Проектирование пропарочной камера 'Гипростройиндустрия'

  • Вид работы:
    Курсовая работа (т)
  • Предмет:
    Физика
  • Язык:
    Русский
    ,
    Формат файла:
    MS Word
    294,68 Кб
  • Опубликовано:
    2015-04-20
Вы можете узнать стоимость помощи в написании студенческой работы.
Помощь в написании работы, которую точно примут!

Проектирование пропарочной камера 'Гипростройиндустрия'

Государственное общеобразовательное учреждение высшего профессионального образования

Санкт-Петербургский архитектурно строительный университет

Кафедра «Теплогазоснабжения и вентиляции»









ПОЯСНИТЕЛЬНАЯ ЗАПИСКА

к курсовой работе

на тему Проектирование пропарочной камера «Гипростройиндустрия»

выполнил студент_____________________________ Е.М. Предейкина

факультет Строительный группа СД - III

руководитель____________________________ В.А. Яковлев





Санкт-Петербург

Введение


Бетон набирает прочность постепенно, по мере твердения цементного камня. Скорость твердения в значительной степени зависит от температуры среды.

Прирост прочности бетона практически прекращается при температуре, близкой к нулю, и значительно ускоряется при повышенных температурах среды (примерно 80-90 °С) и максимальной влажности.

Важным условием нарастания прочности бетона является влажность. При испарении влаги из бетона его твердение практически прекращается.

В производстве сборных железобетонных изделий ускорение процесса твердения бетона является важным условием: повышается оборачиваемость форм, эффективно используются производственные площади и др.

Эти условия обеспечиваются за счет применения быстротвердеющих бетонов, ускорителей твердения, активных методов уплотнения, тепловых воздействий и др.

Чаще всего прибегают к тепловлажностным воздействиям, обеспечивающим распалубку изделий в короткие сроки после их формования: обработке изделий паром без давления при температуре среды до 85°С пропарочной камере «Гипростойиндустрия» и камерам полуавтоклавного режима Л. Н. Семёнова, где можно создать среду с температурой 95°С.

Тепловлажностная обработка бетона, железобетона и силикатных изделий является заключительной стадией технологического процесса, исключая отделку. Это - наиболее длительный и ответственный процесс технологии. Поэтому правильная организация такого процесса и выбор конструкции установок, в которых он протекает, во многом определяют качество готовой продукции.

 

Устройство камеры

Пропарочная камера «Гипростройиндустрия» представляет собой сборную коробку из железобетона. Для сокращения потерь теплоты через наружные ограждения стены камеры выполнятся многослойными, с применением воздушных прослоек.

Изделия в камеры загружаются в специальных металлических формах, размещаемых на подкладных брусьях, выполненных из стального проката.

Днище камеры прокладывается с уклоном 0,01 - 0,005 в сторону конденсатоприемного лотка. В днище камеры предусмотрена система отвода образующего конденсата. Система представляет собой расположенный с уклоном 0,01 - 0,005 конденсатоприемным лотком в сторону самой нижней отметки, где устанавливается гидрозатвор системы канализации.

Для удаления отработанной паровоздушной смеси и осуществления вентиляции внутреннего объема в период охлаждения стены камеры снабжаются гидрозатворами системы вентиляции. Гидрозатворы (камеры) представляют собой сварные из чистой стали коробки, имеющие отсеченную перегородку. Для наполнения гидрозатворов используют воду из хозяйственно-бытовой системы водоснабжения. Гидрозатворы снабжены системой опорожнения применяющиеся для слива воды перед началом времени охлаждения изделия.

Крышка камеры имеет легкую сварную конструкцию, изготовленную из стального проката. Внутренний объем крышки заложен гидрофобным теплоизоляционным материалом, который со всех сторон надежно обшивается деревянными досками и сверху стальными листами привариваемые стальным швом. Нижние боковые грани крышки снабжаются одинарным опорным ребром, упирающимся после ее установки в основание швеллера образующего гидрозатвор крышки. Нижняя часть крышки контактирующая с паровоздушной смесью обязательно прокладывается с уклоном (0,01 - 0,005) в сторону гидрозатвора крышки. Это позволяет наполнять гидрозатвор крышки конденсатом во время работы камеры и предотвратить падение капель на поверхность изделия.

В качестве теплоносителя применяющегося для прогрева изделий используется чистый насыщенный водяной пар. Для его подачи, камера снабжается системой пароснабжения.

Пропарочные камеры размещены в технологической линии и соединены в блоки. Размеры камер в плане устанавливают в зависимости от размеров изделия. Высота камеры определяется числом уложенных по её высоте изделий в формах или на поддонах. Высота камер более 2-3 м не рекомендуется, так как это вызывает неравномерное распределение температур по высоте, а также требует устройства дренажа при близости грунтовых вод. Расстояние между нижним изделием и полом камеры принимается 100-300 мм, что уменьшает воздействие на изделие низкотемпературной среды на уровне пола. Пространство между верхним изделием и крышкой составляет 50-150 мм. Расстояние между изделиями по вертикали не менее 50 мм. Толщина стенок камеры от 200 до 450 мм.

Схема камеры

)        Стены камеры

)        Крышка

)        Нижний гидрозатвор системы вентиляции

)        Верхний гидрозтвор системы вентиляции

)        Система наполнения гидрозатворов

)        Система опорожнения гидрозатворов

)        Запорное устройство (вентиль)

)        Гидрозатвор крышки (швеллер)

)        Упорные уголки бортоснастки крышки

)        Фиксирующее ребро

)        Тепло- и гидроизоляция камеры

)        Вытяжной воздуховод вентиляции камеры

)        Производствення система вентиляции камер

)        Конденсатоприемный лоткок

)        Гидрозатвор системы канализации

)        Производственная система канализации

)        Подающий паропровод

)        Производственная система пароснабжения камер

Принцип действия камеры

)        Перед загрузкой изделий камеру чистят, проверяют работоспособность запорной и регулирующей арматуры системы автоматики камеры

)        При помощи подъемного оборудования (мостовые краны, подъемные кран-балки и др.) производится загрузка изделий в формах в камеру (нижние формы укладываются на дно камеры, где имеется стационарные фундаментные брусья, далее на загруженные брусья формы укладываются прокладочные брусья, на которые размещаются следующие формы)

Если в камеру укладываются поддоны с распалубленными изделиями, их укладывают на специальные стойки с самоопрокидывающимися кронштейнами

)        Камеру закрывают крышкой, заполняют водой гидрозатворы камеры и включают подачу пара с максимальным расчетным расходом.

Пар подаваемый в камеру смешанный с воздухом, образуя паровоздушную смесь. Этот момент служит началом времени нагрева изделия.

)          , форм, внутренней поверхности наружных ограждений камеры, пар отдает энергию конденсации, нагревая изделия

)        После достижения максимальной температуры изотермической выдержки, расход пара в камеру снижают, в этот момент наступает момент наступает изотермическая выдержка при максимальной температуре ( при использовании паровоздушной смеси 80-85)

)        После достижения изделиями 50-55% проектной прочности заканчивается период изотермической выдержки, отключается подача пара, опорожняются затворы и включается система вентиляции камеры ( с этого момента наступает температурное охлаждение изделий). Концом температурного охлаждения изделий является момент достижения на поверхности изделий t=45-50 и достижение прочности составляющей 70-75% проектной

)        Отключение системы вентиляции камеры, открываем крышку и начинаем выгрузку готовой продукции, после чего камера вновь подвергает к очередному циклу работ.

 

Технологический расчет пропарочной камеры


1.      Суточная производительности предприятия.

, м3/сут

Где Vг - годовая производительность предприятия,

τ - количество рабочих дней в году, принимаем по пятидневной рабочей неделе - 252 сут.

z - коэффициент использования оборудования, принимаем - 0,95

 м3/сут

.        Цикл работы пропарочной камеры.

Время загрузки принимаем τзаг=2 ч

Время разгрузки принимаем τвыг=1,5ч

Время нагревания

, ч

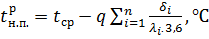
Где tи - температура изотермической выдержки, для камеры «Гипростройиндустрия» принимаем - 85˚С

tзаг - температура загрузки, принимаем -18˚С

- допустимая скорость подъема температуры в камере,

принимаем - 15 ˚С/ч, при предварительной выдержке форм до начала тепловой обработки менее 4 часов, жесткости бетонной смеси менее 30 сек и в открытых формах.

ч

Время охлаждения

, ч

Где tвыг - температура загрузки, принимаем - 50˚С

- допустимая скорость снижения температуры в камере,

принимаем - 35 ˚С/ч, при толщине изделий в формах 220 мм, и проектной прочности бетона 400 МПа

 ч

Время изотермической выдржки


Где τтои - время тепловой обработки изделия - 13 ч

k - поправочный коэффициент сокращения продолжительности общего цикла тепловлажностной обработки; для форм без укрытия принимаем - 1

ч

Общее время работы пропарочной камеры

τ = τзагниовыг

τ = 2+4,5+7,5+1+1,5=16,5 ч

График работы пропарочной камеры


.        Коэффициент оборачиваемости пропарочных камер

 

 

4.      Суточная производительность пропарочных камер по изделиям

 , издел/сут

Где Vи - объем одного изделия, равный 3,696 м3

 издел/сут

.        Шаг изделий по высоте камеры

, м

Где a,,- толщина изделия, равная 220 мм

а - толщина дна формы, принимаем - 60 мм

с, - толщина подкладочного бруса, принимаем 70 мм

 

.        Количество изделий, загруженных в пропарочную камеру

,шт

Где Нк - высота пропарочной камеры, принимаем - 3м

шт

.        Габаритные размеры

Ширина

=b+2∙a’+2∙b’ ,м

=3+2∙0,07+2∙0,2=3,55м

Длинна

=l+2∙a’+2∙b’ ,м

=5,6+2∙0,07+2∙0,2=6,15м

Высота

=(a’’+a)∙n’+c’∙(n’-1)+c+d , м=(0,22+0,06)∙9+0,07∙(9-1)+0,2+0,2=3,5м

Где а’ - ширина полки формы, принимаемой - 70мм

b’ - расстояние от внутренней поверхности стены камеры до края полки формы, принимаем - 200 мм

b - ширина изделия, равная 3000 мм

l - длинна изделия, равная 5600 мм

с - расстояние от дна камеры до нижней поверхности дна нижней формы, принимаем - 200 мм

d - расстояние от нижней поверхности крышки до верхней поверхности верхнего изделия, принимаем - 200 мм

.        Объем пропарочной камеры

, м3

 

м3

9.      Построение эскиза камеры (см приложение 1)

.        Коэффициент загрузки камеры

 

 

.        Количество пропарочных камер

, шт

 = 5 шт

В том числе 1 запасная.

Увязка камер

Увязываем 4 рабочие камеры в 1 блок,

- общее время работы пропарочной камеры.

τзаг=2 ч

τн=4,5 ч

τи=7,5 ч

τо=1 ч

τвыг=1,5 ч

Уменьшаем τн на 0,5 ч, получаем

- общее время работы пропарочной камеры.

τзаг=2 ч

τн=4 ч

τи=7,5 ч

τо=1 ч

τвыг=1,5 ч

τ = 2+4 +7,5+1+1,5=16 ч

Проверка:

 

 

Строим график времени с учетом корректировки

Результатирующий график расхода пара для блока (смотри приложение 2)

 

Методика подбора теплоизоляционного материала


1.      Средний коэффициент тепловой эффективности ограждения

 

Где  - суммарная удельная потеря теплоты с 1 м2 поверхности утепленного ограждения, МДж/м2

 - суммарная удельная потеря теплоты с 1 м2 поверхности неутепленного ограждения, МДж/м2

.        Коэффициент полезного использования теплоты в неутепленной камере

 

Где Qп - удельный расход полезно затраченной тепловой энергии

, МДж/м3

 - расход теплоты, затрачиваемой на нагрев бетона, для изделий, затворенных на основе тяжелых бетонных смесей на портландцементе марки М400, Qб=92 мДж/м3, с учетом коэффициента KQб=97,66 мДж/м3

 - расход теплоты, затрачиваемый на нагрев металла форм и форм-вагонеток, , с расходом металла 3 т на м3 бетона, Qм=113 мДж/м3, с учетом коэффициента KQб=119,95мДж/м3

 МДж/м3

Qo - удельный объем потери теплоты не теплоизолированной камеры, отнесенные к 1м3 выпускной продукции

 

ГдеF1 - площадь надземной поверхности стен камеры, равная 69,76 м2

F2 - площадь подземной поверхности стен, равная 13,08 м2

F3 - площадь перегородки между камерами по внешним размерам, равна 25,65 м2

F4 - площадь днища камеры, равна 28,01 м2

q1 - удельные потери теплоты надземной поверхностью наружных стен.

МДж/м2

где - табличное значение удельных потерь теплоты с поверхности надземной части наружных стен камерного блока из тяжелого ж/б за период тепловой обработки, при толщине наружных стен ограждений камеры из тяжелого бетона, равной 0,3м, принимаем=13,6 МДж/м2;

 - время активного пропаривания, т.е. время подачи пара в камеру.

 

,5=11,5 ч

 - расчетная разность maxt0изотермической выдержки и окружающей среды.

 

Где =16 ͦ С

 

МДж/м2

 - удельные расчетные среднесуточные потери теплоты за пятидневную рабочую неделю, учитывающие остывание рабочего объема камеры вследствие потерь теплоты через наружное ограждение за выходные дни.

МДж/м2

 - удельные потери теплоты с одного м2 наружной надземной поверхности стен блока камер при их остывании после прекращения подачи пара за время ежесуточного перерыва подачи пара в периоды охлаждения камеры с открытой крышкой и с закрытой крышкой.

 - удельные потери теплоты с одного м2наружной поверхности стен блока камер при их остывании в течении выходных дней за время простоя м/у рабочими периодами.

Длительность простоя (выходных дней) - 56 часов.

 

Где  - объем камеры;

 

Принимаем q2=26,05 МДж/м2 и  МДж/м2 для стены 0,3 м

k - эмпирический поправочный коэффициент при длительности остывания камеры в 3-ью смену.

При длительности остывании камеры с параметрами  и  отличных от стандартных ( = 8 ч,  = 6 ч), величины q2домножаются на коэффициент k.

 - время остывания камеры с открытой крышкой

 - время остывания камеры с закрытой крышкой

, ч

 

Принимаем k = 0,615

МДж/м2

- удельные расчетные среднесуточные потери теплоты за пятидневную рабочую неделю, учитывающие остывание рабочий объем камеры через межкамерные перегородки блока за выходные дни.

, МДж/м2

где q3- удельные потери тепла с поверхности перегородок камерного блока при остывании после прекращения подачи пара, принимаемые 37,72 МДж/м2

 - удельные потери тепла через межкамерные перегородки при остывании в течении выходных дней, принимаемая 55,4 МДж/м2

МДж/м2

q4 - удельные потери теплоты через поверхность камеры, соприкасающейся с грунтом, принимаемая 15,6 МДж/м2, поправочный коэффициент равен 0,996. С коэффициентом q4= 15,54 МДж/м2

  

 

.        Коэффициент полезного использования теплоты утепленной камеры

 

 - удельные объемные потери для теплоизолированной камеры отнесенные к ед. выпускной продукции, МДж/м3

Если αср= αдн

 

Необходимо задаться коэффициентом полезного использования теплоты утепленной камеры, обеспечив ее энергоэффективность. Следую требованиям современных стандартов по энергосбережению, значение коэффициента использования теплоты утепленной камеры  должен находиться в пределах 0,70,8. Зададимся

.        Вернемся к среднему коэффициенту тепловой эффективности ограждения

При αср= αдн

 

Для неутепленной камеры

 

Для утепленной камеры

 

Коэффициент  должен быть больше 0,57 для стен толщиной 0,3м. Для этого зададимся коэффициентом полезного использования теплоты утепленной камеры .

 

.        Коэффициент теплопроводности тепловой изоляции λи= 0,07 Вт/м˚С и толщина тепловой изоляции δи=0,04 м

Определим толщину тепловой изоляции днища


где Rи - термическая изоляция, для αср= αдн=0,7, принимаем

,9 м˚С/Вт

δб - толщина железобетонной плиты, принятая 0,3 м

λб -коэффициент теплоизоляции бетона, равный 2,33 Вт/м·˚С

λп - коэффициент теплопроводности керамзитовой подсыпки, равный 0,28 Вт/м·˚С

Принимаем тепловую изоляцию днища изподсыпки керамзитного гравия , толщиной 0,22 м, коэффициентом теплопроводности 0,28 Вт/м·˚С .

Для проектирования внутренних перегородок камер с экранной изоляцией при количестве тонких экранов 1шт (количество воздушных прослоек 2) и толщиной воздушной прослойки 0,05 м.

 

Теплотехнический расчет ограждающих конструкций


Общие теплопотери камеры

 кДж/ч

Где  - потери через стены

 кДж/ч

Теплопотери через стены, находящиеся выше уровня грунта

 кДж/ч

 Вт/м2·˚С

 м2·˚С/Вт

Где αв и αн - коэффициент тепловосприятия и теплоотдачи, при этом

 

Где  - температура наружной поверхности ограждения

- температура окружающей среды

- эмпирический коэффициент, отражающий точность математической за˚висимости характера протекания теплообменного процесса, принимаем равный 2,6 для вертикально расположенных поверхностей

 - коэффициент относительно поглощающей способности «серых» тел. Принимаем равным 0,8 для стальных поверхностей, выполненных из черной стали

Зададимся =20˚С

 

Удельный тепловой поток потерь, направленный через стену

 кДж/м2

 кДж/м2

где  - средняя температура внутренней поверхности ограждения, которая равна температуре изотермической выдержки

Расчетное значение температуры на наружней поверхности ограждения

 

 

Принимаем =26,1˚С

 

кДж/м2

 

Принимаем =25,15˚С

 

кДж/м2

 

Принимаем =25,33˚С

 

кДж/м2

 

= 25,3˚С Принимаем данную температуру, как температуру наружной поверхности ограждения

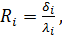
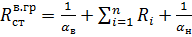
 - термическое сопротивление i-го слоя ограждающей конструкции.

 м2·˚С/Вт

м2·˚С/Вт

м2·˚С/Вт

 м2·˚С/Вт

 Вт/м2·˚С

 кДж/ч

Теплопотери через крышку

Определим толщину тепловой изоляции крышки

 

В качестве каркаса для изоляционного материала используем еловые дощатые щиты:

= 0,025 м

= 0,15 Вт/м2°с

 - общее термическое сопротивлени

 

 (по сортаменту)

Принимаем тепловую изоляцию крышки из 1 плиты минераловатной на синтетическом связующем марки 100, размера плиты 10001000, толщиной 0,04м, коэффициентом теплопроводности 0,056 Вт/м·˚С , и плотностью 100 кг/м3

 кДж/ч

 Вт/м2·˚С

 м2·˚С/Вт

 

где a=3,3для горизонтально расположенных конструкций при теплоотдачи с поверхности вверх

 - площадь крышки, равная 21,83 м2

Принимаем =25˚С

 

кДж/м2

 

Принимаем =22,66˚С

 

кДж/м2

 

Принимаем =22,06˚С

 

кДж/м2

 

= 22,1˚С Принимаем данную температуру, как температуру поверхности крышки.

 - термическое сопротивление i-го слоя крышки.

 м2·˚С/Вт

м2·˚С/Вт

м2·˚С/Вт

 м2·˚С/Вт

 Вт/м2·˚С

 кДж/ч

Потери через стены, находящиеся ниже уровня грунта

 кДж/ч

Где λгр - коэффициент теплоизоляции грунта, равный 1,05 Вт/м·˚С для утрамбованного грунта

- для района Санкт-Петербурга, равная 6˚С

 - площадь ограждения ниже уровня грунта, равная 13,08 м2

 

 м2·˚С/Вт

= 1,43 Вт/м2·˚С

 кДж/ч

Потери через днище

 кДж/ч

 - площадь днища камеры, равная 28,01м2

 м2·˚С/Вт

= 0,389 Вт/м2·˚С

 кДж/ч

Общие теплопотери камеры

 кДж/ч

Тепловой расчет пропарочной камеры


 

кДж/ч

кДж/ч

Затраты тепловой энергии в начальный промежуток времени на:

 - нагрев бетона;

 - нагрев заполнителя;

 - нагрев воды;

 - нагрев металла;

 - экзотермические реакции внутри изделий;

 - нагрев ограждающих конструкций;

 - расход тепловой энергии из магистрального паропровода.

Затраты тепловой энергии в конечный промежуток времени:

 - потери теплоты;

-потери теплоты с утечкой теплоносителя.

Приход теплоты с паром за период нагрева

Затраты тепловой энергии на нагрев бетона

кДж/τн

Где - теплоемкость бетона, равная для тяжелых бетонов 0,84 кДж/кг˚С

- масса сухих бетонных изделий, загружаемых в камеру

кДж/τи

где - плотность выпускаемых бетонных плит, равная 2400 кг/м3

кДж/τи

кДж/τн

Затраты тепловой энергии на нагрев воды

где  - теплоемкость воды, равная 4,19 кДж/кг˚С

- масса воды, загружаемых в камеру с изделиями

кг

где -масса воды, содержащаяся в 1 м3 бетона

кг/м3

Где  - водоцементное отношение, равное 2,35 для плит, марки М400

Ц - масса цемента содержащаяся в 1 м3, Ц = 300 кг/м3

=127,66кг/м3

кг

кДж/τн

Затраты тепловой энергии на нагрев металла, содержащегося в камере

кДж/τн

где  - теплоемкость металла, равная 0,48 кДж/кг˚С

- масса металла, содержащаяся в камере

кг

Где удельная металлоемкость, равная 1100 кг/м3

 кг

кДж/τн

Затраты тепловой энергии на нагрев наружных конструкций

кДж/τн

где - площадь ж/б конструкций стены, соприкасающейся с обрабатываемой средой камеры

 - теплоемкость ограждающих конструкций, равная 0,84кДж/кг˚С

 - коэффициент теплопроводности материала стен, равный 8,9 кДж/м˚С

 - плотность материала ограждающих конструкций, равная 2400 кг/м3

 - время цикла работ пропарочной камеры

кДж/τн

Приход теплоты, выделяющейся в результате реакции гидратации

кДж/τн

Где  - масса цемента, содержащегося в изделиях, загруженных в камеру

 , кг

 , кг

 - количество тепловой энергии, выделяющейся при гидратации одного кг цемента

 

Где  градусо-часы

М - марка бетона, равная М400

 

 

а - эмпирический коэффициент, равный при >260

 

 

 

 кДж/τн

Потери теплоты через наружные конструкции во время нагрева

пропарочный камера теплоснабжение пароснабжение

 кДж/τн

 

 кДж/τн

Потери теплоты с утечкой теплоносителя

 кДж/τн

Где  - коэффициент потерь теплоты с утечкой, равный 0,1

  кДж/τн

кДж/τн

Удельные часовые потери во время нагрева

 кДж/ч

 кДж/ч

Расход пара

 кг/ч

Где r - удельная теплота конденсации водяных паров при атмосферном давлении, раыная 2260 кДж/кг

 кг/ч

Удельный часовой расход пара в период нагрева, отнесенный к 1 м3 бетона

 кг/м3·ч

кг/м3·ч

Приходи теплоты с паром за период изотермической выдержки

кДж/τи

Где  - потери теплоты через наружные конструкции за время нагрева

 кДж/τи

 кДж/τи

Потери теплоты с утечкой теплоносителя

кДж/τи

Дж/τи

Приход теплоты, выделяющейся в результате реакции гидратации

 кДж/τи

 кДж/τи

кДж/τи

Удельные часовые потери во время нагрева

кДж/ч

кДж/ч

Расход пара

 кг/ч

Где r - удельная теплота конденсации водяных паров при атмосферном давлении, раыная 2260 кДж/кг

 кг/ч

Удельный часовой расход пара в период нагрева, отнесенный к 1 м3 бетона

 кг/м3·ч

кг/м3·ч

Удельный часовой расход, пара за время тепловой обработки, отнесенный к 1 м3 бетона

кг/ч

кг/ч

Годовой расход пара

кг/год; (т/год)

т/год

Средний расход пара

 кг/ч

Где  , а  ч.

 кг/ч

 

 

Пароснабжение камер периодического действия


В данной курсовой работе была принята схема с насадками сопла Ловаля из-за увеличенной скорости подачи пара, следствием чего является лучшая циркуляция паровоздушной смеси.

Схема пароснабжения

Требуемая пропускная способность паропровода

, м3

Где  - плотность пара, равная 0,597 кг/м3

 м3

Площадь живого сечения трубопровода

м2

Где  - рекомендуемая скорость пара

Задаемся  м/с

м2 = 12152,4 мм2

 ,мм

 ,мм

Берем =133 мм при толщине стенки 3,5 мм

 ,мм2

 ,мм2

 ,м/с

 

Принимаем трубопровод диаметром, равным =133 мм при толщине стенки 3,5 мм и живым сечением трубопровода, равным 129,5

Расчет дроссельной шайбы

 ,мм

Где - давление после дроссельной шайбы по движению пара, равное 0,1 Мпа

- давление до дроссельной шайбы, равное 1 МПа

 ,мм

Расчет перфорированного парораспределительного трубопровода

 

Где - диаметр отверстий, задаемся равным 3мм

 

 

 

Схема теплоснабжения завода по производству строительных изделий


Определить годовой расход природного газа и условного топлива для завода железобетонных изделий производительностью 40000 м3/год.

На заводе имеются:

.        производственный цех размером 144х54х12 (м), в котором работает 4 пропарочных камер;

.        цех подготовки сырья размером 64х24х8 (м), где подогревают и сушат сырье и заполнители для бетонных работ;

производительность тепловых установок по сырью:

песок 2 м3

щебень 4 м3

На подогрев песка тратится пара 60 кг/м3

На подогрев щебня тратится пара 40 кг/м3

.        Административное здание размером 32х24х12 (м)

На предприятиях в цеховых помещениях трудится 240 рабочих

Теплота сгорания природного газа, подаваемого в котельную 35000 кДж/м

КПД заводской котельной составляет 90%.

Определение затрат теплоты на производственные нужды по укрупненным показателям

)        Пропарочные камеры

Часовой расход теплоты

кДж/ч

Годовой расход пара, МДж/год

=24 ч - коэффициент оборачиваемости пропарочных камер

n1=252 ч - количество рабочих дней в году.

 

2)      Установки подтаяния и подготовки заполнителей

, кДж/ч

Для пескаVз=2 м3/ч; qн=60 кг/м3

кДж/ч

Для щебеня Vз=4 м3/ч;qн=40 кг/м3

 кДж/ч

Общий

 

годовой расход пара


 

Определение затрат теплоты на непроизводственные нужды.

Затраты теплоты на отопление

 

где Vн - объем здания по наружному обмеру, м3

qо - удельная отопительная характеристика здания для систем отопления,

tв- температура внутреннего воздуха в основных помещениях здания, ͦ С

tно- расчетная температура наружного воздуха для систем отопления, равное

Согласно СНиП принимаем 23-01-99* «Строительная климатология»

tно= -26  ͦ С для Санкт-Петербурга.

a - коэффициент, учитывающий изменение удельной тепловой характеристики в зависимости от расчетной температуры наружного воздуха

 

Для производственного цеха и цеха подготовки сырья

 

Для административного здания

 

 

 

Годовой расход теплоты на отопление

, кДж/год

,5 - средний коэффициент летнего и зимнего периода

no - отопительный период, для Санкт-Петербурга no=220 сут.

 

Затраты теплоты на вентиляцию

, кДж/ч,

Где qв - удельная отопительная характеристика здания для систем вентиляции, . Зависит от объема здания по наружному обмеру и его предназначения.

tнв- расчетная температура наружного воздуха для систем вентиляции, ͦС

Согласно СНиП 23-01-99* «Строительная климатология» принимаем

tно= -12  ͦ С для Санкт-Петербурга.

 

 

Годовой расход теплоты на вентиляцию

, кДж/год

 

Часовой расход на ГВС

, кДж/ч,

Где q= 60 л/чел - норма расхода горячей воды на 1 человека

m - количество рабочих на предприятии, равное 240

св =4,2 кДж/моль ͦ С - теплоемкость воды

tгвс= 65 ͦ С - температура в сети горячего водоснабжения

tхв= 5 ͦ С - температура в сети холодного водопровода(для зимнего периода)

τ1=4 ч - время подготовки горячей воды

 

Годовой расход теплоты на ГВС

, кДж/год

1 = 252 - количество рабочих дней в году.

 

Свободная балансовая таблица

Наименование статей

Часовые теплопотребления , гДж/ч

Годовые теплопотребления , тДж/г

На технические нужды

Ямные камеры

Установки по подготовки заполнителей

Всего на технические нужды

На нетехнические нужды

На отопление

На вентиляцию

На ГВС

Всего на нетехнические нужды

Всего на предприятии


Часовой расход теплоносителя на производственные нужды:

 , кг/ч

где  - часовое теплопотребление производственного цикла, кДж/ч;

- коэффициент резерва (коэффициент запаса мощности), равный

 - коэффициент потерь теплоты при ее транспортировки, равный

 - удельная теплота конденсации водяных паров,

 , кг/ч.

Расход теплоносителя для поддержания работы установок на нетехнологические процессы:

 , кг/ч

 кг/ч.

Часовые расходы теплоносителя в зимние и летние периоды:

, т/ч;

, т/ч;

, кг/ч;

, т/ч;

 , кг/ч.

, т/ч;

Подбор котлов

Три условия:

.        Все котлы, работающие в котельной должны иметь одинаковый тип и производительность;

.        Количество установленных котлов должно быть не менее 2 и не более 4;

.        Все котлы должны работать с максимально возможной тепловой нагрузкой, по возможности близкой к номинальной как в летние, так и в зимние периоды года (ближе к 100 %).

В курсовой работе используем котлы марки «ДЕ» - двубарабанные котлы с естественной вентиляцией.

Период года


Номенклатурный ряд котлов «ДЕ»



2,5

4

6,5

10

16

25

Зима

Число котлов

5

3

2

2

1

1


Нагрузка, %

95

99

91

59

74

47

Лето

Число котлов

3

2

1

1

1

1


Нагрузка, %

71

67

82

54

34

21


Пример расчета (для ДЕ 25 зима):

Дз = 11,83, т/ч;

Число котлов:

Нагрузка: .

Аналогично производится расчет для летнего периода.

Исходя из условий подбора котлов, пренебрегая 2, выберем котлы марки ДЕ 6,5, так как КПД таких котлов будет высокий.

Максимальный часовой расход натурального топлива для зимнего и летнего периода:

, кг/ч;

, кг/ч;

где  - низшая теплота сгорания рабочего топлива, равная 3 кДж/м3;

 - КПД котла, ;

 - удельная теплота конденсации водяных паров, равная

, кг/ч;

, кг/ч;

Годовой расход натурального топлива:

,т/г;

где  - годовое теплопотребление предприятия, кДж/г;

,66, т/г;

Максимальный часовой расход условного топлива для зимнего и летнего периода:

, кг у.т./ч;

, кг у.т./ч;

где  - теплота сгорания условного топлива, равная

, кг у.т./ч;

, кг у.т./ч;

Годовой расход условного топлива:

 ,т у.т./г;

 ,т у.т./г;

 

Мероприятия по охране труда и окружающей среды


Тепловые установки на заводах строительных материалов и изделий являются агрегатами повышенной опасности, так как их работа связана с выделением теплоты, влаги, пыли, дымовых газов. Поэтому условия труда при эксплуатации таких установок строго регламентируются соответствующими правилами и инструкциями. Контроль за соблюдением правил и инструкций по охране труда и технике безопасности осуществляется органами государственного надзора и общественными организациями, которые и разрабатывают эти нормы.

Согласно действующим нормативам, в цехах, где размещаются тепловые установки, необходимо иметь: паспорт установленной формы с протоколами и актами испытаний, осмотров и ремонтов на каждую установку; рабочие чертежи находящегося оборудования и схемы размещения КИП; исполнительные схемы всех трубопроводов с нумерацией арматуры и электрооборудования; инструкции по эксплуатации и ремонту. В таких инструкциях должно быть краткое описание установок, порядок их пуска, условия безопасной работы, порядок остановки, указаны меры предотвращения аварии. Кроме того, инструкции должны содержать четкие указания о порядке допуска к ремонту установок, о мерах безопасного обслуживания и противопожарных мероприятиях.

На стадии проектирования предусматриваются нормы безопасной работы и эксплуатации тепловых установок. Каждая тепловая установка разрабатывается с таким расчетом, чтобы она создавала оптимальные условия ведения технологического процесса и безопасные условия труда. Для этого необходимо, что бы поверхности установок были теплоизолированны и имели температуру не выше 40.

Проектировать топки, сушила, печи, в которых используются продукты горения топлива, разрешается только на давление менее атмосферного (разрежение). Установки для тепловлажностной обработки проектируются с обязательной герметизацией. Эти установки оборудуют вентиляцией рабочего пространства, которая включается перед выгрузкой изделий и тем самым позволяет удалять пар из установки.

Оборудование тепловых установок проектируют с ограждение, а его включение в работу должно сопровождаться звуковой и световой сигнализацией. Площадки для обслуживания, находящиеся выше уровня пола, оборудуют прочным ограждением и сплошной обшифкой по нижнему контуру.

Отопление и вентиляция цехов, в которых устанавливают тепловые установки, необходимо рассчитать с учетом выделения теплоты, испарения влаги и выделения пыли. Электрооборудование тепловых установок должно быть запроектировано с ограждением и заземлением. Все переносное освещение делают низковольтным.

Особое внимание при проектировании тепловых установок следует уделять очистке работающих теплоносителей ль уносов пыли и мелких частиц материала. Согласно нормативным указаниям, для тепловых установок следует проектировать специальные очистные устройства.

При эксплуатации тепловых установок в цехах, где они расположены, кроме соблюдения требований, упомянутых в общих положениях, обязательно должны быть вывешены на видном месте инструкции по правилам эксплуатации установок и охране труда. Весь обслуживающий персонал тепловых установок допускается к работе только после изучения, а также после обязательного документального оформления и проверки его знаний.

Крышки ямных пропарочных камер должны быть достаточно герметичны и оборудованы водяными затворами. На стенах ямных камер предусматривают скобы для спуска рабочих при ремонте и чистке. Кждую камеру оборудуют вентиляцией.

Туннельные и щелевые камеры снабжают блокировкой снижателей и подъемников для загрузки форм-вагонеток. Все камеры, пакеты и кассеты должны иметь герметичные системы подвода пара, оборудованные надежными вентилями. В цехах, где расположены камеры, кассеты, пакеты, и другие установки, обязательно устраивают пропарочно-вытяжную вентиляцию.

Электрооборудование и электроприборы, размещены в цехах, где производят тепловлажностную обработку, должны быть рассчитаны на работу во влажной среде. Электродвигатели должны иметь обязательное заземление.

В цехах, где расположены установки для тепловлажностной обработки, вывешивают инструкции по охране труда при обслуживании данных тепловых установок

Список используемой литературы

1.      Курс лекций. Теплотехника / В.А. Яковлев. - СПб.: СПбГАСУ, 2014

.        Марьянов Н.Б. Тепловая обработка изделий на заводах сборного железобетона / Н.Б. Марьянов. - М.: Стройиздат, 1970. - 205 с.

Похожие работы на - Проектирование пропарочной камера 'Гипростройиндустрия'

 

Не нашли материал для своей работы?
Поможем написать уникальную работу
Без плагиата!
Без нейросетей!