Стабілізація режиму роботи транзисторів
МІНІСТЕРСТВО
ОСВІТИ ТА НАУКИ УКРАЇНИ
Національний
авіаційний університет
Аерокосмічний
інститут
Механіко-енергетичний
факультет
Кафедра
автоматизації та енергоменеджменту
Курсова
робота з дисципліни:
"Промислова
електроніка"
Тема:
"Вибір методики розрахунку основних вузлів електроніки, розрахунку та
виборі напівпровідникових приборів та елементів схеми, побудові статичних та
динамічних характеристик, оцінки ефективності використання обраної схеми"
Виконав:
Тягло
Олег Григорович
Перевірив:
Сильнягін
Анатолій Олексійович
Київ,
2014
Вступ
З-поміж науково-технічних досягнень
сучасного часу одне з основних місць належить електронній обчислювальній
техніці. Розробка і експлуатація нових високоефективних електронних
обчислювальних машин, приладів і пристроїв потребує підготовки
висококваліфікованих спеціалістів, які спосібні розраховувати технічні
досягнень.
Курс "Промислова
електроніка" базується на фізиці, математиці, хімії і електротехніці. При
вивченні дисципліни студенти отримують необхідні теоретичні знання о роботі
найбільш розповсюджених електронних елементів і приладів, виконують ряд
лабораторних робіт, навчаються розраховувати типові електронні схеми в процесі
курсового проектування, типові електронні схеми в процесі курсового
проектування.
Курсова робота є
самостійною роботою і являє собою комплексне завдання, у ході виконання якого
студенти набувають та закріплюють, поглиблюють та узагальнюють теоретичні
знання з дисципліни „Промислова електроніка", виробляють навички їх
практичного застосування, самостійного та комплексного розв'язування конкретних
фахових завдань у сфері дослідження та розрахунку вузлів промислової
електроніки в електротехнічних системах.
Мета і завдання
курсової роботи
Конкретна мета
курсової роботи полягає у виборі методики розрахунку основних вузлів
електроніки, розрахунку та виборі напівпровідникових приборів та елементів
схеми, побудові статичних та динамічних характеристик, оцінки ефективності
використання обраної схеми.
Номер схеми та
завдання обирається на підставі списку групи. Тобто номер варіанта відповідає
порядковому номерові у списку.
Розрахунок статистичного
перетворювача струму на біполярних транзисторах
Вихідні дані:
Uж=27В
Рвих=200Вт
Uвих=250В
ƒ=800Гц
QH=-50˚C
QB=+60˚C
Uж
- величина напруги живлення
Рвих. - вихідна
потужність перетворювача
Uвих.
- вихідна напруга
ƒ- вихідна
частота перетворювача
QH,
QB
- діапазон робочих температур
Рис 1.1. Схема статичного
перетворювача струму на біполярних транзисторах ВВ
Вибір типу транзистора
1. Визначимо струм в
колекторному колі (первинний струм) перетворювача:

де h - ККД
перетворювача, h=0,9-0,95
Беремо h=0,9
. Вибираємо тип транзистора
виходячи з наступних умов
Uк.доп>2
Iк.доп
>
де Uк.доп,
Iк.доп -
допустимі напруга та струм колектора.
Вибираємо транзистор типу
П210А з наступними параметрами:
Iк.доп=12А,
Uк.доп=60В,
В≥15, S≥9
, 
Розрахунок
кола зворотного зв’язку
3. Знаходимо вхідний струм
транзистора:
де 
- коефіцієнт, який визначає
надлишковість струму бази
при 
=1,3-1,5 в транзисторі розсіюється
мінімальна потужність
приймаємо 
=1,5
4. Визначимо напругу на вході
транзистора
де S-крутизна
характеристики трансформатора
5. Знаходимо напругу на
обмотці зворотного зв’язку 

- коефіцієнт, який визначає
перевищення напруги зворотного зв’язку при якому забезпечується надійний запуск
перетворювача
6. Розрахуємо величину базового
опору:
. Знаходимо падіння напруги
на насиченому транзисторі
де коефіцієнти (0,7..0,8) визначає
зменшення падіння напруги на переході колектор-емітер за рахунок надлишкового
струму бази
Розрахунок трансформатора
Вибираємо кільцевий магнітопровід із
наступними розмірами:
D=56мм
h=12,5мм

d=40мм


9. Розрахуємо кількість витків
половини колекторної обмотки
. Визначимо витрати в міді
обмоток

- середня
довжина витка обмотки трансформатора
11. Визначаємо втрати в сталі
магнітопровода
де 
- питома втрата в сталі 

- довжина середньої силової лінії
12. Розрахуємо ККД трансформатора
. Визначаємо кількість витків
вихідної обмотки
. Визначаємо кількість витків
обмотки зворотного зв’язку
. Уточнене значення
первинного струму визначають із співвідношення
Конструктивний розрахунок
трансформатора
16. Розрахуємо діаметри проводів
обмоток
Вибираємо найближчі
стандартні діаметри проводів ПЕВ2 колекторної обмотки 
обмотки зворотного зв’язку 
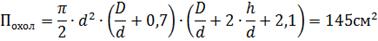
17. Перевіримо можливість
розміщення обмоток у вікні магнітопроводу площа якого Q0
для цього знаходимо сумарний переріз обмоток
Для нормального розміщення обмоток
необхідно щоб виконувалося умова:
18. Знаходимо температуру
перегріву трансформатора
транзистор обмотка
перегрів трансформатор

- коефіцієнт тепловіддачі 


19.
Визначимо втрати у транзисторі
. Розраховуємо ККД
перетворювача
. Розрахуємо площу
тепловідводу для кожного з пристроїв
де 
максимальна температура колекторного
переходу

- максимальна температура
навколишнього середовища

- тепловий
опір колекторного переходу 
Висновок
Протягом виконання курсової
роботи ми закріпили отримані навички та знання з дисципліни "Промислова
електроніка".
Список
використаної літератури
1.
Колонтаєвський Ю.П., Сосков А.Г. Промислова електроніка та мікросхемотехніка:
теорія і практикум: Навчальний посібник. - К.: Каравела, 2004. - 429 с.
.
Руденко В.С., Сенько В.И., Трифонюк В.В. Основы
промышленной электроники. - К.: Вища шк., 1995. -
422 с.
.
Горбачев Г.Н., Чаплыгин Е.Е. Промышленная
электроника. - М.: Энергоатомиздат, 1997. - 344 с.
.
Лабунцов
В.А. Энергетическая электроника. - М.: Высш. шк.,
.
- 352 с.
.
Гершунский Б.С. Основы электроники и микроэлектроники. - К.: Вища
шк., 1994. - 423 с.
.
Моин В.С. Стабилизированные транзисторные преобразователи. - М.:
Энергоатомиздат, 2001. - 396 с.