Расчет показателей надежности электрооборудования

  • Вид работы:
    Курсовая работа (т)
  • Предмет:
    Физика
  • Язык:
    Русский
    ,
    Формат файла:
    MS Word
    622,08 Кб
  • Опубликовано:
    2014-08-16
Вы можете узнать стоимость помощи в написании студенческой работы.
Помощь в написании работы, которую точно примут!

Расчет показателей надежности электрооборудования













Курсовая работа

Расчет показателей надежности электрооборудования


Введение

безотказность электрооборудование надежность

Важную роль в проектировании электрических систем играет проблема обеспечения надежности эксплуатации электрооборудования. С ростом конкуренции в данной отрасли возрастает экономическая ответственность компаний за нарушение нормального режима работы выпускаемой ими продукции. Поэтому производственные компании заинтересованы в обеспечении надежности работы электрооборудования (ЭО). В этих условиях проблема поддержания на требуемом уровне показателей безотказности и долговечности ЭО становится всё более острой.

Анализ отказов, выполненный с помощью экспериментальной электроустановки в Штутгарте (Германия), показывает, что степень износа ЭО в среднем составляет 58,5%. В ходе проведения исследований эмпирическим путем были получены количественные характеристики наработки установки на отказ, которые и будут использованы в данной работе.

Целью работы является решение комплекса задач:

-       провести анализ современного состояния надежности электрооборудования;

-       определить модель расчета технического ресурса оборудования;

-       провести расчета с использованием исходных данных и сравнение результаты с показателями, полученными эмпирическим путем.

Методика исследований. Для решения поставленных в работе задач использовались методы, системного анализа, математического моделирования, теории вероятности и математической статистики, теории случайных процессов и экспериментально-статистического анализа надежности.

.       
Выбор методики расчета надежности

Задача расчета надежности: определение показателей безотказности невосстанавливаемого элемента по данным о времени его работы.

Цель расчета надежности: выяснить, достижима ли требуемая надежность при существующей технологии разработки и производства.

В соответствии с правилами эксплуатации электрооборудования, вероятность возникновения взрыва в единичном изделии не должна превышать 10-6 в течение года.

Наиболее важные показатели надежности невосстанавливаемых объектов - показатели безотказности:

-       вероятность безотказной работы;

-       плотность распределения отказов;

-       интенсивность отказов;

-       средняя наработка до отказа.

Показатели надежности представляются в двух формах (определениях):

-       статистическая (выборочные оценки);

-       вероятностная.

Статистические определения (выборочные оценки) показателей получаются по результатам испытаний на надежность.

Допустим, что в ходе испытаний какого-то числа однотипных объектов получено конечное число интересующего нас параметра - наработки до отказа. Полученные числа представляют собой выборку некоего объема из общей «генеральной совокупности», имеющей неограниченный объем данных о наработке до отказа объекта.

Количественные показатели, определенные для «генеральной совокупности», являются истинными (вероятностными) показателями, поскольку объективно характеризуют случайную величину - наработку до отказа.

Показатели, определенные для выборки, и, позволяющие сделать какие-то выводы о случайной величине, являются выборочными (статистическими) оценками. Очевидно, что при достаточно большом числе испытаний (большой выборке) оценки приближаются к вероятностным показателям.

Вероятностная форма представления показателей удобна при аналитических расчетах, а статистическая - при экспериментальном исследовании надежности.

Для обозначения статистических оценок будем использовать знак сверху.

Примем следующую схему испытаний для оценки надежности.

Пусть на испытания поставлено N одинаковых серийных объектов. Условия испытаний идентичны, а испытания каждого из объектов проводятся до его отказа.

Введем следующие обозначения:

= {0, t1, … tN} = {t} - случайная величина наработки объекта до отказа;

(t) - число объектов, работоспособных к моменту наработки t;(t) - число объектов, отказавших к моменту наработки t;∆(t, t + ∆t) - число объектов, отказавших в интервале наработки [t, t + ∆t];

∆t - длительность интервала наработки.

Поскольку в дальнейшем определение выборочных оценок базируется на математических моделях теории вероятностей и математической статистики, то ниже приводятся основные сведения из теории вероятностей.

.       
Показатели безотказности работы электрооборудования

2.1 Вероятность безотказной работы (ВБР)

Статистическая оценка ВБР (эмпирическая функция надежности) определяется:


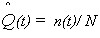
отношением числа N(t) объектов, безотказно проработавших до момента наработки t, к числу объектов, исправных к началу испытаний (t = 0) - к общему числу объектов N. Оценку ВБР можно рассматривать как показатель доли работоспособных объектов к моменту наработки t.

Поскольку N(t) = N - n(t), то ВБР по (1)


где  - оценка вероятности отказа (ВО).

В статистическом определении оценка ВО представляет эмпирическую функцию распределения отказов.

Так как события, заключающиеся в наступлении или не наступлении отказа к моменту наработки t, являются противоположными, то


Нетрудно убедиться, что ВБР является убывающей, а ВО - возрастающей функцией наработки.

Действительно:

-       в момент начала испытаний t = 0 число работоспособных объектов равно общему их числу N(t) = N(0) = N, а число отказавших -(t) = n(0) = 0, поэтому


-       при наработке t→∞ все объекты, поставленные на испытания, откажут, т.е. N(∞) = 0, а n(∞) = N, поэтому (t) = (∞) = 0, а (t) =(∞) = 1.

Вероятностное определение ВБР:


Таким образом, ВБР есть вероятность того, что случайная величина наработки до отказа T окажется не меньше некоторой заданной наработки t.

Очевидно, что ВО будет являться функцией распределения случайной величины T и представляет из себя вероятность того, что наработка до отказа окажется меньше некоторой заданной наработки t:


Практический интерес представляет определение ВБР в интервале наработки [t, t + ∆t], при условии, что объект безотказно проработал до начала t интервала. Определим эту вероятность, используя теорему умножения вероятностей, и выделив следующие события:

A = {безотказная работа объекта до момента t};

B = {безотказная работа объекта в интервале ∆t};

C = A·B = {безотказная работа объекта до момента t + ∆t}.

Очевидно P(C) = P (A·B) = P(A)·P (B|A), поскольку события A и B будут зависимыми.

Условная вероятность P (B|A) представляет ВБР P (t, t + ∆t) в интервале [t, t + ∆t], поэтому


ВО в интервале наработки [t, t + ∆t], с учетом (7), равна:


2.2 Плотность распределения отказов (ПРО)

Статистическая оценка ПРО определяется отношением числа объектов ∆n (t, t + ∆t), отказавших в интервале наработки [t, t + ∆t] к произведению общего числа объектов N на длительность интервала наработки ∆t.


Поскольку ∆n (t, t + ∆t) = n (t + ∆t) - n(t), где n (t + ∆t) - число объектов, отказавших к моменту наработки t + t, то оценку ПРО можно представить:


где (t, t + ∆t) - оценка ВО в интервале наработки, т.е. приращение ВО за ∆t.

Оценка ПРО представляет «частоту» отказов, т.е. число отказов за единицу наработки, отнесенное к первоначальному числу объектов.

Вероятностное определение ПРО следует из (10) при стремлении интервала наработки ∆t → t0 и увеличения объема выборки N → ∞


ПРО по существу является плотностью распределения (плотностью вероятности) случайной величины T наработки объекта до отказа.

Поскольку Q(t) является неубывающей функцией своего аргумента, то

f(t) ≥ 0.

ПРО f(t) характеризует частоту отказов (или приведенную ВО), с которой распределяются конкретные значения наработок всех N объектов

(t1, …, tN), составляющие случайную величину наработки T до отказа объекта данного типа. Допустим, в результате испытаний установлено, что значение наработки ti присуще наибольшему числу объектов. О чем свидетельствует максимальная величина f(ti). Напротив, большая наработка tj была зафиксирована только у нескольких объектов, поэтому и частота f(tj) появления такой наработки на общем фоне будет малой.

Отложим на оси абсцисс некоторую наработку t и бесконечно малый интервал наработки шириной dt, примыкающий к t.

Тогда вероятность попадания случайной величины наработки T на элементарный участок шириной dt (с точностью до бесконечно малых высшего порядка) равна:


где f(t) dt - элемент ВО объекта в интервале [t, t + dt] (геометрически это площадь заштрихованного прямоугольника, опирающегося на отрезок dt).

Аналогично вероятность попадания наработки T в интервал [tk, tm] равна:


что геометрически интерпретируется площадью под кривой f(t), опирающейся на участок [tk, tm].

ВО и ВБР можно выразить в функции ПРО.

Поскольку Q(t) = P {T < t}, то используя выражение (13), получим


расширение интервала слева до нуля вызвано тем, что T не может быть отрицательной. Т. к. P(t) = P {T ≥ t}, то


Очевидно, что Q(t) представляет собой площадь под кривой f(t) слева от t, а P(t) - площадь под f(t) справа от t. Поскольку все, полученные при испытаниях значения наработок лежат под кривой f(t), то


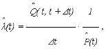
2.3 Интенсивность отказов (ИО)

Статистическая оценка ИО определяется


отношением числа объектов ∆n (t, t + ∆t), отказавших в интервале наработки [t, t + ∆t] к произведению числа N(t) работоспособных объектов в момент t на длительность интервала наработки ∆t.

Сравнивая (9) и (17) можно отметить, что ИО несколько полнее характеризует надежность объекта на момент наработки t, т.к. показывает частоту отказов, отнесенную к фактически работоспособному числу объектов на момент наработки t.

Вероятностное определение ИО получим, умножив и поделив правую часть выражения (17) на N


С учетом (10), оценку ИО  можно представить


откуда при стремлении ∆t → 0 и N → ∞ получаем


3.     
Числовые характеристики безотказности

.1 Средняя наработка до отказа

Рассмотренные выше функциональные показатели надежности P(t), Q(t), f(t) и λ(t) полностью описывают случайную величину наработки T = {t}. В то же время для решения ряда практических задач надежности бывает достаточно знать некоторые числовые характеристики этой случайной величины и, в первую очередь, среднюю наработку до отказа.

Статистическая оценка средней наработки до отказа


где ti - наработка до отказа i-го объекта.

При вероятностном определении средняя наработка до отказа представляет собой математическое ожидание (МО) случайной величины T и определяется:


Используя выражение для плотности распределения отказов



и интегрирование по частям, можно преобразовать T0 к виду


с учетом того, что P(0) = 1, P(∞) = 0.

Отсюда следует, что средняя наработка до отказа геометрически интерпретируется как площадь под кривой P(t) - рис. 1.


Очевидно, что с увеличением выборки испытаний N средняя арифметическая наработка (оценка 0) сходится по вероятности с МО наработки до отказа.

МО наработки  означает математически ожидаемую наработку до отказа однотипных элементов, т.е. усредненную наработку до первого отказа.

3.2 Условные показатели наработки оборудования

На практике также представляют интерес показатели, величины которых показывают условные средние наработки оборудования:

) средняя полезная наработка  определенная при условии, что при достижении наработки t1 все оставшиеся работоспособными объекты снимаются с эксплуатации;

) средняя продолжительность предстоящей работы  при условии, что объект безотказно работал на интервале (0, t1).

Причины использования этих показателей:

. Высоконадежные объекты (элементы электронных схем), как правило, эксплуатируются меньший срок чем T0 (tэкс < T0), т.е. заменяются по причине морального старения раньше, чем успевают наработать T0.

. Часто для указанных объектов сокращают период испытаний (проводят до наработок соответствующих их моральному старению), поэтому T0 в таком случае понимают как среднюю наработку, которая имела бы место в действительности, если бы ИО оставалась такой, какой она была в начальный период испытаний.

Средняя полезная наработка  (по аналогии с T0):


Средняя продолжительность предстоящей работы


Соотношение между двумя показателями

 и

при допуске разброса принимаемых значений может являться усредненной характеристикой продолжительности безотказной работы электрооборудования.

3.3 Показатели рассеивания случайной величины

В то же время средняя наработка не может полностью характеризовать безотказность объекта.

Так при равных средних наработках до отказа T0 надежность объектов 1 и 2 может весьма существенно различаться. В виду большего рассеивания наработки до отказа, объект 2 может быть менее надежен, чем объект 1.

Поэтому для оценки надежности объекта по величине  необходимо еще знать и показатель рассеивания случайной величины T = {t}, около средней наработки T0.

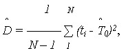
К числу показателей рассеивания относятся дисперсия и среднее квадратичное отклонение (СКО) наработки до отказа.

статистическая оценка


- вероятностное определение СКО


Средняя наработка до отказа T0 и СКО наработки S имеют размерность [ед. наработки], а дисперсия D - [ед. наработки 2].

.       
Обработка экспериментальных данных

.1 Расчет показателей надежности

В соответствии с правилами эксплуатации электрооборудования, вероятность возникновения взрыва в единичном изделии не должна превышать 10-6 в течение года.

Вероятность возникновения отказа в v-том взрывоопасном соединении за время t (k=1, n):

 (4.1)

где  - среднее время до первого отказа в v-том взрывоопасном соединении.

Формулу для  можно представить в виде:

 (4.2)

где dn - средний интервал времени между появлениями j-го вида опасности в k-ом элементе;

dk - среднее время существования j-го вида опасности, що трапилася в k-ом элементе.

Согласно эмпирическим данным, исходные величины равны:

dn =175200 ч.

dk =0,146 ч.

тогда:

1,2·104 ч.

t=365·8=2920 ч.

.

4.2 Корреляционный анализ данных

Выход из строя электроустановки, в большинстве случаев, обусловлен нагревом ее частей до критической температуры, примерно равной 135°С. Нагрев осуществляется током, который проходит по токоведущим частям установки. Анализ этого процесса и влияющих на него факторов позволяет выявить истоки проблемы, сделать вывод об эффективности существующих методов контроля нагрева и предложить адекватную систему аварийного отключения.

Предметом исследования в данной работе является температура на разных участках електроустановки, которая считывается равномерно расположенными по длине установки датчиками температуры. Рассматриваются опытные данные за период трех лет работы установки.

Спрогнозировать момент выхода из строя электрооборудования можно с помощью корреляционного анализа эмпирических данных.

Корреляционный анализ является вычислениями на основе статистической информации, с целью математической оценки усредненной связи между зависимой переменной и некоторой независимой переменной или переменными. В данном случае этими переменными является время и температура. Корреляционный анализ является методом установления связи и измерения ее тесноты между наблюдениями, которые можно считать случайными и выбранными из совокупности, распределенной по многомерному нормальному закону.

Корреляционной связью называется такая статистическая связь, при которой разным значениям одной переменной соответствуют разные средние значения другой. Корреляционная связь может возникать несколькими путями. Важнейший из них - причинная зависимость вариации результативного признака от изменения факторного. Кроме того, такой вид связи может наблюдаться между двумя следствиями одной причины. Основной особенностью корреляционного анализа следует признать то, что он устанавливает лишь факт наличия связи и степень ее тесноты, не раскрывая ее причины.

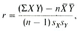
Коэффициент корреляции - это величина, которая может варьировать в пределах от +1 к -1. В случае полной позитивной корреляции этот коэффициент равен плюс 1, а при полной негативной - минус 1.

Коэффициент корреляции (r) - это параметрический показатель, для вычисления которого сравнивают средние и стандартные отклонения результатов двух измерений. При этом используют формулу

 (3.9)

где ∑ XY - сумма произведений данных из каждой пары;

n - число пар;

X - средняя величина переменной X;

Y - средняя величина переменной Y;

Sx - стандартное отклонение для распределения х;

Sy - стандартное отклонение для распределения у.

Коэффициент корреляции каждой кривой, KR

KR1

KR2

KR3

KR4

KR5

KR6

0,69

0,54

0,87

-0,33

-0,01

0,74



На основе корреляционного анализа, проведенного в программе MS Excel, можем составить графическую зависимость срока работы установки от температуры (график 2).

Таким образом, с соответствующей долей вероятности можно сказать, что средний срок работы данной установки в таком режиме составляет пять лет.

Зависимость срока работы электроустановки от температуры (прогноз на основе корреляционного анализа)


Заключение

В данной работе проведена обработка экспериментальных данных, собранных по ускоренной методике за период трех лет. Они представляют собой зависимость температуры на участках электроустановки от времени f=T(t). Величина температуры в ходе эксперимента снималась с равномерно расположенных по длине установки термодатчиков.

Проведен расчет вероятностных характеристик зависимости T(t).

Построена вероятностная модель зависимости распределения температуры по длине электроустановки от времени T(t). Для ее построения в данной работе выявлены основные параметры случайного процесса: класс случайного процесса и мгновенная плотность достоверности P (U, t) путем аппроксимации его определенными законами распределения. Вероятностные модели построены для каждого участка лампы и времени.

Проверку стационарности случайной функции температуры предложено оценивать по изменчивости М [T(t)] и дисперсии центрируемой функции D [T(t)] для совокупности ее реализаций на интервале повторяемости, равном одному месяцу. Для более точной оценки случайного процесса предложена строгая количественная оценка изменчивости его численных характеритик с точностью до корреляционной функции.

Оценку меры изменчивости М [T(t)] процесса на каждом интервале относительной стационарности предложено осуществлять следующим параметрам:

·   математическому ожиданию М, усредненному на интервале относительной стационарности Тв;

·   усредненной дисперсии D несмещенной оценки процесса;

·   среднеквадратическому отклонению несмещенной средней оценки.

Проведен корреляционный анализ экспериментальных данных f=T(t). С его помощью можно спрогнозировать момент выхода из строя лампы. Полученная усредненная результирующая кривая показывает распределение температуры по временным промежуткам (интервалам стационарности). По ней можно судить о времени работы лампы до достижения ею критического уровня температуры.

Проведен расчет надежности светотехнического оборудования при влиянии температурных нагрузок. Расчет надежности выявляет вероятность выхода его из строя за время, равное одному году и среднее время до первого превышения температуры до критического уровня.

Анализ освещенных вопросов позволяет сделать вывод об эффективности существующих методов контроля нагрева и предложить адекватную систему аварийного отключения.

Список литературы

1.   Расчет надежности системы электроснабжения: метод. указания по выполнению контрольной работы / П.С. Пинчуков. - Харьков: Изд-во ХВГУПС, 2009. - 15 с: ил.

2.      Гук, Ю.Б. Расчет надежности схем электроснабжения / Ю.Б. Гук, М.М. Синенко, В.А. Тремясов. - Энергоатомиздат, Ленингр. отд-ние, 1990. - 216 с.: ил.

.        Ковалев А.П., Белоусенко И.В., Муха В.П., Шевченко А.В. О надежности максимальных токовых защит, применяемых в сетях угольных шахт. - Электричество, 1995, №2, с. 17-20.

Похожие работы на - Расчет показателей надежности электрооборудования

 

Не нашли материал для своей работы?
Поможем написать уникальную работу
Без плагиата!
Без нейросетей!