Тепловой расчет судового двигателя внутреннего сгорания
Содержание
Введение
.
Техническая характеристика двигателя и конструктивные особенности
.
Выбор и обоснование начальных параметров для теплового расчёта
.
Тепловой расчёт двигателя и построение индикаторной диаграммы
.
Расчёт сил и моментов, действующих в кривошипно-шатунном механизме
Список
использованной литературы
Введение
Азербайджанское Государственное Каспийское
Морское Пароходство играет очень важную роль в экономической жизни
Азербайджанской Республики. Судами пароходства перевозятся грузы, необходимые
для народного хозяйства - для химической промышленности различные соли, для
строительной промышленности лесоматериалы и другие грузы для разных отраслей
промышленности. В больших объёмах судами пароходства перевозятся также нефть и
нефтепродукты, промышленные товары.
Азербайджанское Государственное Каспийское
Морское Пароходство вносит большой вклад в развитие экономик стран Средней
Азии, обеспечивая им выход на мировые рынки.
Акционерное общество «Кавказ и Меркури»,
созданное в 1858 году для перевозки грузов из Ирана и Средней Азии заложили
основу Каспийского пароходства. В настоящее время Каспийское Морское
Пароходство является владельцем 70 судов : 35 танкеров, 35 сухогрузов и
паромов.
Двигатели внутреннего сгорания составляют основу
энергетических установок на морских судах. Этот тип двигателя благодаря высокой
экономичности заменил на флоте паровые поршневые машины. Процесс широкого
внедрения на транспортных судах ДВС начался после изобретения в 1892 году
немецким инженером Рудольфом Дизелем двигателя внутреннего сгорания с
воспламенением топлива от сжатия. Такие ДВС принято называть по имени
изобретателя «дизелями». Первый двигатель, построенный Р.Дизелем, работал на
керосине, распыливаемом форсункой с помощью подаваемого в него сжатого воздуха высокого
давления. (Такие дизели называли компрессорными). Мощность этого
одноцилиндрового дизеля составляла всего 15 квт при КПД 26%, что было
существенно выше, чем КПД паровой машины.
В общемировой практике на относительно малых
судах с мощностью энергетических установок до 20 000 квт как источник энергии
судна используются дизельные двигатели. В перспективе планируется использование
дизелей мощностью до 37 500 квт.
Главной причиной использования на судах
дизельных двигателей является их экономичность, возможность работать на
относительно тяжёлых топливах.
В настоящее время проводятся обширные
научно-исследовательские и практико-конструктивные работы для
усовершенствования судовых дизелей. На современном этапе основной задачей
является обеспечение экономичности дизелей и уменьшение выброса ядовитых
выхлопных газов. Для выполнения этой задачи необходимо совершенствовать знания
по теории, конструированию и расчёту судовых ДВС. Исходя из этого можно
считать, что тема работы является актуальной.
1. Техническая
характеристика двигателя и конструктивные особенности
Двигатель марки 8TAD
48/70 двухтактный, восьмицилиндровый,
с передачи используется как главный двигатель.
Техническая характеристика двигателя приводится
в таблице 1
Таблица 1
|
№
|
Показатели
|
Значения
|
|
Мощность
двигателя (Ne),
квт
|
2200
|
|
Частота
вращения (n),
мин-1
|
225
|
|
Число
цилиндров (i)
|
8
|
|
Степень
сжатия
|
11,5
|
|
Диаметр
цилиндр (D), мм
|
480
|
|
Ход
поршня (S), мм
|
700
|
|
Рабочий
объём цилиндр (Vs)
м3
|
0,126
|
|
Среднее
эффективное давление (Pe),
МПа
|
1,12
|
|
Удельный
эффективный расход топлива (ge),
г/(квт час
|
215
|
2. Выбор и
обоснование начальных параметров для теплового расчёта
Давление и температура окружающей среды:
Р0 = 0,1 МПа; Т0 = 293К (t0
= 200C
)
Давление воздуха в ресивере принимается
Рs
= 0.155 МПа
Температура остаточных газов Тrзависит
от степени сжатия, нагрузки и частоты вращения коленчатого вала двигателя. С
уменьшением степени сжатия( уменьшается степень расширения газов), увеличением
нагрузки и частоты вращения (увеличивается нагрев деталей цилиндро-поршневой
группы) значение Тr
возрастает. Температура остаточных газов близка к температуре газов за
выпускными органами цилиндра и лежит в пределах 600-900К (меньшие значения
относятся к двухтактным двигателям). Исходя из этого принимаем: Тr=7000K
Нижний предел степени сжатия (
)
выбирают из условия получения минимально небходимой температуры
в конце процесса сжатия, обеспечивающей надёжное самовоспламенение топлива при
пуске холодного двигателя (при температуре воздуха в машинном отделении до 80С
и более). Для этого температура
должна превышать
температуру самовоспламенения на 100
2000С.
Температура распылённого дизельного топлива при Р = 3 МПа равна приблизительно
4730К.
Верхний предел
ограничивается
значениями PсиPz
, которые определяют механическую нагрузку на детали цилиндро-поршневой группы,
кривошипно-шатунного механизма, остова и влияет на значение механического КПД
двигателя.
Для четырёхтактного двигателя с наддувом
значение степени сжатия лежит в пределах 11
.
Исходя из вышеизложенного выбираем
11,5
Коэффициент избытка воздуха (
)
зависит от типа двигателя, способа смесеобразования, режима работы и т.п.
Снижение
один
из эффективных путей форсировки рабочего процесса двигателя. Для заданной
мощности двигателя уменьшение (до определённых пределов) коэффициента избытка
воздуха приводит к меньшим размерам цилиндра. Однако, с уменьшением величины
возникает
неполнота сгорания топлива, ухудшается экономичность и увеличивается
термическая напряжённость двигателя. Практически полное сгорание топлива в
двигателе возможно только при
, так как при
невозможно
получить такую совершенную смесь топлива с воздухом, в которой каждая частица
топлива была бы обеспечена необходимым количеством кислорода воздуха. Для
четырёхтактных двигателей на номинальном режиме работы коэффициент избытка
воздуха лежит в пределах
1,7
,0.
Исходя из этого выбираем
Величина степени повышения давления (
)
для дизелей устанавливается по опытным данным в основном в зависимости от
количества топлива, подаваемого в цилиндр, формы камеры сгорания и способа
смесеобразования. Кроме того на величину
оказывает
влияние период задержки воспламенения топлива, с увеличением которого степень
повышения давления растёт. Для среднеоборотных судовых двигателей степень
повышения давления лежит в пределах
,
принимаем
Величина коэффициента использования теплоты (
)
принимается на основе экспериментальных данных в зависимости от конструкции
двигателя, режима его работы, системы охлаждения, формы камеры сгорания,
способа смесеобразования, коэффициента избытка воздуха и частоты вращения
коленчатого вала. Величина
повышается за счёт
сокращения потерь теплоты от газов в стенки, выбора рациональной формы камеры
сгорания, уменьшения догорания в процессе расширения и выбора коэффициента
избытка воздуха, обеспечивающего увеличение скорости сгорания рабочей смеси.
Для среднеоборотных судовых двигателей коэффициент использования теплоты лежит
в пределах
. Выбираем
судовой двигатель тепловой кривошипный
3. Тепловой
расчёт двигателя и построение индикаторной диаграммы
Процесс наполнения
Давление воздуха на входе в компрессор:
,
где
-
перепад давления на воздушных фильтрах
Тогда
Давление воздуха после компрессора:
, Мпа
Где
-
перепад давления на воздухоохладителях
Принимаем
.
Тогда:
Степень повышения давления в компрессоре:
= 0.1575/0.09955 =
1,582
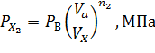
Давление в конце процесса наполнения:
, Мпа
Температура воздуха после компрессора:
, K
Где
-
показатель политропы сжатия в компрессоре. Для поршневых насосов
Принимаем
.
Тогда:
K,
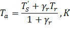
Температура воздуха в ресивере:
.
Принимаем
,
К
Где
-
температура забортной воды. Принимаем
=
180С . Тогда
Температура воздуха в рабочем цилиндре:
Где
=
5
100С
- подогрев воздуха от стенок камеры. Принимаем
=100С
Тогда
Температура рабочей смеси в цилиндре двигателя в
конце процесса наполнения:
Где
коэффициент
остаточных газов.
Для четырёхтактных двигателей с наддувом.
. Принимаем
Коэффициент наполнения:
Коэффициент наполнения, отнесённый к полному
ходу поршня:
Рабочий объём цилиндра:
м3
Где D
= 0,48 м - диаметр цилиндра.
= 0,7 м - ход
поршня.
Плотность воздуха, подаваемого в цилиндр:
кг/м3
Где R =
287 Дж/(кг
град) -
газовая
постоянная для воздуха
Заряд воздуха, отнесённый к полному рабочему
объёму цилиндра:
Где d
- влагосодержание воздуха, определяемое в зависимости от температуры
и
относительной влажности
. При
200С
и
=70%
из таблицы 2.1 выбираем d=
0,01.
|
0С
|
|
|
|
|
|
10
|
0,005
|
0,006
|
0,007
|
0,008
|
|
20
|
0,01
|
0,012
|
0,013
|
0,015
|
|
30
|
0,019
|
0,022
|
0,025
|
0,028
|
|
40
|
0,034
|
0,039
|
0,045
|
0,050
|
Тогда
Процесс сжатия
Давление в конце процесса сжатия:
Мпа
Где
-
средний показатель политропы сжатия в цилиндре
Принимаем
.
Тогда
МПа
= 357
=
860 K
Процесс сгорания
Максимальное давление цикла:
Максимальная температура цикла
определяется из уравнения сгорания
Где
-
низшая теплота сгорания топлива
= 41418 кдж/кг
количество воздуха
теоретически необходимого для полного сгорания 1 кг топлива:
, кмоль/кг
C, H,
S, O
- элементарный состав топлива.
Для данного топлива: C
= 0,865; H = 0,126; S
=0,004; O = 0,005
кмоль/кг
- средняя молярная
теплоёмкость сухого воздуха
кдж/(кмоль
К)
- средняя молярная
изобарная теплоёмкость смеси «чистых» продуктов сгорания с оставшимися в
цилиндре после сгорания избыточным воздухом и остаточными газами в точке Z
=
=
=
= 28,227 + 0,00308
действительный
коэффициент молекулярного изменения рабочей смеси
теоретический или
химический коэффициент горючей смеси:
Рассчитанные численные значения подставим в
уравнение сгорания
0,00318
Решая квадратное уравнение получим:
Процесс расширения
Степень предварительного расширения :
Степень последующего расширения :
Давление в конце расширения
, Мпа
Где
-
средний показатель политропы расширения
Принимаем
Тогда
Температура в конце расширения:
Параметры газа в выпускном тракте
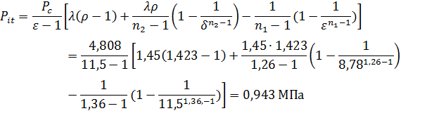
Среднее давление газов за выпускными клапанами.
,Мпа
Где
-
коэффициент потери давление при продувке во впускных и выпускных клапанах.
Принимаем
.
Тогда
, МПа
Среднее давление газов перед турбиной
,Мпа
где
- коэффициент потери в давления в выпускном тракте от цилиндра до турбины.
Принимаем
,
Тогда
Средняя температура газов перед турбиной
Где
относительная
потеря теплоты с выпускными газами перед турбиной.
Принимаем
;
= 1,6
.
Принимаем
= 1,62
масса воздуха,
теоретически необходимое для полного сгорания 1 кг топлива
кг/кг
Где
масса 1кмоля воздуха
кг/кг
кдж/кмоль
средняя изобарная теплоёмкость газов.
Принимаем
Энергетические и экономические показатели
двигателя
Среднее индикаторное давление теоретического
(расчётного) цикла, отнесённое к полезному ходу поршня:
Среднее индикаторное давление предполагаемого
действительного цикла:
МПа
Где
=
0,96
коэффициент округления (полноты) диаграммы.
Принимаем
=
0,96
МПа
Индикаторная мощность, развиваемая в цилиндре
Где z
- коэффициент тактности, z=1
для четырёхтактных двигателей
Индикаторный КПД двигателя:
Удельный индикаторный расход топлива:
Среднее индикаторное давление двигателя:
Мпа
Где
механический
КПД двигателя
Тогда
Эффективная цилиндровая мощность:
Эффективная мощность двигателя:
Где
количество
цилиндров двигателя.
Отклонение расчётной (
)
мощности от заданной:
Эффективный КПД двигателя:
Удельный эффективный расход топлива:
Часовой расход топлива двигателем:
Цикловая подача топлива:
Построение индикаторной диаграммы.
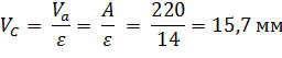
Теоретическую (расчётную) диаграмму строят в
координатах P - V
. По оси абсцисс в масштабе откладывают относительные объёмы, а по оси ординат
- давление в цилиндре. При построении индикаторной диаграммы по оси абсцисс
откладываем отрезок А, соответствующий ходу поршня , взятому в натуральную
величину. При этом принимается, что полный объём цилиндра Va=
A =220
мм.
Тогда длина отрезка, соответствующая объёму
камеры сгорания находится следующим образом:
Разница объемов
или
расстояниеzz,определяется
следующим образом.
zz,=
,=12(1.44
-1) = 5.28 мм
Действительный рабочий объём цилиндра:
Отложив по оси абсцисс соответствующие объёмы,
по оси ординат откладываем отрезок В, соответствующий максимальному давлению
цикла
.
Определим масштаб давления:
Определяем ординаты характерных точек:
Определим промежуточные объёмы и соответствующие
им давления сжатия и расширения.) Процесс сжатия
) Процесс расширения
В этих выражениях
,
и
известны;
обозначают
промежуточные значения объёма и давления.
При расчёте процесса сжатия значения
принимают
произвольно в пределах от
до
,
а при расчёте процесса расширения от
до
.
Объём
можно
определить следующим образом:
Расчёт процессов сжатия и расширения удобно
вести в табличной форме.
Таблица 2
|
|
|
Процесс
сжатия
|
Процесс
расширения
|
|
|
|
мм
|
МПа
|
|
,мм
|
Мпа
|
|
112
|
115
|
41
|
83,3
|
4,92
|
-
|
-
|
|
213,8
|
113,4
|
35,9
|
73,0
|
4,30
|
-
|
-
|
-
|
|
218
|
810
|
23,9
|
48,6
|
2,86
|
17,7
|
120
|
7,08
|
|
525,7
|
7
|
14,66
|
29,8
|
1,75
|
11,38
|
77,15
|
4,5
|
|
736
|
5
|
9,21
|
18,7
|
1,10
|
7,47
|
50,64
|
2,988
|
|
960
|
23
|
4,55
|
9,2
|
0,54
|
3,9
|
26,44
|
1,56
|
|
190
|
22
|
2,6
|
5,2
|
0,31
|
2,37
|
16
|
0,948
|
|
1120
|
11,5
|
|
3,5
|
0,20
|
1,66
|
11,25
|
0,664
|
|
1144
|
11,25
|
1,36
|
2,7
|
0,16
|
1,32
|
8,94
|
0,528
|
|
1180
|
11
|
1
|
2,03
|
0,12
|
1
|
0,4
|
Для более полного учёта особенностей протекания
действительного цикла в теоретической диаграмме скругляют углы в точках С
(вследствие опережения подачи топлива сгорание начинается до ВМТ), Z¢
и Z (сгорание
происходит при переменных значениях давления и объёма), а также исправляют конец
диаграммы на участке газообмена.
Для проверки правильности построения
индикаторной диаграммы необходимо планиметрированием определить площадь
индикаторной диаграммы, а среднее индикаторное давление по следующей формуле:
МПа
Где
мм2
- площадь индикаторной диаграммы;
-
длина диаграммы, соответствующая полному рабочему объёму цилиндра. Тогда
Отклонение
¢
от значения полученного расчётом (
):
Отклонение не превышает допустимые 3-4%
4. Расчёт сил
и моментов, действующих в кривошипно-шатунном механизме
Сила давления газов приложена к поршню и
действует вдоль оси цилиндра. Давление газов переменно по значению, закон его
изменения определяется из индикаторной диаграммы, построенной методом
А.Ф.Брикса из координат давление - ход поршня в координаты давление - угол
поворота кривошипа. При этом поправка Брикса определяется по формуле:
Где R=
S/2 = 220/2 = 110 мм
Тогда
После построения индикаторной диаграммы
находятся значения сил давления газов (
),
соответствующие углам поворота коленчатого вала и заносятся в таблицу 3
Сила инерции поступательно движущихся масс
определяется по следующей формуле:
Где
площадь
поперечного сечения поршня:
Где
угловая
скорость коленчатого вала:
радиус вращения
кривошипа:
табличный
коэффициент, численные значения которого выбираем из специальной таблицы в
зависимости от значений
и
.
В нашем случае
.
Суммарная масса поступательно движущихся частей
(
)
складывается из веса комплекта поршня (
)
и массы части шатуна (
). В крейцкопфных
двигателях к
относят также вес
штока и крейцкопфа (). Таким образом:
, кг
часть шатуна,
участвующая в поступательном движении. Остальная часть шатуна
участвует
во вращательном движении.
При выполнении динамического расчёта двигателя
,для приближённого определения значения
,
можно использовать конструктивную массу :
Для высокооборотных
четырёхтактных двигателей принимаем
Тогда
После этого определяем удельную силу инерции
поступательно движущихся масс:
,
МПа
По этой формуле через каждые 300 угла
поворота кривошипа определяем значения
и
заносим в таблицу 3. Строим график сил инерции методом касательных. Откладываем
отрезок АВ, соответствующий рабочему объёму и ходу поршня. Из точек А и В,
соответственно масштабу давления, вверх и вниз проводим перпендикулярно отрезки
АЕ и ВС.
АЕ =
мм
BC =
мм
DF =
мм
Суммарная сила (Р), действующая в
кривошипно-шатунном механизме, определяется алгебраическим сложением сил
давления газов и сил инерции поступательно движущихся масс:
Графически кривую удельных суммарных сил (Р)
строят с помощью диаграмм
Значения суммарной силы Р тоже заносятся в
таблицу 3
Суммарная сила Р, как и силы
направлена
по оси цилиндра и приложена оси поршневого пальца. Нормальная, радиальная и
тангенциальная силы. Воздействие от суммарной силы Р передаётся на стенки
цилиндра перпендикулярно его оси и на шатун по направлению его оси. Сила,
действующая перпендикулярно оси цилиндра, называется нормальной силой и
воспринимается стенками цилиндра:
Нормальная сила
считается положительной, если создаваемый ею момент относительно оси
коленчатого вала направлен противоположно направлению вращения вала двигателя.
Сила, действующая вдоль шатуна, воздействует на
него и далее передаётся кривошипу. Она считается положительной, если сжимает
шатун, и отрицательной, если его растягивает:
кН
От действия силы
на
шатун возникают две составляющие силы:
Радиальная сила, направленная по радиусу
кривошипа
, кН
и тангенциальная сила, направленная по
касательной к окружности радиуса кривошипа
, кН
Сила Z
считается положительной, если она сжимает щёки колена. СилаТ принимается
положительной, если направление создаваемого ею момента совпадает с
направлением вращения коленчатого вала.
Суммарная сила
в
вышеуказанных формулах является полной силой, которая определяется следующим
выражением:
где
удельная
суммарная сила, МПа;
площадь поршня, м2.
Численные значения тригонометрических функций,
входящих в формулы расчёта сил в зависимости от λ
для различных
выбираются из
специальных таблиц и заносятся в таблицу 3.
Моменты, действующие в кривошипно-шатунном
механизме.
Нормальная и касательная силы создают моменты в
кривошипно-шатунном механизме.
Момент, создаваемый нормальная силой,
определяется по формуле:
кН
м
где
-
расстояние от нормальной силы до оси коленчатого вала.
Вращающий момент, создаваемый тангенциальной
силой для одного цилиндра определяется по следующей формуле:
кН
м
Масштаб крутящего момента определяется по
следующей формуле:
мм/( кН
м)
где
-
масштаб тангенциального давления и определяется по следующей формуле:

Крутящий момент
,кН
м,
развиваемый одним цилиндром двигателя в любой момент времени, прямо
пропорционален тангенциальной силе и равен:
кН
м
Поэтому кривая изменения силы
является
также и кривой изменения
, но в масштабе
.
Для построения кривой суммарного крутящего
момента
многоцилиндрового
двигателя необходимо графически суммировать кривые моментов каждого цилиндра,
сдвигая одну кривую относительно другой на угол поворота кривошипа между
вспышками.
При равных интервалах между вспышками в
цилиндрах двигателя построение кривой
(
)
производится в следующей последовательности: график
(при
соответствующем выборе масштаба) разбивается на число участков, равное числу
цилиндров двигателя: все участки совмещаются на новой координатной сетке длиной
и
суммируются. Для двухтактного двигателя угол
град,
равен:
Результирующая кривая показывает изменение
суммарного индикаторного крутящего момента двигателя в зависимости от угла
поворота коленчатого вала.
Проверяем правильность построения диаграммы с
помощью среднего значения крутящего момента двигателя
.
Среднее значение суммарного крутящего момента
определяется по площади F,
заключённой между кривой
и линией абсцисс.
кН
м
где
длина
интервала между вспышками на диаграмме.
площадь,
заключённая между кривой
и линией абсцисс,
мм2
1180
мм2
Индикаторный крутящий момент определяется из
теплового расчёта:
Погрешность :
Как видно ошибка построения кривой суммарного
крутящего момента находится в допустимых пределах, т.к. меньше 5%.
Список
использованной литературы
1. İsmayılov
A.Ş., Sambur N.O., Əliyev S.N. Gəmi
daxili yanma mühərriklərinin
hesabatı. Dərs vəsaiti. Bakı:
“Təhsil PNM” 2003. 146 səh.
. И.В.
Возницкий. Судовые двигатели внутреннего сгорания. М.:
МОРКНИГА, том 1, 2008, 282 с
3. И.В.
Возницкий, А.С. Пунда.
Судовые двигатели внутреннего сгорания. М.: МОРКНИГА, том
2, 2008, 480 с
. Миклос
А.Г., Чернявская Н.Г. Судовые двигатели
внутреннего сгорания. Л.: Судостроение, 1971, 400 с.
. Самсонов
В.И., Худов Н.Н. Двигатели
внутреннего сгорания морских судов. М.: Транспорт, 1990,
360 с
. Танатар
Д.Б. Дизели. Компановка и расчёт. Изд. 3-е перераб. и доп. Л.: Морской
транспорт, 1997, 376с