Расчет характеристик телефонной сети
Содержание
Введение
1. Теоретическая часть
1.1 Общая характеристика телефонной связи
1.2 Основы построения сетей
1.3 Структура телефонной линии связи
1.4 Основы организации сетей в РФ
1.5 Территориальное планирование
2. Расчётная часть
2.1 Расчет характеристик телефонной сети
2.1.1 Расчет характеристик кабеля и оборудования
2.2 Технические условия на ПРППМ, ПРПВМ
2.3 Выбор оборудования
2.4 Экономическое обоснование работы
Заключение
Список литературы
Введение
Выполнение данной курсовой работы является заключительным
этапом в изучении дисциплины "Основы построения инфокоммуникационных
систем и сетей". В ходе выполнения курсовой работы систематизируются и
закрепляются полученные теоретические знания и практические умения по данному
предмету при решении комплексных задач, связанных со сферой профессиональной
деятельности будущих специалистов.
Основной целью курсовой работы является формирование у
студентов умений проектировать системы и сети связи для решения поставленных
задач. Написание курсовой работы является важным этапом в формировании
специалиста в области инфокоммуникационных технологий и систем связи.
В курсовой работе должен быть подготовлен проект здания с
внедренной в него локальной телефонной сетью. Так же должны быть произведены
расчеты данной сети, по которым должно быть определено оборудование и
используемый для соединения тип кабеля. При этом предлагаемая технология может
явиться существенной модернизацией уже имеющегося технологического процесса.
В данной курсовой работе мы рассмотрим основные принципы
построения телефонной линии связи на основе организации в лице "отделения
почты России" г. Сергача Сергачского района Нижегородской области.
Актуальность данной темы состоит в том, чтобы внедрить
телефонную сеть в компанию для более быстрого обмена нужной информацией, для
того чтобы каждый важный работник всегда был на связи и в курсе всех последних
событий в организации. А так же мы внедрим более новое и совершенное
оборудование с огромным функционалом, что позволит подключить к нему не только
стационарные телефоны, но даже мобильные устройства. Как следствие система
станет более гибкой в использовании и принесет свою выгоду.
1.
Теоретическая часть
1.1 Общая
характеристика телефонной связи
Как правило, под телефонной связью понимают передачу на
расстоянии речевой информации, распространяющейся по проводам, или с помощью
радиосигнала. При построении телефонных линий связи нужно подстраиваться под
конкретную задачу, исходя из которой, рассчитываются характеристики линии.
Телефонная сеть - это самый распространенный тип оперативной
связи. Абонентами сети могут являться как физические лица, так юридические -
предприятия и организации. Ее используют как для передачи аналоговых сообщений,
так цифровых и текстовых или графических, поэтому абонентами телефонной сети
могут являться не только люди, а также и различные аппаратные средства.
Целью данной работы является построение телефонной линии
связи на основе организации в лице "отделения почты России" г.
Сергача Сергачского района Нижегородской области.
Под системой связи понимают совокупность устройств и сред,
обеспечивающих передачу сообщений от отправителя к получателю.
Передатчик - устройство, которое определяет и вырабатывает
сигнал связи.
Приёмник - устройство, которое преобразовывает принятый сигнал
связи и восстанавливает первоначальное сообщение. Воздействия помех на полезный
сигнал проявляется в том, что принятое сообщение на выходе приёмника не
тождественно переданному.
Под каналом связи понимают совокупность технических
устройств, обеспечивающих независимую передачу данного сообщения по общей линии
связи в виде соответствующих сигналов связи.
телефонная сеть локальная линия
Сигнал связи - это электрическое возмущение, однозначно
отображающее сообщение.
По своей форме сигналы связи весьма разнообразны и
представляют собой изменяющиеся во времени напряжение или ток.
1.2 Основы
построения сетей
Под сетью доступа принято понимать совокупность абонентских
линий и станций местной сети первичной связи, обеспечивающих доступ абонентских
терминалов к транспортной сети, а также местную связь без выхода на
транспортную сеть.
Как указывалось ранее, ТС объединяет узлы и линии связи
магистральной, внутризоновых и частично местных ПСС. Остальные элементы местных
ПСС, не вошедшие в ТС и являющиеся, следовательно, частью сети доступа, в ряде
источников называются распределительными сетями (Distribution Network), на
которые возлагается функция распределения высокой производительности ТС между
менее скоростными цифровыми потоками к группам оконечных коммутационных станций
или абонентских концентраторов. Такая типизация позволяет под сетью
абонентского доступа по-прежнему понимать часть сети электросвязи между
абонентским оборудованием и оконечной системой коммутации (СК).
Из рассмотренного можно сделать вывод, что сеть доступа есть
совокупность распределительной и абонентской (терминальной) сетей. Сетям
доступа отводятся функции доставки сигналов от пользователей до узлов
транспортной сети.
Сеть доступа может обеспечивать передачу аналоговой
информации и/или цифровых сигналов к узлам доступа транспортной сети со
скоростями от 64 до 2 048 кбит/с и выше.
Распределительную сеть образуют СК и соединительные линии
между ними. От СК к абонентам прокладываются абонентские линии либо
организуются радионаправления (развертываются проводные или радио абонентские
сети). Узел доступа выполняет функцию объединения компонентных потоков от
абонентских устройств и концентраторов нагрузки. С этой целью может
использоваться, например, мультиплексор (МР) ввода/вывода ТС СЦИ.
1.3 Структура
телефонной линии связи
Телефонная связь в стране представлена системой телефонной
связи (СТфС), которая является важнейшей составной частью волоконных сетей
связи (ВСС) РФ и по объему передаваемых сообщений занимает первое место среди
других систем. В состав СТфС входят: телефонная сеть общего пользования (ТФОП)
и сеть подвижной радиотелефонной связи общего пользования (РТОП).
Вторичная сеть общего пользования представляет собой
совокупность автоматических телефонных станции (АТС), узлов автоматической
коммутации (УАК), абонентских аппаратов и линий, а также каналов передачи,
полученных из первичной сети. В этой вторичной сети существует иерархия,
подобная ярусам первичной сети.
Как правило, абоненты подключаются к ней через местные
(городские или сельские) сети связи, являющиеся нижним ярусом этой сети.
Местные сети объединяются в зоновые сети (средний ярус) с помощью каналов связи
первичной внутризоновой сети. Связь между абонентами различных зон (верхний
ярус) осуществляется через каналы первичной магистральной сети.
Внутризоновая сеть строится, в основном, по
радиально-узловому принципу.
Система телефонной связи предназначена для удовлетворения
населения и предприятий в передаче сообщений пользователей, как в пределах
страны, так и при выходе на международную телефонную сеть, и представляет
следующие виды услуг:
. Услуги доставки сообщений: речевых, факсимильных,
электронной почты, данных. Эти услуги предоставляются техническими службами,
использующими физические ресурсы сети.
2. Специальные услуги - это информационно-справочные,
заказные и дополнительные, предоставляемые службами сервиса автоматически или с
помощью оператора. К ним, в частности, относятся:
· справочная местной
телефонной сети;
· справочная точного
времени;
· заказная междугородной
телефонной сети МТС;
· справочная междугородной
и международной сети;
· прием телеграмм по
телефону;
· заказная ремонта
телефонной сети;
· заказная ремонта
таксофонов.
Дополнительные виды обслуживания (ДВО)
могут предоставляться общесетевыми службами или службой той станции, куда
подключена линия абонента, программно - аппаратными средствами станции или
сети. К ДВО относятся, например:
· сокращенный набор номера
вызываемого абонента;
· передача входящего вызова
на другой аппарат (переадресация);
· предоставление
возможности получения справки во время разговора с одним из пользователей;
· конференцсвязь трех и
более пользователей;
· прямой вызов (соединение
без набора номера).
В настоящее время телефонные сети страны
цифровизированы в недостаточной степени. Поэтому переход от аналоговых станций
к цифровым - актуальная задача ближайших лет.
Один из вариантов перехода предполагает
несколько этапов:
· замена всех аналоговых
межстанционных линий передачи цифровыми;
· замена
электромеханических узлов и станций цифровыми системами коммутации (ЦСК);
· построение цифровой сети
интегрального обслуживания (ЦСИО).
Этот путь позволяет минимизировать
единовременные затраты, так как при вводе первых ЦСК возможно создание
полностью цифрового участка сети. Пользователи наложенной сети сразу получают
услуги современных цифровых сетей. Часть услуг цифровой сети могут получать и
абоненты аналоговой сети при наличии специального доступа к ресурсам наложенной
сети. Другое преимущество такой стратегии состоит в том, что рационально выбранный
участок для построения наложенной сети позволяет проложить определенное число
маршрутов межстанционной связи через сеть. Это сразу должно сказаться на
повышении качества предоставляемых услуг благодаря использованию протяженных
маршрутов только с цифровыми каналами.
Эти действия позволяют минимизировать
единовременные затраты, так как при вводе первых ЦСК возможно создание
полностью цифрового участка сети. Пользователи наложенной сети сразу получают
услуги современных цифровых сетей. Часть услуг цифровой сети могут получать и
абоненты аналоговой сети при наличии специального доступа к ресурсам наложенной
сети. Другое преимущество такой стратегии состоит в том, что рационально
выбранный участок для построения наложенной сети позволяет проложить определенное
число маршрутов межстанционной связи через сеть. Это сразу должно сказаться на
повышении качества предоставляемых услуг благодаря использованию протяженных
маршрутов только с цифровыми каналами.
Естественной для цифровой сети является
централизованная межстанционная сигнализация по общему каналу сигнализации
(ОКС).
Применение централизованной сигнализации
позволяет существенно повысить верность передачи сигнальной информации
(адресной, линейных и информационных сигналов). Удаленные группы пользователей могут
быть экономично включены в ЦСК с помощью выносов, являющихся частью
программно-аппаратных средств этих ЦСК, приближенных к местам группирования
пользователей. Функционально выносы цифровой сети отличаются от подстанций
аналоговой сети способностью замыкать внутренние потоки информации без занятия
каналов, связывающих вынос с ЦСК. Эти каналы используются только для внешней
связи (входящей и исходящей) пользователей выноса.
1.4 Основы
организации сетей в РФ
18 июня 2003 года принят новый Федеральный закон "О
связи", в соответствии с которым с 1 января 2004 года начался новый этап
развития телекоммуникаций в России. Новый этап в развитии российских
телекоммуникаций - это этап превращения российского общества на базе
конвергентного объединения информатизации и телекоммуникации в
электронно-информационное общество.
Сетевой основой российских телекоммуникаций определена Единая
сеть электросвязи (ЕСЭ). ЕСЭ является составляющей частью Федеральной связи РФ
и объединяет все сети электросвязи, расположенные на территории России. ЕСЭ
обеспечивает предоставление услуг электросвязи на территории РФ подавляющему
числу абонентов.
ЕСЭ РФ состоит из сетей следующих категорий:
1. Сеть общего пользования (СОП) - предназначена для
предоставления услуг электросвязи любому пользователю на территории Российской
Федерации, которая представляет собой комплекс взаимодействующих сетей связи,
включая сети связи для распространения программ телевизионного и радиовещания.
СОП имеет присоединение к сетям общего пользования иностранных государств:
· телефонные;
· сети передачи данных;
· сети звукового вещания;
· сети телевизионного вещания.
Сети связи общего пользования отличаются широкой
разветвленностью, охватывают всю территорию страны и обслуживают основной
контингент населения. К ним относятся телефонная и телеграфная сети общего
пользования, сети передачи данных, газет и т.д. Эти сети имеют статус
национальных сетей. Для взаимосвязи сетей общего пользования с международными
сетями мирового сообщества, Международный Союз Электросвязи (МСЭ) выделяет этим
сетям международные коды страны.
2. Сеть ограниченного пользования (СОгП) - сеть, контингент которой
ограничен корпоративными клиентами. СОгП делится на три вида:
· технологические сети связи предназначены
для обеспечения производственной деятельности организаций и управления
технологическими процессами (при наличии свободных ресурсов могут быть
присоединены к СОП с переводом в категорию сетей общего пользования и
использованы для предоставления возмездных услуг пользователям);
· выделенные сети связипредназначены для
предоставления услуг ограниченному числу пользователей (такие сети могут
взаимодействовать между собой, могут быть присоединены к СОП с переводом в
категорию сети общего пользования, если она соответствует ее требованиям);
· сети связи специального назначения
предназначены для обеспечения государственного управления, обороны,
безопасности и охраны правопорядка).
То есть доступ к таким сетям возможен только для
определенного контингента абонентов. Сетями ограниченного пользования являются
ведомственные сети, а также сети связи в интересах обороны, безопасности и
охраны правопорядка. Ведомственные сети связи принадлежат министерствам и
ведомствам для обеспечения производственных и специальных нужд и имеют выход на
сеть общего пользования.
В целях упорядочения управления сетями, мониторинга их
состояния и обеспечения их взаимодействия необходима классификация сетей по
разным существенным признакам, которая позволит определить место каждой сети в
системе электросвязи, выявить свойства сетей с разных точек зрения на основе
системного подхода. В таблице 4.1 приведена одна из классификаций сетей ЕСЭ РФ.
1.5
Территориальное планирование
Основным этапом проектирования телефонной сети связи является
этап частотно-территориального планирования (ЧТП), в ходе которого выбираются
структура (конфигурация) сети, места размещения телефонных станций (ТС),
коммутатора, оцениваются вопросы частотного лицензирования, рассчитывается
возможность обеспечения охвата (покрытия) требуемой зоны обслуживания с
заданным качеством связи, разрабатывается частотный план распределения каналов
для ТС, выполняется адаптация планов к условиям территориальных и частотных
ограничений проектируемой зоны обслуживания, проверяются обеспечение внешней электромагнитной
совместимости (ЭМС) планируемой системы с радиоэлектронными средствами (РЭС)
других систем и возможность обеспечения требуемой емкости для обслуживания
абонентской нагрузки с заданной интенсивностью потерь (отказов в обслуживании)
и так далее.
В данной главе мы рассмотрели основные
теоретические аспекты данной курсовой работы, из которых выяснили:
· Основные задачи и виды
телефонной связи
· Теоретические основы
построения сетей
· Основы организации сетей
в РФ
· Методику
частотно-территориального планирования
2. Расчётная
часть
2.1 Расчет
характеристик телефонной сети
2.1.1 Расчет
характеристик кабеля и оборудования
1. Сопротивление симметричного кабеля (малое):

(2.1)
где Rm - дополнительное
сопротивление, вызываемое соседним кабелем, а так же оболочкой кабеля,

частота в сети,
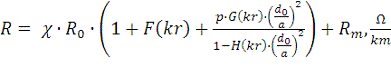
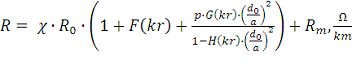
2. Сопротивление симметричного кабеля (полное):

(2.2)
где p - поправочный коэффициент, учитывающий
скрутку в кабеле,
R0 -
начальное сопротивление,
F (kr) - критическая частота работы кабеля;
G (kr) - коэффициент перегрузки в прямом
направлении;
H (kr) - коэффициент перегрузки в обратном
направлении;

- диаметр провода.
. Индуктивность кабельной сети

(2.3)
где χ - коэффициент укрутки;

- расстояние между центрами проводов, мм;

- диаметр провода, мм;

- табличный коэффициент.
. Емкость симметричной цепи

(2.4)
где 
- эквивалентная диэлектрическая проницаемость, которая зависит от
типа изоляции;

- поправочный коэффициент, характеризующий близость проводников и
металлической оболочки.- теплоемкость кабеля.
. Затухание

(2.5)
где R - сопротивление в кабеле;

- циклическая частота;
С - емкость цепи;

- время запаздывания.

(2.6)

- действительная
часть коэффициента затухания;
L - индуктивность;
G - коэффициент перегрузки сети.

(2.7)

- мнимая часть коэффициента затухания.
. Волновое сопротивление

(2.8)
. Электромагнитная энергия, распределенная по кабелю

(2.9)
Расчет длинны кабеля для проведения в здание "отделения
почты России" г. Сергач:
· 1 этаж
,012 м кабеля на 1 этаже
· 2 этаж
,712 м кабеля на 2 этаже
· Между этажами
,348 м на переход между этажами
Следовательно, общая длинна 
равна:
. Сопротивление симметричного кабеля (малое):
. Сопротивление симметричного кабеля
(полное):
. Индуктивность кабельной сети

. Затухание
6. Волновое сопротивление
7. Электромагнитная энергия
распределенная по кабелю
Вывод:
Исходя из произведенных расчетов, мы
выбрали кабель марки ПРППМ (ВМ) 2х1,2 с электрическим сопротивлением жилы
равным 16,0 Ом/км, а также определили параметры необходимые для выбора
коммутатора и на их основании остановились на самом оптимальном варианте в
соотношении (цена/функциональные возможности) LGeMG80-KSUA.
2.2
Технические условия на ПРППМ, ПРПВМ
ТУ 3577-001-12154334-96
Характеристики кабеля:
1. Электрическое сопротивление жилы не более 16,0 Ом/км
2. Электрическая изоляция не более
10000 Мом/км
3. Электрическая емкость 56 нФ/км
2.3 Выбор
оборудования
В соответствии с поставленной задачей и
произведенными расчетами целесообразно использовать оборудование с небольшой
памятью, выделенной под количество абонентов, это позволит сэкономить средства
и упростит обслуживание.
Рисунок 1 - Общий вид коммутатора "LGeMG80-KSUA"
При проведении исследования рынка данной аппаратуры мы
остановились на коммутаторе "LGeMG80-KSUA", который обладает следующими характеристиками.
Таблица 1 - Характеристики коммутатора "LGeMG80-KSUA"
|
Параметр
|
Описание
|
Технические
характеристики
|
|
Процессор
|
|
M83261G, ARM11
двухъядерный (32 бит, 650МГц)
|
|
Продолжительность
работы батареи часов реального времени (RTC)
|
|
7 лет
|
|
PSU
|
Входное
напряжение, переменный ток
|
100~240 +/ -
10% В переменного тока, 47-63 Гц
|
|
Потребляемая
мощность от сети переменного тока
|
90 Вт
|
|
Предохранитель
переменного тока
|
2A 250В
переменного тока
|
|
Выходное
напряжение, постоянный ток
|
+5, - 5, +27,
+30В постоянного тока
|
|
Внешние батареи
резервного питания
|
Входное
напряжение
|
+24В
постоянного тока (2 батареи +12В постоянного тока на каждый блок KSU
|
|
Предохранитель
батареи
|
5A 250В
переменного тока
|
|
Влажность
|
0~80% без
образования конденсата
|
|
Размеры
|
KSU
|
307 мм (Ш) х
294 мм (В) x126.6 мм (Г)
|
|
Доп. системный
блок (EKSU)
|
307 мм (Ш) х
294 мм (В) x126.6 мм (Г)
|
|
Масса
|
KSU
|
2.03 кг
|
|
Доп. системный
блок (EKSU)
|
1.99 кг
|
|
MODU
|
Аналоговый
модем
|
Bell,
ITU-T, V.34 V.32BIS, V.90
|
|
Скорость
передачи
|
Скорость
передачи от 300 бит/с до 33 Kбит/с
|
|
Подключение
|
Автосогласование
скорости передачи
|
|
VoIP
|
Интерфейс
локальной сети
|
10/100BaseT
Ethernet (IEEE 802.3)
|
|
Скорость
передачи
|
10/100 МБит/с
(автосогласование)
|
|
Дуплекс
|
Полудуплекс или
полный дуплекс (автосогласование)
|
|
VoIP-протокол
|
SIP и H.323
версия 2
|
G.711/ G.726/
G729/ G.723.1
|
|
Переключение
голос/факс
|
T.38
|
|
Подавление эха
|
G.165
|
Таблица 2. Технические характеристики базовой станции DECT
|
Параметр
|
Технические
характеристики
|
|
Электропитание
|
+30 В
постоянного тока
|
|
Пиковая
мощность при передаче
|
250 мВт
|
|
Метод доступа /
Дуплекс
|
TDMA/TDD
|
|
Полоса частот
|
1880~1900 МГц
1920~1930 Мгц (США)
|
|
Разнесение
каналов
|
1,728МГц
|
|
Метод модуляции
|
GFSK
|
|
Скорость
передачи
|
1,152 МБит/с
|
Выбор телефонов для сети обуславливается
рекомендациями от компании "LG" к данному коммутатору.
Учитывая, что системный телефон является
связующим звеном между пользователем и коммутатором. При использовании
коммутатора "LG" рекомендуется на рабочих местах сотрудников устанавливать
системные телефоны, что обеспечит доступ ко всем возможностям коммутатора и
позволит сделать работу наиболее эффективной. Модельный ряд системных телефонов
"LG" предназначен как для начинающих пользователей, применяющих
простейшие операции, так и для опытных, предъявляющих высокие требования к
комфорту и функциональности.
Системный телефон "LG LDP-7016D"
предназначен для работы с цифровыми коммутаторами "LG" серий
"ipLDK", "iPECS MG/LIK". Оптимально использовать его в
качестве основного телефона для оснащения рабочих мест абонентов сети.
Функции системного телефона "LGLPD-7016D"
· Трехстрочный дисплей
(3х24)
· 16 программируемых клавиш
· 7 клавиш с фиксированными
функциями
· Громкая связь
(полудуплексный режим)
· Разъем для головной
гарнитуры (2,5 мм)
· Русский язык
· Изменяемый угол наклона
· Возможность крепления на
стену
· Индикатор сообщений
· Возможность подключения
DSS
· Функция регистрации
вызовов: исходящие/принятые/пропущенные
· Установка дополнительных
модулей: CTU, MFU, FU, MU, USB
· Цвет - Черный, Светло-серый
Основные преимущества
цифровых системных телефонов "LG"
По сравнению с обычными аналоговыми аппаратами системные
телефоны обладают целым рядом преимуществ, что делает их установку на рабочих
местах экономически выгодной, за счет повышения производительности и эффективности
работы сотрудников, оснащенных такими телефонами.
Программируемые кнопки с индикацией. На эти кнопки можно
запрограммировать внешние линии или номера внутренних абонентов, при этом,
получая доступ к этим линиям одним нажатием, Вы также можете видеть индикацию
состояния этих линий - занята или свободна.
· Переключение звонка на
другого абонента нажатием на одну кнопку
· Удобная постановка
текущего разговора на удержание с помощью кнопки Hold, индикация удержанной
линии миганием программируемой кнопки, соответствующей данной линии и возврат с
удержания нажатием на эту программируемую кнопку.
· Специальная кнопка для
организации конференц-связи. Конференц-связь устанавливается двумя нажатиями на
кнопку.
· Перехват звонка простым
нажатием на кнопку линии, по которой поступает звонок
· Постановка в очередь на
занятую городскую линию
· Кнопка переадресации
звонков - с помощью этой кнопки удобно выставлять переадресацию звонков на
случай Вашего отсутствия или занятости, в том числе на свой мобильный телефон
· Удобный доступ к функции
быстрого набора из памяти АТС при помощи кнопки AutoDial. В памяти АТС может
храниться до 1000 наиболее необходимых номеров
· Через динамики системных
телефонов можно делать оповещения сотрудников. Например, руководитель может
вызвать к себе сотрудника, если тот отошел со своего рабочего места, но
находится где-то в офисе. Другой пример - секретарь должен переключить звонок
на сотрудника, который находится не на своем рабочем месте. Она паркует
разговор в ячейку ожидания и оповещает его об этом по громкой связи.
· Отображение на дисплее
номера звонящего Вам абонента. (Для внешнего вызова этот номер должен быть
определен мини - АТС, внутренний номер отображается всегда). Если в справочнике
номеров мини - АТС этому номеру присвоено имя, то на дисплей будет также
выведено и имя звонящего. Поддерживается русский язык.
· Отображение на дисплее
списка пропущенных вызовов и информации о новых сообщениях голосовой почты
· Индикатор вызова и
сообщений - при поступлении нового вызова и при наличии новых сообщений в ящике
голосовой почты индикатор подает световые сигналы разных цветов, что позволит
Вам не пропустить новые сообщения, и новые звонки, даже если вызывной сигнал
Вашего телефона отключен.
· Удобное перемещение по
меню системного телефона и доступ к функциям мини-АТС с помощью навигационной
клавиши JOG DIAL.
· Простая организация
нового рабочего места - возможность подключения второго телефонного аппарата
(цифрового или аналогового) непосредственно в сам цифровой системный телефон,
без необходимости прокладки дополнительных кабелей и установки розеток.
· Великолепный дизайн
цифровых системных телефонов, что повышает имидж и поднимает престиж компании в
глазах посетителей и клиентов.
Настройка коммутатора производится с
помощью подключения ПК через любой имеющийся интерфейс. Далее происходит
составление таблицы коммутации (в данном случае со стандартными параметрами
такими как "сетевой адрес, маска сети, адрес шлюза, интерфейс и
метрика") с помощью представляемого компанией ПО и настройкой
маршрутизации вручную.
Далее приведена таблица маршрутизации на
11 абонентов, остальные строятся по такому же принципу.
Таблица 3. Таблица маршрутизации
|
Сетевой адрес
|
Маска сети
|
Адрес шлюза
|
Интерфейс
|
Метрика
|
|
0.0.0.0
|
0.0.0.0
|
192.168.1.1
|
192.168.1.100
|
20
|
|
127.0.0.0
|
255.0.0.0
|
127.0.0.1
|
306
|
|
127.0.0.1
|
255.255.255.255
|
On-link
|
127.0.0.1
|
306
|
|
127.255.255.255
|
255.255.255.255
|
On-link
|
127.0.0.1
|
306
|
|
192.168.1.0
|
255.255.255.0
|
On-link
|
192.168.1.100
|
276
|
|
192.168.1.100
|
255.255.255.255
|
On-link
|
192.168.1.100
|
276
|
|
192.168.1.255
|
255.255.255.255
|
On-link
|
192.168.1.100
|
276
|
|
244.0.0.0
|
240.0.0.0
|
On-link
|
127.0.0.1
|
306
|
|
244.0.0.0
|
240.0.0.0
|
On-link
|
192.168.1.100
|
276
|
|
255.255.255.255
|
255.255.255.255
|
On-link
|
127.0.0.1
|
306
|
|
255.255.255.255
|
255.255.255.255
|
On-link
|
192.168.1.100
|
276
|
Каждая строчка определяет, куда отправлять какие пакеты. То
есть для диапазона, задаваемого значениями в колонках "сетевой адрес"
и "маска сети" создается сетевой маршрут.
2.4
Экономическое обоснование работы
Рассмотрим экономическую сторону данной курсовой работы,
которая включает в себя такие аспекты, как стоимость оборудования, услуг и
прочие расходы.
В ходе произведенных расчетов мы выяснили, что проект
является выгодным как с технической, так и экономической точек зрения. Общая
стоимость проекта составляет 195643,09 рублей.
Стоимость проекта включает в себя стоимость оборудования.
Таблица 4 - Стоимость оборудования
|
№ п/п
|
Оборудование
|
Стоимость, руб.
(руб. /м)
|
|
1
|
Коммутатор
"LG eMG80-KSUA"
|
13566
|
|
2
|
Карта
расширения eMG80-CS416
|
15694
|
|
3
|
Карта
расширения eMG80-HYB8
|
7106
|
|
4
|
Системный
телефон "LDP-7016D"
|
5320
|
|
5
|
Телефонный
кабель ПРППМ 2х1,2
|
8,95
|
41694,95
|
В проект входит стоимость услуг проведения кабеля, установки
оборудования и его подключения и настройки.
Таблица 5 - Стоимость услуг
|
№ п/п
|
Выполненные
услуги
|
Стоимость, руб.
(руб. /м)
|
|
Подготовительные
работы
|
|
|
1
|
Штробление стен
(бетон) 20х20 мм.
|
320
|
|
2
|
Штробление стен
(кирпич) 20х20 мм.
|
250
|
|
3
|
Штробление стен
(гипс) 20х20 мм.
|
200
|
|
4
|
Сверление
сквозных отверстий (бетон) толщ. до 250мм.
|
300
|
|
5
|
Сверление
сквозных отверстий (кирпич, гипс) толщ. до 250мм.
|
200
|
|
6
|
Монтаж
подрозетн. внутренний (бетон)
|
200
|
|
7
|
Монтаж
подрозетн. внутренний (кирпич)
|
200
|
|
8
|
Монтаж
подрозетн. внутренний (гипс)
|
150
|
|
Прокладка
кабеля, короба, гофры
|
|
|
1
|
Монтаж гофры,
трубы ПВХ под клипсу
|
60
|
|
2
|
Монтаж гофры,
трубы ПВХ без клипс
|
50
|
|
3
|
Монтаж короба
(кабель канала) электрического
|
90
|
|
4
|
Прокладка
кабеля до 4мм.
|
35
|
|
|
5
|
Протяжка кабеля
в гофре
|
20
|
|
|
6
|
Прокладка
кабеля в кабель канала 4-10мм.
|
110
|
|
|
Монтаж и
сборка
|
|
|
1
|
Установка
коммутатора
|
4215
|
|
|
2
|
Установка
телефона
|
424
|
|
|
Итого:
|
45453
|
|
Как видно из проведенных расчетов транспортные расходы
составляют меньшую часть затрат.
Таблица 6 - Транспортные расходы
|
№ п/п
|
Услуги
|
Стоимость, руб.
|
|
1
|
Доставка
оборудования к месту установки
|
1650
|
|
2
|
Амортизация ТС
|
2100
|
3750
|
Вывод:
В ходе написания второй главы курсовой работы мы выяснили:
· Алгоритм расчета телефонной линии
· Выбрали тип кабеля, удовлетворяющий
расчетам
· Выбрали оборудование, подходящее для
решения основной задачи
· Исследовали экономическую сторону курсовой
работы
Заключение
В заключительной части курсовой работы хочется
подчеркнуть, чтов ходе выполнения данной курсовойработы были систематизированы
все полученные теоретические и практические знания по данной дисциплине.
Так же были произведены соответствующие расчёты характеристик
нашей телефонной сети применимой к зданию "Отделения почты России" г.
Сергача Сергачского района Нижегородской области, а так же к аналогичным
зданиям в других населенных пунктах России.
Данный проект является типовым и может быть легко переработан
под другую организацию или предприятие, так как основная исследовательская и
вычислительная деятельность уже проведена.
В ходе исследования проведенного в работе мы выяснили, что он
выгоден как с экономической, так и с технической точки зрения.
В данный момент в организациях нашей страны острой является
проблема оснащенности старым телефонным оборудованием (чаще всего аналоговым),
хотя большое развитие давно уже получила IP-телефония отличающаяся
лучшим качеством сигнала, более быстрой передачей данных, лучшей
помехоустойчивостью и что не мало важно большей степенью защищенности
передаваемой информации.
Список
литературы
1.
Крухмалев В.В., Моченов А.Д., Гордиенко В.Н. Цифровые системы передачи: Учебное
пособие для вузов М.: Горячая линия Телеком, 2010.352 с.
.
Иванов В.И., Гордиенко В.Н., Попов Г.Н. Цифровые и аналоговые системы передачи:
Учебник для вузов/ Под ред.В.И. Иванова. М.: Горячая линия Телеком, 2013. 232
с.
.
Крухмалев В.В., Моченов А.Д. Синхронные телекоммуникационные системы и
транспортные сети: Учебное пособие для вузов железнодорожного транспорта М.:
ФГБОУ "Учебно-методический центр по образованию на железнодорожном
транспорте", 2012.287 с.
.
Гордиенко В.Н., Тверецкий М.С. Многоканальные телекоммуникационные системы:
Учебник для вузов. М.: Горячая линия Телеком, 2011.416 с.
.
Гордиенко В.Н. и Крухмалев В.В. Основы построения телекоммуникационных систем и
сетей: Учебник для вузов. Изд. 2-е / Под ред. В.Н. Гордиенко и В.В. Крухмалева.
М.: Горячая линия Телеком, 2010.422 с.