
32,8
|
1225,2
|
Результаты расчета
режимов функционирования системы водоснабжения с резервуаром
|
Часы суток
|
Давление на НС-1, м
|
Подача НС-1, м3\с
|
Давление наНС-2, м
|
Подача НС-2, м3\с
|
Давление в д.т., м
|
Уровень воды в резервуаре, м
|
Расход (потребление) резервуара, м3\с
|
Объем воды в резервуаре, М
|
Сумма энергозатрат на НС, квт
|
|
0
|
53,5
|
0,7255
|
51,7
|
0,6134
|
47,6
|
50,5
|
0,3008
|
2152,0
|
1154,0
|
|
1
|
56,1
|
0,70435
|
54,5
|
0,5922
|
52,1
|
50,75
|
0,4580
|
3235,0
|
1132,5
|
|
2
|
58,6
|
0,6836
|
57,3
|
0,5706
|
55,8
|
51,135
|
0,5619
|
4883,8
|
1110,9
|
|
3
|
59,8
|
0,6732
|
58,6
|
0,5599
|
57,4
|
51,6
|
0,5947
|
6906,5
|
1100,1
|
|
4
|
59,3
|
0,6776
|
58,0
|
0,5649
|
56,5
|
52,1
|
0,5512
|
9047,3
|
1105,0
|
|
5
|
57,5
|
0,69285
|
55,9
|
0,5813
|
53,5
|
52,56
|
0,4372
|
11031,6
|
1121,2
|
|
6
|
54,15
|
0,7201
|
52,9
|
0,6044
|
46,35
|
52,93
|
0,0968
|
12605,6
|
1146,4
|
|
7
|
53,16
|
0,7280
|
51,8
|
0,6128
|
42,7
|
53,01
|
-0,0865
|
12954,2
|
1154,6
|
|
8
|
52,8
|
0,7310
|
50,45
|
0,6228
|
39,86
|
52,94
|
-0,2199
|
12642,9
|
1161,8
|
|
9
|
52,3
|
0,7347
|
49,7
|
0,6283
|
38,4
|
52,75
|
-02649
|
11851,2
|
1166,6
|
|
10
|
52,4
|
0,7340
|
50,1
|
0,6255
|
39,45
|
52,53
|
-0,2158
|
10897,46
|
1164,6
|
|
11
|
52,5
|
0,7329
|
51,2
|
0,6173
|
42,06
|
52,35
|
-0,0797
|
10120,54
|
1159,4
|
|
12
|
53,3
|
0,7271
|
52,1
|
0,61025
|
44,9
|
52,3
|
0,0586
|
9833,5
|
1152,8
|
|
13
|
54,6
|
0,7164
|
52,9
|
0,6044
|
48,3
|
52,33
|
0,2417
|
10044,5
|
1144,8
|
|
14
|
56,3
|
0,70295
|
54,6
|
0,5914
|
51,4
|
52,54
|
0,3620
|
10914,75
|
1131,4
|
|
15
|
57,2
|
0,6955
|
55,6
|
0,5838
|
52,8
|
52,84
|
0,4016
|
12218,0
|
1123,8
|
|
16
|
56,8
|
0,6986
|
55,2
|
0,5871
|
52,0
|
53,2
|
0,3556
|
13663,7
|
1127,05
|
|
17
|
55,6
|
0,7084
|
54,0
|
0,5663
|
49,4
|
53,5
|
0,2295
|
14943,7
|
1136,6
|
|
18
|
54,5
|
0,7171
|
53,4
|
0,6002
|
46,2
|
53,66
|
0,0430
|
15769,8
|
1142,65
|
|
19
|
53,7
|
0,7283
|
52,0
|
0,6107
|
42,5
|
53,7
|
-0,1400
|
15924,7
|
1151,4
|
|
20
|
53,1
|
0,7285
|
50,46
|
0,6224
|
39,335
|
53,68
|
-0,2700
|
15420,7
|
1160,5
|
|
21
|
52,5
|
0,7333
|
49,6
|
0,62885
|
37,75
|
53,36
|
-0,3136
|
14448,7
|
1166,3
|
|
22
|
52,6
|
0,7321
|
50,0
|
0,6257
|
38,84
|
53,095
|
-0,2660
|
13319,7
|
1164,0
|
|
23
|
52,9
|
0,7298
|
51,3
|
0,6166
|
41,65
|
52,87
|
-0,1326
|
12362,1
|
1157,6
|
Сравнительный
анализ значений критериев функционирования водопроводной сети на интервале времени
сутки
|
Тип водопроводной сети
|
Подача воды в сеть за сутки, м3
|
Затраты электро-энергии за сутки, квт-ч
|
Оценка сред-него значения дефицита воды в-м узле
|
Оценка вероятности возникновения дефицита в узле
|
Оценка относительного значения величины дефицита в-м узле
|
Глубина возникновения дефицита в узле сети
|
Оценка дефицита воды во всех узлах сети
|
Оценка среднего значения вероятности возникновения дефицита воды
во всех узлах
|
|
Без регулирующей емкости
|
104104,8
|
26007,6
|
0,588-4,4368
|
0,167-0,33
|
0,016-0,1205
|
6,571-22,178
|
108,275
|
0,2606
|
|
С регулирующей емкостью (c
резервуаром
|
113837,4
|
27436,0
|
0
|
0
|
0
|
0
|
0
|
0
|
Литература
1.
Абрамов Н.Н., Гениев Н.Н., Павлов В.И. Водоснабжение. - М.:
Госстройиздат, 1998. - 250 с.
2.
Абрамов Н.Н., Поспелова М.М. Расчет водопроводных сетей. - М.:
Госстройиздат, 1990. - 228 с.
3.
Абрамов Н.Н. Теория и методика расчета систем подачи и
распределения воды. - М.: Стройиздат, 1980. -287 с.
4. Абрамов И.Н. Расчет водопроводных
сетей. - М.: Стройиздат, 1976. - 303 с.
5. Абрамов Н.Н. Водоснабжение. ~М.:
Стройиздат, 1982. - 440 с.
6.
Абрамов И.Н., Поспелова МЛ.и др. Расчет водопроводных сетей, М.:
Стройиздат, 1983. -278 с.
7. Холбоева М.К, Бахрамов У.
«Совершенствование проектирования развивающихся инженерных сетей
железнодорожного транспорта».
ТашИИТ, Материалы конференции
магистров и бакалавров по итогам научных исследований. Ташкент, 2010, с. 3.
. Холбоева М.К. Бахрамов У.,
«Особенности анализа и синтеза потокораспределения в инженерных сетях в
интерактивном режиме ТашИИТ, Материалы конференции магистров и бакалавров по
итогам научных исследований. Ташкент, 2010, с. 3.
. Ахунов Х.Г., Жалилов У. Диалоговый
подход к решению задач гидравлического расчета при управлении городскими
инженерными сетями. - В сб.: Управление большим городом.-Тез.докл.III республиканской
конференции. ТАСИ.: 2000 г.
. Басс Г.М. и др. Водоснабжение.
Технико-экономические расчеты. - Киев: Вища школа, 1977.
. Батыщев Д.И., Бедная Р.И.
Особенности организации пакетов программ оптимизации, используемых в системах
автоматизированного проектирования. - В сб. Автоматизация проектирования в
электронике и приборостроении.-Л.:ЛЭТИ, 1998, с 12-29.
. Башмаков И.А., Саркисян А.П.
Развитие диалоговых средств в человеко-машинных системах обработки данных. -
Труды Московского энергетического института, 2000, вып. 485, с. 47-53.
. Баясанов Д.Б., Быкова З.Я. Расчет
и проектирование городских газовых сетей среднего и высокого давления. -
М.:Строй-издат, 2001.
. Баясанов Д.Б., Гурвич Г.М.
Автоматическое регулирование и управление в городских газовых
сетях.:Стройиздат, 1998 г.
. Белан А.Е. Универсальный метод
гидравлического увязочного расчета кольцевых водопроводных сетей.-Известия
вузов. Строительство и архитектура, 2005, с. 69-73.
. Белан А.Е., Хоружий П.Д.
Проектирование и расчет устройств водоснабжения. - Киев: Будивельник, 2000. с.
. Белан А.Е., Хоружий П.Д.
Технико-экономический расчет водопроводных систем на ЭВМ. - Киев: Вища школа,
2009. - 192 с.