Проектирование и теплотехнический расчет ямной пропарочной камеры
ПОЯСНИТЕЛЬНАЯ
ЗАПИСКА
Проектирование
и теплотехнический расчет ямной пропарочной камеры
Введение
Теплотехника -
общетехническая дисциплина, изучающая методы получения, преобразования,
передачи и использования теплоты, а также принцип действия и конструктивные
особенности тепло- и парогенераторов тепловых машин, установок, агрегатов и
устройств. Теоретическими разделами теплотехники, в которых исследуются законы
превращения и свойства тепловой энергии, а также процессы распространения теплоты
являются техническая термодинамика и теория теплообмена.
Наиболее
распространенным типом тепловых установок являются пропарочные камеры
периодического и непрерывного действия, на долю которых приходится свыше 80%
годового выпуска сборного Ж/Б. [1]
Твердение бетонных
и железобетонных изделий на заводах при обычной температуре (15… 20°С)
нерационально, так как слишком продолжительно, уменьшает оборачиваемость форм,
задерживает выпуск готовой продукции. Для ускорения твердения бетона применяют
тепловую обработку.
Существуют
следующие разновидности тепловой обработки: 1) пропаривание в камерах при
температуре до 100° С и нормальном давлении; 2) пропаривание в автоклавах при
температуре около 175°С и давлении около 0,8 МПа - наиболее быстрый способ
твердения бетона; 3) электропрогрев; 4) контактный прогрев в обогреваемых
формах; 5) прогрев изделий из легкого бетона в камерах с пониженной влажностью.
Тепловлажностная обработка
предназначена для, сокращения технологического цикла изготовления легкобетонных
изделий. Чаще всего ее осуществляют в камерах пропаривания непрерывного или
периодического действия.
В настоящее время в строительной
индустрии используют несколько видов установок периодического действия для ТВО:
1) ямные пропарочные камеры; 2) стенды; 3) кассетные установки.
Ямные пропарочные камеры.
Ямные пропарочные камеры принадлежат
к установкам, наиболее распространенные в промышленности сборного железобетона.
Они сооружают как в цехах, так и на
полигонах. В зависимости от вертикальной планировки, уровня грунтовых вод и
прочих местных условий камера заглубляется по отношению к отметке пола
полностью или частично, так чтобы ограждение камеры выступило над поверхностью
пола на 0,5 - 0,7 м.
Основными элементами ямной камеры
являются стенки, пол с гидравлическим затвором для стока конденсата, съемные
(одна или несколько) крышки и система паропроводов с запорной и регулировочной
арматурой для подачи пара в камеру. Стенки камеры обычно изготавливаются из
тяжелого железобетона толщиной от 250 - 400 мм в зависимости от габаритов
вмонтированных в стены деталей (труб, опорных швеллеров, водяных затворов и
т.д.). Такие стены являются прочными, малотеплопроводными и достаточно
непроницаемыми для паровоздушной смеси. Однако недостатком является большой
расход тепла на их нагрев, большая тепловая инерция, которая в ряде случаев не
позволяет в заданное время нагревать или охлаждать изделия.
Пол камеры делают бетонным и
гидроизоляцией на утепленном слое. Для стока конденсата через гидравлический
затвор в канализацию пол имеет наклон (0,005 - 0,01).
Крышки ямных камер представляют
собой плоские металлические сварные рамные конструкции, плотно обшитые с двух
сторон строганными, соединенными в шпунт досками, между которыми проложены
мягкие теплоизолирующие материалы (минеральная вата). В целях уменьшения
паропроницаемости низ крышек обшивают стальными листами 1,5 - 2 мм толщиной.
Для предупреждения утечки
паровоздушной смеси или пара через неплотности, образуемые крышкой и стенками
камеры, применяются гидравлические или печные затворы (корыто из швеллера,
лежащего на верхнем обрезе стен, в который при опускании крышки опирается ребро
уголка, укрепленного по всему ее периметру. Корыто заполняется водой или
влажным песком материалов).
Камеры большого объема закрываются
составными крышками.
Крышки ямных камер должны быть не
только хорошо теплоизолированы, но и обладать достаточной жесткостью во
избежание коробления и появления неплотностей.
На внутренней поверхности крышек
даже при хорошем уплотнении конденсируется пар, и падающие капли могут
испортить поверхность изделий. Для устранения этого явления крышки делают с
уклоном, благодаря чему конденсат стекает к стенам в гидравлический затвор.
Размеры камеры определяются
типоразмерами изделий, которые в ней пропариваются.
Для достижения наибольшей
равномерности тепловлажностной обработки изделий их следует укладывать в камеры
таким образом, чтобы между ними были достаточные зазоры (от дна до формы не
менее 150 мм, по вертикали между изделиями - не менее 30 мм, между верхним
изделием и крышкой - примерно 50 мм).
Загрузка и выгрузка изделий
производится мостовым электрическим краном.
Пар, поступая в камеру, повышает
температуру ее среды в результате конденсации на твердых частицах в воздухе,
конденсации на стенках камеры, и вследствие перемешивания с воздухом. Благодаря
этому относительная влажность в ямной камере всегда равна 100%.
Для того, чтобы давление в камере не
превышало 8 - 10 мм вод. ст. (безнапорная камера), в ней устанавливается
обратная труба, на которой имеется гидравлический клапан или водяной затвор для
поддержания в камере заданного избыточного давления.
Пар подается в камеру через
закольцованную перфорированную трубу, расположенную у пола камеры по ее
периметру. Диаметр трубы и количество отверстий зависят от давления и расхода
пара и определяется по расчету.
Пар из перфорированной трубы следует
выпускать вверх в пространство между стенами и штабелем изделий (по периметру).
Тогда благодаря эжектирующему эффекту паровой струи в камере создается
циркуляция паровоздушной смеси, что улучшает также нагрев изделий в камере.
Кроме того к струе пара
подсасывается воздух из середины камеры в нижней ее зоне, что также увеличивает
теплообмен.
В результате происходит быстрее
выравнивание температуры паровоздушной среды по ее высоте.
Согласно рекомендациям «Общесоюзных
норм технологического проектирования предприятий сборного железобетона»
ОНТП-7-85 удельный расход пара в таких камерах, должен составлять 170 кг/м3
[2].
1. Физико-химические
основы тепловлажностной обработки
1.1 Виды, свойства и
параметры водяного пара
тепловлажностный ямный
пропарочный установка
Виды пара
Известно, что любое вещество в
зависимости от внешних условий (давления и температуры) может находиться в
газообразном, жидком и твердом агрегатных состояниях, или фазах, а также
одновременно находиться в двух или трех состояниях.
Переход вещества из одного
агрегатного состояния в другое называется фазовым переходом, или фазовым
превращением. Вещество в разных агрегатных состояниях имеет различные свойства,
в частности плотность. Это различие объясняется характером межмолекулярного
взаимодействия.
Переход вещества из твердого
состояния в жидкое называется плавлением, из жидкого в газообразное -
испарением, из твердого в газообразное - сублимацией. Обратные процессы
соответственно называются затвердеванием, или кристаллизацией, конденсацией и
десублимацией.
Процесс получения пара из жидкости
может осуществляться испарением и кипением. Испарением называется
парообразование, происходящее только со свободной поверхности жидкости и при
любой температуре.
Кипением называется бурное
парообразование по всей массе жидкости, которое происходит при сообщении
жидкости через стенку сосуда определенного количества теплоты. При этом
образовавшиеся у стенок сосуда и внутри жидкости пузырьки пара, увеличиваясь в
объеме, поднимаются на поверхность жидкости.
Процесс парообразования начинается
при достижении жидкостью температуры кипения, которая называется температурой
насыщения tн и на протяжении всего процесса остается неизменной.
Температура кипения, или температура насыщения, tн зависит от
природы вещества и давления, причем с повышением давления tн
увеличивается. Давление, соответствующее tн называется давлением
насыщения рн.
Насыщенным паром называют пар,
который образовался в процессе кипения и находится в динамическом равновесии с
жидкостью. Насыщенный пар по своему состоянию бывает сухим насыщенным и влажным
насыщенным.
Сухой насыщенный пар представляет
собой пар, не содержащий капель жидкости и имеющий температуру насыщения (t=tн)
при данном давлении.
Влажный насыщенный пар - это
равновесная смесь, состоящая из капель жидкости, находящейся при температуре
кипения, и сухого насыщенного пара.
Отношение массы сухого насыщенного
пара mс.п. к массе влажного насыщенного параmв.п.
называется степенью сухости х влажного пара, то есть
тепловлажностный ямный
пропарочный установка
Очевидно, что для жидкости х=0, для
сухого насыщенного пара х=1.
Если к сухому насыщенному пару
продолжать подводить теплоту, то его температура увеличится. Пар, температура
которого при данном давлении больше, чем температура насыщения (t>tн),
называется перегретым. Другими словами говоря перегретый пар - это пар,
находящийся при температуре, превышающей температуру кипения жидкости при давлении,
равном давлению перегретого пара. Величина превышения температурой пара
температуры кипения жидкости называется степенью перегрева пара.
Водяной пар является реальным
рабочим телом и может находиться в трёх состояниях: влажного насыщения, сухого
насыщения и в перегретом состоянии. Для технических нужд водяной пар получают в
паровых котлах (парогенераторах), где специально поддерживается постоянное
давление.
Советскими учеными М.П. Вукаловичем
и И.И. Новиковым в 1939 г. было получено уравнение для реальных газов с учетом
ассоциации и диссоциации их молекул. В общем виде это уравнение записывается в
следующей форме:
Коэффициенты А и В
определяют из равенств:
Приведенное
уравнение можно применять к любому реальному газу, и в частности к перегретому
водяному пару. Но в связи с тем, что практически это сложное уравнение
использовать трудно, с его помощью были вычислены основные физические величины
перегретого водяного пара при различных р и Т, составлены таблицы
и построена диаграмма в is-координатах, на
основании которых и проводятся расчеты процессов изменения состояния водяного
пара.
Параметры пара.
Жидкость. Удельный
объем воды при 0°
и
различных давлениях одинаков и равен 0,001 м3/кг (v0’). При температурах
насыщения и различных давлениях удельный объем воды (v’) изменяется в узком диапазоне - от 0,001 (tн = 0°
) и pн = 0,61 кПа) до 0,003147 м3/кг (tн = tк= 374.116°
и pн = pк= 22,1145 МПа). Количество теплоты q’, расходуемой при p=const на нагревание 1 кг воды от 0°
до температуры tн, характеризует теплоту
жидкости. Очевидно,
(где
от давления и температуры, определяется по эмпирическим
формулам).
В соответствии с
первым законом термодинамики q =
U + А имеем
' = U' - U’0+р
(v' - v) (а)
т.к. при давлениях
ниже p = 4 МПа внешняя работа А незначительна, ей можно пренебречь,
поэтому q'
U' (б)
При определении
энтальпии имеем
i' = U'
+ pv',' = q' + U’0 - р (v' - v0) + pv' = q' + U’0 +pv’0
=q' + pv’0
Теплоемкость воды:
(3)
Считая, что Ср =
4,19 кДж/(кr*К) const, энтропия
(4)
Сухой насыщенный
пар. Состояние cyxoгo насыщенного пара, который получается в результате
подогрева воды до tн, а затем полного ее
испарения, определяется одним параметром р или tн (см. Рис. 1). Поэтому все остальные параметры cyxoгo пара (v»,
s», i» и т:' д.) находят по таблицам насыщенных паров в зависимости от давления
или температуры.
Уравнение первого
закона термодинамики для процесса парообразования имеет вид:
= U» - U' + р (v» - v').
Обозначая U» - U' =
и р (v» - v') =
,
получим: r =
(где
внутренняя и внешняя теплота парообразования.)
Внутреннюю энергию
cyxoгo пара определяют по формуле:
» =
Энтальпию сухого
пара определяют:
i'’= U»+ pv’’,
Энтропию:
s» = s'
+
(5)
Рис. 1 Диаграмма
парообразования
Удельный объем
сухого насыщенного пара v» определяется исходя из уравнения:
Влажный насыщенный
пар. Состояние влажного пара в отличие от cyxoгo характеризуется двумя
параметрами: pн (или Tн) и степенью сухости х. Все параметры влажного пара снабжаются
индексом х: например vx, U х, ix и т.д. Удельный объем влажноuо пара vx как объем смеси, состоящей из
(1-х) кг кипящей воды и х кг cyxoгo пара, находят из равенства vx =(1-х) v' + хv» откуда,
(7)
Для вычисления Uх
используют соотношение:
х =
(8)
Энтальпия:
(9)
Энтропия:
= s' +
(10)
Перегретый пар.
Свойства перегретого пара резко отличаются от свойств насыщенного пара и
приближаются к свойствам газов и тем больше, чем больше eгo перегрев.
Количество теплоты,
необходимой для перевода 1 кг cyxoгo насыщенного пара при постоянном давлении в
перегретый с температурой t, называют теплотой перегрева qпер, и
определяют по выражению:
Внутреннюю энергию
перегретого пара U находят из равенства:
Энтальпию
перегретого пара i определяют по известному соотношению i = U + pv или
Энтропию во время
процесса перегрева (см. Рис. 1) от
до Т вычисляют:
.2
Теория твердения портландцемента
Химико-минералогический
состав портландцемента и его твердение
Портландцементом называют
гидравлическое вяжущее вещество, в составе которого преобладают силикаты
кальция (70-80%). Портландцемент - продукт тонкого измельчения клинкера с
добавкой гипса (3-5%). Клинкер представляет собой зернистый материал
(«горошек»), полученный обжигом до спекания (при 1450°С) сырьевой смеси,
состоящей в основном из углекислого кальция (известняки различного вида) и
алюмосиликатов (глины, мергеля, доменного шлака и др.). Небольшая добавка гипса
регулирует сроки схватывания портландцемента.
Для производства
портландцемента имеются неограниченные сырьевые ресурсы в виде побочных
продуктов промышленности (шлаков, зол, шламов) и распространенных карбонатных и
глинистых горных пород. Автоматизация производственных процессов и переход к
производству цемента на заводах-автоматах значительно снижают потребление
энергии и трудоемкость, позволяют значительно увеличить выпуск цемента в
соответствии с гигантским масштабом строительства в нашей стране.
Производство
портландцемента - сложный технологический и энергоемкий процесс, включающий:
добычу в карьере и доставку на завод сырьевых материалов известняка и глины;
приготовление сырьевой смеси; обжиг сырьевой смеси до спекания - получение
клинкера; помол клинкера с добавкой гипса - получение портландцемента.
Обеспечению заданного состава и качества клинкера подчинены все технологические
операции.
Химический состав клинкера выражают содержанием оксидов (% по массе). Главными являются: СаО
- 63-66%, Si02 - 21 -24%, Аl2 Оз - 4-8% и Fe203 - 2-4%,
суммарное количество которых составляет 95 - 97%. В небольших количествах в
виде различных соединений могут входить MgO, SiO3, Na20, К20, ТiO2, Сr20з и Р2О5.
В процессе обжига, доводимого до спекания, главные оксиды образуют силикаты,
алюминаты и алюмоферрит кальция в виде минералов кристаллической структуры, а
некоторая часть их входит в стекловидную фазу.
Минеральный состав клинкера. Основными минералами клинкера являются: алит, белит,
трехкальциевый алюминат и алюмоферрит кальция.
Алит 3Ca0*Si02 (или C3S) - самый важный минерал клинкера,
определяющий быстроту твердения, прочность и другие свойства портландцемента;
содержится в клинкере в количестве 45-60%.
Белит 2Ca0*Si02 (или C2S) - второй по важности и содержанию
(20-30%) силикатный минерал клинкера. Он медленно твердеет, но достигает
высокой прочности при длительном твердении портландцемента.
Трехкалъциевый алюминат (или С3А)
- в клинкере содержится в количестве 4-12% - самый активный клинкерный минерал,
быстро взаимодействует с водой. Является причиной сульфатной коррозии бетона,
поэтому в сульфатостойком портландцементе содержание С3А ограничено
5%.
Четырехкальциевый алюмоферрит (или C.AF) - в клинкере
содержится в количестве 10-20%. Характеризуется умеренным тепловыделением и по
быстроте твердения занимает промежуточное положение между C3S и C2S.
Клинкерное стекло
присутствует в промежуточном веществе в количестве 5-15%, оно состоит в
основном из СаО, А1203, Fе203, MgO, К20, Na20.
Содержание
свободных СаО и MgO не должно превышать соответственно 1% и 5%. При более высоком их
содержании снижается качество цемента и может проявиться неравномерное
изменение его объема при твердении, связанное с переходом СаО в Са(ОН)2
и MgO
в Mg(OH)2.
Щелочи (Na20, К20) входят в алюмоферритную фазу клинкера, а также
присутствуют в цементе в виде сульфатов. Содержание щелочей в портландцементе
ограничивается до 0,6% в случае применения заполнителя (песка, гравия),
содержащего реакционно-способные опаловидные модификации двуоксида кремния,
из-за опасности растрескивания бетона в конструкции.
Цементное тесто, приготовленное
путем смешивания цемента с водой, имеет три периода твердения. Вначале, в течение
1-3 ч после затворения цемента водой, оно пластично и легко формуется. Потом
наступает схватывание, заканчивающееся через 5-10 ч после затворения; в это
время цементное тесто загустевает, утрачивая подвижность, по его механическая
прочность еще невелика. Переход загустевшего цементного теста в твердое
состояние означает конец схватывания и начало твердения, которое характерно
заметным возрастанием прочности. Твердение при благоприятных условиях длится
годами - вплоть до полной гидратации цемента.
Химические реакции. Сразу после затворения цемента водой начинаются химические
реакции. Уже в начальной стадии процесса гидратации цемента происходит быстрое
взаимодействие алита с водой с образование гидросиликата кальция и гидроксида:
(3Ca0*Si02) + 6Н20
= 3Ca0*2Si02 ЗН20
+ ЗСа(ОН)2.
После затворения гидроксид кальция
образуется из алита, так как белит гидратируется медленнее алита и при его
взаимодействии с водой выделяется меньше Са(ОН)2, что видно из
уравнения химической реакции:
(2CaO*SiО2) + 4Н20
= ЗСа0*2SiО2*ЗН20 + Са(ОН)2.
Взаимодействие трехкальциевого
алюмината с водой приводит к образованию гидроалюмината кальция:
СаО*Аl2О3 + 6Н20 = ЗСа0*А1203*6Н20.
Для замедления схватывания при
помоле клинкера добавляют небольшое количество природного гипса (3-5% от массы
цемента). Сульфат кальция играет роль химически активной составляющей цемента,
реагирующей с трехкальциевым алюминатом и связывающей его в гидросульфоалюминат
кальция (минерал эттрингит) в начале гидратации портландцемента:
ЗСаО*А1203
+ 3 (CaS04-2H20) + 26Н20 =
ЗСаО*А1203*3CaSO4*32H2O.
В насыщенном растворе Са(ОН)2
эттрингит сначала выделяется в коллоидном тонкодисперсном состоянии, осаждаясь
на поверхности частиц ЗСаО*Аl2Оз, замедляет их
гидратацию и затягивает начало схватывания цемента. Кристаллизация Ca(OH)2 из
пересыщенного раствора понижает концентрацию гидроксида кальция в растворе, и
эттрингит уже образуется в виде длинных иглоподобных кристаллов. Кристаллы
этфингита и обусловливают раннюю прочность затвердевшего цемента. Эттрингит, содержащий
31-32 молекулы кристаллизационной воды, занимает примерно вдвое больший объем
по сравнению с суммой объемов реагирующих веществ (С3А и сульфат
кальция). Заполняя поры цементного камня, эттрингит повышает его механическую
прочность и стойкость. Структура затвердевшего цемента улучшается еще и потому,
что предотвращается образование в нем слабых мест в виде рыхлых гидроалюминатов
кальция.
Четырехкальциевый алюмоферрит при
взаимодействии с водой расщепляется на гидроалюминат и гидроферрит:
СаО*Аl2Оз*Fe2Оз + m*Н20 = 3СаО*Аl2Оз*6Н20 + Ca0*Fe203*nН2О.
Гидроалюминат
связывается добавкой. природного гипса, как указано выше, а гидроферрит входит
в состав цементного геля.
Кроме описанных
химических преобразований, протекающих при твердении цемента, большое значение
имеют физические и физико-химические процессы, которые сопровождают химические
реакции и приводят при затворении водой к превращению цемента сначала в
пластичное тесто, а затем в прочный затвердевший камень.
В конечном виде
цементный камень представляет собой неоднородную систему - сложный конгломерат
кристаллических и коллоидных гидратных образований, непрореагировавших остатке
цементных зерен, тонкораспределенных воды и воздуха. Его называют иногда
микробетоном. [4], [5].
.3
Тепломассообмен при тепловлажностной обработке бетонов
Тепловлажностная
обработка бетона предусматривает воздействие теплой и влажной среды с условием
сохранения влаги в материале. Такая обработка происходит в паровоздушной среде
при относительной влажности близкой к 100%. При этом если температура среды в
камере ниже 100 град. С, а давление равно барометрическому, то камера будет
заполнена насыщенным паром с примесью воздуха; если же температура среды равна
100 град. С, то камеры заполняется чистым насыщенным паром без примеси воздуха.
При нагреве бетона
пар, отдавая свою теплоту, конденсируется на поверхности бетона. При этом
меняется как температура, так и влагосодержание поверхности бетона и среды. Эти
процессы определяют условия внешнего тепло- и массообмена.
От этих условий
зависят скорость нагрева изделия и степень увлажнения его поверхности, а также
температурное поле в установке находится воздух, а давление среды Ру равно
атмосферному. после заполнения камеры паром общее давление в установке
сохраняется равным атмосферному и складывается из парциального давления
водяного пара Рп’ и парциального давлении воздуха Рв’:
Ру= Рп’+
Рв’=0,1 МПа
Поступающий
насыщенный пар попадает на более холодную поверхность материала, конденсируется
с образованием пленки конденсата. Поверхность материала нагревается и ее
температура tп.м. возрастает и стремится
к температуре паровоздушной среды tп.с..
У поверхности
пленки конденсата парциальное давление пара снижается до Р»в,
а парциальное давление воздуха возрастает до Р»в.
При этом на стороне
пленки конденсата, обращенной к поровоздушной смеси, температура tж приближается к температуре насыщения tн при парциальном давлении пара Рп».
Удельный поток
теплоты (qт), при толщине пленки (
:
(15)
где
коэффициент теплопроводности пленки конденсата.
Удельный поток
теплоты пара (qп), конденсирующегося на
поверхности,
(16)
где
коэффициент массообмена при конденсации,
парциальное давление водяного пара в установке;
парциальное давление
водяного пара у поверхности изделия.
Теплота отдаваемая
паром при конденсации:
(17)
где r - теплота парообразования;
удельная масса конденсирующего пара.
Дополнительный
перенос теплоты от паровоздушной смеси к пленке конденсата, т.е. удельный поток
теплоты:
(18)
где
коэффициент теплоотдачи от паровоздушной смеси к пленке
конденсата, т.е. удельный поток теплоты.
Удельный поток
массы влаги, испаряемой с поверхности изотермической выдержке:
(19)
Основной задачей
при изучении внутреннего тепломассообмена при тепловлажностной обработке
является определение удельных потоков теплоты и массы. Удельный поток теплоты
внутрь материала от нагретой и дополнительно увлажняемой поверхности
(20)
где
градиент температуры; i - удельное теплосодержание потока массы;
плотность удельного потока массы.
Общее уравнение
потока массы в материале представляют собой сумму плотностей частных потоков (
:
(21)
С учетом переноса
массы уравнение удельного потока теплоты имеет вид:
(22)
где аm - коэффициент потенциалопроводности;
плотность абсолютно сухого материала;
термоградиентный коэффициент, учитывающий термовлагоопроводность
материала;
коэффициент,
учитывающий влияние на массоперенос перепада давления. Для анализа этого
уравнения рассматривают замкнутую систему процесса тепловлажностной обработки.
Длительность процесса тепловлажностной обработки бетона определяют составом
бетонной смеси, параметрами теплоносителя и условиями взаимодействия
теплоносителя с бетонной смесью. Входные параметры бетонной смеси следующие:
плотность
теплопроводность
, теплоемкость
,
влагосодержание
,
температура
прочность
. Теплоноситель характеризуется температурой
и относительной влажностью
. Выходными параметрами бетонной смеси являются: плотность
, теплопроводность
,
теплоемкость
,
влагосодержание
,
температура
прочность
. Выходные параметры теплоносителя характеризуется температурой
и относительной влажностью
. Условия взаимодействия теплоносителя с бетонной смесью
характеризуется параметрами: коэффициентом потенциалопроводности
, длительностью тепловой обработки
, характеристикой, учитывающей отношение объема изделия к его
открытой поверхности,
.
C учетом этих параметров можно составить схему изучения
тепловлажностной обработки (Рис. 2).
Рис. 2. Блок - схема
процесса тепловлажностной обработки
2.
Схема, описание принципа действия ямной пропарочной установки
2.1 Пропарочная камера
ямного типа
Раньше всех на заводах сборного
бетона и железобетона появились ямные и туннельные камеры периодического
действия. Постепенно с развитием промышленности несовершенные камеры
периодического действия утратили свое значение, и в промышленности остались
только камеры ямного типа.
Простейшей и наиболее
распространенной является пропарочная камера ямного типа. Эти камеры, которые
называют просто ямными, применяют как на заводах, так и на полигонах. В
зависимости от условий эксплуатации, уровня грунтовых вод камеру либо
заглубляют в землю так, что бы ее края для удобства эксплуатации возвышались
над полом цеха не более 0,6-0,7 м, или устанавливают на уровне пола. В этом
случае для обслуживания устраивают специальные площадки.
Камеры имеют прямоугольную форму и
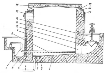
изготавливают их из ж/б (Рис. 3),
Рис. 3. Пропарочная камера ямного
типа
Стены камеры снабжают теплоизоляцией
17 для снижения потерь теплоты в окружающую среду. Пол камеры 1 делают с
уклоном для стока конденсата. В полу есть трап 2 для вывода конденсата. В
приямнике трапа, куда стекает конденсат, делают конденсатоотводящее устройство
3, в качестве которого чаще всего ставят водоотделительную петлю. Назначение
конденсато-отводящего устройства - выпускать конденсат в систему
конденсатоотвода 4 и не пропускать пар. Стены камеры 5 имеют отверстие 6 для
ввода пара, который подается вниз камеры по трубопроводу 7 от сети. Трубопровод
заканчивается уложенным по периметру камеры трубами 8 с отверстиями -
перфорациями, через которые пар поступает в камеру. Кроме отверстия для ввода
пара в стенде камеры делают отверстие 9 для вентиляции в период охлаждения. Оно
соединяется каналом 10 с вентилятором, который отбирает паровоздушную смесь из
камеры. Для изоляции камеры во время подогрева и изотермической выдержки от
системы вентиляции устраивают гермети-зирурующий конус 11, который с помощью
червячного винта 12, снабженного маховиком, может подниматься и опускаться. При
поднятом конусе происходит вентиляция, при опущенном - камера надежно
изолирована, от этой системы. Кроме герметизирующего конуса в таких же целях
могут применятся различные затворы.
В камеру с помощью направляющих, в
качестве которых используют опорные стойки, краном загружают изделия в формах.
Каждая форма от следующей изолируется прокладками из металла для того чтобы пар
обогревал формы со всех сторон. Высота камеры достигает 2,5 - 3 м. Ширину и
длину обычно выбирают с учетом размещения в ней двух штабелей изделий в формах.
Между штабелями изделий и между штабелем и стенками камеры устраивают зазоры,
чтобы обеспечить захват изделий автоматическими траверсами при загрузке и
разгрузке камеры.
После загрузки камера закрывается
крышкой 14, представляющей собой металлический каркас, заполненный
теплоизоляционным материалом. Низ и верх крышки изолируют металлическим листом.
Крышку так же, как и пол, делают с уклоном i = 0,005 - 0,01 для стока
конденсата. Для герметизации крышки служит водяной затвор. Для этого на верхних
обрезах стен камеры устанавливают швеллер 15, а крышку по ее периметру
оборудуют уголком 16, который входит в швеллер. Швеллер заполняют водой, кроме
того, конденсат с крышки так же стекает в швеллер. Образующийся таким образом в
нет слой воды предотвращает выбивание пара в цех через соединения крышки с
камерой.
Работа камеры заключается в
следующем. После разгрузки ее чистят и проверяют. Проверяют работу вентилей
подачи пара, надежно ли закрывается герметизирующий конус. После проверки
камеру загружают изделиями, закрывают крышкой и включают подачу пара. Пар.
поступая снизу в камеру, где находится воздух, поднимается вверх, смешивается с
ним и нагревает, образуя паровоздушную смесь. Одновременно пар конденсируется
на изделиях, стенах, крышке, нагревает их, а сам в виде конденсата стекает в
конденсатоотборное устройство. Общее давление в камере Рк во все
периоды ТВО равно атмосферному и складывается из парциального давления пара Рп’
и парциального давления воздуха Рв’:
Рк = Рп’ + Рв’
По мере поступления пара степень
нагрева камеры с материалом возрастает и достигает в конце периода прогрева
максимального значения температуры. Пар в камеру подается под давлением 0,105 -
0,101 МПа. Максимальное парциальное давление пара в камере составляет:
Рк = Рп’ - Рв’
= 0,1 МПа - Рв’
Так как парциальное давление пара в
камере Рп’ всегда, даже в конечный момент нагрева, меньше атмосферного
на парциальное давление воздуха Рп’, то максимальная температура в
камере всегда меньше 100 оС.
Далее изделия выдерживают в камере
при достигнутой температуре, при этом, в материале продолжаются химические
реакции и структуро-образование, а также снимается напряженное состояние. При
изотермическом прогреве, как только температура в камере достигает
максимальной. количество подаваемого пара снижают, ибо потребность в нем
уменьшается. После изотермической выдержки начинают охлаждение. Для этого
отключают подачу пара, поднимают конус и соединяют вентиляционный канал камеры
с вентиляционной системой. Пар из камеры и с поверхности материала вместе с
воздухом начинает удалятся в вентиляционную сеть, а крышка камеры начинает
пропускать воздух из цеха благодаря испарению влаги из швеллера в камеру. Кроме
того, в камерах, в стенке. противоположной каналу 10, выводящему паровоздушную
смесь, иногда устраивают приточный затвор 13 для впуска воздуха в камеру во
время охлаждения. Увеличивая или уменьшая отбор паровоздушной смеси через канал
10 изменяют темп охлаждения продукции.
Ямная камера работает по циклу
порядка 12 - 15 часов. Он включает в себя время на загрузку, на разогрев
изделий, на изотермическую выдержку и охлаждение, а так же на выгрузку
материала. [7].
2.2 Конструкция
проектируемой ямной пропарочной камеры
Каждая ямная пропарочная камера
имеет в своем роде уникальную конструкцию, т.к. на данный момент существует
огромное множество выпускаемой строительной продукции разных параметров. Прежде
всего при разработке ямных камер учитываются: габариты изделия, масса, марка и
состав бетона, масса арматуры в изделии, габариты форм, количество изделий
размещаемых в самой камере, а так же систему пароснабжения и некоторые другие
параметры, обуславливающие выпуск изготавливаемой продукции.
Проектируемая пропарочная камера
предназначена для тепло-влажностной обработки плит перекрытий серии 84 марки
ПТ-9Н.
Переоснастка форм в цехе
осуществляется на специально-отведенном посту бригадой по переоснастке. рядом
предусмотрено складирование оснастки для текущей переоснстки формы.
Формирование изделий осуществляется
в формах на унифицированных поддонах с рабочим зеркалом 6,0х3,1 м. Форма с
пропаренным изделием из камеры тепловой обработки устанавливается электрическим
мостовым краном на пост №1, где производится раскрывание замков и бортов,
обрезка арматуры.
Отформованные изделия мостовым
краном с автоматическим захватом переносятся в камеру для тепловой обработки. В
каждую камеру устанавливается по 6 форм.
Камеры оборудованы пакетировщиком
СМЖ-293-6 (рис. 5)
Изделия проходят тепловую обработку
по следующему режиму:
подъем температуры - 3,5 часа
изотермический прогрев - 6,5 часов
(при температуре 80-85о)
остывание - 2 часа.
Подъем температуры и изотермический
прогрев осуществляется «острым паром». [8]
Особенности конструкции ямной
пропарочной камеры.
В основу проектирования современных
камер лежит принцип теплоизоляции ограждающих конструкций.
Ограждающие конструкции камеры.
основание (днище)
стены (стеновые панели)
крышка камеры
Теплоизоляция днища камеры обычно
достигается за счет устройства воздушных прослоек. Любые воздушные прослойки
оказываются хорошими теплоизоляторами за счет низкой теплопроводности воздуха.
Конструктивно достигаются или с помощью многопустотных плит или с помощью
ребристых плит, а так же с помощью плоских плит. Для простоты и удобства
конструкции принимаем многопустотную плиту 1. (рис. 4)
Внутри днище камеры должно иметь
уклон i для удаления конденсата образующегося в процессе ТВО, а для его
сброса и отвода из камеры в полу предусмотрен специальный канал 2, в конце
которого сооружается приямок куда стекает весь конденсат. В этом приямке
устанавливается конденсатоотводчик 3, представляющий собой изогнутую трубу.
Уклон днища достигается за счет цементной стяжки. Выложенные многопустотные
плиты обеспечивают теплоизоляцию. Всю нагрузку от изделий должны воспринимать
фундаментные балки 4, на которые устанавливаются стойки пакетировщика.
Принцип работы стоек пакетировщика.
На (рис. 5) стр. 21 изображена стойка пакетировщика, при установке на нижний
упор 4 унифицированного поддона с формой 1, за счет его веса упор воздействует
на возвратную штангу 3, которая крепится на последующий упор, штанга в свою
очередь толкает верхний упор и вводит его в рабочее состояние так что бы поддон
с формой которые устанавливаться на него не провалились вниз.
Тепловая изоляция стен.
Стены пропарочной камеры выполнены,
по указаниям [1], из керамзито-бетонных плит толщиной 200 мм [10].
Для уменьшения тепловых потерь через
стены в окружающую среду, а следовательно с целью экономии расхода
теплоносителя - пара, стены должны быть хорошо теплоизолированны. Теплоизоляцию
устраиваем как теплоизоляционный слой (рис. 6), устанавливаемый с внутренней
стороны стен.
В качестве теплоизоляционного
материала предусматривается использовать полужесткие минераловатные плиты марки
100 по ГОСТ 9573-72 на битумной мастике марки 5.
Рис. 5 Пакетировщик СМЖ-293-6.
- унифицированный поддон; 2 -
опорная стойка пакетировщика; 3 - возвратная штанга; 4 - упор.
Рис. 6 Фрагмент конструкций
ограждений и теплоизоляционный слой
- стеновая панель; 2 -
минераловатная плита; 3 - изол; 4 - воздушная полость; 5 - антикоррозионное
покрытие металлических листов; 6 - металлические листы; 7 - плита с воздушными
полостями; 8 - песчаная подготовка; 9 - керамзитовый гравий. 10 - сообщающийся
патрубок для вентиляции
Что бы основной теплоизолирующий
материал минеральная вата не увлажнялся и не снижал свое свойство теплоизоляции
необходимо его гидро- и паро- изолировать. В качестве изолятора используем 2
слоя изола (рис. 6) по ГОСТ 10296-79 на битуме марки 5, обшиваем внутренние
стены металлическими листами. Для предотвращения коррозии металлической обшивки
ее необходимо подвергнуть антикоррозионной обработке, а так же качественно
загерметизировать сварные швы мастикой.
Воздушная полость 4 (рис. 6) в
системе теплоизоляции соединена патрубком 10 с внутренним объемом камеры, что
необходимо для вентиляции системы теплоизоляции и таким образом подсушки
теплоизоляционного материала, а в критических случаях и для отвода конденсата,
который может образоваться при нарушении герметизации.
Крышка ямной камеры
Крышка ямной камеры (рис. 7) должна
обеспечивать надежную герметизацию сверху, но и быть достаточно прочной,
поскольку при установке ее на камеру и снятии с камеры с помощью крана она
испытывает многоразовую и значительную как статическую, так и динамическую
нагрузку. Крышки камер должны быть малотеплопроводными, поэтому использование
чисто бетонных или деревянных крышек недопустимо, если они выполнены в чистом
виде.
Теплоизоляция крышки устраивается из
той же минеральной ваты, что и слои на стенах, с соответствующей герметизацией
и антикоррозионной обработкой. Снизу крышки должны быть установлены подвесные
экраны из металлических листов, собранных внахлестку, что необходимо для
непрерывного стока конденсата, образующегося на крышке, в гидравлический затвор
(см. гр. часть), что бы возможные капли не попадали на изделие, подвергаемое
ТВО.
Для герметизации камеры сверху в
месте ее соединения (рис. 7) с крышкой устраивают гидравлический затвор. Для
этого поверху всех стен камеры и по всему их периметру крепится металлический
швеллер заполняемый водой. По бокам крышки приваривается фартук в виде
вертикальных металлических полос толщиной не менее 10 мм и высотой большей
высоты швеллера, которые образуют опорные ребра, на которое упирается крышка.
При заполнении швеллера водой и установки крышки на камеру между ними
образуется гидравлический затвор, чем уменьшается утечка пара из камеры.
Схема пароснабжения камеры
Существуют различные схемы снабжения
паром ямных камер:
с помощью сопл
с внешним эжектором
с помощью насосов кондиционеров
На рисунке 8 показана схема
парораспределения с помощью сопл типа Лаваля (рис. 9). Принцип работы
заключается в интенсификации циркуляции пара, для чего предусмотрена основная
ветвь подачи пара из магистрального паропровода 1, снабженная регулирующим
клапаном 2; обводная ветвь включается в случае отказа клапана. Обе магистрали
снабжены запорными вентилями 3, для включения их в работу раздельно. По
магистрали пар разводится в нижний коллектор 4 и верхний коллектор 5,
расположенные по противоположным стенам камеры и снабженные соплами 6. В нижнем
коллекторе, находящемся на уровне h1 = 890 мм (0,2-0,3 от
высоты камеры) сопла направлены вверх и создают циркуляцию по ходу выброса
пара. Верхний коллектор расположен на высоте h2 = 2650 мм (0,7-0,8
от высоты камеры). В нем сопла направлены вниз. Такое расположение сопел
создает достаточную циркуляцию для равномерного нагревания изделий. Паропровод
снабжен съемной дроссельной шайбой для стока конденсата 7, образующегося при
транспортировке пара. [1]
Рис. 8. Схема парораспределения
с помощью сопел: 1 - магистральный паропровод; 2 - регулирующий клапан; 3 -
запорные вентили; 4 - нижний коллектор; 5 - верхний коллектор; 6 - сопло типа
Лаваля; 7 - дроссельная шайба для стока конденсата. [1]
Рис. 9 Сопло типа Лаваля.
- сопло; 2 - коллектор; 3 - штуцер.
3. Материальный и
тепловой баланс ямной пропарочной камеры
3.1 Материальный баланс
ТВО
В основе материального баланса лежит
«Закон Сохранения Энергии», который определяет равенство масс материалов,
поступивших на тепловую обработку и прошедших ее. Для установок периодического
действия такие балансы составляют для всего материала, находящегося в тепловой
установке.
Материальный баланс включает в себя
приходный и расходные статьи материалов в составе изделия подвергаемого ТВО.
Для отражения количественных изменений целесообразно разделить процесс ТВО по
периодам.
Необходимые исходные данные для
расчета.
Состав бетонной смеси:
цемент - М400 - 295 кг /м3
мелкий заполнитель (песок) - 740
кг/м3
щебень 5-20 - 1250 кг/м3
вода - 175 кг/м3
В/ц отношение - 0,59;
3 Объем бетона в изделии - 0,89 м3
Количество изделий, обрабатываемых
за один цикл ТВО 6 - шт.
Материальный расчет процесса
твердения бетона при ТВО
Масса сухих веществ в 1 м3 бетона
в соответствии с его составом составляет:
Масса сухих веществ в одном изделии
при объеме бетона 0,89 м3 составляет:
Масса сухих веществ в 6 изделиях
составляет:
Масса воды затворения на 1 м3
бетона составляет:
Масса воды затворения на одно
изделие при объеме бетона 0,89 м3 составляет:
Масса воды затворения на 6 изделий
составляет
Количество связанной воды в изделии,
полностью набравшим свою прочность составляет:
, где Ц - расход цемента, кг (на весь цикл ТВО при объеме одного
изделия 0,89 м3 и количестве изделий 6 шт.
кг);
кг.
Количество связанной воды в изделиях
за цикл ТВО при условии. что изделия набирают 70% прочность, составляет:
кг.
Масса свободной воды во всех 6
изделиях после их ТВО могла бы составлять
Однако она частично испаряется в
период изотермии (
и
охлаж-дения (
:
В самом грубом приближении
принимаем, что степень твердения в процессе ТВО, а, следовательно, и количества
химически связанной воды в период ТВО пропорционально относительной
длительности этих периодов а так же относительной средней температуре в них.
Расчет материального баланса ТВО
период - подогрев
Приход
Расход
, где
при времени периода прогрева цикла
ТВО - 3,5 ч., времени всего цикла ТВО - 12 ч., средней температуры в период
подогрева цикла ТВО - 50
и температуры
изотермической выдержки -80
С.
т.к. связанная вода перешла в новые
твердые состояния продуктов гидратации цемента, то
период - изотермическая выдержка
Приход
Расход
, где
- испаренная вода (
);
,
где 6,5 ч - время периода
изотермической выдержки цикла ТВО; 12 ч - время всего цикла ТВО; 80
С - температура изотермической выдержки цикла ТВО
кг.
период - охлаждение
Приход
Расход
, где
- испаренная вода (
);
,
где 2 ч - время периода
изотермической выдержки цикла ТВО; 12 ч - время всего цикла ТВО; 80
С - температура изотермической выдержки цикла ТВО
кг. [9]
Для более наглядного представления
материального баланса результаты его расчета сведены в таблицу.
Таблица 1. Таблица материального
баланса ТВО
|
Приход
|
%
|
Расход
|
%
|
|
1 период - прогрев
|
|
|
7,7 92,3
|
|
6,88 93,12
|
|
13136,4
|
13136,4
|
|
2 период - изотермическая выдержка
|
|
|
6,88 93,12
|
кг
|
6.1 0.1 93,8
|
|
13136,4
|
13136,4
|
|
3 период - охлаждение
|
|
|
6.2 93,8
|
кг
|
5.34 0.61 94,05
|
|
13121.83
|
13121.83
|
Сводный баланс на весь цикл ТВО
|
Приход
|
%
|
Расход
|
%
|
|
|
7,7 92,3
|
кг
|
5.33 0.71 93,96
|
|
13136,4
|
13136,4
|
.2 Тепловой баланс ТВО
На основе материального баланса
составляют тепловой баланс для периода нагрева и изотермического выдерживания,
в котором учитывают все статьи прихода и расхода теплоты для установки в целом.
Базовой величиной для расчета
теплового баланса является количество теплоты, расходуемое за 1 цикл обработки
в установках периодического действия.
На основе расходов теплоты
определяют удельные расходы теплоносителя и подбирают диаметры труб для провода
пара.
Период подогрева
Приход теплоты состоит из следующих
статей.
. Теплота, принесенная в установку
сухой частью массы бетона и зависящую от ее объема, теплоемкости и температуры,
(23)
где
- масса сухих веществ,
- теплоемкость составляющих материалов (
),
-
температура хранения или разогрева составляющих принимаем равной температуре в
цехе
.
. Теплота, принесенная водой
затворения,
(24)
где
теплоемкость воды,
- температуру воды принимаем равной температуре в цеху
.
. Теплота арматуры и закладных
деталей,
(25)
где
теплоемкость металла, 6 - количество загружаемых изделий.
. Теплота, внесенная в установку
транспортом (унифицированный поддон),
(26)
где, 6 - количество форм,
- масса формы,
-
теплоемкость метала
. Теплота экзотермии цемента,
выделившаяся за расчетный период,
(27)
где -
;
кг
для цемента М400 - 
(28)
где
- масса пара, поступающего в установку за расчетный период, кг;
- энтальпия пара, равная в промежутке (2500…2800 кДж/кг)
. Теплота конструкций ограждения,
(29)
где -
- масса конструкций ограждения,
- теплоемкость конструкций,
- температура.
Для наглядности сведем все данные по
конструкциям в таблицу 2
Таблица 2
|
Название ограждающего слоя ямной пропарочной камеры
|
Масса, ,
кг
|
Теплоемкость, ,
|
Плотность,
|
|
Стены
|
|
Минеральная вата - 60 мм
|
371,7
|
0,84
|
75
|
|
Сталь - 3 мм
|
1932,84
|
0,48
|
7800
|
|
Изол - 2 мм
|
37,17
|
0,84
|
225
|
|
Воздушная прослойка - 50 мм
|
5
|
1
|
1,2
|
|
Стеновая панель из керамзитобетона - 200 мм
|
14042
|
0,84
|
850
|
|
Крышка
|
|
Сталь - 3 мм
|
1544,4
|
0,48
|
7800
|
|
Минеральная вата - 150 мм
|
371,25
|
0,84
|
75
|
|
Днище
|
|
Ж/Б многопустотная плита - 220 мм
|
18876
|
0,84
|
2500
|
|
Песчаная подготовка - 80 мм
|
3569,28
|
0,712
|
1300
|
|
Керамзитовый гравий - 200 мм
|
1716
|
0,84
|
250
|
|
Сумма показателей для ограждений
|
|
|
|
42465,64
|
7,712
|
|
8. Сумма статей прихода теплоты
(30)
Расход теплоты состоит из следующих
статей.
. Теплота сухой части изделия
нагретых до средней температуры к концу расчетного периода,
(31)
где
- средняя температура за расчетный период
. Теплота воды затворения,
оставшейся в изделии к концу расчетного периода.
(32)
где
- конечная температура за расчетный период
. Теплота арматуры и закладных
деталей
(33)
. Теплота транспорта
(34)
. Теплота, затраченная на испарение
и перегрев испаренной влаги,
(35)
где W - кол. испаренной влаги
определенное в материальном балансе,
- средняя температура за расчетный период
. Теплота материалов ограждения к
концу расчетного периода
(35)
где
- конечная температура за расчетный период
. Потери теплоты в окружающую среду
от различных частей ограждений
(36)
где
принимаем
среднее значение 62,5
принимаем
среднее значение 7,5
Значения коэффициентов
теплопроводности,
,
различных материа-лов составляющих ограждения, взяты из источника [11].
. Теплота пара, заполняющая
свободный объем установки,
(37)
где
-
принимаем равной 2600 кДж/кг
-
принимаем равной 0,37 кг/м3
. Теплота уносимая конденсатом,
кДж
(38)
где
. Теплота, теряемая при выбивании
паровоздушной смеси из установки (составляет 5…10% от общей суммы статей
расхода за этот период),
(39)
где
. Сумма статей расхода теплоты:
(40)
Приравниваем статьи прихода и
расхода и решаем уравнение теплового баланса:
Где
- количество пара поступившего за период нагревания
Период изотермической выдержки
Приход теплоты
. Тепло экзотермии цемента:
(41)
где -
;
кг
. Тепло сухой части бетона:
(42)
. Тепло ограждений:
(43)
. Тепло пара поступающего в камеру:
(44)
5. Сумма статей прихода теплоты:
кДж
(45)
Расход теплоты
. Тепло на подогрев изделий:
(46)
. Теплота ограждений:
(47)
. Теплота, затраченная на испарение
и перегрев испаренной влаги,
(48)
. Потери тепла с конденсатом:
кДж
(49)
где
5. Теплота, теряемая при выбивании
паровоздушной смеси из установки (составляет 5…10% от общей суммы статей
расхода за этот период),
(50)
где
. Сумма статей расхода теплоты:
(51)
Приравниваем статьи прихода и
расхода и решаем уравнение теплового баланса:
Удельный расход пара:
кг/м3
Период охлаждения
Приход тепла
. Теплота сухой части массы бетона,
с учетом связанной воды, составляет:
(52)
. Теплота воды затворения к началу
периода охлаждения составляет:
(53)
. Теплота арматуры и закладных
деталей
(54)
. Теплота транспорта
(55)
. Теплота экзотермии цемента:
(56)
где -
;
кг
для цемента М400 -
. Теплота ограждений:
(47)
. Сумма статей прихода теплоты:
Расход теплоты
. Теплота сухой части массы бетона,
с учетом связанной воды, составляет:
(52)
. Теплота воды затворения к началу
периода охлаждения составляет:
(53)
. Теплота, затраченная на испарение
и перегрев испаренной влаги,
(54)
. Теплота арматуры и закладных
деталей
(55)
5. Теплота транспорта
(56)
. Потери теплоты в окружающую среду
от различных частей ограждений
(57)
где
принимаем
среднее значение 62,5
принимаем
среднее значение 7,5
Значения коэффициентов
теплопроводности,
,
различных материалов составляющих ограждения, взяты из источника [11].
7. Теплота, теряемая при выбивании
паровоздушной смеси из камеры через неплотности:
(58)
. Сумма статей расхода теплоты:
Приравниваем статьи прихода и
расхода и решаем уравнение теплового баланса:
Полученное значение превышает
выбранный режим ТВО на 1.4 часа [12].
4. Подбор
вспомогательного оборудования
1. Учитывая максимальный часовой расход
пара, произведем расчет трубопроводов.
Часовой расход пара:
Удельный расход пара:
кг/м3
Диаметр трубопроводов для пара и
конденсата определим из уравнения расхода по массе:
где
- скорость жидкости, м/с: конденсата = 0.1…0.5 самотеком, пара =
15…20;
- плотность, кг/м3: пара = 0,6 при температуре 80
, конденсата =1000.
м
диаметр паропровода принимаем равным
95 мм
м
диаметр конденсатопровода принимаем
равным 20 мм
. Для стабилизации теплового режима
камеры и часового потребления пара произведем подбор дроссельной диафрагмы.
Рис. 10. Дроссельная диафрагма
- клеймо; 2 - рукоятка; 3 - корпус;
4 - проходное отверстие диафрагмы; 5 - крепежные отверстия.
По значению часового расхода пара
выбираем диаметр отверстия дроссельной диафрагмы:
5. Таблица основных
технико-экономических показателей и их анализ
Таблица 3
|
Характеристика
|
Обоснование и анализ
|
|
Габариты камеры составляют: 7,4х4,44х4 м.
|
Данные размеры рассчитаны исходя из габаритных размеров форм,
рекомендуемых габаритных размеров камер, рекомендуемых зазорах между формами
и стенками, а также исходя из ТЭП (обрабатывать наибольшее число изделий за
цикл)
|
|
Количество обрабатываемых изделий в камере в год составляет: Рштук
= Р*0,89= 1402
шт.
|
За счет ТВО скорость оборачиваемости форм увеличивается, что
способствует росту производительности предприятия и сокращению
продолжительности оборачиваемости средств. _______________________________________________________
,
м3 где V - объем
одновременно формуемых изделий, м3; n
- кол. формовок в ч,; h
- количество рабочих ч в сут. (16 ч.) Т - годовой фонд времени работы
формовочного оборудования в днях T=247
дней.
|
|
Расход пара на тепловою обработку 1м3 бетона
составляет: 308,24 кг/м3
|
При сравнении с реальными значениями расхода пара приведенными в
[12] (140-250 кг/м3), полученный расход превышает реальный на 36%,
что находится в пределах нормы.
|
|
Коэффициент использования объемов камеры составляет:
|
Значение данного коэффициента объемов камеры объясняется
необходимостью по технико-эксплуатационным показателям в зазорах между
камерой и формой и формами между собой.
|
6. Решение по
обеспечению требований по технике безопасности, охраны труда и окружающей среды
при эксплуатации тепловой установки
Тепловые установки
на заводах строительных материалов и изделий являются агрегатами повышенной
опасности, так как их работа связана с выделением теплоты, влаги. Согласно
действующим нормативам, в цехах, где размещаются тепловые установки, необходимо
иметь: паспорт установленной формы с протоколами и актами испытаний, осмотров и
ремонтов на каждую установку; рабочие чертежи находящегося оборудования и схемы
размещения КИП; исполнительные схемы всех трубопроводов с нумерацией арматуры и
электрооборудования; инструкции по эксплуатации и ремонту. В таких инструкциях
должно быть краткое описание установок, порядок их пуска, условия безопасной
работы, порядок остановки, указаны меры предотвращения аварии. Кроме того,
инструкции должны содержать четкие указания о порядке допуска к ремонту
установок, о мерах безопасного обслуживания и противопожарных мероприятиях.
На стадии проектирования
предусматриваются нормы безопасной работы и эксплуатации тепловых
установок. Каждая тепловая установка разрабатывается с таким расчетом, чтобы
она создавала оптимальные условия ведения технологического процесса и
безопасные условия труда. Для этого необходимо, чтобы поверхности установок
были теплоизолированы и имели температуру не выше 40°С.
Оборудование
тепловых установок проектируют с ограждением, а его включение в работу должно
сопровождаться звуковой и световой сигнализацией. Площадки для обслуживания,
находящиеся выше уровня пола, оборудуют прочным ограждением и сплошной обшивкой
по нижнему контуру.
Отопление и
вентиляция цехов, в которых устанавливают тепловые установки, необходимо
рассчитывать с учетом выделения теплоты, испарения влаги и выделения пыли.
Электрооборудование тепловых установок проектируют с заземлением. Все
переносное освещение делают низковольтным.
Электрооборудование
тепловых установок должно быть запроектировано с ограждением и заземлением.
Особое внимание при
проектировании тепловых установок следует уделять очистке работающих
теплоносителей от уносов пыли и мелких частиц материала. Согласно нормативным
указаниям, для тепловых установок следует проектировать специальные очистные
устройства.
Обязательно должны быть вывешены на
видном месте инструкции по правилам эксплуатации установок и охране труда. Весь
обслуживающий персонал тепловых установок допускается к работе только после
изучения, а также после обязательного документального оформления проверки его
знаний. Персонал, обслуживающий тепловые установки, к которым предъявляются
повышенные требования по охране труда, проходит дополнительное обучение с
обязательной проверкой знаний в соответствии с правилами этих учреждений. [7],
[13].
Заключение
Ямная камера в данном проекте
применяется для тепловлажностной обработки панелей перекрытий серии 84 марки
ПТ-9Н размером 4,78 Ч 1,18 Ч 0,16 м, изготовляемые из тяжелого бетона марки
М400 агрегатно-поточным способом. В качестве теплоносителя используется пар.
Длительность тепло-влажностной обработки - 13,4 часов. Согласно тепловому
расчету, приведенном в курсовом проекте, удельный расход пара
составил 308,24 кг/м3, что превосходит реальный
согласно [12], на 36%. Поэтому расчет нуждается в корректировке.
Общий вид, вид сверху, продольный и
поперечный разрез; узлы; кривая ТВО; схема пароснабжения представлены на
чертеже формата А1.
Список используемых
источников
[1] - .Рекомендации по
снижению расхода тепловой энергии в камерах для тепловлажностной обработки Ж/Б
/ ВНИИ железобетон Минстроймате-риалов СССР. - М.: Стройиздат, 1984. - 56 с.
[2] - сайт
http://nsportal.ru/: Лекция на тему «Установки периодического действия для
тепловлажностной обработки бетона». Автор Клюева Л.Л.
[3] - Лариков Н.Н. Л 25
Теплотехника: Учеб. 'для вузов. 3.е изд., переработанное и доп. М.: Стройиздат,
1985. 432 С., ил.
[4] - Микульский В.Г. и
др. Строительные материалы: Учебн. издание. - М.: Издательство Ассоциации
строительных вузов, 2004. - 536 с.
[5] - Комар А.Г. Технология
производства строительных материалов и изделий: Учебн. для инж. экон. спец.
строит. вузов. - 5-е изд., перераб. и доп. - М.: Высш. шк., 1988. - 572 с.: ил.
[6] - Румянцев, Б.М.
Тепловые установки в производстве строительных материалов и изделий. Лабораторный
практикум. Учеб. пособие для вузов / Б.М. Румянцев, В.П. Журба. - М.: Высшая
школа, 1991. - 160 с. - Б
[7] - Перегудов В.В.,
Роговой М.И. Тепловые процессы и установки в технологии строительных изделий и
деталей: Учеб. для ВУЗов. - М.: Строй-издат, 1983. - 416 с., ил.
[8] - «Типовой проект»
403-013-21.83; Госстрой СССР. Проектный иститут №___. г. Москва
[9] - Тепловые
установки: учебник / В.Н. Кокшарев, А.А. Кучеренко. - К.: Выща шк., 1990. - 335
с.: ил
[10] - Методические
указания по снижению плотности и повышению теплозащитной способности
керамзитобетонных панелей наружных стен/ Гос. ком. по арх. и градостроительству
при Госстрое СССР/ ЦНИИЭП жилища. - М.: Стройиздат, 1989
[11] - Таблицы
теплотехнических показателей строительных материа-лов д.т.н. проф. Франчук
А.У./ НИИСФ. - М.: Госстрой СССР Изд. 2-е с изм. и доп. Москва 1969.
[12] - Тепловые
установки заводов сборного Ж/Б. Проектирование и примеры расчета. Кучеренко
А.А. Изд. «Вища школа», 1977, с. 280 ил.
[13] - А. А
Вознесенский. Тепловые установки в производстве строительных материалов и
изделий: Учебник. - М.: Стройиздат, 1964. - 439 с.: ил