Цифровые средства измерения

  • Вид работы:
    Контрольная работа
  • Предмет:
    Информатика, ВТ, телекоммуникации
  • Язык:
    Русский
    ,
    Формат файла:
    MS Word
    325,53 Кб
  • Опубликовано:
    2014-09-02
Вы можете узнать стоимость помощи в написании студенческой работы.
Помощь в написании работы, которую точно примут!

Цифровые средства измерения

План

1. Основные принципы построения цифровых средств измерения

.Цифровые вольтметры

. Цифровые ваттметры

. Цифровые измерительные генераторы и осциллографы

. Цифровые фазометры

Список литературы


1. Основные принципы построения цифровых средств измерения

Средство измерений (СИ) является обобщенным понятием, объединяющим самые разнообразные, конструктивно законченные устройства, которые реализуют одну из двух функций:

−  воспроизводят величину заданного (известного) размера (например, гиря - заданную массу, магазин сопротивлений - ряд дискретных значений сопротивления);

−       вырабатывают сигнал (показание), несущий информацию о значении измеряемой величины. Показания СИ либо непосредственно воспринимаются органами чувств человека (например, показания стрелочного или цифрового приборов), либо используются для преобразования другими СИ.

Последняя функция, являющаяся основной, может быть реализована посредством измерения. СИ должны содержать устройства, которые выполняют операции. В их число входят измерительные преобразователи, меры и устройства сравнения (компараторы).

Обобщенная структурная схема СИ показана на рис. 1.1. Сигнал с выхода измерительного преобразователя (ИП) поступает на первый вход устройства сравнения, на второй вход которого подается известный сигнал с выхода многозначной меры. Сравнение измеряемой и известной величин осуществляется при помощи устройства сравнения. Роль последнего в простейших СИ выполняет человек. Процесс изменения прекращается при достижении равенства между величинами  и  с точностью до кванта

Структурная схема, показанная на рис. 1.1, описывает три возможных результата:

−       СИ включает все блоки и вырабатывает цифровой сигнал , доступный восприятию органами чувств человека. Возможно формирование выходных сигналов  и , предназначенных только для преобразования другими СИ;

Рис. 1.1 Обобщенная структурная схема средства измерения

−       СИ состоит только из измерительного преобразователя, выходной сигнал которого равен ;

−       СИ содержит только меру, выходной сигнал которого равен аналоговому .

Работать СИ могут в двух режимах: статическом и динамическом. Статический режим - это такой режим работы СИ, при котором изменением измеряемой величины за время, требуемое для проведений одного измерения, можно пренебречь. В динамическом режиме такое пренебрежение недопустимо, поскольку указанное изменение превышает допустимую погрешность.

По уровню автоматизации все СИ делятся на три группы:

−  неавтоматические;

−       автоматизированные, производящие в автоматическом режиме одну или часть измерительной операции;

−       автоматические, производящие в автоматическом режиме измерения и все операции, связанные с обработкой их результатов, регистрацией, передачей данных или выработкой управляющих сигналов.

По уровню стандартизации средства измерений подразделяются на:

−  стандартизированные, изготовленные в соответствии с требованиями государственного или отраслевого стандарта;

−       нестандартизованные (уникальные), предназначенные для решения специальной измерительной задачи, в стандартизации требований к которым нет необходимости.

По отношению к измеряемой ФВ средства измерений делятся на:

−  основные - это СИ той ФВ, значение которого необходимо получить в соответствии с измерительной задачей;

−       вспомогательные - это СИ той ФВ, влияние которой на основное средство измерений или объект измерения необходимо учесть для получения результатов измерений требуемой точности.

Классификация средств измерений по их роли в процессе измерения и выполняемым функциям показана на рис. 2.2.

Рис. 2.2 Классификация средств измерений по их роли в процессе измерения и выполняемым функциям

. Цифровые вольтметры

Цифровые измерительные приборы (ЦИП) автоматически преобразуют непрерывную измеряемую величину или ее аналог (физическую величину, пропорциональную измеряемую) в дискретную, выполняют цифровое кодирование и выдают результат измерения на цифровое табло прибора в десятичном коде для визуального отсчета и в двоичном коде для ввода в компьютер или на цифропечатающее устройство.

Среди ЦИП особое место занимают цифровые вольтметры (ЦВ) постоянного тока. В отличие от аналоговых приборов они содержат аналого-цифровой преобразователь (АЦП), в котором выполняются операции квантования по уровню и кодирования, а также устройство цифрового отсчета. Цифровые вольтметры классифицируют по способу преобразования непрерывной величины в дискретную; структурной схеме АЦП; способу уравновешиваня.

По способу преобразования различают ЦВ с кодоимпульсным (поразрядным кодированием, взвешиванием), с время- и частотно-импульсными преобразованиями. В ЦВ с кодоимпульсным преобразованием происходит последовательное сравнение значений измеряемой величины с рядом дискретных значений известной величины, изменяющейся по определенному закону. Цифровой вольтметр с кодоимпульсным преобразованием называют еще вольтметром поразрядного кодирования. В ЦВ с времяимпульсным преобразованием измеряемая величина Ux преобразуется во временной интервал ∆x с последующим заполнением этого интервала импульсами N образцовой частоты, которые подсчитываются цифровым счетчиком. В ЦВ с частотно-импульсным преобразованием (интегрирующих) измеряемое напряжение Ux преобразуется в частоту f следования импульсов, которые подсчитываются за определенный интервал времени цифровым счетчиком.

По структурной схеме цифровые вольтметры делят на вольтметры прямого и уравновешивающего преобразования. В вольтметрах прямого преобразования отсутствует обратная связь с выхода на вход и непрерывная измеряемая величина непосредственно преобразуется в дискретную. В цепи прохождения сигнала имеется несколько преобразователей. Эти вольтметры отличаются относительно низкой точностью (из-за накопления погрешностей отдельных преобразователей в процессе преобразования), однако могут обеспечить максимально возможное быстродействие. В вольтметрах уравновешивающего преобразования обязательно имеется обратная связь, т. е. входная величина в процессе преобразования уравновешивается выходной. Так как выходной величиной преобразователя является код (цифра), обратный преобразователь называют цифроаналоговым преобразователем (ЦАП).

Аналого-цифровой преобразователь уравновешивающего преобразования обеспечивает максимально возможную точность за счет использования общей отрицательной обратной связи, но меньшее быстродействие.

По способу уравновешивания ЦВ делят на вольтметры со следящим и развертывающим уравновешиванием.

В вольтметрах со следящим уравновешиванием измеряемая величина х непрерывно сравнивается с компенсирующей величиной. Компенсирующая величина изменяется во времени до тех пор, пока с заданной точностью не будет достигнуто ее равенство с измеряемой, после чего выполняется отсчет. В вольтметрах с развертывающим уравновешиванием операция сравнения измеряемой и компенсирующей величин происходит по определенной наперед заданной программе. Компенсирующее напряжение принудительно изменяется от нуля до максимального значения и прекращает это изменение в момент равенства напряжений.

Цифровые измерительные приборы являются сложными устройствами, их функциональные узлы выполняются на основе элементов электронной техники (интегральных схем-дешифраторов, ЦАП, АЦП, триггеров, операционных усилителей, аналоговых ключей на диодах, биполярных и полевых транзисторов; логических ключей и др.).

Каждый ЦВ имеет устройство цифрового отсчета, состоящее. из дешифраторов и знаковых (цифровых) индикаторов. Дешифраторы являются преобразователями дискретных сигналов, т. е. позволяют получать на выходе необходимую комбинацию сигналов при подаче определенной комбинации сигналов на входе. В ЦВ дешифраторы преобразуют двоично-десятичный код в соответствующие напряжения, управляющие цифровыми индикаторами, которые обеспечивают визуальную индикацию в десятичном коде (например, код 8-4-2-1 в десятичный код от 0 до 9). Для выполнения этой задачи обычно используют логические схемы как наиболее простые и достаточно быстродействующие. Знаковые индикаторы используют для представления результатов измерения в цифровой форме. Конструкция знаковых индикаторов может быть различна.

Современные цифровые индикаторы разрабатываются на основе электрооптических эффектов в твердом теле и жидких кристаллах и др. Индикаторы выпускаются в миниатюрном исполнении с использованием светодиодов и жидких кристаллов. Люминесцентные мозаичные индикаторы обеспечивают яркое и четкое изображение цифр. Они состоят из отдельных элементов мозаики, светящихся при подключении напряжения к соответствующим элементам. Мозаичные индикаторы со светоизлучающими диодами обладают высокой надежностью и хорошей совместимостью с транзисторными схемами. Для улучшения параметров ЦИП создаются комбинированные структуры с одновременным использованием различных методов преобразования, адаптивные (приспосабливающиеся к параметрам измеряемого сигнала) структуры с автоматической коррекцией, автоматической калибровкой, структуры с устранением избыточной информации, со статистической обработкой информации, термостатирующими устройствами и др., используются элементы, узлы, обладающие улучшенными характеристиками.

3. Цифровые ваттметры

Цифровые ваттметры обладают лучшей точностью по сравнению с аналоговыми измерителями мощности.

Высокочувствительные лабораторные цифровые ваттметры для широкого диапазона частот необходимы при исследовании свойств материалов и различных изделий из них, для определения потерь.

В цифровых ваттметрах применяют различные типы преобразователей мощности, в том числе и терморезисторные.

В цифровом ваттметре благодаря применению микропроцессора осуществляются автоматический выбор пределов измерений, автоматическая установка нуля и самокалибровка; кроме того предусматривается выход информации на канал общего пользования при его включении в состав измерительной системы.

Структурная схема цифрового ваттметра МЗ-56 приведена на рис. 3.1. Усилитель постоянного тока УПТ усиливает выходное напряжение термоэлектрического преобразователя до значения, обеспечивающего устойчивую работу АЦП. Напряжение, пропорциональное измеряемой мощности, преобразуется с помощью время-импульсного преобразователя в интервал времени, который заполняется импульсами опорной частоты. Число импульсов, пропорциональное измеряемой мощности, отображается на цифровом индикаторе или может вводиться в устройство обработки измерительной информации.

Рис. 3.1

Основным элементом схемы цифрового ваттметра является микропроцессор. Усилитель постоянного тока (УПТ) усиливает выходное напряжение термоэлектрического приемного преобразователя до значения, обеспечивающего устойчивую работу блока АЦП. Напряжение, пропорциональное измеряемой мощности, преобразуется с помощью время импульсного преобразователя в интервал времени, который заполняется импульсами опорной частоты. Число импульсов, пропорциональное измеряемой мощности, отображается на цифровом отсчетном устройстве (ЦОУ) или может вводиться в специализированное устройство обработки измерительной информации.

Конструкция подогревного пьезорезонатора, предложенного Э.А. Кудряшовым и использованного им в высокоточных квадраторах цифровых ваттметров и вольтметров, показана на рис. 6-11, в. В центре дискового резонатора F-среза диаметром 5 мм и толщиной 75 мкм напылены на нижней и верхней стороне золотые электроды возбуждения и 2, а по периферии напылены электроды нагревателей 3 и 4 из нихрома.

Погрешность меры первых двух ваттметров определяется нестабильностью тока и погрешностью его измерения или градуировочной характеристики шкалы регулятора тока. В цифровом ваттметре погрешность меры зависит от точности установки и стабильности длительности и амплитуды импульсов. Погрешность преобразования головки при согласованном выходе источника сигнала СВЧ по требованиям ГОСТ не должна превышать погрешности, соответствующей классу.

Мощность измеряется при помощи синхронного цифрового ваттметра.

Завод Виброприбор (г. Кишинев) выпускает такие преобразователи мощности на основе эффекта Холла для осциллографирования мгновенных значений мощности. На основе эффекта Холла во Львовском политехническом институте разработан цифровой ваттметр с двухтактным интегрированием и цифровым делительным устройством.

Рабочий диапазон частот входных сигналов таких вольтметров достигает 20 МГц. Разработаны электронные цифровые ваттметры, логометры, счетчики электрической энергии и другие средства измерения.

К четвертой группе относятся преобразователи, в которых выходной сигнал пропорционален мощности за интервал преобразования ТП) значительно больший периода основной гармоники входных сигналов. К устройствам непосредственного умножения этой группы относятся стохастические множительные устройства, основанные на том, что вероятность совпадения двух независимых событий пропорциональна произведению вероятностей этих событий. Разработанный на этом принципе цифровой ваттметр аппаратурно несложен.

К четвертой группе относятся преобразователи, в которых выходной сигнал пропорционален мощности за интервал преобразования Тп, значительно больший периода основной гармоники входных сигналов. К устройствам непосредственного умножения этой группы относятся стохастические множительные устройства, основанные на том, что вероятность совпадения двух независимых событий пропорциональна произведению вероятностей этих событий.

К четвертой группе относятся преобразователи, в которых выходной сигнал пропорционален мощности за интервал преобразования Тш значительно больший периода основной гармоники входных сигналов. К устройствам непосредственного умножения этой группы относятся стохастические множительные устройства, основанные на том, что вероятность совпадения двух независимых событий пропорциональна произведению вероятностен этих событий

Микропроцессор ваттметра содержит элементы автоматического управления режимами работы и дистанционного переключения пределов измерения индикации условного обозначения измеряемой величины. Калибратор мощности переменного тока используется для самокалибровки ваттметра. Калибратор мощности постоянного тока применяется для калибровки цифрового ваттметра, работающего с преобразователями на средних и больших уровнях мощности. Все узлы ваттметра запитываются от встроенного источника питания.

измерительный физический аналоговый цифровой

4. Цифровые измерительные генераторы и осциллографы

Осциллограф (лат. <https://ru.wikipedia.org/wiki/%D0%9B%D0%B0%D1%82%D0%B8%D0%BD%D1%81%D0%BA%D0%B8%D0%B9_%D1%8F%D0%B7%D1%8B%D0%BA> oscillo - качаюсь + греч. <https://ru.wikipedia.org/wiki/%D0%93%D1%80%D0%B5%D1%87%D0%B5%D1%81%D0%BA%D0%B8%D0%B9_%D1%8F%D0%B7%D1%8B%D0%BA> γραφω - пишу) - прибор, предназначенный для исследования (наблюдения <https://ru.wikipedia.org/wiki/%D0%9D%D0%B0%D0%B1%D0%BB%D1%8E%D0%B4%D0%B5%D0%BD%D0%B8%D0%B5>, записи <https://ru.wikipedia.org/wiki/%D0%97%D0%B0%D0%BF%D0%B8%D1%81%D1%8C>; измерения <https://ru.wikipedia.org/wiki/%D0%98%D0%B7%D0%BC%D0%B5%D1%80%D0%B5%D0%BD%D0%B8%D0%B5>) амплитудных <https://ru.wikipedia.org/wiki/%D0%90%D0%BC%D0%BF%D0%BB%D0%B8%D1%82%D1%83%D0%B4%D0%B0> и временнымх <https://ru.wikipedia.org/wiki/%D0%92%D1%80%D0%B5%D0%BC%D1%8F> параметров электрического сигнала <https://ru.wikipedia.org/wiki/%D0%AD%D0%BB%D0%B5%D0%BA%D1%82%D1%80%D0%B8%D1%87%D0%B5%D1%81%D0%BA%D0%B8%D0%B9_%D1%81%D0%B8%D0%B3%D0%BD%D0%B0%D0%BB>, подаваемого на его вход, либо непосредственно на экране, либо записываемого на фотоленте <https://ru.wikipedia.org/w/index.php?title=%D0%A4%D0%BE%D1%82%D0%BE%D0%BB%D0%B5%D0%BD%D1%82%D0%B0&action=edit&redlink=1>.

Современные осциллографы позволяют исследовать сигнал гигагерцовых <https://ru.wikipedia.org/wiki/%D0%93%D0%B8%D0%B3%D0%B0%D0%B3%D0%B5%D1%80%D1%86> частот <https://ru.wikipedia.org/wiki/%D0%A7%D0%B0%D1%81%D1%82%D0%BE%D1%82%D0%B0>. Для исследования более высокочастотных сигналов можно использовать электронно-оптические камеры <https://ru.wikipedia.org/wiki/%D0%AD%D0%BB%D0%B5%D0%BA%D1%82%D1%80%D0%BE%D0%BD%D0%BD%D0%BE-%D0%BE%D0%BF%D1%82%D0%B8%D1%87%D0%B5%D1%81%D0%BA%D0%B0%D1%8F_%D0%BA%D0%B0%D0%BC%D0%B5%D1%80%D0%B0>.

Один из важнейших приборов в радиоэлектронике. Используются в прикладных, лабораторных и научно-исследовательских целях <https://ru.wikipedia.org/wiki/%D0%9D%D0%B0%D1%83%D1%87%D0%BD%D0%BE%D0%B5_%D0%B8%D1%81%D1%81%D0%BB%D0%B5%D0%B4%D0%BE%D0%B2%D0%B0%D0%BD%D0%B8%D0%B5>, для контроля/изучения электрических сигналов - как непосредственно, так и получаемых при воздействии различных устройств/сред на датчики <https://ru.wikipedia.org/wiki/%D0%94%D0%B0%D1%82%D1%87%D0%B8%D0%BA>, преобразующие эти воздействия в электрический сигнал или радиоволны. По назначению и способу вывода измерительной информации:

·    Осциллографы с периодической развёрткой для непосредственного наблюдения формы сигнала на экране (электронно-лучевом, жидкокристаллическом и т.д.) - в зап.-европ. языках oscilloscop(e)

·              Осциллографы с непрерывной развёрткой для регистрации кривой на фотоленте (шлейфовый осциллограф) - в зап.-европ. языках oscillograph

По способу обработки входного сигнала:

·              Цифровой

По количеству лучей: однолучевые, двулучевые и т.д. Количество лучей может достигать 16-ти и более (n-лучевой осциллограф имеет nное количество сигнальных входов и может одновременно отображать на экране n графиков входных сигналов).

Осциллографы с периодической развёрткой делятся на: универсальные (обычные), скоростные, стробоскопические, запоминающие и специальные; цифровые осциллографы могут сочетать возможность использования разных функций.

Также существуют осциллографы, совмещенные с другими измерительными приборами (напр. мультиметром <https://ru.wikipedia.org/wiki/%D0%9C%D1%83%D0%BB%D1%8C%D1%82%D0%B8%D0%BC%D0%B5%D1%82%D1%80>). Такие приборы называются скопометрами <https://ru.wikipedia.org/w/index.php?title=%D0%A1%D0%BA%D0%BE%D0%BF%D0%BE%D0%BC%D0%B5%D1%82%D1%80&action=edit&redlink=1>.

Осциллограф также может существовать не только в качестве автономного прибора, но и в виде приставки <https://ru.wikipedia.org/w/index.php?title=%D0%9E%D1%81%D1%86%D0%B8%D0%BB%D0%BB%D0%BE%D0%B3%D1%80%D0%B0%D1%84-%D0%BF%D1%80%D0%B8%D1%81%D1%82%D0%B0%D0%B2%D0%BA%D0%B0&action=edit&redlink=1> к компьютеру (подключаемой через какой-либо порт <https://ru.wikipedia.org/wiki/%D0%9A%D0%BE%D0%BC%D0%BF%D1%8C%D1%8E%D1%82%D0%B5%D1%80%D0%BD%D1%8B%D0%B9_%D0%BF%D0%BE%D1%80%D1%82>: LPT, COM, USB, вход звуковой карты).

Осциллограф с дисплеем <https://ru.wikipedia.org/wiki/%D0%94%D0%B8%D1%81%D0%BF%D0%BB%D0%B5%D0%B9> на базе ЭЛТ <https://ru.wikipedia.org/wiki/%D0%AD%D0%9B%D0%A2> состоит из электронно-лучевой трубки <https://ru.wikipedia.org/wiki/%D0%AD%D0%BB%D0%B5%D0%BA%D1%82%D1%80%D0%BE%D0%BD%D0%BD%D0%BE-%D0%BB%D1%83%D1%87%D0%B5%D0%B2%D0%B0%D1%8F_%D1%82%D1%80%D1%83%D0%B1%D0%BA%D0%B0>, блока горизонтальной развёртки <https://ru.wikipedia.org/wiki/%D0%A0%D0%B0%D0%B7%D0%B2%D1%91%D1%80%D1%82%D0%BA%D0%B0> и входного усилителя <https://ru.wikipedia.org/wiki/%D0%A3%D1%81%D0%B8%D0%BB%D0%B8%D1%82%D0%B5%D0%BB%D1%8C> (для усиления слабых входных сигналов). Также содержатся вспомогательные блоки: блок управления яркости, блок вертикальной развёртки, калибратор длительности, калибратор амплитуды.

В современных осциллографах чаще всего используются ЖК-дисплеи <https://ru.wikipedia.org/wiki/%D0%96%D0%9A-%D0%B4%D0%B8%D1%81%D0%BF%D0%BB%D0%B5%D0%B9>.

 <https://commons.wikimedia.org/wiki/File:Oscilloscope_Front_Panel_Numbered.svg?uselang=ru>

Рис. 4.1 Экран

 <https://commons.wikimedia.org/wiki/File:CRT_oscilloscope.png?uselang=ru>

Рис. 4.2 Схема электронно-лучевой трубки <https://ru.wikipedia.org/wiki/%D0%AD%D0%BB%D0%B5%D0%BA%D1%82%D1%80%D0%BE%D0%BD%D0%BD%D0%BE-%D0%BB%D1%83%D1%87%D0%B5%D0%B2%D0%B0%D1%8F_%D1%82%D1%80%D1%83%D0%B1%D0%BA%D0%B0> осциллографа: 1 - отклоняющие пластины, 2 - электронная пушка, 3 - пучок электронов, 4 - фокусирующие катушки, 5 - экран

Осциллограф имеет экран A, на котором отображаются графики входных сигналов (у цифровых осциллографов изображение выводится на дисплей <https://ru.wikipedia.org/wiki/%D0%94%D0%B8%D1%81%D0%BF%D0%BB%D0%B5%D0%B9> (монохромный или цветной) в виде готовой картинки, у аналоговых осциллографов в качестве экрана используется электронно-лучевая трубка <https://ru.wikipedia.org/wiki/%D0%AD%D0%BB%D0%B5%D0%BA%D1%82%D1%80%D0%BE%D0%BD%D0%BD%D0%BE-%D0%BB%D1%83%D1%87%D0%B5%D0%B2%D0%B0%D1%8F_%D1%82%D1%80%D1%83%D0%B1%D0%BA%D0%B0> с электростатическим <https://ru.wikipedia.org/wiki/%D0%AD%D0%BB%D0%B5%D0%BA%D1%82%D1%80%D0%BE%D1%81%D1%82%D0%B0%D1%82%D0%B8%D1%87%D0%B5%D1%81%D0%BA%D0%BE%D0%B5_%D0%BF%D0%BE%D0%BB%D0%B5> отклонением). На экран обычно нанесена разметка в виде координатной сетки.

Сигнальные входы

Осциллографы разделяются на одноканальные и многоканальные (2, 4, 6, и т.д. каналов на входе). Многоканальные осциллографы позволяют одновременно сравнивать сигналы как между собой так и с другими между собой (формы, амплитуды, частоты и пр.)

Управление развёрткой

В большинстве осциллографов используются два основных режима развёртки:

·    автоматический (автоколебательный);

·              ждущий.

В некоторых моделях предусмотрен ещё один режим:

·    однократный.

При автоматической развёртке генератор развёртки работает в автоколебательном режиме, поэтому, даже в отсутствие сигнала, по окончании цикла развёртки происходит её очередной запуск, это позволяет наблюдать на экране луч даже в отсутствии сигнала или при подаче на вход вертикального отклонения постоянного напряжения. В этом режиме у многих моделей осциллографов выполнен захват частоты генератора развёртки исследуемым сигналом, при этом частота генератора развёртки в целое число раз ниже частоты исследуемого сигнала.

В ждущем режиме развертки, напротив, при отсутствии сигнала или его недостаточном уровне (либо при неверно настроенном режиме синхронизации) развёртка отсутствует и экран гаснет. Развёртка запускается при достижении сигналом некоторого настроенного оператором уровня, причем можно настроить запуск развертки, как по нарастающему фронту сигнала, так и по падающему. При исследовании импульсных процессов, даже если они непериодические (например, непериодическое, достаточно редкое ударное возбуждение колебательного контура) ждущий режим обеспечивает неподвижность изображения на экране. В ждущем режиме развёртку часто запускают не по самому исследуемому сигналу, а некоторым синхронным с ним сигналом, например, сигналом импульсного генератора, возбуждающего процесс в исследуемой схеме. В этом случае, запускающий сигнал подаётся на вспомогательный вход осциллографа - вход синхронизации.

При однократном режиме генератор развёртки «взводится» внешним воздействием, например, нажатием кнопки и далее ожидает запуска точно также, как и в ждущем режиме. После запуска развёртка производится только один раз, для повторного запуска генератор развёртки необходимо «взвести» снова. Этот режим удобен для исследования непериодических процессов, таких как логические сигналы в цифровых схемах, чтобы последующие запуски развёртки не «замусоривали» экран. Недостаток такого режима развёртки - луч по экрану пробегает однократно, что затрудняет наблюдение при быстрых развёртках и, обычно, в этих случаях прибегают к фотографированию <https://ru.wikipedia.org/wiki/%D0%A4%D0%BE%D1%82%D0%BE%D0%B3%D1%80%D0%B0%D1%84%D0%B8%D1%8F> экрана. Этот недостаток ранее устраняли применением осциллографических трубок с запоминанием изображения, в современных цифровых осциллографах запоминание процесса производится в цифровом виде ОЗУ <https://ru.wikipedia.org/wiki/%D0%9E%D0%97%D0%A3>.

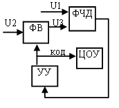
5. Цифровые фазометры

Компенсационные фазометры


Принцип работы: одно из двух синусоидальных напряжений, в данном случае U2, поступает на фазовращатель ФВ, управляемый кодом с УУ. Фазовый сдвиг напряжения U3 относительно U2 изменяется до тех пор, пока U1 и U3 не будут синфазны. В процессе уравновешивания в знак фазового сдвига между U1 и U3 определяется с помощью фазочувствительного детектора ФЧД, выходной сигнал которого поступает на устройство управления УУ. Алгоритм уравновешивания соответствует кодоимпульсному методу. По окончанию уравновешивания код на входе ФВ выражает фазовый сдвиг между U1 и U3 и, соответственно, U1 и U2.

Компенсационный метод обладает высокой точностью, но реализуется в ручном режиме.

Применяются для измерения фазового сдвига.

Методы измерения фазы классифицируются:


Измерение фазы за один период


Принцип работы: входные синусоидальные напряжения преобразуются с помощью формирователей F1 и F2 в прямоугольные импульсы. После элемента И1 образуются прямоугольные импульсы длительностью

Δt=φ/ω=φ/(2π*f)

Импульсы опорной частоты f0 от генератора G проходят через элемент И2 на счетчик СТ в течение интервала времени Δt, тогда количество импульсов

N= Δt/T= Δt*f0

 

Код числа N поступает на ЦОУ. Сброс счетчика происходит через период. Из полученных выше формул получим:

в радианах

N= f0* φ/(2π*f) (1);

в угловых градусах

= f0* φ/(3600*f) (2).

Выражение (1) и (2) выявляют существенный недостаток фазометра по приведенной выше схеме. Недостатком является связь между N и φ, зависящая от частоты измерения. Это означает, что либо такой фазометр можно применять при фиксированной частоте f, либо измерение φ должно сопровождается измерением частоты или периода.

Пусть например будет измеряться период Т. При измерении Δt (временной интервал) получим число

Δt= Δt*f0= φ*f0/(360*f)

При измерении Т получим число импульсов

Т=Т*f0=T/T0;

φ=360* NΔt /NT.

Как видим в данном случае результат измерения не зависит от f и f0.

Измерение фазы за много периодов


По сравнению с первой схемой здесь введен делитель частоты и логический элемент И3. Теперь на счетчик поступают пачки импульсов, причем количество импульсов в каждой пачке определяется выражением

N=φ*f0/(2π*f)=φ*f0*f/3600.

Пачки проходят в течении интервала времени Δtу, который задается генератором G и делителем частоты:

, т.е. Δtу=k*T0/2=k/(2*f0),

где k - коэффициент деления частоты. В таком случае количество пачек импульсов будет равно:

m= Δtу/T= Δtу*f=k*f/(2*f0).

Если m>>1, то можно пренебречь тем, что на границах Δtу могут оказаться неполные пачки и считать, что общее количество импульсов, прошедших на счетчик, будет равно Nу=m*N

Так как m= k*f/(2*f0),

то N=f0*φ/(3600*f),

тогда Nу=k*φ/7200

это выражение определяет результат измерения фазового сдвига.

Выбор значений k из условия k=7200*10а обеспечивает соотношение

у=10а*φ, т.е. φ=Nу*10=g*Nу,

где а может принимать значения 0; 1; 2 и т.д.

Список литературы

1. Браммер, Ю.А. Радиотехнические устройства и элементы радиосистем: учеб. пособие [Текст] / Ю.А. Браммер, С.П. Лохова, И.В. Шостак, В. А. Каплун. - М.: Высш. шк. - 2005. - 294 с.

2.      Бушуев, В.М. Электропитание устройств и систем телекоммуникаций: учебн. пособие для вузов [Текст] / В.М. Бушуев, В.А. Деминский - М.: Высш. шк. - 2011. - 263 с.

.        Воробьев, А.Ю. Электроснабжение компьютерных и телекоммуникационных систем [Текст] / А.Ю. Воробьев. - М.: Эко-Трендз, - 2002. - 280 с.

.        Бокуняев, А.А. Электропитание устройств связи: учебник [Текст] / А.А. Бокуняев, Б.В. Горбачев, В.Е. Китаев и др. Под ред. В.Е. Китаева. - М.: Радио и связь. - 1988. - 285 с.

.        Иванов-Цыганов, А.И. Электропреобразовательные устройства РЭС: учебник для вузов [Текст] / А.И. Иванов-Цыганов - 4-е изд., перераб. и доп. - М.: Высш. шк. - 1991. - 293 с.

.        Краулс, Л.А. Проектирование стабилизированных источников электропитания радиоэлектронной аппаратуры [Текст] / Л.А. Краулс, Г.В. Гейман, М.М. Лапиров-Скобло - М.: Энергия. - 1980. - 376 с.

Похожие работы на - Цифровые средства измерения

 

Не нашли материал для своей работы?
Поможем написать уникальную работу
Без плагиата!
Без нейросетей!