Алгоритм расчета надежности электропривода постоянного тока
Содержание
Введение
. Алгоритм расчета надежности
электропривода постоянного тока
2. Надежность САУ
.1 Разработка принципиальной схемы
системы управления
.2 Разработка электрической схемы
системы управления пуском и торможением двигателя
. Разработка структурных схем
элементов электромеханической системы
.1 Контакторы КМ1, КМ2
.2 Контакторы КМ3- КМ6
.3 Реле времени
.4 Силовой резистор (3 секции,
проволочный, мощный)
.5 Тормозной резистор
.6 Двигатель постоянного тока
. Система управления электропривода
. Надежность рабочей машины
. Повышение надежности АСУ и рабочей
машины в целом
.1 Обеспечение надежности
электрооборудования на этапе проектирования АСУ
.2 Обеспечение надежности на этапе
эксплуатации рабочей машины
Заключение
Список использованных источников
Введение
Интенсификация технологических
процессов, повышение производительности и точности работы промышленного
оборудования неразрывно связаны с усложнением общей схемы автоматизации
производства. В этих условиях на первый план выдвигается очень важная проблема
обеспечения надежной работы автоматизированного электрооборудования, выход из
строя которого может привести к выпуску бракованной продукции, снижению
производительности труда, потерям сырья и энергии, останову, а иногда и к
авариям рабочих машин и механизмов, т.е. к большим экономическим потерям.
Задача повышения надежности электропривода является сложной и комплексной
проблемой, которая должна решаться как на стадии проектирования и изготовления
его элементов, так при его монтаже и эксплуатации. Поэтому целью данного
курсового проекта является расчет надежности электропривода
постоянного тока.
1. Алгоритм расчета надежности электропривода
постоянного тока
Определяются признаки отказа системы на основе
строгой формулировки задачи которую должна выполнять система. Рассматриваются
количественные значения параметров, характеризующих работу системы и их
допустимых пределы изменения. Работа в пределах допусков соответствуют
состоянию работоспособности системы. Уход параметров за допустимые пределы считается
отказом.
Составляется логическая схема для расчета
надежности, представляющая собой математическую модель системы и
предназначенная непосредственно для анализа и расчета надежности последней.
Логическая схема характеризует логическое соединение элементов в системе в
процессе выполнения данной функции (основное, параллельное, смешанное). При ее
составлении ряд элементов вспомогательного назначения (сигнальные лампы,
зуммеры, щитовые приборы и т.п.), отказы которых не влияют на надежность, а
лишь затрудняют эксплуатацию, можно не учитывать.
Определяются исходные данные для расчета
надежности, а именно: тип используемых элементов, их количество Ni
и номинальные параметры; электрические режимы работы элементов; температура
среда в местах установки элементов; коэффициенты надежности элементов Q;
коэффициенты использования
элементов во
времени; перевод времени Т3 восстановления отказов системы; среднее время
восстановления элементов; условия эксплуатации системы.
Если в логической схеме для расчета надежности
системы имеются участки с параллельным или смешанным соединением элементов, то
предварительно производится расчет показателей надежности этих участков.
Расчетные формулы.
Найденные показатели надежности сравниваются с
требуемыми по техническим условиям. Если их расчетные значения ниже требуемых,
выявляются менее надежные группы элементов и принимаются меры по повышению
надежности системы.
Рекомендованная последовательность использования
методов повышения надежности следующая: снижение электрических нагрузок на
элементах схемы (разгрузка); использование элементов с более высокими
показателями надежности (замена); облегчение условий работы элементов (снижение
температуры среды, герметизация и т.д.); резервирование элементов и узлов
системы.
2. Надежность САУ
Надежность САУ зависит от всех элементов, отказ
любого из этих элементов приводит к отказу всей системы автоматизированного
управления.
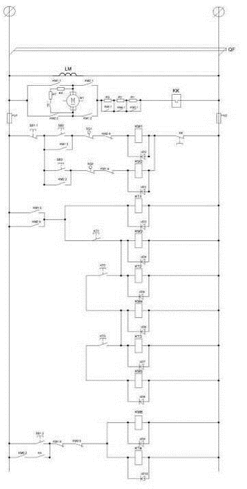
Рисунок 2.1 - Принципиальная схема электропривода
постоянного тока
В системе управления содержится: пускатели,
двигатель, система управления (СУ пуском и торможением), силовые резисторы,
элементы защиты. В этом случаи схема для расчета САУ примет вид:
Рисунок 2.2 - Структурная схема САУ
Элементы структурной схемы:
. Защитная аппаратура (QF
- автоматический выключатель, тепловое реле КК);
. Контакторы выбора направления вращения
двигателя (КМ1, КМ2);
. Контакторы пускорегулирующей аппаратуры (КМ3,
КМ4, КМ5, КМ6);
. Силовые резисторы: пусковые (R1,
R2, R3),
торможения (Rт);
. Электродвигатель постоянного тока с
независимым возбуждением (М - двигатель, LV-
обмотка возбуждения);
. Релейно-контакторная система управления (РКСУ).
.1 Разработка принципиальной схемы системы
управления
Контакторы КМ1 и КМ2 обеспечивают выборку
направления перемещения; КМ3-КМ5 служат для реостатного пуска двигателя в три
ступени; реле КТ1-КТ4 обеспечивают выведение пусковых реостатов. Реле тока КА и
контактор КМ6 обеспечивают динамическое торможение по принципу тока.
Для запуска двигателя а одном или другом
направлении используются две кнопки:
SB2(Пуск
“Вперед”)
SB3(Пуск
“Назад”)
Для остановки двигателя вводим в схему
управления кнопку SB1(“Стоп”).
Для обеспечения пуска двигателя функцией времени
( в соответствии с заданием) вводим реле времени:
КТ1, КТ2, КТ3 - обеспечивают задержку времени
при выводе из работы ступеней пускового резистора (R1,
R2, R3).
Для обеспечения динамического торможения вводим
резистор RT включенного
параллельно якорю двигателя через силовой контакт контактора КМ6.
Процесс электрического торможения заканчивается
при приближении к нулю при этом необходимо отключать контактор КМ6.
В соответствии с заданием отключение контактора
КМ6 производится функцией тока. Для этого в цепь резистора RT
включаем реле тока KA.
.2 Разработка электрической схемы системы
управления пуском и торможением двигателя
Все элементы системы управления делим на три
группы:
исполнительные элементы (контакторы КМ1-КМ6);
командные элементы (кнопки SB1-SB3,
КА);
промежуточные элементы (реле времени КТ1-КТ4).
Для защиты силовой цепи от К3 вводим
автоматический выключатель (QF),
а для защиты системы управления вводим предохранители (FU1,
FU2).
Для защиты электродвигателя от длительной
перегрузки вводим тепловое реле (КК).
Для защиты катушек контактора и обмотки
возбуждения двигателя от коммутационных перенапряжений вводим обратные винтили
(VD1-VD10).
Для ограничения в процессе эксплуатации
придельных перемещений вводим конечные выключатели в систему управления (SQ1,
SQ2).
Для недопустимости одновременного срабатывания
контакторов КМ1 и КМ2 вводим электрическую блокировку, с помощью контактов этих
пускателей (КМ2.4; KM1.4).
В электрическую схему вводим электрическую
блокировку о недопустимости одновременной работы тормозного пускателя (КМ6) и
рабочего контактора (КМ1 или КМ2), это выполняется последовательно включенными
контактами контакторов (КМ1.6; КМ2.6).
3. Разработка структурных схем элементов
электромеханической системы
Вероятность безотказной работы системы
автоматизированного управления (САУ) в курсовой работе по заданию считаем, t=1500
часов.
.1 Контакторы КМ1, КМ2
Структурная схема для расчета надежности КМ1
(или КМ2) примет вид:

Вероятность безотказной работы одного контактора
рассчитывают по формуле:
где
[Л1]
- интенсивность отказов одного контактора, [1/ч].
Вероятность безотказной работы 1 контактора (КМ1
или КМ2) для времени t
= 1000часов:
Вероятность безотказной работы контакторов КМ1 и
КМ2 работающих на включение и отключение цепи:
Вероятность безотказной совместной работы
контакторов КМ1, КМ2:
.2 Контакторы КМ3- КМ6
Вероятность безотказной работы КМ3 - КМ6
Вероятность безотказной работы группы
контакторов КМ3 - КМ6
.3 Реле времени
Используем пневматическое реле времени РПВ-110.
Интенсивность отказов реле
Вероятность безотказной работы рассчитывается по
экспонентному закону:
При наличии 4 реле времени вероятность
безотказности всех реле составляют:
.4 Силовой резистор (3 секции, проволочный,
мощный)
.5 Тормозной резистор
.6 Двигатель постоянного тока
Слабые элементы по надежности:
подшипниковый узел (ПУ);
коллекторно-щеточный узел (КЩУ);
обмотка якоря (ОЯ);
обмотка возбуждения (ОВ).
Структурная схема расчета надежности ДПТ:
Рисунок 3.2 - Структурная схема надежности ДПТ
Вероятность безотказной работы определяется с
помощью распределения Вейбулла:
где
-
параметр определяющий масштаб;
к = 1,25 - параметр асимметрии распределения.
тогда для t
=
=
1500 часов
для двух узлов
Коллекторно-щеточный узел
Вероятность безотказной работы узла для времени t=
определяется с помощью центрированной функции Лапласа:
где
=
5000 ч - математическое ожидание безотказной работы;
= 1500ч -
среднеквадратичное отклонение ожидания;
F - функция [сборник
задач Кузнецова, таблица 1].
Определяем аргумент:
По таблице находим функцию
Обмотка якоря(ОЯ) двигателя
Вероятность безотказной работы ОЯ вычисляется с
помощью центрированной и нормированной логарифмической функции Лапласа:
где M
- логарифм математического ожидания;
- логарифм
среднеквадратичного отклонения.
Пример в расчете:
М = 8,7;
=
1,03
Тогда получим:
= 0,5 - F(-1,3597)
=
= 0,5 - (-0,4131) = 0,91
Обмотка возбуждения (ОВ) двигателя
Вероятность безотказной работы ОВ рассчитывается
в соответствии с экспоненциальным законом распределения:
1/ч
Результирующая вероятность безотказной работы
ДПТ при
t=
4. Система управления электропривода
При логически - последовательном соединения
элементов для расчета вероятности безотказной работы АСУ используем выражение:
где t=
- наработка на отказ;
- количество
элементов одного типа;
- коэффициент
надежности элемента;
- коэффициент использования
элемента во времени;
- коэффициент
электрической нагрузки.
Для лабораторных условий эксплуатации
рекомендуется значения интенсивности отказов базового элемента:
Относительные значения интенсивности отказов
базового элемента для типовых условий:
- для заводских
цехов;
- для открытых
местностей, шахт, буровых установок;
В курсовом проекте принято
Расчетное значение коэффициента надежности:
Коэффициент надежности элементов [Л1, Елисеев,
таблица 11.8 -11.15]
для устройств защиты
[таблица
11.15]
для реле
для контакторов
из
интернет источников
для кнопок
Коэффициент нагрузки элементов (для
кратковременного/длительного режима работы):
реле, контакторы
переключатели, кнопки
Значение поправочных коэффициентов,
В соответствии с рисунками 11.42 (кнопки), 11.44
(реле), 11.45 (контакторы) функции коэффициента нагрузки
или
температуры аппарата
[Л1 Елисеев, стр.
308].
По заданию примем температуру аппаратов
Таблица для расчета показателей надежности СУ
для условий: t=
температура электрического шкафа с панелью управления
Таблица 4.1
|
№
|
Наименование
и тип элемента
|
Условное
обозначение на схеме
|
Номинальный
коэффициент надежности
|
Коэффициент
электрической нагрузки
|
Поправочный
коэффициент, учитывающий режим работы и условия эксплуатации
|
Коэффициент
надежности с учетом режимов работы и условий эксплуатации
|
Коэффициент
использования по времени
|
Результирующий
коэффициент надежности
|
Количество
элементов
|
|
|
|
|
|
|
|
|
|
|
|
|
|
|
|
|
1
|
контактор
|
КМ1-КМ5
|
10
|
0,6
|
1
|
1
|
0,5
|
5,5
|
75,625
|
(1)
|
5
|
378,12
|
|
2
|
контактор
|
КМ6
|
10
|
0,8
|
1
|
1
|
0,7
|
5,5
|
96,25
|
(1)
|
96,25
|
1
|
96,25
|
|
3
|
Кнопки,
конечники
|
SB1-SB3 SQ1-SQ2
|
15
|
0,8
|
1
|
1
|
0,7
|
1
|
26,25
|
(1)
|
26,25
|
5
|
131,25
|
|
4
|
реле
|
KT1-KT4, KA
|
5
|
0,6
|
1
|
1
|
0,5
|
5
|
34,375
|
(1)
|
34,375
|
5
|
171,87
|
|
5
|
устройства
защиты
|
QF,FU1,FU2,
KK
|
63
|
0,8
|
1
|
1
|
0,7
|
1
|
111,82
|
(1)
|
111,82
|
1
|
111,82
|
Рассчитываем вероятность безотказной работы СУ:
Наработка на отказ СУ:
ч
5. Надежность рабочей машины
С учетом надежности механизма определяем
суммарную надежность рабочей машины:
Примем:
6. Повышение надежности АСУ и рабочей машины в
целом
.1 Обеспечение надежности электрооборудования на
этапе проектирования АСУ
Пример 1:
Рисунок 6.1
Выбор аппаратов и элементов с улучшенными
показателями надежности;
Пример 2:
Вместо РКСУ использовать СУ на БКЭ или вместо
ДПТ применить асинхронный двигатель переменного тока с фазным ротором.
Применение эффективных средств охлаждения для
снижения рабочей температуры машины или узла.
Рациональный выбор электрических и магнитных
нагрузок.
Обеспечение повышенной надежности общим или
раздельным резервированием:
Рисунок 6.2
Рисунок 6.3
Рисунок 6.4
.2 Обеспечение надежности на этапе эксплуатации
рабочей машины
Внедрение мероприятий по рациональному
техническому обслуживанию оборудования.
Эксплуатация машины в соответствии с инструкцией
по эксплуатации.
Использование системы прогнозирования
технического состояния узлов.
Наладка и правильная эксплуатация систем защиты
электрических машин.
Заключение
электрический двигатель
автоматизированный машина
Появление в 50-х
годах 20-го столетия сложных систем управления привело к тому, что надежность
аппаратуры стала определяющим фактором обеспечения эффективного использования
этих систем. Вопросам надежности были посвящены самостоятельные работы, в
результате чего сформировалась теория надежности. Эффективность
функционирования систем автоматического управления (САУ) в значительной степени
зависит от надежности как отдельных устройств, входящих в системы, так и
аппаратуры, обеспечивающей взаимодействие между этими устройствами. Основными
причинами, определяющими повышенное внимание к проблемам надежности, являются:
рост сложности аппаратуры и появление сложных САУ; более медленный рост уровня
надежности комплектующих элементов по сравнению с ростом числа элементов в
аппаратуре; увеличение важности выполняемых аппаратурой функций и, как
следствие этого, повышение требований к надежности аппаратуры; усложнение
условий эксплуатации.
В этом курсовом
проекте произведен расчет надежности электропривода
постоянного тока с силовыми резисторами.
Список использованных источников
1. Кузнецов Н.В. Надежность
электрических машин. / Н.В. Кузнецов. М.: 2006. - 528 с.
. Ковач К.П. Переходные процессы в
машинах переменного тока: пер. с нем. / К.П. Ковач, И. Рац. - М.; Л.:
Госэнергоиздат, 1963. - 744 с.
. Сипайлов Г.А. Электрические машины
(специальный курс): учебник для вузов / Г.А. Сипайлов, Е.В. Кононенко, К.А.
Хорьков. - 2-е изд., перераб. и доп. - М.: Высшая школа, 1987. - 287 с.
. Бронов С.А. Автоматизированное
проектирование электромеханических систем: учебное пособие для самостоятельного
изучения / С.А. Бронов, А.В. Марарескул. - Красноярск, 2007. - 50 с.