Характеристики и расчет подъёмно-транспортных и строительных машин
МИНИСТЕРСТВО ТРАНСПОРТА РОССИЙСКОЙ
ФЕДЕРАЦИИ
ФЕДЕРАЛЬНОЕ АГЕНСТВО ЖЕЛЕЗНОДОРОЖНОГО
ТРАНСПОРТА
ФЕДЕРАЛЬНОЕ ГОСУДАРСТВЕННОЕ БЮДЖЕТНОЕ
ОБРАЗОВАТЕЛЬНОЕ УЧРЕЖДЕНИЕ ВЫСШЕГО ПРОФЕССИОНАЛЬНОГО ОБРАЗОВАНИЯ
«ДАЛЬНЕВОСТОЧНЫЙ ГОСУДАРСТВЕННЫЙ
УНИВЕРСИТЕТ ПУТЕЙ СООБЩЕНИЯ»
Кафедра: «Транспортно-технологические
комплексы»
Контрольная работа
по дисциплине: «Конструкции
подъёмно-транспортных, строительных, дорожных средств и оборудования»
Выполнил: Скоркин Д.В.
Студент 4 курса ИИФО
Шифр: К11-НТС(С)ПМ-602
Хабаровск 2014 г.
1. Теоретическая часть
.1 Как устроены винтовые, реечные, гидравлические домкраты? Какова
область их применения?
Домкрат - это устройство для поднятия различных грузов. Принципиальным
отличием домкрата от других подъемных механизмов (лебедок, кранов и т.д.)
является то обстоятельство, что домкрат располагается снизу, а не сверху
поднимаемого груза, что позволяет обойтись без различных вспомогательных
сооружений, цепей и канатов.
· Винтовые домкраты
Винтовые домкраты используют для ремонтных работ,
когда необходимо установить груз как сверху на вращающейся пяте, так и снизу на
лапе. Обычно это штатные домкраты для различных видов автомобилей.
Грузоподъемность - до 15 т.
Устройство состоит из цилиндрического основания и
помещенного внутри него одного или двух подъемных винтов, выдвигающихся или
задвигающихся в зависимости от направления вращения специальной зубчатой гайки
с трапецеидальной резьбой.
Винтовой домкрат в большинстве случаев надежен в
эксплуатации. Это обусловлено тем, что груз фиксирует трапецеидальная резьба и
при его подъеме гайка вращается вхолостую. Кроме того, к достоинствам этих
инструментов относится прочность и устойчивость, а также то, что они могут
работать без дополнительных подставок. Комбинированные рычажно-винтовые домкраты,
имеют такие достоинства, как низкая цена, большая высота подъема, малые
габариты и незначительный вес, уравновешивают некоторые недостатки инструмента
(плохая устойчивость и неудобная приводная рукоятка).
· Реечные домкраты
Реечные домкраты широко используют при выполнении
ремонтных, монтажно-демонтажных, строительных и других работ.
Они бывают рычажные и зубчатые.
Приспособления первого типа снабжены качающимся
приводным рычагом, который и выдвигает рейку.
В зубчатых домкратах вместо приводного рычага
установлена шестеренка, она вращается с помощью приводной рукоятки. Для
удержания груза в нужном положении на оси одной из шестеренок предусмотрен
храповик с "собачкой". И в том и в другом типе домкрата основной
деталью служит грузонесущая рейка с опорной чашкой, груз на которой
удерживается с помощью стопорных устройств. Нижний конец рейки отогнут под
углом 90о, что позволяет поднимать грузы с низко размещенной опорной
поверхностью.
Важная особенность реечного домкрата - низкое
расположение подъемной площадки. В некоторых моделях расстояние от нее до пола
составляет 90 мм
Реечные домкраты имеют одно-, двух- или
трехступенчатую передачу - для подъема грузов весом до 6 т, от 6 до 15 т и
свыше 15 т соответственно. Названные устройства функционируют как в вертикальном,
так и в горизонтальном положении.
Эти приспособления просты и удобны в обслуживании,
ремонтопригодность их высокая, грузоподъемность составляет от 2 до 20 т.
· Гидравлические домкраты
Гидравлические домкраты, как следует из названия, работают на жидкости.
Принцип их действия основан на перемещении поршня (плунжер) домкрата с помощью
создающего давление рабочей жидкости (гидравлическое масло) приводного насоса,
за счет чего и происходит подъем груза. Опускается груз при перекачивании
жидкости из стакана в резервуар насоса.
Гидравлические домкраты отличают:
. Большая грузоподъемность в сочетании с небольшим рабочим усилием за
счет высокого передаточного отношения между площадями поперечного сечения
цилиндра и плунжера насоса;
. Высокий КПД, плавность хода, жесткость и компактность конструкции.
Однако начальная высота подъема у них гораздо выше, чем у механических
домкратов. Еще одна трудность - невозможно точно отрегулировать высоту
опускания. Кроме того, у названных инструментов могут произойти значительно
более серьезные поломки, чем у механических подъемных устройств.
Грузоподъемность гидравлических домкратов колеблется в пределах от 2 до
200 т.
Вариаций упомянутых устройств множество - это и классические бутылочные
(одноштоковые и телескопические), и подкатные, и специальные домкраты -
ромбовые, двухуровневые и зацепные.
Гидравлический одноштоковый домкрат бутылочного типа отличает простота
конструкции и удобство эксплуатации, что расширяет область его применения и
позволяет эффективно выполнять работы любой сложности.
Его активно используют для монтажа и демонтажа в любой отрасли
(машиностроение, строительство и т. д.), он пригоден для ремонта автомобилей,
колесных пар железнодорожных вагонов, а также в качестве силового узла прессов,
трубогибов, труборезов и другого подобного инструмента. Следует помнить, что
для предотвращения вытекания рабочей жидкости из резервуара транспортировать и
хранить бутылочный домкрат надо в вертикальном положении. Конструкция домкрата
гидравлического двухштокового (телескопический) схожа с конструкцией
одноштокового устройства, ее отличает только наличие телескопического штока.
Такая особенность позволяет поднимать груз на большую высоту, в сравнении с
классическим домкратом бутылочного типа.
1.2 Как влияют вид и характеристики транспортируемых грузов на выбор вида
транспортирующей машины?
Одними из основных критериев правильного выбора и надежной эксплуатации
транспортных машин являются вид транспортируемого груза и его характеристика.
Основными критериями для выбора типа транспортирующей машины являются
технико-экономическая эффективность ее использования, обеспечение надежности ее
работы в заданных условиях, удовлетворение комплексу технических требований,
охраны труда и техники безопасности.
Технические факторы выбора транспортирующей машины:
характеристика перемещаемого груза;
заданная производительность;
способы загрузки и разгрузки;
характеристика производственных процессов, сочетаемых с процессом
транспортирования; производственные и климатические условия.
Основными физико-механическими свойствами транспортируемых материалов,
влияющими на рабочий процесс транспортирующей машины, являются:
· Характеристика транспортируемых грузов
Насыпные грузы (транспортируемые машинами непрерывного действия) - это
массовые навалочные кусковые, зернистые, порошкообразные и пылевидные
материалы, хранимые и перемещаемые навалом (руда, уголь, торф, щебень, зерно,
песок, цемент).
Свойства насыпных грузов:
кусковатость (размер и форма частиц);
плотность;
влажность;
угол естественного откоса;
подвижность частиц;
абразивность;
крепость;
коррозионность;
липкость;
ядовитость;
взрывоопасность;
способность самовозгораться, слеживаться, смерзаться.
Кусковатость (гранулометрический состав) - это количественное
распределение частиц груза по крупности. Однородность размеров частиц насыпного
груза определяется коэффициентом k0:
k0 = amax / amin,
где amin - размер максимальной частицы
транспортируемого груза, мм;
amax- размер минимальной частицы транспортируемого груза, мм.
При k0 > 2,5 - груз рядовой, при k0 ≤2,5 - груз сортированный.
Насыпные грузы характеризуются размером типичного куска а (рис.1). Для
сортированных грузов а = (amin + amax)/2, для рядовых а = amax.
В зависимости от размеров частиц amax насыпной груз подразделяется на следующие
группы:
пылевидный (цемент): до 0,05 мм
порошкообразный (мелкий песок): 0,05-0,49 мм
зернистый (зерно): 0,5-9 мм
мелкокусковой (щебень): 10-60 мм
среднекусковой (уголь): 61-199 мм
крупнокусковой (руда): 200-500 мм
особо крупнокусковой (камни, валуны): более 500 мм
Плотность груза - это отношение его массы к занимаемому объему. Различают
плотность груза свободно насыпанного (разрыхленного); механически уплотненного;
в естественном плотном массиве.
Рис. 1. Расчетный размер частиц насыпного груза
Коэффициент разрыхления
где ρП
- плотность в массиве;
ρ - плотность в разрыхленном
состоянии.
В зависимости от плотности грузы разделяют на группы (табл. 1).
Влажность насыпного груза ωв (%) - это отношение массы содержащейся в грузе воды к
массе высушенного груза:
где mв и mв - массы порций влажного и
просушенного грузов.
Таблица 1. Распределение насыпных грузов по плотности
|
Группы грузов
|
Плотность ρ, т/м3
|
|
Легкие (торф, кокс, мука, древесные опилки)
|
До 0,6
|
|
Средние (зерно, каменный уголь, шлак)
|
0,6-1,6
|
|
Тяжелые (порода, гравий, щебень, песок)
|
1,6-2,0
|
|
Особо тяжелые (руда, камень)
|
2,0-4,0
|
Угол естественного откоса груза φ0 - это угол между образующей конуса из свободно
насыпанного груза и горизонтальной плоскостью. Различают углы естественного
откоса груза в покое φ0 и в движении φ (рис. 2), φ≈0,35φ0.
а)
б)
Рис. 2. Расположение насыпного груза: а - в покое; б - в движении
Подвижностью частиц груза (табл. 2) определяется площадь сечения груза на
движущейся опорной плоскости (лента или настил конвейера).
Таблица 2. Группы подвижности частиц грузов
|
Подвижность частиц груза
|
Насыпные грузы
|
Угол естественного откоса груза в покое φ0, град
|
Расчетный угол естественного откоса груза в движении φ, град
|
|
Легкая
|
Апатит, сухой песок, сухая галька, пылеуголь
|
30-35
|
10
|
|
Средняя
|
Влажный песок, формовочная земля, каменный уголь, камень,
щебень, торф
|
40-45
|
15
|
|
Малая
|
Сырая глина, гашеная известь
|
50-56
|
20
|
Абразивность - это свойство частиц насыпного груза изнашивать
соприкасающиеся с ним во время движения рабочие поверхности. По степени
абразивности насыпные грузы делятся на группы:
А - неабразивные;
В - малоабразивные;
С - средней абразивности;
D -
высокой абразивности.
Крепость (крепкость) груза характеризуется коэффициентом крепости:
где σсж - предел прочности образца груза при сжатии (МПа).
Слеживаемость - способность насыпного груза (глина, соль, цемент) терять
подвижность при длительном хранении.
Липкость - способность насыпного груза (глина, мел) прилипать к твердым
телам (особенно во влажном состоянии).
Штучные грузы классифицируют на непосредственно штучные (единичные
изделия, детали, узлы машин) и тарные (ящики, бочки, мешки, контейнеры).
Штучные грузы характеризуются габаритными размерами, формой, массой
одного изделия, хрупкостью, температурой и др.
· Объемная масса - масса единицы объема материала при: насыпке
(укладке) его без уплотнения.
При сопоставлении машин разных типов с целью выявления более экономичных
конструкций учитывают удельные показатели их веса и мощности, а также
экономическую эффективность машины.
Последняя определяется стоимостью транспортирования единицы материала и
зависит от ряда факторов:
стоимости машины,
срока ее амортизации,
объема и стоимости ремонтов,
численности и квалификации обслуживающего персонала и др.
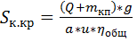
.3 Как определяется сопротивление передвижению и производительности
скрепера?
Эксплуатационная производительность скреперов (м3/ч) определяют
как
, (1)
где
- вместимость ковша скрепера, м3;
-
коэффициент его наполнения (
), при
чем меньшие значения для сухих песков, а большие для супесей и суглинков с влажностью
4…6%);
- коэффициент использования скрепера во времени (
);
-
продолжительность рабочего цикла, с;
- коэффициент
разрыхления грунта в ковше скрепера
Продолжительность
рабочего цикла определяют суммой:
, (2),
где
и
- длины
участков соответственно набора грунта (заполнение ковша), транспортировки
грунта, разгрузки ковша и порожнего хода скрепера, м;
и
- скорости скрепера соответственно при заполнении
ковша, транспортировке грунта, разгрузке и порожнем ходе, м/с;
- время
на переключение передач тягача, с;
-
продолжительность одного поворота, с (в среднем 12...15 с);
- число
поворотов за рабочий цикл.
Подбор
тягача производят по максимальному сопротивлению движению скрепера.
При
загрузке скрепера одним тягачом без трактора-толкача
(где
-
тяговое усилие тягача скрепера, кН);
при
загрузке с помощью толкача
(где
- тяговое усилие толкача, кН).
Полное
сопротивление движению скрепера при загрузке (кН):
, (3)
где
F1 - сопротивление движению скрепера, кН:
, (4)
где
Qc - вес скрепера, кН; Qгр - вес грунта в ковше, кН:
, (5)
где
f - коэффициент сопротивления качению колес скрепера по грунту (
- для плотных грунтов;
-для
разрыхленных грунтов;
- для сыпучих песков);
- уклон
пути;
- угол наклона пути движения скрепера к горизонту,
град, знак "+" принимается при работе на подъем; "-" - при
работе на уклон.2 - сопротивление грунта резанию, кН:
, (6)
p - удельное сопротивление
грунта резанию кПа ;и h - ширина и толщина срезаемого слоя грунта, м.3 -
сопротивление движению призмы волочения впереди ковша скрепера, кН:
, (7)
где
y - отношение высоты призмы волочения к высоте грунта в ковше (см. табл. 17); Н
- высота слоя грунта в ковше, м. Ориентировочно Н=0.6b;r - плотность грунта,
т/м3 ; g - ускорение свободного падения (g=9.81 м/с2); m
- коэффициент трения грунта по грунту .
Таблица
3 Значение удельных сопротивлений грунта резанию Кр
|
Наименование грунта
|
Категория грунта
|
Плотность грунта, т/м3
|
Скрепер
|
|
Песок рыхлый сухой
|
I
|
1.2 - 1.6
|
20 - 40
|
|
Песок влажный, супесь, суглинок разрыхленный
|
I
|
1.4 - 1.7
|
50 -100
|
|
Суглинок средний и мелкий гравий, легкая глина
|
II
|
1.5 - 1.8
|
90 - 180
|
|
Глина, плотный суглинок
|
III
|
1.6 - 1.9
|
160 - 300
|
|
Тяжелая глина, сланцы, суглинок со щебнем и гравием
|
IV
|
1.9 - 2.0
|
300 - 400
|
.4 Как осуществляется гидромеханическая разработка грунтов? Какое
оборудование применяется?
Гидромеханический метод разработки грунта основан на использовании
кинетической энергии потока воды. С ее помощью происходят разработка,
транспортировка и укладка грунта. Применение этого метода целесообразно при
больших объемах работ, устройстве насыпей с минимальной осадкой и, конечно, при
наличии достаточных электро - и водных ресурсов.
Гидромеханический метод разработки грунта включает: размыв грунта в забое
и перевод его в полужидкую массу (пульпу), транспортировку и укладку (намыв)
пульпы в сооружение или отвал.
Разработку грунта можно вести в надводных и подводных забоях.
· Надводные забои
В надводных забоях сухой грунт размывают гидромониторным способом.
Гидромонитор - основное технологическое средство данного способа разработки
грунта. Он представляет собой стальной ствол с насадкой и шарнирными
сочленениями, обеспечивающими вращение ствола в вертикальной и горизонтальной
плоскостях. Вода поступает по трубопроводу под значительным напором, создавая
удельное давление на фронт забоя 0,5-4,3 МПа. В результате ударного действия
струи грунт разрушается и образуется пульпа.
В зависимости от рода грунта и высоты забоя расход воды на 1 м3 разрабатываемого
грунта составляет 3-15 м3.
Можно разрабатывать грунт встречным забоем, когда гидромонитор
располагается на подошве забоя и размыв ведут снизу вверх, или попутным забоем
- с расположением гидромонитора над фронтом забоя и размывом грунта сверху
вниз. В первом случае обеспечивается высокая производительность гидромонитора
за счет периодических обвалов грунта, нависающего над зоной подмыва. Эффект
достигается при применении для отбойки грунта высоконапорной воды или
взрывчатых веществ. Поскольку гидромонитор может оказаться среди потоков
пульпы, их следует направлять мимо гидромонитора.
При попутных забоях производительность гидромонитора ниже, но
перемещается он по сухому грунту. Поток пульпы, получая от водяной струи
достаточную начальную скорость, обеспечивает интенсивный сток.
При благоприятном рельефе местности размытый гидромонитором грунт по
трубопроводу или лоткам самотеком направляется к месту образования насыпи. В
иных случаях пульпа вначале поступает по канавам в зумпф или приемный колодец,
а затем по напорному трубопроводу перекачивается землесосом в насыпь. Землесос
состоит из грунтового насоса большой мощности, который может пропускать камни
диаметром до 400 мм. Производительность землесосов составляет 400-1200 м3пульпы
в час при напоре 20-80 МПа.
Пульпопроводы состоят из стальных труб, соединяемых между собой
быстроразъемными соединениями с резиновыми манжетами.
· Подводные забои
В подводных забоях грунт разрабатывают землесосным способом, при котором
грунт всасывается землесосным снарядом и перекачивается к месту укладки в виде
пульпы.
Со дна водоема грунт всасывается при помощи всасывающей трубы землесоса,
подвешенной к специальной стреле. Стрела соединена с мачтой, установленной на
барже.
При разработке плотных грунтов всасывающую трубу снабжают специальной
вращающейся рыхлительной головкой или вибрационным рыхлителем. Земснаряд
соединяют с магистральным пульпопроводом, проложенным по берегу, при помощи
плавучего пульпопровода, смонтированного на плашкоутах, что позволяет ему
передвигаться по забою вслед за движением земснаряда.
Разработка начинается с заглубления всасывающей трубы, на глубину
снимаемого за одну проходку слоя. Затем воронку расширяют путем периодического
отвода земснаряда назад и в сторону, следя за тем, чтобы при этом не
прекратился контакт всасывающей части с грунтом.
Намыв грунта происходит в результате оседания частиц грунта из пульпы,
когда скорость движения ее становится ниже критической. Возводимую насыпь
разбивают в плане на захватки, на которых поочередно выполняют намыв грунта и
подготовительные работы к намыву следующего слоя. По контуру очередной захватки
бульдозером возводят земляной вал на высоту намываемого слоя пульты и
наращивают установленный ранее в пределах захватки водосбросный колодец с
выпускаемой трубой.
Когда магистральный пульпопровод на участке намыва размещают на эстакаде,
превышающей по высоте возводимую насыпь, и выдают из него пульпу поочередно на
захватки (карты) намыва, мы имеем дело с эстакадным способом подачи пульпы. При
безэстакадном способе магистральный пульпопровод укладывают вдоль основания возводимой
насыпи. Через каждые 20-30 м на трубопроводе устанавливают специальные
выпускные патрубки, через которые пульпа поступает на карту намыва. В первом
случае возведение эстакады представляет собой относительно дорогую и трудоемкую
работу, зато в дальнейшем дополнительные работы сводятся к минимуму, а процесс
намыва значительно ускоряется. При втором способе стоимость и трудоемкость
начальной проходки трубопровода незначительны, но в дальнейшем приходится
периодически наращивать и перемонтировать выпускные патрубки, что задерживает
процесс намыва.
Возведение насыпей методом намыва обеспечивает значительную плотность
грунта, поэтому прибегать к искусственному уплотнению грунта не надо. На
последующую усадку насыпи придают небольшой запас высоты: 1,5% при суглинистых
и супесчаных грунтах и 0,75% при песчаных.
Рис. 3 Схемы способов гидромеханической разработки грунта а -
гидромониторный; б - землесосный; в - комбинированный; 1 - гид нитор; 2 -зумпф;
3 - грунтовый насос; 4 - пульпопровод; 5 - обвал 6 - напорный водопровод; 7 -
фрезернозасасывающая головка; 8 - по 9-поплавки; 10 - экскаватор одноковшовый;
11 - бункер
Гидромеханическая разработка грунта, его перемещение и укладка
осуществляются тремя способами:
гидромониторным ;
землесосным;
комбинированным.
Преимуществом гидромеханизации являются непрерывность процесса,
позволяющая автоматизировать его, невысокая стоимость, простота и высокая
производительность оборудования, а также возможность обеспечить качественную укладку
грунта в сооружения.
При гидромониторном способе сухой грунт в забое размывают мощной водяной
струей, выбрасываемой из гидромонитора, под воздействием которой образуется
гидромасса - пульпа.
Для разработки грунтов часто используют гидромониторные установки
(гидромонитор, насос и землесос).
Гидромонитор состоит из стального ствола с насадкой, фасонных патрубков
(нижнего и верхнего колен) и рукоятки управления. Ствол шарнирно соединен с
верхним коленом. Вода под большим давлением, создаваемым специальной
нагнетательной насосной станцией, подается по трубопроводу в ствол через нижнее
колено, а затем с большой скоростью струи (20-50 м/дек), зависящей от напора и
диаметра насадки, выбрасывается в необходимом направлении. Ствол гидромонитора
может вращаться в горизонтальной и вертикальной плоскостях. Насадки применяют
сменные диаметром 50-200 мм (в зависимости от необходимой скорости струи).
Гидромониторы монтируются на салазках и самоходных установках. На размыв и
транспортирование 1 м3 полужирных глин расходуется 14-10 м3 воды,
мелкозернистых песков и легких супесей - 6-4 м3, крупнозернистых песков и
суглинков - 9-7 м3 (первые цифры - при высоте забоя 3-5 м, вторые - более 15
м). Производительность гидромонитора по расходу воды достигает 5000 м31ч при
напоре 110 м вод. ст. и диаметре насадки 200 мм.
Гидромониторами можно размывать грунт снизу с обрушением грунта подрубом
или сверху. Первый способ - наиболее эффективный- состоит в том, что
гидромонитор устанавливают у подошвы забоя, а струю направляют к подошве . его
откоса, в результате чего в вышележащем слое нарушается связь между частицами и
грунт обрушивается, превращаясь под воздействием воды в пульпу. Недостаток
этого способа заключается в необходимости направлять пульпу в обход
гидромонитора. Эффективность размыва глинистого грунта можно повысить, применяя
метод В. И. Карцева: в толщу забоя вводят низконапорную воду через вертикальные
трубы.
Землесосный способ выполняется посредством разработки, всасывания и
транспортирования по трубам разжиженного грунта из-под воды. Способ нашел
применение при устройстве каналов, намывке дамб, плотин, насыпей, планировке
территорий, устройстве морских и речных сооружений.
Гидромеханическая
разработка грунта - наиболее удобный и экономичный способ, при нем отпадает
необходимость в строительстве автомобильных дорог, железнодорожных путей, и в
транспортных средствах для перевозки грунта. Увлажнение, разравнивание и
уплотнение грунта
<#"806767.files/image037.gif">
Рис.4: Кинематическая схема лебёдки: 1 - электродвигатель; 2 - упругая
втулочно-пальцевая муфта с тормозным шкивом; 3 - автоматический постоянно
замкнутый двухколодочный тормоз; 4 - цилиндрический двухступенчатый зубчатый
редуктор; 5 - барабан; 6 - зубчатая муфта: 7 - выносная подшипниковая опора.
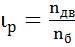
.2 Выбираем схему канатного полиспаста в соответствии с вариантом
задания (рис. 5) и определяем его кратность
Рисунок 5 - Схемы канатных механизмов: 1 - барабан; 2 - стальной канат; 3
- система блоков, образующая полиспаст; 4 - грузозахватное устройство.
Определяем кратность полиспаста:

(8),
где
ка - число ветвей каната, на которых подвешена крюковая подвеска или
грузозахватное устройство;
а
- число ветвей каната, наматываемых на барабан, для схем, приведенных на рис.5,
а = 1.
1.3
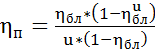
Определяем КПД полиспаста

(9)
Общий
КПД канатно-блочной системы:

(10)
где
коэффициент полезного действия полиспаста;

- коэффициент
полезного действия одного блока (
);

количество
обводных блоков.
Для
башенных кранов количество обводных блоков можно принять равным 3. Для
большинства стреловых кранов обводные блоки в канатных механизмах отсутствуют.
1.4 Осуществляем подбор стального каната.
В грузоподъемных машинах применяют преимущественно канаты двойной свивки
типа ЛК с шестью прядями в поперечном сечении и числом проволок в каждой пряди
19...37. Такие канаты маркируются следующим образом: ЛК 6х19+1о.с
(стальной канат с линейным касанием проволок, имеющий шесть прядей, в каждой из
которых находятся 19 проволок, и один органический сердечник).
Стальной канат подбираем по допускаемому разрывному усилию, Н

(11)
где

допускаемое
разрывное усилие в канате, Н;

минимальное
значение коэффициента запаса прочности каната на разрыв, зависящего от режима
работы механизма, определяется по таблице 4;

максимальное
рабочее усилие в канате, Н.
Таблица
5 - Коэффициенты запаса прочности
|
Группа классификации механизма по ИСО 4301/1
|
М4
|
|
Значение коэффициента запаса прочности для подвижных
канатов
|
4.00
|
Максимальное рабочее усилие в канате, Н, навиваемом на барабан при
подъеме груза краном,

(12)
Здесь
О - масса поднимаемого груза, кг;

масса
крюковой подвески, кг; 
Q; (13)
g - ускорение
свободного падения, м/с2.
Тогда,

Н
Необходимый
диаметр каната и все его данные на основании расчетного разрывного усилия
каната двойной свивки типа ЛК-Р определяются по ГОСТ 2688-80 , выборочные
данные из которого приведены в таблице 5.
Таблица
6 - Диаметры канатов и их основные параметры
|
Диаметр каната, мм
|
Масса 1м каната, кг
|
Маркировочная группа (временное сопротивление проволок
разрыву, МПа)
|
|
|
|
1568
|
|
|
|
|
Разрывное усилие, Н
|
|
8,3
|
0,256
|
_
|
34800
|
|
|
Условное обозначение выбранного стального каната:
d-Г-1-Н-1568
ГОСТ 2688-80.
,3-Г-1-Н-1568
где d - диаметр каната, мм;
Г - канат предназначен для подъема грузов;- обозначение марки стали проволоки
для грузовых канатов;
Н - канат нераскручивающийся правой свивки прядей;
-маркировочная группа (временное сопротивление разрыву одной проволоки
каната), МПа, по которой взяты диаметр каната и разрывное усилие.
Барабаны лебедок грузоподъемных машин выполняются сварными или литыми. Их
поверхность может быть гладкой или с канавками (нарезной) для укладки каната.
Нарезные барабаны используются для укладки каната в один слой. Размеры профиля
канавок нарезного барабана зависят от параметров каната. Гладкие барабаны
применяются для укладки каната в несколько слоев. Нарезные барабаны, в отличие
от гладких, позволяют обеспечить равномерную укладку каната на барабан без
применения специальных канатоукладочных устройств.
.5 Определяем число слоев укладки каната на барабан ориентировочно
можно определить по рекомендациям, указанным в таблице 6.
Таблица 7 - Число слоев укладки на барабан
|
Длина каната, наматываемого на барабан (LK), м
|
Число слоев укладки (m)
|
|
до 50
|
1
|
Длина каната, наматываемого на барабан, м,

(14),
где
Н-высота подъема груза, м.
.6
Диаметр барабана, мм,

(15)
где

-
коэффициент выбора диаметра ( в таблице 7); d-диаметр
каната, мм.
Таблица 8 - Коэффициент выбора диаметра
|
Группа классификации механизма по ИСО 4301/1
|
М4
|
|
Значение коэффициента выбора диаметра
|
16,0
|
Принимается равным 320 мм.
1.7 Количество рабочих витков в одном слое навивки.

(16)
где

-
коэффициент неплотности навивки каната (для гладких барабанов 
=
0,9...0,95)
Общее
число витков

(17)
Где

число
запасных витков, от 1,5 до 2;

-число
витков каната, находящихся под зажимным устройством, для нарезных барабанов 
составляет
от 3 до 4 витков, для гладких равно нулю.
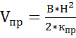
1.8 Определяем основные конструктивные размеры барабана.
· Длина гладкого барабана, мм вычисляется:

(18)

мм
· Гладкие барабаны выполняются с ребордами, диаметр которых
равен:

(19)
1.9 Определение мощности двигателя
Необходимая
мощность двигателя определяется по максимальному рабочему усилию в канате 
,
скорости навивки каната на барабан 
и
коэффициенту полезного действия механизма 
(принимается
= 0,85)
· Скорость навивки каната на барабан, м/с,

(20)
где

скорость
подъёма груза, равная 0,60 м/с,
· Необходимая мощность двигателя, кВт,

(21)
Электродвигатель
выбираем с учетом основных технических характеристик по таблице 8 в
соответствии с расчетной мощностью.
Таблица
9 - Основные технические характеристики электродвигателей
|
Марка двигателя
|
Мощность при ПВ, кВт 15 %
|
Частота вращения, мин-1
|
Масса, кг
|
|
|
14
|
930
|
|
|
МТН 311-6
|
|
|
170
|
.10 Передаточное число редуктора определяется следующим образом:

(22)
где

-
частота вращения вала электродвигателя, мин-1;

-
частота вращения барабана, мин-1.
Частота
вращения барабана определяется по среднему диаметру навивки каната, об/мин,

(23)

Подбор
редуктора осуществляется по требуемому передаточному числу 
редуктора,
частоте вращения вала электродвигателя 
, режиму
работы и мощности на быстроходном валу редуктора,
При
выборе редукторов для механизмов подъема значение мощности на быстроходном валу
редуктора, кВт, определяется:

(24)
где

-
номинальное значение мощности двигателя, выбранного по каталогу;
k- коэффициент
нагрузки, значения в зависимости от режима работы составляют: k =
1,5 при Л;

кВт,
Выбирается редуктор Ц2-250.
Основные конструктивные и рабочие параметры лебедки, полученные в
результате расчета, сводим в таблицу 9
Таблица 10 - Основные конструктивные и рабочие параметры лебедки
|
Параметры
|
Ед. изм.
|
Численное значение
|
|
Расчетная длина каната, наматываемого на барабан Диаметр
каната
|
м мм
|
45 8,3
|
|
Марка каната
|
8,3-Г-1-Н-1568
|
|
Размер барабана диаметр длина
|
мм мм
|
320 622
|
|
Электродвигатель тип мощность частота вращения ротора
|
кВт мин-1
|
МТН 311-6 14,2 930
|
|
Редуктор тип, марка передаточное число передаваемая
мощность
|
кВт
|
Ц2-250 8,57 21
|
Задача 2. Определение производительности башенного крана
Определить требуемую высоту подъема крюка; подобрать марку башенного
крана; определить продолжительность рабочего цикла без совмещения и при
совмещении операций; определить сменную производительность крана; определить
эффективность совмещения операций.
Таблица 11 Исходные данные
|
Масса поднимаемого груза, т
|
 м м , мПродолжительность ручных операций, мин
|
Угол поворота крана, град
|
Длина пути передвижения крана, м
|
|
|
|
|
|
|
|
|
|
|
|
|
|
2,70
|
18
|
3,80
|
4,0
|
1,5
|
8,5
|
0,6
|
35
|
15
|
.1 Высота подъема крюка, м,

(25)
где
Н- высота подъема крюка над землей, м; 
-
заданная высота уровня монтажа, м; 
- высота
подъема груза над уровнем монтажа, м ( 
= 2,5
... 3,0); 
- высота
конструкции, м; 
- длина
съемного грузозахватного приспособления, м.

м,
По
высоте подъема Н и массе поднимаемого груза 
выбираем
кран (таблица 10)
Табл.
12
|
Показатель
|
КБ-308А
|
|
Грузоподъемность, т
|
3,2...8
|
|
Вылет, м
|
4,5...
25
|
|
Вылет при макси-
|
|
|
мальной грузоподъ-
|
|
|
емности. м
|
4,5
|
|
Максимальный гру-
|
|
|
зовой момент. кН • м
|
1000
|
|
Высота подъема, м
|
32,5
|
|
Скорость, м/мин. подъема и опускания
|
24
|
|
посадки
|
2,5
|
|
передвижения грузовой тележки
|
18,5
27,2
|
|
Частота
|
|
|
вращения, мин -1
|
0,77
|
|
Масса крана, т общая
|
84
|
|
конструктивная
|
38
|
При правильном выборе крана должны выполняться следующие условия:

и 
(26)
где

высота
подъема груза, м, для выбранной модели крана,

грузоподъемность
крана, т.
Выбирается
кран КБ-308А ,т.к.
1.2 Продолжительность цикла при работе крана без совмещения операций,
с,

(27)
где,

время,
затрачиваемое на строповку груза, с;

время,
затрачиваемое на подъем груза до нужного уровня монтажа,с;

время,
затрачиваемое на поворот стрелы крана на заданный угол, с;

время,
затрачиваемое на перемещение крана по крановым путям, с;

время,
затрачиваемое на опускание груза до уровня монтажа, с;

время,
затрачиваемое на монтаж конструкции и ее крепления, с;

время,
затрачиваемое на расстроповку конструкции после монтажа, с;

время,
затрачиваемое на подъем груза с грузозахватным приспособлением над уровнем
монтажа, с;

время,
затрачиваемое на обратное перемещение крана по крановым путям, с;

время,
затрачиваемое на поворот стрелы крана в исходное положение, с;

время,
затрачиваемое на опускание груза с грузозахватным приспособлением в исходное
положение, с.
Продолжительность
ручных операций 
, 
и 
нормируется,
в нашем случае значения этих величин заданы.
Продолжительность
остальных операций вычисляется приближенно, при постоянстве скоростей рабочих
операций крана, т. е. в установившемся режиме работы, не учитывая периодов
разгона и торможения.
· Время, затрачиваемое на подъем груза до нужного уровня при
монтаже, с,

(28)
где

скорость
подъема крюка, м/мин (таблица 10),
· Время, затрачиваемое на поворот стрелы крана на заданный
угол, с,

(29)
где

заданный
угол поворота крана, град; 
частота
вращения поворотной части крана, мин-1.(табл.10)
· Время, затрачиваемое на перемещение крана по крановым путям,
с,

(30)
где

длина
пути передвижения крана, м;

скорость
передвижения крана, м/мин.(табл.10)
· Время на опускание груза до уровня монтажа, с,

(31)
где

скорость
посадки груза, м/мин.(табл.10)

с
· Время, затрачиваемое на подъем груза с грузозахватным
приспособлением над уровнем монтажа, с,

(32)
Продолжительность
операций поворота стрелы, перемещения крана и опускания крюка в исходное
положение.
Как
правило, 
Тогда,
1.3 Определение продолжительность цикла при работе крана с совмещением
операций.
При работе крана с целью увеличения производительности некоторые операции
можно совместить. В соответствии с нормативными документами разрешается
совмещать не более двух операций. При этом одновременно выполняются две
операции, в результате чего длительность цикла сокращается на величину, равную
продолжительности более короткой из двух совместно выполняемых операций, так
как более короткая операция выполняется за время осуществления более длинной по
продолжительности операции.
Учитывая необходимость выполнения требований безопасности при
производстве работ башенным краном, следует рассмотреть следующие варианты
совмещения операций:
· подъем груза
и поворот стрелы крана (время 
и 
)
· поворот
стрелы крана и перемещение крана по крановым путям (время 
и 
)
· подъем груза
и перемещение крана по крановым путям (время 
и 
)
Наибольшая эффективность будет достигаться в случае максимального
сокращения продолжительности цикла. Аналогично рассматриваются варианты
совмещения операций в процессе возврата крюка в исходное положение:
· опускание
крюка и поворот стрелы крана (время 
и 
)
· поворот
стрелы крана и перемещение крана по крановым путям (время 
и 
)
· опускание
крюка и перемещение крана по крановым путям (время 
и 
)
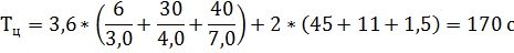
Определение значения продолжительности цикла

(33)

=906 c
1.4 Сменная эксплуатационная производительность крана при проведении
работ без совмещения операций, т/смен,

(34)
где
Q- масса поднимаемого груза, т;

коэффициент
использования крана по грузоподъемности ( 0,8);

коэффициент
эксплуатационных потерь времени, связанных с техническим обслуживанием и
плановыми ремонтами крана ( 0,75.. 0,82);

продолжительность
рабочей смены, ч ( 8 ч).
1.5 Сменная эксплуатационная производительность крана при проведении
работ с совмещением операций, т/смен,

(35)
1.6 Эффективность совмещения операций при работе крана характеризуется
повышением производительности крана при выполнении работ:

(36)

1,66 %
Результаты
проведенных расчетов заносятся в таблица 11.
Таблица 13 - Результаты расчетов
|
№
|
Параметр
|
Значение
|
|
1
|
Расчетная высота подъема крюка, м
|
28,5
|
|
2
|
Марка и основные технические характеристики выбранного
башенного крана: - модель башенного крана - максимальный грузовой момент,
т-м - максимальная грузоподъемность, т - максимальная высота подъема крюка, м
- максимальный вылет, м - скорости рабочих движений подъема и опускания посадки
передвижения грузовой тележки
|
КБ-308А 1000 8 32,5 25 24 2,5 18,5 27,2
|
|
3
|
Продолжительность цикла при работе крана -без совмещения
операций, с -с совмещением операций, с
|
921 906
|
|
4
|
Эксплуатационная производительность крана -без совмещения
операций, т/смен -с совмещением операций, т/смен
|
53,35 54,24
|
|
5
|
Совмещаемые операции Эффективность совмещения операций. %
|
1,66
|
Задача 3. Тяговый расчет и определение производительности бульдозера.
Записать условия движения бульдозера без буксования, рассчитать силу
тяги, развиваемую двигателем трактора, определить силу тяги по сцеплению,
определить величины сопротивлений при резании и транспортировании грунта
бульдозером, оснащенным неповоротным отвалом с учетом уклона местности,
проверить выполнение условий движения и определить эксплуатационную сменную
производительность бульдозера.
Исходные данные для расчета приведены в таблице 14.
Таблица 14
|
Грунт
|
Базовая машина
|
Ширина отвала, м
|
Высота отвала, м
|
Глубина резания, мм
|
Уклон местности ,рад
|
Масса бульдозера, кг
|
Прим.
|
|
Супесь
|
ДТ-75Н
|
2,52
|
0,80
|
15
|
+ 0,04
|
7080
|
 = 6
м  = 30м  = 40 м  =
5мм
|
Проверяется условие движения бульдозера без буксования:

(37)
где

тяговое
усилие, развиваемое двигателем трактора, Н; 
сила
тяги по сцеплению бульдозера, Н; 
сумма
сопротивлений передвижению бульдозера, возникающих в случае лобового резания и
транспортирования фунта отвалом бульдозера по горизонтальной поверхности, Н.
Тяговое
усилие, развиваемое двигателем трактора, Н,

(38)
где
N- эффективная мощность двигателя, кВт (таблица 12); 
-
скорость машины на низших передачах (первой или второй), км/ч; 
КПД
привода машины ( 
= 0,75.
. .0,85).
Технические
характеристики базовых тракторов приведены в табл. 15:
Таб.15
|
Показатели
|
ДТ-75Н
|
|
Мощность двигателя, кВт
|
70
|
|
Тяговый класс, кН
|
30
|
|
Скорость передвижения, км/ч Вперёд Назад
|
3,26…11,5 4,05…8,54
|
|
Габаритные размеры, мм Длина Ширина Высота
|
3075 1740 2273
|
|
Масса трактора, т
|
5,6
|
Тяговое усилие двигателя трактора:
Сила тяги по сцеплению, Н

(39)
где

сцепной
вес бульдозера, Н; 
коэффициент
сцепления движителей с грунтом (таблица 16) ;
таблица
16:
|
Вид грунта
|
  при Н/В 0,30
|
|
|
|
Несвязный
|
0,10...0,12
|
0,5...0,7
|
1,20
|

(40)
g- ускорение
свободного падения, м/с2; 
масса
бульдозера, кг.
Тогда,
Сумма
сопротивлений передвижению бульдозера, Н.

(41)

Сопротивление
грунта резанию. Н,

(42)
где

удельное
сопротивление грунта резанию, МПа (для I группы грунтов
= 0,06),
Площадь
поперечного сечения срезаемой стружки, м2

(43),
где
B и h соответственно ширина отвала и глубина резания, м.

м2
Сопротивление
перемещению призмы волочения грунта перед отвалом бульдозера, Н

(44)
где

объем
призмы волочения, м3 ; 
плотность
грунта, 
(таблица15);

коэффициент
трения грунта о грунт (таблица 17);

коэффициент
разрыхления грунта (таблица 15).
Таблица
17:
|
Грунт
|
Группа грунта
|
Плотность Грунта, т/м3
|
|
|
|
|
Супесь
|
1
|
1,65
|
1,2
|
0,53…0,62
|
0,27…0,60
|

(45)
где

коэффициент,
характеризующий грунт и геометрические размеры отвала (таблица 14).(=1,20)
Н-высота
отвала.
Тогда

равно:
Сопротивление
перемещению фунта вверх по отвалу, Н

(45)
где

коэффициент
трения грунта о поверхность отвала (таблица 17);

- угол
резания, рад. ( 
=
35...50о).
Сопротивление
передвижению трактора, Н

(46)
где
f- коэффициент сопротивления перемещению движителя
(таблица 14);

- уклон
местности, рад. (таблица 12).
Сила
тяжести от веса бульдозера, Н

(47)
Тогда,
Сопротивление,
возникающее на площадке затупления, Н

(48)
где

удельное
сопротивление от затупления режущей кромки отвала, зависящее от ширины площадки
затупления и группы грунта, Па (таблица 18); 
ширина
площадки затупления, м
Таблица
18
|
Ширина площадки затупления, мм
|
Группа грунта I
|
|
5
|
60... 120
|
Определим сумму сопротивлений передвижений бульдозера, Н:

Пользуясь
неравенством, записанным выше, проверяем, соблюдается ли условие движения
бульдозера без буксования:
Исходя
из неравенства условие движения бульдозера без буксования не соблюдается
Эксплуатационная
сменная производительность бульдозера

(49)
где

время
цикла работы бульдозера, с;

коэффициент
эксплуатационных потерь времени при работе бульдозера ( = 0,75…0,8);

коэффициент,
учитывающий влияние величины уклона на производительность (таблица 19),
величины коэффициентов 
для
промежуточных значений уклонов определяются методом интерполяции;

количество
часов работы бульдозера в смену (
= 8 ч).
Таблица
19
|
Величина уклона, рад.
|
+0,05
|
|
|
0,67
|
Продолжительность рабочего цикла бульдозера, с

(50),
где

, 
,
соответственно пути резания, транспортирования и холостого хода, м (табл. 14);

соответственно
скорости движения бульдозера при резании, перемещении(транспортировании) грунта
и холостого (обратного) хода, км/ч;

время,
затрачиваемое на переключение передач машинистом бульдозера, с, = 40 ..50);

время,
затрачиваемое на повороты, с, (= 10... 12);

время,
затрачиваемое на опускание отвала, с, ( = 1 ...2).
Скорости
по операциям рабочего цикла составляют: при резании = 2,5...5,0 км/ч;
при
транспортировании = 2,5.. 5,0 км/ч;
при
холостом ходе = 5,8. . 8,0 км/ч.
Сменная
производительность:
Результаты
расчетов заносятся в таблицу 20:
Таблица
20
|
№
|
Параметр
|
Значение
|
|
1
|
Сила тяги по сцеплению. Н
|
41630
|
|
2
|
Сила тяги, развиваемая двигателем, Н
|
61840
|
|
3
|
Общее сопротивление перемещению бульдозера, Н
|
239066
|
|
4
|
Сопротивление грунта резанию. Н
|
226800
|
|
5
|
Сопротивление перемещению призмы волочения перед отвалом. Н
|
526,6
|
|
6
|
Сопротивление перемещению грунта вверх по отвалу. Н
|
198,6
|
|
7
|
Сопротивление перекатыванию движителя бульдозера. Н
|
10407,6
|
|
8
|
Сопротивление, возникающее на площадке затупления, Н
|
1134
|
|
9
|
Объем призмы волочения, м3
|
0,672
|
|
10
|
Заключение о возможности движения бульдозера без буксования
|
Не возможно движение без буксования
|
|
11
|
170
|
|
12
|
Принятые скорости по операциям рабочего цикла бульдозера,
км/ч: - при резании грунта - при транспортировании грунта - при холостом ходе
|
3 4 7
|
|
13
|
Эксплуатационная сменная производительность бульдозера,
м/см
|
49
|
домкрат груз гидромеханический грунт
Список используемой литературы
. Белецкий Б.Ф. Технология и механизация строительного
производства: учебник / Б.Ф. Белецкий - Ростов-н/Д: Феникс, 2003.-752 с.
. Волков Д.П. Строительные машины / Д.П. Волков, В.Я. Крикун.
-М.: Изд-во АСВ, 2002. - 376 с.
. Полков Л.П. Строительные машины и средства малой
механизации / Д.П. Волков, В.Я. Крикун. - М.: Академия, 2002. - 480 с.
. Методические указания по выполнению расчётно-графических
работ по дисциплине «Конструкции подъемно-транспортных, строительных, дорожных
средств и оборудования».