Исследование методов заряда аккумуляторных батарей

  • Вид работы:
    Другое
  • Предмет:
    Другое
  • Язык:
    Русский
    ,
    Формат файла:
    MS Word
    132,76 Кб
  • Опубликовано:
    2014-06-30
Вы можете узнать стоимость помощи в написании студенческой работы.
Помощь в написании работы, которую точно примут!

Исследование методов заряда аккумуляторных батарей

Министерство образования и науки Российской Федерации

Федеральное государственное бюджетное образовательное учреждение

высшего профессионального образования

«Омский государственный технический университет»








ОТЧЁТ

О НАУЧНО ИССЛЕДОВАТЕЛЬСКОЙ РАБОТЕ

ИССЛЕДОВАНИЕ МЕТОДОВ ЗАРЯДА АККУМУЛЯТОРНЫХ БАТАРЕЙ

Зав. Кафедрой

Косых А.В.

Научный руководитель

Ионов А.Б.







Омск 2015

СПИСОК ИСПОЛНИТЕЛЕЙ

Руководитель НИР:

уч. степень, уч. звание ______________________к.т.н. Ионов А.Б.

подпись, дата

Исполнители:

студент, академ.группа,

(уровень ВО) ____________________________ Кузовов С.А.

подпись, дата

Реферат

Отчет содержит 36 страниц машинописного текста, 32 использованных источника.

НИКЕЛЬ-МЕТАЛЛГИДРИДНЫЕ АККУМУЛЯТОРНЫЕ БАТАРЕИ, НИКЕЛЬ-КАДМИЕВЫЕ АККУМУЛЯТОРНЫЕ БАТАРЕИ АККУМУЛЯТОРНЫЕ БАТАРЕИ, МЕТОДЫ ЗАРЯДА.

Объектом исследования являются методы заряда аккумуляторных батарей АА форм-фактора.

Цель данного исследования - обоснование темы диссертации, обзор научной, патентной литературы по исследуемой проблеме, составление библиографии по теме исследований.

В рамках выполнения работ проводились обзорно-аналитические исследования.

Результаты исследований показали необходимость правильного заряда NiMH и NiCd батарей.

СОДЕРЖАНИЕ


ВВЕДЕНИЕ

1. ОБЗОР ПО ТЕМЕ МАГИСТЕРСКОЙ ДИССЕРТАЦИИ

1.1 Типы аккумуляторных батарей АА-фактора

.2 Особенности никель - металлгидридных аккумуляторных батарей

.3 Особенности никель - кадмиевых аккумуляторных батарей

.4 Методы заряда

.4.1 Стандартный заряд

.4.2 Быстрый заряд

.4.3 Ускоренный заряд

2. АКТУАЛЬНОСТЬ ТЕМЫ

2.1 Цель и задачи диссертации

.2 Перечень диссертаций кандидатов наук и докторов по проблеме диссертации

.3 Перевод иностранной статьи

.4 Заказ и получение новой литературы

ЗАКЛЮЧЕНИ

СПИСОК ИСПОЛЬЗОВАННЫХ ИСТОЧНИКОВ

ВВЕДЕНИЕ


В настоящее время для питания портативной аппаратуры используется несколько видов аккумуляторов: никель-кадмиевые (NiCd), никель-металл-гидридные (NiMH), литий-ионные (Li+), литий-полимерные (Li-Polymer). В последнее время все большее распространение получают Li+ аккумуляторы. Причин этому несколько: они имеют большую удельную емкость, низкий саморазряд, способны отдавать большие токи при разряде. Li-Polymer аккумуляторы обладают еще одним преимуществом: технологически их можно изготовить любой формы, аккумулятор может быть сверхплоским, толщиной всего несколько миллиметров, и даже иметь сложную форму, заполняя собой все свободное пространство внутри устройства. К сожалению, Li+ аккумуляторы, производимые разными фирмами (и даже одной фирмой, но для разных моделей устройства) имеют разные размеры и несовместимы между собой. Теряется такое важное качество, как взаимозаменяемость. С одной стороны, это позволяет создавать более компактные устройства, разрабатывая оптимальный аккумулятор для каждого случая. Но в то же время это вызывает ряд неудобств. Если, например, требуется второй аккумулятор для того или иного устройства, возникают определенные проблемы: нужно найти точно такой же аккумулятор той же фирмы, причем стоимость его будет довольно высокой, поскольку нет предложений от конкурентов. То же касается и зарядных устройств: для каждого типа аккумулятора нужно иметь свое «фирменное» зарядное устройство. Потребители хотят иметь выбор и часто голосуют кошельком против такого подхода, покупая устройства, работающие на стандартных аккумуляторах размера AA или AAA. Такие аккумуляторы намного дешевле, широко представлены на рынке, а в экстренных случаях могут быть заменены щелочными батарейками, которые имеют такой же форм-фактор. Как недостаток можно назвать их несколько меньшую удельную емкость и несколько меньшую компактность устройств, использующих такие аккумуляторы. Но есть и важное преимущество: если во всех устройствах используются аккумуляторы форм-фактора AA или AAA, достаточно одного зарядного устройства.

.       
Обзор по теме магистерской диссертации

1.1    Типы аккумуляторных батарей АА-фактора

Если вести речь об аккумуляторах форм-фактора AA или AAA, то есть смысл говорить только о NiMH аккумуляторах. Применявшиеся ранее NiCd аккумуляторы встречаются все реже, тем более, зарядное устройство, спроектированное для работы с NiMH аккумуляторами, будет нормально работать и с NiCd аккумуляторами (но обратное не верно).

Главные недостатки никель - кадмиевых аккумуляторных батарей:

·        относительно низкая по сравнению с новыми типами аккумуляторных батарей энергетическая плотность;

·        присущий этим батареям «эффект памяти» и необходимость проведения периодических работ по его устранению;

·        токсичность применяемых материалов, что отрицательно сказывается на экологии, и некоторые страны ограничивают использование батарей этого типа;

·        относительно высокий саморазряд - после хранения обязателен цикл заряда.

По сравнению с NiCd аккумуляторами NiMH аккумуляторы имеют на 30…40% большую удельную емкость, меньше страдают эффектом «памяти», не содержат опасного для окружающей среды кадмия. Однако у NiMH аккумуляторов есть и недостатки:

·        они дороже (хотя разница в стоимости постепенно стирается), имеют меньшее количество циклов заряд-разряда (характеристики начинают ухудшаться уже после 200…300 циклов);

·        имеют более высокое внутреннее сопротивление, больший примерно в полтора раза саморазряд;

Даже несмотря на то, что при разряде они могут отдавать значительные токи, разряд током сверх допустимого ведет к уменьшению количества циклов, поэтому желательно при разряде не превышать ток 0.5C. Там, где требуются большие разрядные токи, до сих пор используются NiCd акумуляторы. Однако технология NiMH аккумуляторов постоянно совершенствуется и уже сегодня ведущие производители этих аккумуляторов заявляют, что современные модели NiMH аккумуляторов полностью свободны от эффекта «памяти» и допускают 500…1000 циклов заряд-разряда.

1.2    Особенности никель - металлгидридных аккумуляторных батарей

Никель-металл-гидридный аккумулятор (Ni-MH) - вторичный химический источник тока, в котором анодом является водородный металлогидридный электрод (обычно гидрид никель-лантан или никель-литий), электролит - гидроксид калия, катод - оксид никеля.

Наработка (число разрядно-зарядных циклов) и срок службы Ni-MH аккумулятора в значительной мере определяются условиями эксплуатации. Наработка зависит от глубины и скорости разряда, скорости заряда и способа контроля его окончания. В зависимости от режима работы и условий эксплуатации, они обеспечивают от 500 до 1000 разрядно-зарядных циклов при глубине разряда 80% и имеют срок службы от 3 до 5 лет, правда, для модельных аккумуляторов это время заметно меньше.аккумуляторы в меньшей степени, чем NiCd, но всё же обладают «эффектом памяти». Практический смысл его в том, что аккумулятор «привыкает» отдавать в процессе разряда ту емкость, которую он получил при последних зарядах. Если заряжать полуразряженный аккумулятор, просто «добивая» его до максимума, то со временем он начинает отдавать только эту половину, теряя емкость. Для продления жизни никелевых аккумуляторов их следует для предотвращения появления этого эффекта циклировать (достаточно хотя бы один раз в месяц). Процесс циклирования заключается в полном разряде аккумулятора с последующим его зарядом. Если аккумулятор уже старый и уже имеет уменьшенную емкость из-за эффекта памяти, то его характеристики можно реанимировать в пределах 10-20%. Для такой процедуры достаточно сделать 3 цикла, все последующие обычно уже не дают положительного результата.

При разряде есть два основных параметра: ток разряда и напряжение, до которого следует разряжать аккумулятор. С током всё просто - чем меньше ток разряда, тем полнее разряд и эффективнее процесс - ток 0.1А будет правильным выбором.

С напряжением, до которого разряжать аккумулятор, дело обстоит немного сложнее. Смысл в том, чтобы не допустить полного разряда хотя бы одной банки в батарее. Например, имеем последовательную батарею, состоящую из 4 банок, причем одна из банок имеет несколько меньшую емкость (что встречается очень часто). При разряде эта банка первая разрядится, и напряжение на ней начнет падать вплоть до нуля, в то время как на остальных банках напряжение будет номинальным. Если в этот момент не остановить процесс разряда батареи, то по банке, на которой напряжение равно нулю, будет всё также протекать ток разряда остальных банок, перезаряжая ее в обратной полярности. Такой процесс является губительным для «самого слабого звена» батареи.

1.3 Особенности никель - кадмиевых аккумуляторных батарей

Никель-кадмиевые аккумуляторы были изобретены еще в 1899 г., но тогда они были очень дороги в производстве. В 1932 г. была изобретена технология нанесения активного материала пластин путем осаждения на губчатый (пористый) покрытый никелем электрод, а в 1947 году уже шли разработки герметичных никель-кадмиевых аккумуляторов - которыми мы и пользуемся в настоящее время.

Среди перезаряжаемых батарей никель - кадмиевые до сих пор остаются наиболее востребованным типом батарей, применяемых в качестве источника питания радиостанций, аппаратуры скорой медицинской помощи, профессиональных видеокамер и электроинструментов. Они «любят» быстрый заряд, медленный разряд до состояния полного разряда и подзарядку импульсами тока, в то время как батареи других типов предпочитают частичный разряд и умеренные токи нагрузки. Никель - кадмиевая батарея - сильный, усердный и молчаливый работник. Это единственный тип батарей, которые способны работать в самых жестких условиях. Они не избалованы необходимостью днями «сидеть» в зарядном устройстве и использоваться случайно для выполнения эпизодической работы.

По конструкции аккумуляторы разделяют на герметичные и открытые.

Наиболее распространенными никель - кадмиевыми аккумуляторами стали герметичные аккумуляторы в металлических корпусах призматической, цилиндрической и дисковой формы. При эксплуатации герметичных аккумуляторов не происходит выделение газа и электролита, и они могут работать в любом положении, но требую автоматической защиты от перезаряда и переразряда, так как при нарушении режимов эксплуатации могут разгерметизироваться.

Для никель - кадмиевых батарей крайне необходим полный периодический разряд: если его не делать, на пластинах элементов формируются крупные кристаллы, существенно снижающие их емкость ( так называемых «эффект памяти»). Недостатки данного типа аккумуляторов были описаны выше. Нужно отметить главные достоинства.

Преимущества никель - кадмиевых аккумуляторных батарей:

·        возможность быстрого и простого заряда, даже после длительного хранения;

·        большое число циклов заряд/разряд: при правильной эксплуатации - более 1000 циклов;

·        длительные сроки хранения при любой степени заряда;

·        простота хранения и транспортировки (многие авиакомпании по перевозке грузов не предъявляют к таким батареям никаких дополнительных требований);

·        сохранение высокой емкости при низких температурах;

·        наибольшая приспособленность для работы в жестких условиях эксплуатации;

·        низкая цена;

·        широкий выбор батарей различного конструктивного исполнения и емкости (большинство элементов таких батарей цилиндрические).

1.4    Методы заряда

Существует много различных методов заряда аккумуляторов. Но все их можно разделить на 4 основные группы:

·        стандартный заряд- заряд постоянным током, равным 1/10 от величины номинальной емкости аккумулятора, в течение примерно 15 часов;

·        быстрый заряд - заряд постоянным током, равным 1/3 от величины номинальной емкости аккумулятора в течение примерно 5 часов;

·        ускоренный или дельта V заряд - заряд с начальным током заряда, равным величине номинальной емкости аккумулятора, при котором постоянно измеряется напряжение на аккумуляторе и заряд заканчивается после того, как аккумулятор полностью заряжен. Время заряда примерно 1 час;

1.4.1 Стандартный заряд

Стандартный заряд или заряд постоянным током с дозированием количества электричества, прошедшего через аккумулятор, по времени (стандартный заряд) является одним из наиболее распространенных методов заряда герметичных аккумуляторов. Как показывает опыт, для полного заряда разряженного аккумулятора с учетом снижения коэффициента использования тока в конце заряда ему необходимо сообщить при температуре 20±5 0С около 110, а с учетом обычно существующего технологического запаса - около 120% номинальной емкости. Дальнейший заряд до 150% номинальной емкости, хотя и не сказывается практически на разрядных характеристиках, приводит тем не менее к некоторому разогреву аккумуляторов, что обуславливает повышенный саморазряд при хранении в заряженном состоянии. Продолжение заряда с сообщением аккумулятору более 150% номинальной емкости может привести к деформации сосуда и выходу аккумулятора из строя, если не принять мер к снижению тока заряда.

Допустимое значение перезаряда в значительной степени определяется жесткостью стенок сосуда и зарядным током. Так, аккумуляторы цилиндрической формы выдерживают значительно большие перезаряды, чем призматические. Что же касается зарядного тока, то для обеспечения малого повышения давления при заряде (чтобы исключить деформацию даже призматических аккумулятор при сообщении им 120 - 150% номинальной емкости) рекомендуется значение зарядного тока, как правило, численно равное 0,1 номинальной емкости аккумулятора Сн. Этот режим (ток равен 0,1 Сн, время - 12 - 14 часов) принят за номинальный режим заряда полностью разряженного герметичного аккумулятора. Необходимо отметить, что ограничение зарядного тока обусловлено не только максимально допустимым давлением, но также и предельным допустимым разогревом.

Оптимальной температурой среды для заряда аккумулятора является 20±5 0С [8]. Заряд при повышенных температурах заметно снижает перенапряжение выделения кислорода, что приводит к недозаряду положительного электрода и уменьшению разрядной емкости. Зарядная характеристика при этом становится значительно более пологой по сравнению с зарядной кривой при температуре 20 0С при общем снижении уровня зарядного напряжения (рисунок 3)

Рисунок 1 - Зарядно - разрядные кривые герметичного аккумулятора при различных температурах: 1 - 5 0С; 2 - 20 0С; 3 - 35 0С

Заряд при пониженных температурах, напротив, существенно увеличивает крутизну зарядной характеристики и повышает использование тока.

Как видно из рисунка 3, после сообщения аккумуляторам более 120% емкости при нормальной и повышенной температурах наблюдается некоторое снижение зарядного напряжения. Это связано с разогревом аккумулятора при перезаряде, так как вся избыточная энергия, сообщенная аккумулятору на заряде, в конечном итоге превращается в теплоту. Степень разогрева при прочих равных условиях определяется условиями теплосъема и зависит от температуры окружающего воздуха, наличия принудительной циркуляции, взаимного расположения аккумуляторов и их типоразмеров. У малогабаритных аккумуляторов разогрев в конце заряда практически не ощущается даже в ходе заряда при повышенных температурах, в то время как у аккумуляторов емкостью около 100 Ач, особенно при работе их в составе батареи, даже при пониженных температурах в конце заряда наблюдается заметный разогрев.

Заряд аккумуляторов токами ниже номинальных позволяет существенно увеличить степень перезаряда без риска деформации сосудов и перегрева. При снижении тока заряда до (0,01±0,005) Сн длительность перезаряда может доходить месяца, а под током (0,002÷0,001) Сн аккумуляторы могут находиться неограниченно долго. При этом малый ток подзаряда практически только компенсирует саморазряд аккумулятора, поддерживая последний все время на верхнем уровне заряженности. Такой режим широко используется в системах аварийного питания, когда аккумуляторная батарея работает, а основной генератор тока отключен.

Заряд постоянным током с ограничением длительности заряда по времени требует полностью разряженных аккумуляторов. В противном случае длительность заряда должна быть скорректирована так, чтобы за время заряда аккумулятору было сообщено около 120% емкости, снятой на предыдущем разряде, что в большинстве случаев трудно реализовать в связи с отсутствием надежного способа определения степени заряженности аккумулятора.

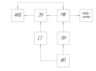
Зарядное устройство с использованием данного метода подробно рассмотрено в [11]. Схема устройства приведена на рисунке 4.

Для управления ЗУ используется микроконтроллер ATtiny13 семейства AVR фирмы Atmel. Он осуществляет контроль напряжения на батареи, а так же обеспечивает контроль цепями заря/разряда и всего процесса. Элементами управления цепями заряда/разряда являются транзисторы, которые управляются микроконтроллером МК по средством наличия определенного напряжения на АКБ. Перед началом заряда аккумулятор разряжается до напряжения 1 вольт на элемент, после чего автоматически включается на заряд. При заряде начинает работать стабилизатор тока СТ, выходной зарядный ток которого регулируется резистором. Индикация состоит из светодиодов, которые оповещают о состоянии батареи - заряд, разряд, окончание заряда. Заряд осуществляется стабильным током 0,1 Сн в течение 15 часов. По истечении этого времени аккумулятор автоматически отключается от зарядного устройства. Источником питания всего устройства служит блок питания нестабилизированный сетевой адаптер БПН 12-03 с выходным напряжением 12 вольт и током нагрузки 300 мА.

Рисунок 2 - Структурная схема зарядного устройство для NiCd аккумуляторных батарей постоянным током, где: АКБ - аккумуляторная батарея, ЭУ- элементы управления, МК - микроконтроллер, СТ - стабилизатор тока, ПН - преобразователь напряжения, ИП - источник питания

1.4.2 Быстрый заряд

Ускорение процесса заряда стало возможным как в результате модернизации самих источников тока, так и благодаря изучению возможности контроля процесса при больших его скоростях и успехами электронной техники, позволявшим реализовать этот контроль.

Для значительной части современных аккумулятор допускается ускоренный заряд: током 0,3 Сн с контролем по времени (но не более 4 часов). Необходимостью уменьшения степени перезаряда при таком режиме заряда связана с более быстрым ростом давления в аккумуляторе в конце процесса, так как скорость выделения кислорода увеличивается, а скорость переноса его к отрицательному электроду и поглощения остается практически неизменной. Разрядная емкость аккумулятора при указанных плотностях тока заряда не уменьшается. Заряд в ускоренном режиме допускается в диапазоне температур от +5 до +50 0С.

Следует отметить, что многие современные аккумуляторные батареи выдерживают достаточно длительный перезаряд стандартными токами заряда без повреждения, поэтому их можно заряжать и при наличии остаточной емкости. Но систематические перезаряды значительно сокращают срок службы. Поэтому, если нет уверенности в полном исчерпании емкости батареи, перед зарядом целесообразно разрядить ее до 1 В. Процесс переподготовки при этом удлиняется. Однако доразряд перед каждым зарядом не только мало удобен в эксплуатации, но и вреден, поскольку приводит к сокращению срока службы.

Проведение заряда в ускоренном режиме с существенным увеличением зарядного тока связывается с жестким ограничением сообщаемой емкости, контролем давления, а так же температуры, так как данный метод имеет тенденцию к перегреву аккумулятора, особенно при заряде током близким к 1Сн.

1.4.3 Ускоренный заряд

Наиболее точным и надежным способом управления процессом заряда никель - кадмиевых аккумуляторных батарей является способ управления зарядом при помощи микроконтроллера, который осуществляет мониторинг напряжения батареи и отключает ее при его характерном измерении. Таким характерным изменением является резкое незначительное снижение напряжения на батарее в конце заряда. Его называют отрицательным дельта V. В отечественной литературе такой метод заряда называют методом отрицательного ∆V - заряда, подчеркивая небольшое падение напряжения в конце заряда, или просто методом ∆V - заряда. Снижение напряжения в конце заряда для никель - кадмиевых батарей составляет 10…30 мВ на элемент.

Метод ∆V - заряда особенно хорошо использовать для определения времени конца заряда в зарядных устройствах герметичных никель - кадмиевых аккумуляторных батарей, поскольку он обеспечивает быстрое время отклика. Хороших результатов при его использовании добиваются и при подзарядке частично или полностью заряженных батарей. При включении на зарядку, например, полностью заряженной батареи напряжение на ней сначала резко возрастет, а затем сразу же резко снизится, что приведет к прерыванию процесса заряда. Такой цикл продлится всего лишь несколько минут, в течении которых батарея не успеет нагреться. Чем лучше зарядное устройство «чувствует» ∆V , тем качественнее произойдет процесс заряда. На рисунке 6 изображена временная характеристика ∆V - заряда.

Рисунок 3 - Временная характеристика ∆V - заряда

Чтобы падение напряжения на батарее в конце заряда было достаточным для определения этого порога, ток заряда должен составлять не менее 0,5 Сн. Если оно меньше 0,5 Сн, падение напряжения становится таким незначительным, что его трудно измерить, перепад напряжения ∆V становиться менее ярко выраженным, процесс заряда не останавливается, и в результате батарея перегревается, происходит ее перезаряд. Поэтому, кроме анализа ∆V, в зарядном устройстве, должны быть предусмотрены и другие способы прерывания процесса заряда (например, при нагреве батареи до пороговой температуры должно сработать устройство термозащиты). К тому же медленное изменение зарядных характеристик батарей, выражающееся, как правило, в увеличении крутизны зарядной кривой, приводит к постепенному снижению емкости из-за недозаряда. Кроме того, стремление исключить возможность перезаряда ведет к выбору несколько заниженных значений установок. В результате этого фактический уровень заряженности при ограничении заряда по датчикам напряжения даже с использованием термозависимых датчиков в ходе эксплуатации составляет в среднем 60 - 80% фактической емкости. Для восстановления характеристик и повышения уровня заряженности при ограничении длительности заряда по датчикам напряжения рекомендуется периодически проводить глубокие разряды батареи.

Тем не менее, благодаря простоте и надежности схем контроля заряда с контролем по напряжению достаточно широко используется в автономных системах электропитания, особенно при работе батареи в буферном режиме с основным генератором тока, когда невозможно обеспечить контроль снимаемой и сообщаемой емкости.

Как правило, данный метод комбинирован с быстрым методом заряда, что позволяет устранить главный недостаток последнего - отсутствие надежного критерия окончания заряда.

2. АКТУАЛЬНОСТЬ ТЕМЫ

В повседневной жизни невозможно обойтись без аккумуляторных батарей и значение их трудно недооценить. Без них невозможна работа различных мобильных устройств, электроники различного направления, транспортных средств.

Актуальность темы диссертации обусловлена следующим:

·                      заряд химических источников тока является одним из ключевых направлений современной промышленности, основой высокотехнологичных устройств и изделий многих отраслей промышленности;

·        широким применением аккумуляторных батарей;

·        Государственная программа Российской федерации Развитие электронной и радиоэлектронной промышленности на 2013-2025 годы.

2.1    Цель и задачи диссертации

аккумуляторный батарея заряд температура

Данная диссертация посвящена исследованию методов заряда аккумуляторных батарей. Необходимым также считается и определение преимуществ и недостатков различных методов заряда.

В связи с тем, что на данный момент развитие технологий по тематике работы находится на высоком уровне, то сейчас большое количество предприятий и организаций которые разрабатывают зарядные устройства.

Предприятия города Омска такие как, ОАО «ОНИИП», ОАО «ОмПО ИРТЫШ», ОАО «ОПЗ Им. Козицкого» занимаются разработками по данной тематике.

Цель диссертационной работы: исследование методов заряда аккумуляторных батарей.

Задачи :

) исследовать методы заряда АКБ

) выявить новые закономерности, позволяющие ускорить процесс заряда, не нанося вреда батареи.

Для чего необходимо решить следующие задачи:

сбор материалов (ПРОВЕДЕНИЕ АНАЛИЗА ИНФОРМАЦИИ) по вопросам способов, методов заряда аккумуляторных батарей;

оценка особенностей различных методов заряда.

В рамках выполнения работ проводились обзорно-аналитические исследования.

Ученые, занимающиеся этой проблемой:

·        Федухин А.В. Контроль процесса заряда никель-кадмиевых аккумулятоных батарей;

·        Владимир Пранович, к. т. н. Моделирование химических процессов в никель-кадмиевых аккумуляторных батареях:

·        Закирова Э.А. Исследование методов заряда источников тока на основе никеля в нормальных условиях

В дальнейшем результаты полученного анализа рекомендуется внедрить в методические пособия для студентов по дисциплинам :

1)      «Основные проблемы отрасли и пути их решения» можно включить те материалы исследований, в которые входит глава по обзору методов, их недостатки и преимущества;

2)      «Физические основы функциональной электроники»

3)      «Устройства генерирования и формирования сигналов» можно включить в главу «Источники питания»

2.2    Перечень диссертаций кандидатов наук и докторов по проблеме диссертации

.        Каусс Янис Янович Выбор режимов заряда щелочных никель-железных тепловозных батарей, кандидат технических наук

.        Сметанкин Георгий Павлович Научные основы автоматизированных технологий заряда никель-кадмиевых аккумуляторов переменным асимметричным током, доктор наук

.        Бурдюгов Александр Сергеевич Способы автоматизированного ускоренного заряда герметичных никель-кадмиевых аккумуляторных батарей, кандидат технических наук

.        Сазанов Алексей Борисович Моделирование процессов заряда-разряда никель-водородных батарей в системе управления испытательного стенда, кандидат технических наук

.        Матекин Сергей Семенович Формирование и восстановление емкости никель-кадмиевых аккумуляторов и батарей, кандидат технических наук

.        Галушкин Николай Ефимович Моделирование работы щелочных аккумуляторов в стационарных и нестационарных режимах, доктор технических наук

.        Галушкин Дмитрий Николаевич Нестационарные процессы деградации в щелочных аккумуляторах, закономерности и технологические рекомендации, доктор технических наук

.        Сушко, Олег Викторович Ускоренный заряд герметичных никель-кадмиевых аккумуляторов и зарядные устройства для них, кандидат технических наук

.        Паскаленко Р. В. Повышение надежности аккумуляторных батарей с использованием адаптивных режимов заряда рефрижераторных контейнерах, кандидат технических наук

2.3 Перевод иностранной статьи

Charging Nickel-cadmiummanufacturers recommend that new batteries be slow-charged for 16 to 24 hours before use. A slow charge brings all cells in a battery pack to an equal charge level. This is important because each cell within the nickel-cadmium battery may have self-discharged at its own rate. Furthermore, during long storage the electrolyte tends to gravitate to the bottom of the cell and the initial trickle charge helps redistribute the electrolyte to eliminate dry spots on the separator.manufacturers do not fully format the batteries before shipment. The cells reach optimal performance after priming that involves several charge/discharge cycles. This is part of normal use and can also be done with a battery analyzer. Early readings are often inconsistent and a battery may require 50-100 charge/discharge cycles to reach the best formation. Quality cells are known to perform to full specifications after only 5-7 cycles. Peak capacity occurs between 100-300 cycles, after which the performance starts to drop gradually.rechargeable cells include a safety vent that releases excess pressure if incorrectly charged. The vent on a NiCd cell opens at 1,000-1,400kPa (150-200psi). Pressure release through a re-sealable vent causes no damage; however, with each venting, some electrolyte escapes and the seal may begin leaking. The formation of a white powder at the vent opening makes this visible, and multiple venting will eventually result in a dry-out condition. A battery should never be stressed to the point of venting.charge Detection by Temperaturecharge detection of sealed nickel-based batteries is more complex than that of lead acid and lithium-ion. Low-cost chargers often use temperature sensing to end the fast-charge, but this can be inaccurate. The core of a cell is several degrees warmer than the skin where the temperature is measured, and the delay that occurs causes over-charge. Charger manufacturers use 50°C (122°F) as temperature cut-off. Although any prolonged temperature above 45°C (113°F) is harmful to the battery, a brief overshoot is acceptable as long as the battery temperature will drop quickly when the “ready” light appears.microprocessors, advanced chargers no longer rely on a fixed temperature threshold, but sense the rate of temperature increase over time, also known as delta Temperature over delta time, or dT/dt. Rather than waiting for an absolute temperature to occur, this method uses the rapid temperature increase towards the end of charge to trigger the “ready” light. The delta Temperaturemethod keeps the battery cooler than a fixed temperature cut-off, but the cells need to charge reasonably fast to trigger the temperature rise. Charge termination occurs when the temperature rises 1°C (1.8°F) per minute. If the battery cannot achieve the pace of temperature rise, an absolute temperature cut-off set to 60°C (140°F) terminates the charge.relying on temperature inflict harmful overcharges when a fully charged battery is removed and reinserted. This is the case with chargers in vehicles and desktop stations where a two-way radio is being removed with each use. Every reconnection initiates a fast-charge cycle that raises the battery temperature to the triggering point again. Li-ion systems have an advantage in that state-of-charge is being detected by voltage. Reinserting a fully charged Li-ion battery pushes the voltage to the full-charge threshold, and the charger turns off shortly without needing to create a temperature signature.charge Detection by Voltage Signaturechargers terminate charge when a defined voltage signature occurs. This provides more precise full-charge detection of nickel-based batteries than temperature-based methods. Monitoring time and voltage, a microcontroller in the charger looks for a voltage drop that occurs when the battery has reached full charge. This method is called negative delta V (NDV).is the recommended full-charge detection for “open-lead” nickel-based chargers. “Open-lead” refers to batteries that have no thermistor. NDV offers a quick response time and works well with a partially or fully charged battery. When inserting a fully charged battery, the terminal voltage rises quickly, and then drops sharply to trigger the ready state. The charge in this case lasts only a few minutes and the cells remain cool. NiCd chargers based on the NDV full-charge detection typically respond to a voltage drop of 10mV per cell.obtain voltage drop of 10mV per cell, the charge rate must be 0.5C and higher. Slower charging produces a less defined voltage drop and this becomes difficult to measure, especially if the cells are mismatched. In this case, each cell in a mismatched pack reaches the full charge at a different time and the voltage curve flattens out.to achieve a sufficient negative slope would allow the fast charge to continue. To prevent this, most chargers combine NDV with a voltage plateau detector that terminates the charge when the voltage remains in a steady state for a given time. For additional safety, most advanced chargers also include delta temperature, absolute temperature and a time-out timer.works best with fast charging. A fast charge also improves charge efficiency. At a 1C charge rate, the charge efficiency of a standard NiCd is 91 percent, and the charge time is about an hour (66 minutes at an assumed charge efficiency of 91 percent). A battery that is partially charged or has reduced capacity due to age will have a shorter charge time because there is less to fill. In comparison, the efficiency on a slow charger drops to 71 percent. At a charge rate of 0.1C, the charge time is about 14 hours.the first 70 percent of charge, the efficiency of a NiCd is close to 100 percent; the battery absorbs almost all energy and the pack remains cool. NiCd batteries designed for fast charging can be charged with currents that are several times the C-rating without much heat buildup. Ultra-fast chargers use this quality and charge to 70 percent in minutes. Read more about Ultra-fast Chargers. The full charge must be done with a reduced current.1 illustrates the relationship of cell voltage, pressure and temperature of a charging NiCd. We observe an almost perfect charge behavior up to about 70 percent, after which the battery loses the ability to accept charge. The cells begin to generate gases, the pressure rises and the temperature increases rapidly. One can appreciate the importance of accurate full-charge detection to terminate the fast charge before damaging overcharge occurs. In an attempt to gain a few extra capacity points, however, some chargers allow a limited amount of overcharge.

1: Charge characteristics of a NiCd cellbatteries exhibits similar characteristics to NiCd.

high-capacity NiCd batteries tend to heat up more than standard NiCds when charging at 1C and higher, and this is partly due to the higher internal resistance. Applying a high current at the initial charge and then tapering to a lower rate as the charge acceptance decreases achieves good results with all nickel-based batteries. This moderates excess temperature rise while assuring fully charged batteries.discharge pulses between charge pulses is known to improve charge acceptance of nickel-based batteries. Commonly referred to as a “burp” or “reverseload” charge, this method assists in the recombination of gases generated during charge. The result is a cooler and more effective charge than with conventional DC chargers. There is also the believed benefit of reduced “memory” effect, as the battery is being exercised while charging with pulses. Read about Memory: Myth or Fact? While pulse charging may be valuable for NiCd and NiMH batteries, this type of charge does not apply to lead- and lithium-based systems. These batteries work best with a pure DC charge voltage.full charge, the NiCd battery receives a trickle charge of between 0.05C and 0.1C to compensate for the self-discharge. To reduce possible overcharge, charger designers aim for the lowest possible trickle charge current. Even though the trickle charge is carefully measured, it is best not to leave nickel-based batteries in a charger for more than a few days. Remove them and recharge before use.Flooded Nickel-cadmium Batteriesflooded NiCd is charged with a constant voltage to about 1.55V/cell. The current is then reduced to 0.1C-rate and the charge continues until 1.55V/cell is reached again. At this point, a trickle charge is applied and the voltage is allowed to float freely. Higher charge voltages are possible but this generates excess gas and causes rapid water depletion.

-2012, C. J. Kikkert, through AWR Corp.

Зарядка никель-кадмиевых

Производителями батарей рекомендуем новые батареи медленно заряжаться в течение 16 до 24 часов перед использованием. Медленная зарядка приносит все клетки в аккумуляторной батарее на равном уровне заряда. Это важно, потому что каждая ячейка в никель-кадмиевой батарее могут иметь собственной выгружают на его собственной скорости. Кроме того, при длительном хранении электролит, как правило, стремятся к нижней части клетки и начальной непрерывной подзарядки помогает перераспределить электролита для устранения сухие пятна на сепаратора.

Производителями батарей не полностью отформатировать батареи перед пересылкой. Клетки достичь оптимальной производительности после грунтования, которая включает несколько циклов заряда / разряда. Это является частью нормальной эксплуатации, а также может быть сделано с помощью анализатора батареи. Ранние показания, часто бывают непоследовательны и батарея может требовать циклов 50-100 заряда / разряда до достижения наилучшего образования. Клетки качество, как известно, для выполнения полной спецификации только после 5-7 циклов. Пиковая пропускная способность происходит между 100-300 циклов, после чего производительность начинает постепенно снижаться.

Большинство перезаряжаемых элементов включают в себя защитный клапан, который выпускает избыточное давление, если неправильно заряжен. Вентиляционное отверстие на ячейку NiCd открывается в 1,000-1,400kPa (150-200psi). Сброса давления через закрывающийся вентиляции не вызывает каких-либо повреждений; Однако, с каждым вентиляции, некоторые побеги электролита и уплотнение может начать протекать .Образование белого порошка в вентиляционное отверстие делает это видно, и несколько вентиляции в конечном итоге привести к сухой выход состояния. Батарея не должна быть подчеркнул к точке вентиляции.

Обнаружение полной зарядки от температуры

Обнаружение полной зарядки герметичных никелевых батарей является более сложным, чем свинцово-кислотных и литий-ион. Недорогие зарядные устройства часто используют измерение температуры, чтобы закончить быструю зарядку, но это может быть неточной. Ядро клетки в несколько градусов выше, чем кожа, где температура измеряется, и задержки, которая возникает причин чрезмерного заряда. Производители зарядное устройство использовать 50 ° C (122 ° F), как температура отключения. Хотя всякое длительное температура выше 45 ° C (113 ° F) вредно для аккумулятора, кратким превышение допустимо до тех пор, как температура аккумулятора снизится быстрее, когда появляется "готов" свет. С микропроцессоров, передовые зарядные устройства больше не полагаются на пороге фиксированной температуре, но смысл скорости повышения температуры с течением времени, также известный как дельта температуры во времени дельта- или дТ / DT. Вместо того, чтобы ждать абсолютной температуре происходит, этот метод использует быстрое повышение температуры к концу заряда, чтобы вызвать "Готов" свет. Метод изменения температуры держит батарея прохладнее, чем фиксированной температуры выключения, а клетки необходимо зарядить достаточно быстро, чтобы вызвать повышение температуры. Прекращение зарядки происходит, когда температура повышается на 1 ° C (1,8 ° F) в минуту. Если батарея не может достигнуть темпов повышения температуры, абсолютная температура отключения устанавливается на 60 ° C (140 ° F) заканчивается заряд.

Зарядные устройства опираясь на температуре нанести вредные завышения цен при полностью заряженной батареи и заново. Это дело с зарядными устройствами в автомобилях и настольных станциях, где двусторонней радиосвязи удаляется при каждом использовании. Каждый переподключение инициирует цикл быстрого заряда, что повышает температуру аккумулятора до запускающего точки снова. Ионных систем Li имеют преимущество в том, что государство-заряда, при обнаружении напряжением. Повторная полностью заряженный литий-ионный аккумулятор толкает напряжение на пороге полного заряда, зарядное устройство выключается вскоре без необходимости создания температуры подпись.

Обнаружение полной зарядки подписью напряжения

Расширенный зарядные устройства прекратит зарядку, когда происходит определяется подписи напряжения. Это обеспечивает более точное обнаружение полного заряда на основе никеля батарей, чем методы температуры на основе. Время и напряжение мониторинг, микроконтроллер в зарядное устройство ищет падения напряжения, что происходит, когда батарея достигла полного заряда. Этот метод называется отрицательной дельта V (NDV).

NDV является рекомендованным обнаружения полного заряда для «открытого вести" на основе никеля зарядных устройств. "Open-ведущий" относится к батареям, которые не имеют термистор. НДВ предлагает быстрое время отклика и хорошо работает с частично или полностью заряженным аккумулятором. При установке полностью заряженный аккумулятор, напряжение на клеммах быстро поднимается, а затем резко падает, чтобы вызвать состояние готовности.Заряда в этом случае длится всего несколько минут, и клетки остаются прохладными. NiCd Зарядные устройства, основанные на выявлении и полным зарядом НДВ, как правило, реагируют на падение напряжения 10 мВ на элемент.

Чтобы получить падение напряжения 10 мВ на ячейку, скорость зарядки должны быть 0.5C и выше. Замедление зарядки производит меньше определенного падение напряжения, и это становится трудно измерить, особенно если эти клетки не соответствуют друг другу. В этом случае, каждая ячейка в несогласованной пакет достигает полного заряда в разное время и кривая напряжение сглаживается.

В противном случае для достижения достаточной отрицательный наклон позволит быстрой зарядки, чтобы продолжить. Чтобы предотвратить это, большинство зарядные объединить NDV с помощью детектора плато напряжения, которая заканчивается заряд, когда в течение заданного времени напряжение остается в стационарном состоянии. Для дополнительной безопасности, самые передовые зарядные устройства также включают в себя температуру дельта, абсолютную температуру и время ожидания таймера.

НДВ лучше всего работает с быстрой зарядки. Быстрая зарядка также улучшает эффективность зарядки. При скорости заряда 1С, эффективность зарядки стандартного NiCd 91 процентов, а время зарядки составляет около часа (66 минут при предполагаемой эффективности заряда 91 процентов).Батарея, которая заряжена частично или снизил мощность из-за возраста будет иметь более короткое время заряда, поскольку там меньше заполнить. Для сравнения, эффективность на медленном зарядного устройства падает до 71 процентов. При скорости заряда 0.1C, время зарядки составляет около 14 часов.

В течение первого 70 процентов заряда, эффективность в никель-кадмиевых близка к 100 процентам; батарея поглощает почти вся энергия и упаковка остается прохладным. Никель-кадмиевые аккумуляторы, предназначенные для быстрой зарядки может быть предъявлено обвинение с токами, которые в несколько раз C-рейтинг без особых накопление тепла. Ультра-быстрый зарядные устройства использовать это качество и заряд до 70 процентов в течение нескольких минут. Узнайте больше о сверхбыстрых Зарядные устройства.Полная зарядка должно быть сделано с пониженным током.

Рисунок 1 иллюстрирует взаимосвязь напряжения элемента, давления и температуры для зарядки никель-кадмиевых. Мы наблюдаем почти идеальный поведение заряда до 70 процентов, после чего батарея теряет способность принимать заряд. Клетки начинают генерировать газов, давление повышается и температура быстро растет. Можно оценить важность точного обнаружения полного заряда прекратить быстрый заряд до наступления повреждения завышенную. В попытке получить несколько дополнительных очков мощности, однако, некоторые зарядные устройства позволяют ограниченное количество перезарядки.

Рисунок 1: характеристики заряд клетки NiCd

Никель-металлогидридные аккумуляторы демонстрирует аналогичные характеристики для никель-кадмиевых.

Ультра-высокой емкости никель-кадмиевые батареи, как правило, чтобы нагреть больше, чем у стандартных NiCds при зарядке в 1С и выше, и это отчасти из-за более высокой внутренней стойкости. Применение высокий ток при первой зарядке, а затем сужающийся к более низкой ставке, как принятие заряд уменьшается добивается хороших результатов со всеми на основе никеля батарей. Это умеренные избыток повышение температуры, обеспечивая при этом полностью заряженные батареи.

Перемежая разрядных импульсов между импульсами заряда, как известно, улучшить принятие заряда на основе никеля батарей. Обычно упоминается как "отрыжка" или "reverseload" заряда, этот способ способствует рекомбинации газов, образующихся во время зарядки. В результате охладитель и более эффективный заряд по сравнению с обычными зарядными устройствами постоянного тока. Существует также полагают, преимущество пониженной эффект "памяти", как батарея осуществляется во время зарядки с импульсами. Читайте о Память: миф или факт? В то время как импульс зарядки может быть ценным для никель-кадмиевых и никель-металлогидридных батарей, этот тип заряда не применяются свинцом и системы на основе лития. Эти батареи лучше всего работают с чистого напряжения заряда постоянного тока.

После полной зарядки, аккумулятор NiCd получает ручеек заряд между 0.05c и 0.1C для компенсации саморазряда. Для уменьшения возможного перезарядки, зарядное устройство, дизайнеры стремиться к минимально возможной подзарядку током. Несмотря на то, подзарядки тщательно измерить, то лучше не оставлять на основе никеля батарей в зарядном устройстве более чем на несколько дней. Удалите их и зарядиться перед использованием.

Зарядка затопленных никель-кадмиевых аккумуляторов

Затоплены NiCd взимается с постоянным напряжением до 1,55 В / элемент. В настоящее время затем восстанавливают до 0.1C-скорость и заряд продолжается до тех пор 1,55 / элемент не будет достигнуто снова. На данный момент, ручеек обвинения применяется и напряжение может свободно плавать. Более высокое напряжение заряда возможны, но это порождает избыток газа и вызывает быстрое истощение водных ресурсов.

2.4 Заказ и получения новой литературы

Все источники информации, способствующие написанию диссертации, находятся в библеотеке, сети интернет и на месте работы.

Заключение

На данном этапе исследования были рассмотрены батареи АА форм-фактора, их особенности, достоинства и недостатки, а так же различные методы заряда батарей. Также в ходе работы были проанализированы различные патенты, которые затрагивают данную область исследования и научная литература.

СПИСОК ИСПОЛЬЗОВАННЫХ ИСТОЧНИКОВ

1.      Багоцкий В.С. Химические источники тока / В.С. Багоцкий, А.М. Скундин. - М.: Энергоиздат, 1981. - 360 с.

.        Таганова А.А. Герметичные химические источники тока для портативной аппаратуры: Справочник / А.А. Таганова, И.А. Пак - СПб.: ХИМИЗДАТ, 2003. - 208 с.

. Хрусталев Д.А. Аккумуляторы. - М.: Изумруд, 2003. - 224с.

. Влияние режима эксплуатации на стабильность характеристик герметичных НЕС аккумуляторов / В.В. Теньковцев, Б.А. Борисов, Л.Ш. Ткачева // Сб. работ по ХИТ.-Л.: Энергия, 2012.-С.59-70.

. Теньковцев, В.В. Герметичные НК аккумуляторы общего назначения /

. B.В. Теньковцев, М.Ж-Н. Леви.-М.: Информстандартэлектро, 19681. C.59.

. Теньковцев, В.В. Основы теории эксплуатации герметичных НК аккумуляторов / В.В. Теньковцев, Б.И. Центнер.-Л.: Энергоатомиздат,1985.-С.96.

8. Ratnakumar, B.V. Simulation of temperature-compensated voltage limit curves for aerospace Ni-Cd batteries using a first principles /

. B.V. Ratnakumar, P. Timmerman, S. Di Stefano // Journal of Power Sources. -2010-V.63.-№2.-P.157-165.

. Donley, S.W. Self-discharge characteristics of spacecraft nickel-cadmium cells at elevated temperatures / S.W. Donley, J. H. Matsumoto, W.C. Hwang //Journal of Power Sources -2011.-V.18.-№2-P.169-176.

. Halpert, G. The design and application of nickel-cadmium batteries in space / G. Halpert// Journal of Power Sources.-2009.-V.15.-№2.-P.l 19-140.

. Gomadam, P.M. Mathematical modeling of lithium-ion and nickel battery systems / P.M. Gomadam, J.W. Weidner, R.A. Dougal, R.E. White // Journal of Power Sources.-2002.-V.l 10.-№2-P.267-284.

. Halpert, G. The design and application of nickel-cadmium batteries in space / G. Halpert // Journal of Power Sources.-2003.-V.l 5 -№2.-P.140-154.

. Nelson, R.F. Power requirements for batteries in hybrid electric vehicles / R.F. Nelson // Journal of Power Sources.-2000.-V.91.-№1 -Р.2-26.»

15. Коровин, H. Никель-кадмиевые аккумуляторы / H. Коровин« // Электронные компоненты 2011.-№6.-С.51-54.

. Коровин, Н.В. Химические источники тока справочник / Н.В. Коровин, A.M. Скундин.-М.: МЭИ.-2013.-С.456.

. Борисов, Б.А. Никель-кадмиевые ХИТ / Б. А Борисов.-М.: ОАО «НИАИ «Источник».-2004.

. Коровин, Н.В. Электрохимическая энергетика / Н.В. Коровин.-М.: Энергоатомиздат.-1991 -250с.

. Новые режимы заряда аккумуляторных батарей из герметичных никель-кадмиевых аккумуляторов / Е.В. Пугачева, Б.Я. Розеншток, JI.B'. Козе-ков и др. // Сб. науч. трудов ВНИАИ. Химические источники тока-Л.: Энергоатомиздат.-2013 .-С.5 8-64.

.Левина В.И. Процессы, происходящие на Cd электроде в щелочном растворе//Сб. работ по ХИТ. Л.: Энергия, 2012, вып. 7. - С. 138-145.

.Исследование процесса заряда кадмиевого электрода источника тока со щелочным электролитом./Андреева Г.П., Никольский В.А. и др.//Сб. науч. тр. ВНИАИ. Л.: Энергия. - 2013. - №10. - С. 292-298.

.Назарова Т.М., Абахаев М.Г. Ускоренный метод определения времени прорастания кадмием сепараторов щелочного кадмий никелевого аккумулятора//Исследов. в обл. хит. - Саратов: СГУ, 1973. - С.42 49.

.Исследование и оптимизация технологии формирования герметичных Ni-Cd аккумуляторов / Леусов A.M., Артамонов С.В., Никольский В.А., Волохин Н.Н. // Журн. прикл. химии. 2011. - Т.64, №9 - С. 1861-1864.

.Kcelmaus Н.// Phylips Research Reports.-1989-Vol.10, по.З, р.161.

25.Эстрела-Льюис В.Р., Дейнега Ю.Ф., Овсянникова Т.А., Ульберг З.Р.// Химия и техн. воды-2011, №3.-с.406-413.

. Усьяров О.Г., Лавров И.С., Ефремов И.Ф.// Коллоид. журн.-2011-т.28, вып.4-с.596.

. Эстрела-Льюис В.Р., ЖариноваТ.А., Малышев А.В.//Коллоид, журн-2012-T.52, вып.4-с.

28.Bro, P. Discharge profiles in a porous cadmium electrode / P. Bro, H.V. Kang // J. Electrochem. Soc. 2011. - V. 118.-№4. - P. 519 - 524.

.Micka, K. Theory of porous electrodes. XVI. The nickel hydroxide electrode / K. Micka, J. Rousar // Electrochem. Acta.- 2008.-V.25.-№8.-P.1085-1090.

.Selanger, P. Analysis of porous alkaline Gd-electrodes. IV Optimization of current efficiency / P. Selanger // J. Appl. Electrochem.- 2012.- V.5.-№3.-P.255-262.

.Галушкин, ДЩ; Нестационарные процессы, в щелочных аккумуляторах: закономерности »технологические рекомендации: Дисс: . канд. техн; наук.-Специальность 05.17.03 / Д.Н. Галушкин:- Новочеркасск.- 2001.-168 с.

.Galushkin, D.N. Hydrogen accumulation in nickel-cadmium accumulators

Похожие работы на - Исследование методов заряда аккумуляторных батарей

 

Не нашли материал для своей работы?
Поможем написать уникальную работу
Без плагиата!
Без нейросетей!