Ремонт электрооборудования
Содержание
Введение
. Анализ исходных данных и задачи
проектирования
. Обоснование периодичности текущего
ремонта электрооборудования
. Описание технологии текущего
ремонта электродвигателя
. Компоновка участков по проведению
ТО и ТР электрооборудования
. Выбор оборудования для
диагностирования и ремонта
. Особенности диагностирования
электрооборудования при ТО и ТР
Заключение
Список литературы
Введение
Опыт электрификации сельского хозяйства
показывает, что без хорошей работы электротехнической эксплуатационной службы
только увеличение числа электроустановок не дает ожидаемого роста эффективности
производства и не позволяет полностью использовать возможности
электрооборудования. Эксплуатационная надежность электрооборудования пока еще
не удовлетворяет в достаточной мере требованиям сельскохозяйственного
производства. Электродвигатели выходят из строя в 1,5…3 раза чаще, чем
регламентировано в нормативной документации. Затраты на техническую
эксплуатацию за срок нормативной окупаемости в 4…10 раз превышает стоимость
нового электрооборудования. Все это снижает выпуск продукции и увеличивает ее
себестоимость.
1. Анализ исходных данных и задачи
проектирования
Сельскохозяйственное предприятие использует
большой парк электрооборудования. Анализ результатов эксплуатации этого парка
свидетельствует о том, что энерговооруженность труда по установленной мощности
соответствует передовому уровню эксплуатации сельского хозяйства. Однако
показатели надежности отстают от нормативных значений. Так, двигатели серии 4А рассчитаны
на безотказную работу в течение 10 лет, а фактическое время безотказной работы
до капитального ремонта составляет в животноводстве 3,5 года, в растениеводстве
- 4 года, на подсобных предприятиях - 5 лет.
Эксплуатационная надежность электрооборудования
зависит от многих факторов: периодичности проведения технического обслуживания
(ТО), и текущего ремонта (ТР), наличия участка и технических средств для
выполнения для выполнения ТР, квалификации персонала электротехнической службы,
правильного выбора типа защиты и режима использования электрооборудования.
В исходных данных на курсовое проектирование
приведены сведения о работе электроприводов до критического состояния по
сопротивлению изоляции, а также о размере технологического ущерба и интенсивности
отказов, указаны затраты на профилактику и ремонт, годовой объем работ
электротехнической службы.
. Обоснование периодичности текущего ремонта
электрооборудования
В зависимости от условий эксплуатации система
ППРЭсх допускает отступление от нормируемой периодичности ТО и ТР. Для
определения максимальной периодичности профилактических мероприятий применяют
методы: классический, статистический и метод теории надежности.
Для решения задачи по данному методу выбирают
частный или обобщенный критерий состояния электрооборудования (например,
изменение значения сопротивления изоляции до критического состояния за
некоторый период). Проводят наблюдение за выбранным электрооборудованием и по
статистическим данным устанавливают закон распределения времени достижения
предельного значения критерия. По полученным характеристикам распределения
подбирают такую продолжительность работы оборудования между профилактическими
мероприятиями, при которой соблюдается их предупредительный характер.
Рассмотрим применение метода на следующем
примере.
Объектом изучения служат 6 электроприводов, а
критерием их предельного состояния - время работы до критического состояния,
определяемого по сопротивлению изоляции.
Математическое ожидание М, мес.:
Дисперсия D, мес2.
Среднеквадратичное
отклонение σ, мес.:
2,95
Выбор оптимальной
периодичности. Оптимальной принято считать периодичность считать периодичность tо.
to
= -t - σ = 15,8 - 2,95 =12,85.
Если to = -t + 
σ
= 15,8 + 
2,95 = 17,8, то
предельное состояние будет у 67% электроприводов, при to
= -t +3σ = 15,8 +3*2,95 = 24,65 - у 99%. Другими словами, при выборе to > t
профилактики теряют предупредительный характер.
Если принять to = tmin,
где tmin = -t - 3 σ, то практически все электроприводы не достигнут предельного
состояния и остановки машин для проведения профилактических мероприятий
окажутся слишком частыми. При to
= -t - σ лишь 15% электроприводов достигнут предельного состояния, а для
всех остальных мероприятия сохранят предупредительный характер и не будут
слишком частыми.
Таким образом,
периодичность to = -t - σ = 15,8 - 2,95 =12,85 можно считать оптимальной для
электроприводов, т.к. отступления от нее в большую сторону приводят к быстрому
понижению эксплуатационной надежности электроприводов, а отступление в меньшую
сторону - к увеличению простоев и затрат.
Этот метод заключается в
составлении функции цели (критерия) и исследовании ее на экстремум.
Пусть для некоторого
объекта, например для электропривода, затраты на одну профилактику составляют Зп,
на один капитальный ремонт Зр, интенсивность отказов при исходной
периодичности профилактик λ, технологический
ущерб из-за отказа, выраженный в долях от Зр, - у*. Известно, что с
увеличением периодичности Т годовые затраты на профилактики снижаются, а на
ремонт, включая ущерб, возрастают.
Целевая функция удельных
суммарных затрат имеет вид:
(1)
где α
- показатель эффективности профилактик.
Исследуя на экстремум
уравнение
находим выражение для расчета
оптимальной периодичности профилактических мероприятий по критерию минимума
удельных затрат:
(2)
Уравнение показывает, что значение
оптимальной периодичности пропорционально затратам на профилактику и обратно
пропорционально стоимости капитального ремонта, а также размеру
технологического ущерба и интенсивности отказов. Наибольшее влияние на
периодичность оказывает показатель α, который
характеризует эффективность профилактик. Он оценивает, на сколько процентов
снижается интенсивность отказов при снижении периодичности на 1 %.
Методику применения классического метода
рассмотрим на следующем примере.
Исходные данные:
Qг = 350
Зп = 43,2
Зр = 1150
λ
= 0,4
y* = 0,6
α
= 1
Расчет оптимальной периодичности To, год, по формуле
(2):
Удельные суммарные
затраты по формуле (1):
Для некоторых частных случаев можно принять α = 1. Подставляя это значение в (2),
а затем То в (1), находим, что при оптимальной периодичности
профилактик слагаемые функции цели практически равны между собой: 79 и 79,2.
Периодичность считается оптимальной в том случае, когда годовые затраты на
профилактики равны годовым затратам на устранение
отказов (на капитальный ремонт и на покрытие технологического ущерба).
При организации технической
эксплуатации электрооборудования стремятся совместить моменты проведения
обслуживания и ремонтов с технологическими паузами и с моментами обслуживания
машин, на которых используется электрооборудование. Возникают и другие причины,
по которым приходится отступать от оптимальной периодичности. Поэтому важно
знать, в каких пределах это возможно. При решении этой задачи обычно считают
допустимыми такие отступления, при которых суммарные затраты увеличиваются не
более чем на 5 % по сравнению с оптимальным уровнем. Исследование экономической
устойчивости функции цели показывает, что при α = 1 допустимые отклонения от оптимальной периодичности составляют
± 35%.
Для многих видов оборудования оптимальной
стратегией технической эксплуатации служит планово-предупредительный ремонт,
когда в заранее намеченные сроки проводят профилактическое обслуживание или
ремонт. При этом удается с наименьшими затратами поддержать интенсивность
отказов на требуемом уровне. Решение задачи о периодичности профилактик
основано на графическом представлении влияния планово-предупредительных
обслуживаний на надежность.
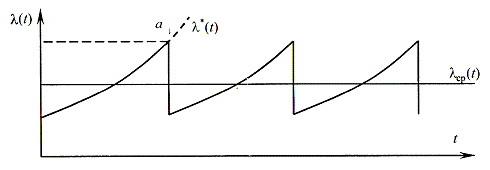
Рис.1. Влияние планово-предупредительных
обслуживании на интенсивность отказов, где Хср(7) - средняя
интенсивность отказов; а - момент проведения планово-предупредительных
обслуживании.
Рис. 2. Влияние планово-предупредительных
обслуживании на вероятность безотказной работы, где Pcp(t)
- средняя вероятность безотказной работы, tп-
периодичность планово-предупредительных обслуживании по заданному снижению
интенсивности отказов; b
- момент проведения планово-предупредительных обслуживании.
Как видно из рис. 1 и 2, после проведения
профилактик (точки а и b)
существенно замедляется снижение вероятности безотказной работы (рис. 3) и
повышение интенсивности отказов (рис. 2). По рис.2 задается верхняя граница
интенсивности отказов (пунктир до т. а). При пересечении верхней границы
заданного значения с кривой изменения λ(t)
проводят планово-предупредительные обслуживания. Из рис.3 видно, что искомая
периодичность обслуживания находится при пересечении кривей изменения P(t)
с нижней границей заданного значения вероятности безотказной работы (т. b).
Если нет ограничений на ресурсы, то малой периодичностью tп
можно поддерживать λ*(t)
= const, Р*(t)
= const на уровне новых
изделий. Периодичность tп
можно определить, исходя из графика заданного или принятого изменения λ(t)
или P(t).
Обозначим снижение интенсивности
отказов
, где λ*(t), λ(t)- изменение
интенсивности отказов без профилактик и с профилактиками. Тогда tп определим из
уравнения:
(3)
На малом интервале времени
интенсивность отказов изделия возрастает линейно, λ (t) = а + bt. Тогда для
определения периодичности профилактик находим:
Отсюда искомая периодичность
(4)
Пример. Исходные данные:
λ*(t)
= 0,4
a = 0,4
b = 0,15
Расчет статистических показателей
Выбор периодичности tп, мес. по
заданному снижению эффективности отказов:
3. Описание технологии текущего
ремонта электродвигателя
Целью текущего ремонта является восстановление
работоспособности двигателя за счет замены или восстановления отдельных его
частей. В результате поддерживается работоспособность двигателя в течение
длительного времени.
ТР проводится электротехническим
персоналом предприятия либо на месте их установки, либо на пункте (участке)
технического обслуживания, по заранее составленному графику с остановкой
рабочей машины на время ремонта.
Графики ТР составляются на год в
соответствии с ППРЭсх.
Периодичность ТР электродвигателей
серий 4А и АИР составляет 24 месяца, за исключением электродвигателей,
установленных на молочных вакуум-насосах и пастеризаторах в особо сырых помещениях,
в этом случае периодичность ТР составляет 18 месяцев.
Технология текущего ремонта
электродвигателя включает:
Подготовительные работы:
- очистить электродвигатель от пыли и грязи;
- отсоединить электродвигатель от питающих проводов, разъединить с
рабочей машиной и снять с фундамента.
Разборку:
- разобрать электродвигатель, очистить и промыть детали, продуть
обмотку сжатым воздухом, определить неисправности.
Ремонт статора:
- устранить нарушение изоляции лобовых частей, в местах выхода
проводов из паза и выводных концов;
- замена ослабленных и выпавших пазовых клиньев, а также бандажей
лобовых частей;
- устранение мелких неисправностей стали статора (коррозия,
вмятины);
- разогрев изоляции для пропитки;
- сушка изоляции, ее пропитка и окончательная сушка.
Ремонт ротора:
- проверка состояния и устранение неисправностей обмотки ротора (для
двигателей с фазным ротором);
замена неисправных подшипников;
- устранение мелких неисправностей активной стали ротора (вмятины,
коррозия);
Сборку электродвигателя:
- проверка исправности всех узлов и деталей;
- измерение воздушного зазора между статором и ротором;
заполнение подшипников на 2/3 их
объема смазкой; сборка электродвигателя, проверка мягкости вращения ротора и
плотности затяжки болтовых соединений, при необходимости его покраска.
Послеремонтные испытания:
измерение сопротивления изоляции,
пробный пуск без на- грузки на его валу и под нагрузкой на месте установки
двигателя.
Для двигателей с фазным ротором и
машин постоянного тока дополнительно шлифовку, а при необходимости проточку
коллектора; замену и притирку щеток и проверку степени их искрения.
Технические указания:
.3.1 К пункту 2. Электрические
машины передаются для выполнения капитального ремонта при наличии следующих
неисправностей: витковых замыканий в обмотках; замыканий обмоток на корпус или
между фазами; обрыва обмоток; обугливания обмоток; изгиба вала и повреждения
посадочных мест подшипниковых щитов; трещины в корпусе и подшипниковых щитах;
сопротивление изоляции ниже нормы и не поддается восстановлению после сушки.
К пункту 4. Замене подлежат
подшипники, имеющие коррозию, сколы, глубокие царапины на поверхности беговых
дорожек или шариков (роликов), а также при радиальном и осевом зазоре (люфте)
более 0,2 мм.
К пункту 5. Воздушный зазор между
статором и ротором должен быть (не более) при мощности до 1 кВт - 0,2...0,25
мм; до 7,5 кВт-0,35...0,6 мм; до 15 кВт-0,4...0,65 мм.
.3.4 К пункту 6. Сопротивление
изоляции должно быть не ниже 4 МОм при температуре окружающей среды 20 °С и 0,5
МОм - при рабочей температуре (+75 °С).
. Компоновка участков по проведению
ТО и ТР электрооборудования
Качественное и своевременное проведение
технического обслуживания на предприятиях сельскохозяйственного профиля при
наличии соответствующей материально-технической базы
позволит уменьшить выход из строя электрооборудования и улучшить его
эксплуатационные свойства. Основой материальной базы являются стационарные
участки (пункты) технического обслуживания и передвижные средства
(электроремонтная автопередвижная мастерская или специально оборудованный
автомобиль).
На участках ТО проводят текущий
ремонт электрооборудования, для восстановления работоспособности или
поддержания технического состояния которого необходимо специальное оборудование
(сушильные шкафы, пропиточные ванны, токарные и шлифовальные станки).
Технические уходы и текущие ремонты
электрооборудования, при проведении которых не требуется специального
оборудования, проводят на месте его установки бригады электромонтеров, имеющие
передвижные средства или набор соответствующего инструмента.
Участок технического обслуживания -
это отдельное здание или сооружение, либо помещение (комната) внутри здания,
удовлетворяющая предъявляемым к ней требованиям, оснащенная оборудованием,
установками, приспособлениями, приборами, инструментом, запасными деталями и
материалами, при помощи которых можно качественно выполнять все работы по ТО и
ТР электрооборудования в соответствии с техническими требованиями.
Основными показателями качества
работы пункта ТО и ремонта служат радиус зоны обслуживания (r, км), годовая производственная
программа (Q, у.е.э.) и штатный состав (N, чел.).
Чтобы определить годовую
производственную программу, необходимо знать, какое количество
электрооборудования ремонтируется в год.
Из второго раздела известна периодичность
проведения ТО и ТР - tп, поэтому объединим
годовой объем работ пункта Qобщ, у.е.э.:

(5)
где QГ - общий годовой объем работ по электроприводам в хозяйстве, у.е.э.
(из задания), tП - периодичность
проведения ТО и ТР.
Далее определяют годовую
трудоемкость работ ТГ, чел-ч:
=
(6)
где τтр
= 7...9(чел-ч - трудоемкость текущего ремонта одной у.е.э.
Расчет числа
электромонтеров участка осложнен неравномерностью загрузки в течение суток,
года, отсутствием сведений о затратах времени на подготовительные и
заключительные операции и т.д. Для принятия окончательного правильного решения
следует определить нормативное, среднегодовое и гарантированное число
электромонтеров.
Нормативное число
электромонтеров N используют для
ориентировочной оценки размера участка и определяют по выражению:
=
(7)
где а - норма
обслуживания электромонтером (а = 100).
Среднегодовое число
электромонтеров служит для определения фондовооруженности. Его определяют по
формуле:
(8)
где Ф - годовой фонд
рабочего времени электромонтера.
(9)
где dK, dB,
dn, d0
- соответственно число календарных, выходных, праздничных, отпускных и
предпраздничных дней; tП
- продолжительность смены (8 часов); Δt - сокращение предпраздничного дня (1 час).
Расчеты, выполненные по формулам (7) и (8), не
учитывают квалификацию электромонтеров, индивидуальную производительность и
сложность каждого ремонта. Поэтому одну и ту же работу электромонтеры выполняют
за разное время, и, следовательно, годовой фонд рабочего времени имеет
случайные величины.
Для учета этих особенностей можно рассчитать
гарантированное число NT
электромонтеров, обеспечивающих выполнение максимально возможного объема работ
при наихудших условиях:

(10)
где N -
среднегодовое число электромонтеров;
kQ>, kф -
коэффициенты вариации объема работ и производственных исполнителей, kQ =
0,10...0,12, kф =
0,05...0,15; d = 1...2 -
оценка доверительного интервала изменения случайных величин;
Площадь пункта обслуживания FП определяют
исходя из числа электромонтеров (гарантированных), м2
= 136 (11)
где f1 - норма
площади на рабочего ремонтной группы; f 1= 25 при Nr<3 ч,f1 = 17 при NT > 3 ч.
На последнем этапе выполняют
технологическую компоновку всего участка. Принципы компоновки следующие.
Необходимо учитывать, что размещение
всех отделений должно строго соответствовать технологическому процессу ремонта
по принципиальной схеме движения.
При расстановке оборудования
необходимо выполнить требования технической безопасности и строительные нормы.
Расстояние от стен - 0,5 м, проходы - 0,7 м, проезды - 1,5-2,0 м.
Оборудование на плане можно показывать
блоками, указывая номер и название каждого в подрисуночной подписи.
Примерный план размещения
электрооборудования указан в приложении 1.
. Выбор оборудования для диагностирования и
ремонта
Правильная организация технического обслуживания
(диагностирования) и ремонта позволяет поддержать ЭО в исправном состоянии в
течение всего периода эксплуатации и обеспечивает его бесперебойную работу.
Техническая диагностика - наука о методах и
средствах распознавания технического состояния и обнаружения неисправностей
(дефектов) изделий.
Техническое диагностирование - это процесс
распознавания состояния объекта, конечным результатом которого служит
заключение о техническом состоянии объекта, то есть технический диагноз.
Диагностические параметры - характеристики объекта,
используемые для определения его технического состояния. Определяющие
диагностические параметры - такие, которые дают наиболее полные сведения о
работоспособности объекта, оценивая его состояние в целом. Вспомогательные
параметры оценивают лишь отдельные свойства объекта или место неисправности.
Способ (алгоритм) диагностирования - это
совокупность и последовательность действий (экспериментов), позволяющих
определить техническое состояние объекта. При эксперименте на объект подают
некоторое воздействие и измеряют диагностические параметры или контролируют
диагностические признаки. По результатам наблюдений определяют состояние
объекта.
Системы диагностирования (СД) - это совокупность
объекта, способов и средств диагностирования. По назначению и виду вешаемой
задачи их условно разделяют на профилактические, дифференциальные,
функциональные и прогнозирующие.
Профилактические СД предназначены для выявления
в процессе эксплуатации дефектных деталей и элементов, выработавших свой
ресурс, т.е. тех элементов объекта, параметры которых близки к предельно
допустимым значениям. С этой целью систематически проводят плановые
профилактические испытания.
Дифференциальные СД служат для обнаружения
отдельных неисправностей при плановом техническом обслуживании и ремонте ЭО. По
полученным результатам уточняют вид необходимого ремонта (текущий или
капитальный) и состав его операций. Для дифференциального диагностирования
применяют приборы общего и специального назначения.
Функциональные СД предназначены для оценки качества
функционирования и работоспособности путем определения комплекса
эксплуатационных свойств (характеристик) электрооборудования при контрольных,
типовых или специальных испытаниях и сопоставления их с номинальными или
нормируемыми значениями.
Прогнозирующие СД позволяют предсказать
состояние изделия в будущем и определить вероятный момент появления отказа. Для
этого оценивают остаточный ресурс элементов на основании информации о
закономерностях измерения параметров в период, предшествующий прогнозу.
Одно из главных направлений дальнейшего
совершенствования технической эксплуатации ЭО в сельском хозяйстве - более
широкое внедрение в практику СД. По мере внедрения в
практику сельскохозяйственного производства методов, приборов и устройств для
безразборной диагностики и прогнозирования технического состояния ЭО планово,
согласно графикам, будет проводиться контроль технического состояния ЭО, а
профилактические и ремонтные работы - только при необходимости, т.е. в тех
случаях, когда износ деталей и узлов достигнет величины, при которой дальнейшая
работа ЭО может привести к аварии или будет экономически нецелесообразной.
Кроме того, методы диагностики применимы для проверки и установления
оптимальных регулировок, для определения времени замены или ремонта отдельных
деталей, узлов машины или аппаратов в целом.
Схема применения методов и средств
диагностики при ТО ЭО приведена на рис. 3.
Рис. 3. Схема применения методов и средств
диагностики при ТО ЭО
Целесообразно разработать следующие
три комплекта приборов для использования в сельскохозяйственном производстве:
- комплект приборов для
электромонтера, предназначенный для контроля основных параметров ЭО при
проведении технических уходов и текущих ремонтов. Комплект должен быть простым
и малогабаритным;
комплект приборов для служб
эксплуатации, предназначенный для точного определения и прогнозирования
технического состояния всех основных видов ЭО, применяемого в сельском
хозяйстве. Комплект должен быть передвижным, рассчитанным на использование
эксплуатационным персоналом комбикормовых заводов, птицефабрик и др;
комплект приборов для
элекгроремонтных предприятий, предназначенный для определения объема ремонтных
работ, а также для определения качества ремонта по параметрам, которые нельзя
проверить при контрольных испытаниях.
Классификация средств для
диагностики силового ЭО в сельском хозяйстве представлена рис. 4.
Рис. 4. Классификация средств для диагностики
силового ЭО в сельском хозяйстве
Электрооборудование состоит из неравнопрочных
элементов, имеющих различную долговечность. Выход из строя любого элемента
приводит к отказу всего ЭО и наносит ущерб производству. Особенно опасны
непредвиденные отказы. С целью исключения таких отказов, своевременного
выявления и замены элементов с ухудшенными свойствами проводят профилактическое
диагностирование, которое в энергетике называют профилактическими или
контрольными измерениями.
6. Особенности диагностирования
электрооборудования при ТО и ТР
При техническом обслуживании
диагностирование производят с целью оценки общего технического состояния
(работоспособности) и подтверждения, что ЭО не требует ремонта до очередного
ТО. Объем диагностирования в этом случае ограничен измерением минимального
числа параметров, несущих информацию об общем техническом состоянии ЭО.
При текущем ремонте диагностирование
проводят с целью определения остаточного ресурса основных узлов и деталей,
установления необходимости их замены или ремонта, а также для правильного принятия
решения о сроках капитального ремонта ЭО. Перечень диагностических параметров,
измеряемых при текущем ремонте, приведен также в табл. 1.
Для оценки технического состояния
низковольтной аппаратуры в соответствии с системой ППРЭсх рекомендуют
определить следующие диагностические параметры:
- изоляцию катушек и токоведущих
частей. Сопротивление изоляции относительно магнитопровода или заземленных
частей аппарата, измеренное мегомметром на 100 В, не должно быть менее 0,5 МОм.
В контактных системах падение напряжения на постоянном токе, приведенное к
номинальному току аппарата, не должно превышать следующих значений: у магнитных
пускателей и автоматических выключателей - 0,07 В. при номинальном токе выше 50
А (0,11 В при номинальном токе); у аппаратов со скользящими контактами
(рубильники, пакетные выключатели) - 0,02 В. Площадь соприкосновения, провал,
раствор и нажатие контактов определяют из литературы [2];
электромагнитные расцепители
автоматических выключателей. Ток срабатывания не должен превышать ток установки
более чем на 30%. Для выключателей А3/20, А3/3О, А3/40, АП-50 он не должен
превышать ток установки более чем на 15%. Мгновенное срабатывание должно
происходить при десятикратном номинальном токе защищаемой цепи;
- тепловые расцепители автоматических
выключателей. Время срабатывания при t = 25 °С должно быть не более 1 ч, 30 мин и 10 с соответственно
при нагрузке токами 1,1; 1,35 и 6 Iн - номинальный ток
защищаемой цепи;
токовые тепловые реле. Время
срабатывания не должно превышать 20 мин при токе 1,25 Iн. При номинальном токе защищаемой цепи тепловое реле не должно
срабатывать.
ремонт электродвигатель
диагностирование
Заключение
Системы диагностирования (СД) - это
совокупность объекта, способов и средств диагностирования.
Объектом диагностирования является
любое ЭО, которое мы проверяем. СД разделяются на профилактические,
дифференциальные, функциональные и прогнозирующие. Рассмотрим каждую систему в
отдельности.
Профилактические СД предназначены
для выявления дефективных деталей и элементов (выявления слабых мест объекта
без вывода его в ремонт):
при испытании основных видов ЭО
измеряют сопротивление изоляции;
- для силовых трансформаторов
определяют коэффициент абсорбции R60/R15;
для трансформаторов мощностью свыше
630 кВА дополнительно испытывают трансформаторное масло;
для АД проверяют срабатывание
максимальной защиты с последующим определением тока однофазного КЗ;
в электродных водонагревателях
(котлах) измеряют удельное сопротивление воды, проверяют действие' защитной
аппаратуры котла;
для воздушных линий проверяют
габаритные размеры, изоляторы, места соединений проводов, степень загнивания
деталей деревянных опор и срабатывания защитных линий;
профилактические измерения
сопротивления заземляющих устройств проводят в периоды наибольшего удельного
сопротивления грунта;
устройства выравнивания
электрических потенциалов проверяют на целостность проводников, доступных для
осмотра.
Дифференциальные СД производят при
плановом ТО и ремонте ЭО. Для этого применяют приборы общего и специального
назначения. При дифференциальных СД определяют:
- обрыв, замыкание в проводах,
контактах, изолирующих и других элементах ЭО;
влажность изоляции;
витковые замыкания в обмотках ЭМ.
Функциональные СД предназначены для
определения характеристик ЭО:
- сопротивления обмоток постоянному
току;
сопротивления изоляции;
тока и потерь XX;
напряжения и потерь КЗ.
Прогнозирующие СД определяют
вероятный момент отказа. Однако прогнозирование освоено только для простейших
случаев. В известной мере прогнозирование реализуют при профилактическом
испытании.
Оборудование, применяемое при
диагностировании, представлено в табл. 1.
Таблица 1. Оборудование, применяемое
при диагностировании
|
Наименование оборудования
|
Тип прибора
|
Диапазон измерений
|
Класс точности
|
Дополнительные характеристики
|
|
Мегомметры
|
М4100/3
|
0…1000 кОм 0…100 МОм
|
|
Выходное напряжение, В 500
|
|
Амперметры
|
5 А
|
1,0
|
Схема включения непосредственно
|
|
Вольтметры
|
Э365-1
|
500 В
|
1,0
|
Схема включения непосредственно
|
|
Ваттметры
|
Д-335
|
3 кВт
|
1,5
|
Трёхфаный
|
|
Частотомер
|
HZ-700
|
10…70 Гц
|
|
|
|
Тахометр
|
ТЭ-204
|
До 9000 об/мин
|
|
|
|
ПКВ (прибор контроля влажности)
|
ПКВ-7
|
|
|
Измеряет степень увлажнения изоляции
|
|
ВЧФ (высокочастотный измеритель)
|
ВЧФ-5-3
|
|
|
Определяет витковые замыкания
|
Список литературы
1. Ерошенко Г.П.,
Медведько Ю.А., Таранов М.А. Эксплуатация энергооборудования
сельскохозяйственных предприятий. - Ростов-на-Дону: ООО «Тера»; НПК «Гефест». -
2011. - 592 с.
. Пястолов А.А.,
Ерошенко Г.П. Эксплуатация электрооборудования. - М.: ВО Агропромиздат, 1990. -
287 с.
. Таран В.П.
Техническое обслуживание электрооборудования в сельском хозяйстве. - М.: Колос,
1975. - 304 с.
. Кравцов А.В.
Электрические измерения. - М.: ВО Агропромиздат, 2014. - 239 с.