Расчет и анализ характеристик электрического поля
Пояснительная
записка к курсовой работе
Расчет и
анализ характеристик электрического поля
Задание
1. Тема: Расчет и анализ характеристик электрического поля
2. Исходные данные к работе: k=1, z=4м, 2L=0,5м; 1м; 2м; 5м; 10м
. Содержание пояснительной записки: аннотация, введение,
теоретическая часть, расчетные формулы, таблицы вычислений, анализ и выводы,
список использованной литературы
. Перечень иллюстрационного и графического материала: 5 таблиц, 20
рисунков.
Аннотация
Пояснительная записка представляет собой отчет о выполнении курсового
проекта на тему "Расчет и анализ характеристик электромагнитных
полей". В тексте работы приводится теоретические сведения, рассматривается
методика решения поставленной задачи проекта.
Курсовой проект представляет собой изучение характеристик поля по
заданным распределением его источников, а также изучение распределения
источников поля по заданным характеристикам поля. [1]. Расчет и анализ
характеристик электрического поля таких как:
сила, с которой электрическое поле действует в данной точке на
положительный единичный заряд (напряженностью
поля в данной точке).
потенциал U электрического поля, создаваемого системой точечных зарядов
q.
При выполнении курсовой работы было использовано современное программное
обеспечение. Отчет оформлен в текстовом процессоре Microsoft Word-XP, обработка
информации и ее графическое отображение производилось в программе Microsoft
Excel.
Страниц
27, таблиц 6, рисунков 19.
The Summary
explanatory slip represents the report about the performance
of the course work on a theme "Calculation and analysis of electromagnetic
field’s characteristics". In these work theoretical data are resulted and
the decision methodic of a task in view is considered. And also construction of
schedules based on cultivated data is carried out.course project is a study of
the characteristics of the field for a given distribution of its sources, and
the study of the distribution of field sources for the specified characteristics
of the field. [1]. The calculation and analysis of the electric field as:
The force with which the electric field acting at a given
point on the positive unit charge. This characteristic is called the field
strength at a given point.
The potential U of the electric field created by a system of
point charges q.modern software was used at work with the course project. The
report is made out in a word -processor Microsoft Word XP, processing of the
information and its graphic display were made in Microsoft Excel.
Pages 27, tables 6, pictures 19.
Оглавление
Введение
1.
Теоретические сведения
. Задание
2.1 Исходные
данные
.2 Вывод расчётных формул
3. Решение
задачи
3.1 Расчёт для 2L=0,5 м, Z=4 м, k=1
.2 Расчёт для 2L=1 м, Z= 4 м, k=1
.3 Расчёт для 2L=2 м, Z=4 м, k=1
.4 Расчёт для 2L=5 м, Z= 4 м, k=1
.5 Расчёт для
2L=10 м, Z= 4 м, k=1
Заключение
Список
используемой литературы
Введение
Геофизические методы решения геологических и других задач основаны на
исследовании физических полей (гравитационного, магнитного, электромагнитного и
др.), которые отражают свойства и строение изучаемых объектов. Поэтому
"Теория поля" является теоретическим фундаментом основных
геофизических методов.
Цель проведения курсовой работы по дисциплине "Теория поля" -
закрепление полученных на лекциях знаний об основных понятиях теории поля,
видах физических полей, их характеристиках, способах математического
исследования и путях использования в разведочной геофизике.
Тема курсовой работы "Расчет и анализ характеристик электрического
поля", в которой исследуется электрическое поле. Источником поля являются
два положительных точечных заряда, равные по величине. Рассчитывались такие
характеристики поля как:
сила, с которой электрическое поле действует в данной точке на положительный
единичный заряд. Эту характеристику называют напряженностью
поля в данной точке.
потенциал U электрического поля, создаваемого системой точечных зарядов
q.
1.
Теоретические сведения
В общем случае "поле" - это математическое понятие,
эквивалентное понятию "функция точки пространства". Полагают, что
поле задано, если в каждой точке пространства задана некоторая величина
(функция).
Так как математические величины могут быть скалярами, векторами и
тензорами, то и соответствующие поля называются скалярными, векторными и
тензорными.
Скалярное поле задано в каждой точке пространства только одним числом
(модулем величины и знаком), векторное поле - тремя числами (составляющими
вектора), тензорное поле - более, чем тремя числами.
В частном случае, если исследуемая величина имеет физический смысл, то
соответствующее поле является также и физическим.
Например, физическое поле температур является скалярным полем,
электростатическое поле - векторным, поле упругих напряжений - тензорным.
Любой вид физического поля создается некоторыми источниками его.
Например, электростатическое поле создается постоянными электрическими
зарядами, распределенными в пространстве.
Предмет теории поля состоит из решения двух типов задач:
изучение характеристик поля, вызванного заданным распределением его
источников ("прямые" задачи теории поля),
изучение распределения источников поля по заданным характеристикам поля
("обратные" задачи теории поля).
В практике разведочной геофизики широкое применение получили исследования
различных полей - электрического, магнитного, электромагнитного,
гравитационного, поля упругих напряжений (волн), полей радиоактивных излучений,
теплового поля, поля концентраций и др.
Электромагнитное поле. Система дифференциальных уравнений Максвелла.
Уравнения связи.
Уравнения Максвелла в произвольной среде имеют вид [2, 3]
Уравнения связи (в изотропной среде)[2,3]:
Статическое электромагнитное поле.
Статическим электромагнитным полем называется поле неподвижных зарядов,
когда выполняются условия [2, 3]:
т.е. источниками электрического поля в данном случае являются только
электрические заряды, источниками магнитного - только токи проводимости. В
данном случае электрические и магнитные поля независимы друг от друга, что и
позволяет изучать отдельно постоянные электрические и магнитные поля.
В отличие от уравнений Максвелла для произвольного электромагнитного
поля, для статического поля система уравнений Максвелла разделяется на две
части: для электростатического (IIа) и для магнитостатического (IIб) [1, 2, 3]:
При решении систем дифференциальных уравнений Максвелла (I), (IIa), (IIб)
или других на границах раздела сред необходимо выполнять граничные условия для
векторов
При введении вспомогательных функций - потенциалов необходимо выполнять
операцию нормирования их.
Например, из первого уравнения системы (IIa) для электростатического поля
следует, что можно положить[3]:
где вспомогательная скалярная функция U называется потенциалом
электростатического поля.
С учетом уравнения связи в изотропной среде имеем:
Подставляя выражение (2) во второе уравнение (IIa) в однородной среде (ε=const), имеем:

где
[2, 3]
Таким образом, потенциал электростатического поля U в однородной среде в
точках, где
, подчиняется дифференциальному уравнению Пуассона (3), а в
точках, где
- дифференциальному уравнению Лапласа [1, 2, 3]:
.
В соответствии с законом Кулона [4,5] напряженность электрического поля
точечного заряда
в однородной среде с диэлектрической
проницаемостью
определяется выражением:
где
- вектор, направленный из точечного заряда
в точку измерения
и по модулю равный расстоянию между
этими точками.
Подставляя (5) в (1) и учитывая центральную симметрию поля, получим
интегрируя дифференциальное уравнение (6), найдем:
,
где С - произвольная постоянная.
Так как источник
ограничен по размерам, используем нулевую нормировку
потенциала на бесконечности, т.е. полагаем:


Подставляя выражение (7) в условие (8), находим:
С=0. (9)
В соответствии с условием (9) имеем из (7) выражение для нормированного
потенциала точечного заряда в однородной среде:
Если имеется система точечных зарядов
(i=1,2,3…,n), то согласно принципу
суперпозиции, потенциал этой системы в какой-то точке пространства определяется
выражением:
,
где
- расстояние от i-го заряда до точки измерения.
2. Задание
Даны два точечных заряда q1 и q2 на расстоянии 2L в однородной среде с
диэлектрической проницаемостью ε = const.
Рисунок 1. Схема расположения зарядов в декартовой системе координат.
Введём декартову систему координат (рис.1) с центром, совпадающим с
центром отрезка 2L. Ось X в плоскости y=0 направим от заряда q1 к заряду q2.,
ось Z - вертикально вверх, ось Y - нормально к плоскости XOZ.
Необходимо выполнить:
. Рассчитать распределение потенциала электрического поля U в точке М,
расположенной на расстоянии Z от оси ОX.
. Рассчитать составляющие напряженности электрического поля Ex, Еγ
и Ez на профиле X при
заданном значении Z.
. Составить таблицы с рассчитанными данными и построить графики U(x),
Ex(x), Ey(x), Ez(x).
. Выполнить анализ полученных графиков и сделать выводы.
.1 Исходные данные
.
- постоянный коэффициент,
учитывающий знаки и величину зарядов;= 1. Это означает, что дано: два
положительных заряда, одинаковых по знаку и величине.
. Z - расстояние от точки М до оси ОХ в метрах;
. 2L - расстояние между зарядами q1 и q2 в метрах.
.2 Вывод
расчётных формул
Источником электрического поля являются точечные заряды. Через поле
осуществляется взаимодействие источников друг с другом. За характеристику поля
принимают силу, с которой оно действует в данной точке на положительный
единичный заряд. Эту характеристику называют напряженностью (Е) поля в данной
точке и определяют по формуле:
,
где:- сила, с которой поле действует на заряд,- заряд.
В соответствии с законом Кулона [4,5] о взаимодействии точечных зарядов в
однородной среде:
Находим потенциал U электрического поля, создаваемого точечным зарядом q
по формуле (10):
,
где:- расстояние от заряда до точки, в которой определяется потенциал,
- диэлектрическая проницаемость.
Если среда однородная, то для системы точечных зарядов справедлив принцип
суперпозиции: потенциал системы точечных зарядов равен сумме потенциалов
каждого заряда и определяется выражением (11)
.
Потенциал для случая двух зарядов i=1,2:
.
И для того, чтобы учитывать только отношение зарядов, путем
арифметических операций получим следующее выражение:
,
где
- вспомогательный относительный потенциал.
Заменив отношение
постоянным коэффициентом k, получаем:
.
Расстояние между зарядами по теореме Пифагора можно представить в виде:
,
,
где
и
расстояние от зарядов
и
соответственно до точки М (см.
рис.1). Таким образом, итоговая формула для вспомогательного относительного
потенциала
электрического поля представлена в виде:
(1)
Для расчета напряженности электрического поля Е необходимо учесть
выражение:
.
Но, так как помимо выполнения конечных расчетов, необходимо построить
графики, то напряженность, так же как и потенциал, будем считать относительной.
Таким образом, относительная напряженность электрического поля
: [1, 2, 3]
.
Вертикальная составляющая
напряженности электрического поля равна:
(2)
Так как электрическое поле симметрично относительно плоскости, при у=0,
и, следовательно, составляющая напряженности электрического поля по оси Y
равна:
Горизонтальная составляющая
напряженности электрического поля
равна:
(3)
Расчеты горизонтальной
и вертикальной
составляющих напряженности
электрического поля, а также потенциала
выполняются с помощью программы MS
Excel и заносятся в таблицу. После получения расчетных данных с помощью Excel
можно приступить к построению графиков распределения
,
и
.
Так как мы взяли при расчетах относительные потенциалы и составляющие
напряженности, то их значения на графиках и в таблицах указываются в условных
единицах (у.е.). Расстояние Х задается приблизительно от -20 м до + 20 м для
построения графиков в удобном масштабе.
3. Решение
задачи
.1 Расчёт для
2L=0,5 м, Z=4 м, k=1
Пример расчетов:
Таблица с рассчитанными данными:
Таблица 1
Рисунок 2. График зависимости относительного потенциала U’ электрического
поля
Рисунок 3. График зависимости горизонтальной составляющей напряженности
поля E’x от координаты х точки измерения
Рисунок 4. График зависимости вертикальной составляющей напряженности
поля E’z от координаты х точки измерения
электрический
поле заряд потенциал
3.2 Расчёт
для 2L=1 м, Z= 4 м, k=1
Пример расчетов:
Таблица с рассчитанными данными:
Таблица 2
Рисунок 5. График зависимости относительного потенциала U’ электрического
поля
Рисунок 6. График зависимости горизонтальной составляющей напряженности
поля E’x от координаты х точки измерения
Рисунок 7. График зависимости вертикальной составляющей напряженности поля
E’z от координаты х точки измерения
3.3 Расчёт для 2L=2 м, Z=4 м, k=1
Пример расчетов:
Таблица с рассчитанными данными:
Таблица 3
Рисунок 8. График зависимости относительного потенциала U’ электрического
поля
Рисунок 9. График зависимости горизонтальной составляющей напряженности
поля E’x от координаты х точки измерения
Рисунок 10. График зависимости вертикальной составляющей напряженности
поля E’z от координаты х точки измерения
3.4 Расчёт
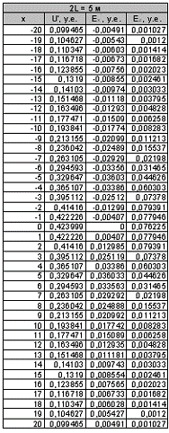
для 2L=5 м, Z= 4 м, k=1
Пример расчетов:
Таблица с рассчитанными данными:
Таблица 4
Рисунок 11. График зависимости относительного потенциала U’
электрического поля
Рисунок 12. График зависимости горизонтальной составляющей напряженности
поля E’x от координаты х точки измерения
Рисунок 13. График зависимости вертикальной составляющей напряженности
поля E’z от координаты х точки измерения
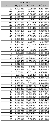
3.5 Расчёт
для 2L=10 м, Z= 4м, k=1
Пример расчетов:
Таблица с рассчитанными данными:
Таблица 6
Рисунок 14 График зависимости относительного потенциала U’ электрического
поля
Рисунок 15. График зависимости горизонтальной составляющей напряженности
поля E’x от координаты х точки измерения
Рисунок 16. График зависимости вертикальной составляющей напряженности
поля E’z от координаты х точки измерения
Заключение
В результате курсовой работы были выполнены расчеты распределения
потенциала и составляющих напряженности электрического поля и построение
графиков
для каждого расстояния 2L (0,5; 1;
2; 5; 10), Z= 4м, k=1.
Проинтерпретировав построенные графики можно сделать следующие
заключения:
Рисунок 17 Совмещенные графики зависимости относительного потенциала U’
электрического поля
На графике потенциалов (U) видно, что при увеличении расстояния между
зарядами, на графике появляются 2 максимума и минимум. Таким образом, можно четко
выделить положение зарядов.
Рисунок 18. Совмещенные графики зависимости вертикальной составляющей
напряженности поля E’z от координаты х точки измерения
Графики вертикальной составляющей напряженности похожи на графики U, но
значения
быстрее стремятся к нулю, чем
значения U. При увеличении расстояния между зарядами, на графике появляются 2
максимума и минимум. Таким образом, можно четко выделить положение зарядов.
Рисунок 19. Совмещенные графики зависимости горизонтальной составляющей
напряженности поля E’x от координаты х точки измерения
На графике горизонтальной составляющей напряженности
, видно влияние зарядов друг на
друга: заряды одноименные, следовательно отталкиваются, чем дальше расположены
заряды тем меньше их влияние друг на друга, вследствие чего и появляется второй
максимум и минимум. Заряды равные по значение это подтверждается тем, что
минимумы и максимумы по модулю равны.
В общем, графики становятся более информативными при увеличении
расстояния между зарядами.
Список используемой литературы
2. Овчинников
И.К. Теория Поля. Учебник для ВУЗов. М.: Недра, 2011, 312 с.
. Путиков
О.Ф. Лекции по теории поля (не опубликовано).
. Савельев
И.В. Курс общей физики. Учебник для ВТУЗов. В 3-х тт. Т.2. Электричество и
магнетизм. Волны. Оптика 10-е изд. СПб.: Издательство "Лань", 2010,
496 с
. Трофимова
Т.И Курс физики. Учебное пособие для ВУЗов. 16-е изд. М.: Издательский центр
"Академия", 2008, 560 с.