Расчет деревянных мостов
Министерство
образования и науки Российской Федерации
Казанский
государственный архитектурно-строительный университет
Кафедра
«Мосты, транспортные тоннели и геодезия»
Реферат
На
тему: «Расчет деревянных мостов»
Казань, 2014
г.
Оглавление
Введение
.
Дерево как строительный материал для мостов
.
Общие сведения о расчетах деревянных мостов
.
Расчет деревянных мостов под железные дороги
.
Особенности расчета автодорожных деревянных мостов
Заключение
Список
использованной литературы
Введение
На сегодняшний день все проектные работы по
сооружению мостов, как правило, выполняют в 2 этапа. На первом этапе
разрабатывают технико-экономическое обоснование необходимости и
целесообразности строительства моста с выбором варианта сооружения. На втором
этапе по выбранному варианту составляют детальный технический проект и рабочие
чертежи в количестве, обеспечивающем надлежащее изготовление всех частей
конструкции.
Процесс проектирования требует поэтапного
разрешения ряда частных задач, каждая из которых по своему характеру не может
быть решена однозначно. Поэтому проектирование моста представляет собой
творческий процесс, результаты которого зависят не только от уровня
профессиональной подготовки инженера, но и от его индивидуальных вкусов, а также
общей культуры.
1. Дерево как строительный материал
для мостов
Дерево применяют как строительный материал для
мостов благодаря его широкому распространению, малому объемному весу и простоте
обработки. Из лесных пород чаще всего используют сосну, отличающуюся прямыми и
ровными стволами, небольшой сучковатостью, смолистой и упругой древесиной. Реже
находят применение ель, лиственница, кедр, пихта, а для отдельных элементов
дуб.
Наряду с достоинствами древесина имеет и
существенный недостаток - подверженность гниению, в результате чего деревянные
мосты быстро выходят из строя. Срок службы деревянного моста из обычного леса с
соединениями на врубках определяется в 8-10 лет, если не принимают специальных
мер против загнивания. Части моста, расположенные в условиях переменной
влажности, подгнивают через 5-7 лет.
Недостатком древесины как строительного
материала является также зависимость сопротивления дерева усилиям от их
направления относительно волокон. Это затрудняет устройство сопряжений
элементов и часто лишает конструктора возможности использовать материал по
наибольшей прочности. Так, по прочности на сжатие сечение стойки или подкоса
может быть принято сравнительно небольшим, однако при опирании на лежень или
подушку, которые сжимаются поперек волокон, рабочее сечение этих элементов
приходится увеличивать.
Характерной особенностью древесины является
неоднородность. Прочностные характеристики древесины существенно зависят от
того, из какой части поперечного сечения и на какой высоте ствола взят образец.
На качество древесины влияют также пороки дерева: сучковатость, косослойность и
т. д.
К недостаткам древесины относится сокращение
размеров при усушке, которое достигает 5% по направлению поперек волокон.
Усушка и слабое сопротивление дерева смятию поперек волокон приводят к обмятию
врубок и расстройству соединений. Несовершенство соединений в мостах на врубках
требуют тщательного наблюдения при эксплуатации и соответствующих расходов на
содержание и ремонт. Деревянные мосты опасны в пожарном отношении.
Поиск путей увеличения срока службы деревянных
мостов ведет с использованием конструктивных мер и химических средств защиты
древесины. Конструктивный путь - переход к безврубочным конструкциям и
механическая защита ответственных элементов моста от атмосферных воздействий
навесами, козырьками, щитками и т. п. Химический способ заключается в
антисептировании древесины веществами, убивающими грибки.
Антисептирование позволяет увеличить срок службы
деревянных мостов в 2-3 раза, однако применение его встречает известные
трудности. Наиболее устойчивы маслянистые антисептики, но они дороги и плохо
проникают в древесину. Глубокая пропитка древесины в автоклавах под давлением,
применяемая на заводах, неудобна для длинных элементов мостов.
При строительстве мостов лучше использовать
способ пропитки в горячих и холодных ваннах. Деревянные элементы погружают на
3-5 ч. в ванну с горячим антисептиком (80-95°С), затем на 1-2 ч. в ванну с
холодным антисептиком (40-50° С). В горячей ванне из древесины удаляется
воздух, а в холодной - поры ее заполняет антисептик. Для облегчения пропитки
полезно предварительное накалывание элементов. Пропитывать следует готовые
элементы, так как при последующей обработке их (подтеске, устройстве отверстий
и т. п.) может быть снят антисептированный слой, имеющий обычно толщину 2-3 см.
Наиболее простым и удобным является
антисептирование готового сооружения с применением диффузионного способа -
нанесение обмазки, содержащей сильный водорастворимый антисептик. При
увлажнении антисептик, находящийся на поверхности элементов, растворяется и
постепенно проникает в древесину путем диффузии. Серьезные трудности связаны с
сохранением обмазок на поверхности элементов и защитой их от атмосферных
воздействий. Диффузионный способ несколько увеличивает срок службы деревянных
мостов, однако по показателям стойкости уступает пропитке маслянистыми
антисептиками.
Применением антисептированного леса и
безврубочных конструкций можно увеличить срок службы деревянных мостов до 15-20
лет и более. Еще долговечнее сооружения из так называемой облагороженной
древесины в виде специальной высокопрочной фанеры - деревопластиков.
Деревопластики выпускают листами шириной до 150
см. и длиной до 560 см. при толщине 2-60 мм. Листы изготовляют из березового
шпона-стружки толщиной 0,5 мм, получаемой из бревен на станках. Шпон
пропитывают синтетической фенолформальдегидной смолой различных марок и
прессуют под давлением 150-500 кгс/см2 при температуре 150° С.
Деревопластики обладают высокой прочностью и
биостойкостью, но очень дороги. Одной из разновидностей их является
бакелизированная фанера, которая наиболее проста в изготовлении и значительно
дешевле. Такую фанеру изготовляют из березового шпона без пропитки с
поверхностным смазыванием и склеиванием под давлением 40 кгс/см2.
Объемный вес бакелизированной фанеры 1000
кгс/м3, предел прочности на растяжение и изгиб 900-1500 кгс/см2, на сжатие
700-1000 кгс/см2, на скалывание по клеевому шву до 130 кгс/см2.
Из бакелизированной фанеры можно изготовлять
клееные балки двутаврового или коробчатого сечения. Подобные конструкции очень
легки, допускают перевозку крупными блоками и отличаются простотой монтажа.
2. Общие сведения о расчетах
деревянных мостов
Основными вопросами при проектировании моста
являются: выбор системы, разбивка на пролеты, принципиальные конструктивные
решения по пролетному строению и опорам. Все эти вопросы в той или иной мере
взаимосвязаны.
Рациональное решение зависит от местных условий.
Одним из основных факторов является срок службы сооружения. Если речь идет о
постройке моста на временном пути со сроком службы до 5-8 лет, то, как правило,
нет необходимости в применении антисептированных лесоматериалов, увеличивающих
стоимость сооружения.
В этих случаях целесообразно применять балочные
мосты из круглого леса, сооружаемые на месте, с некоторым количеством
простейших врубок и соединениями на болтах и штырях. Круглый лес, особенно при
сохранении естественной коничности, хорошо сопротивляется атмосферным
воздействиям, и стоимость его значительно ниже, чем пиломатериалов. При значительной
длине моста может оказаться целесообразным применение сборных конструкций с
рамно-свайными опорами с изготовлением элементов на стройдворе.
Если по местным условиям необходимо применить
пролеты более 4 м. под железную дорогу и более 8 м. под автомобильную дорогу,
то прогоны в мостах балочной системы обычно получаются очень громоздкими. В
этих случаях могут найти применение прогоны на шпонках или дощатые фермы на
гвоздях. При проектировании мостов со сроком службы более 8-10 лет применение
обычного леса без антисептирования нерационально.
Наибольшим сроком службы обладают мосты из
пиломатериалов с антисептированными элементами заводского изготовления,
монтируемые на месте без каких-либо подтесок или врубок. При малых пролетах
применяют балочные мосты безврубочной конструкции с соединениями на болтах,
штырях и зубчатых шайбах.
При увеличении пролетов целесообразны
конструкции из клееной древесины или клеефанерные балки. Удорожание моста в
этих случаях полностью окупается увеличением срока службы и сокращением
расходов по содержанию. Подкосные мосты и сквозные фермы в современной практике
почти не применяют.
Рассмотрев различные варианты с учетом
стоимости, материалоемкости, порядка изготовления и других местных условий,
принимают к разработке наиболее целесообразную конструкцию. По принятой схеме
намечают основные конструктивные решения, после чего находят усилия в различных
элементах и сопряжениях и производят необходимые проверки прочности,
устойчивости и деформативности сооружения.
Расчет деревянных мостов производят по двум
предельным состояниям: на прочность и устойчивость формы и положения.
Деревянный мост даже простейшего вида, представляет собой пространственную
конструкцию, все элементы которой взаимосвязаны весьма сложным и трудно
поддающимся математическому описанию образом. Врубки, соединения на болтах,
сопряжения могут значительно обминаться в зависимости от состояния и
прочностных качеств древесины, тщательности выполнения работ и т. п. Расчет
подобной конструкции с точным учетом всех отмеченных обстоятельств практически
неосуществим. Поэтому конструкцию обычно условно расчленяют на системы,
поддающиеся простому расчету.
В ряде случаев косвенно учитывают возможное
взаимодействие основных элементов рассчитываемой системы.
В деревянных конструкциях в связи с
неоднородностью материала при назначении расчетных сопротивлений и вследствие
отсутствия жестких соединений элементов друг с другом предусматриваются
существенные запасы. Поэтому нет особой необходимости в усложнении расчетов для
повышения точности определения величины усилий. Важно, чтобы принятая расчетная
схема была достаточно близкой к фактической работе конструкции и не приводила к
занижению расчетных усилий по сравнению с действительными.
Сопротивление древесины силовым воздействиям зависит
от качества материала, вида напряженного состояния и направления усилия по
отношению к волокнам.
Древесина обладает наибольшим сопротивлением
усилиям, возникающим при изгибе и наименьшим при скалывании.
Для автодорожных мостов расчетные сопротивления на
растяжение и сжатие на 20% выше, чем для железнодорожных мостов. При применении
круглого леса с сохранением естественной коничности в балочных системах малых
мостов расчетное сопротивление на изгиб разрешается увеличивать на 20%. В
элементах моста усилия определяют от постоянной и временной нагрузок.
3. Расчет деревянных мостов под
железную дорогу
Расчет поперечин. Поперечины в мостах под
железную дорогу обычно принимают из окантованных с двух сторон бревен d = 24 см
или брусьев сечением 20×24 см. Расстояние
между осями поперечин назначают с таким расчетом, чтобы пролет между их гранями
не превышал 15 см. Это расстояние лимитируется техническими условиями по
требованиям безопасности движения для исключения провала колес при сходе поезда
с рельсов и серьезных последствий возможной аварии.
Расстояние между осями прогонов обычно не
превышает 50 см. При столь небольшом (по сравнению с высотой) расстоянии между
опорными точками поперечин обычная теория изгиба балки неприменима. Различные
расчеты и практика подтверждают, что прочность поперечин в подобных
конструкциях вполне достаточна.
Поперечины проверяют на смятие в месте опирания
на нее рельсовой подкладки. При определении передаваемого от подкладки на
поперечину усилия учитывают, что давление колеса распределяется рельсом на
несколько поперечин в связи с их упругостью. Число этих поперечин зависит от
соотношения жесткости поперечины и рельса и может быть определено с достаточной
точностью. Для применяемых конструкций эту проверку можно не производить. В других
случаях производят соответствующий расчет.
Исследования показали, что при давлении на ось
свыше 25 т стандартные размеры подкладок при деревянных поперечинах являются
недостаточными.
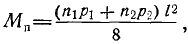
Расчет прогонов. Прогоны под один
железнодорожный путь при пролетах до 3 м, и езде на поперечинах обычно состоят
из шести-восьми бревен или брусьев. Под каждую нитку рельсов укладывают три
бревна в один ярус или четыре бревна в два яруса (рис. 4.1). Возможны и другие
конструктивные решения. Независимо от числа ярусов общий момент сопротивления
прогонов определяют как сумму моментов сопротивления отдельных бревен или
брусьев, так как обычные болтовые соединения не обеспечивают совместной работы
двухъярусных прогонов как цельного сечения.
Рис. 3.1 - Схема расположения прогонов
Прогоны обычно опирают на насадки и рассчитывают
как простые балки на двух опорах. За величину расчетного пролета принимается
расстояние между осями насадок, на которые опираются элементы прогона.
Изгибающий момент в середине пролета прогона от
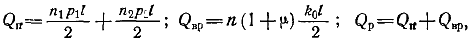
постоянной нагрузки:
где n1, n2 - коэффициенты перегрузки для
постоянной нагрузки; p1, p2 - постоянная равномерно распределенная нагрузка от
мостового полотна, настила, тротуаров и прогонов; l - расчетный пролет прогона.
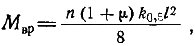
Изгибающий момент от временной нагрузки:
где n - коэффициент перегрузки для временной
нагрузки; 1 + μ - динамический
коэффициент; k0,5 - эквивалентная нагрузка для треугольной линии влияния с
максимальной ординатой в середине пролета при длине загружения, равной пролету
прогона.
Расчетный изгибающий момент Мр = Мп + Мв.
При езде на поперечинах расчет обычно ведут на
половину ширины моста, принимая соответствующую постоянную нагрузку и половину
эквивалентной нагрузки. При езде на балласте удобнее вести расчет на всю ширину
моста.
По величине изгибающего момента подбирают
сечения прогонов из условия:
где Wнт - момент сопротивления сечения нетто; Rп
- расчетное сопротивление на изгиб.
Для проверки касательных напряжений определяют
поперечную силу на опоре:
где k0 - эквивалентная нагрузка для треугольной
линии влияния с вершиной на опоре.
Касательные напряжения проверяют по формуле:

По второму предельному состоянию определяют
величину прогиба прогона в середине пролета от временной нормативной нагрузки.
При этом коэффициент перегрузки и динамический коэффициент не учитывают.
Прогиб в середине пролета:
где Е - модуль упругости древесины (при
определении деформаций только от временной нагрузки), равный 100 000 кгс/см2.
Величина прогиба для мостов под железную дорогу
не должна превышать 1/400l
Порядок расчета на шпонках, колодках или
пластинчатых нагелях на изгиб принципиально не отличается от изложенного выше. Момент
инерции двухъярусного или трехъярусного прогона определяют как для цельного
сечения. Соединения шпоночного типа обладают некоторой степенью податливости в
процессе эксплуатации, поэтому технические условия требуют при расчете на
прочность изгибаемых элементов введения коэффициента условий работы m2,
меньшего единицы.
При соединении на призматических продольных
шпонках (колодках) коэффициент m2 принимают равным:
Для соединений элементов гибкими шпонками
(металлическими пластинчатыми нагелями) коэффициент m2вводят при определении
как нормальных, так и касательных напряжений:
По прочности на изгиб прогон должен
удовлетворять условию:
Прогиб проверяют по формуле:
где m2п = 1,3 - коэффициент, учитывающий
податливость шпоночных соединений.
В составных балках проверяют достаточность
количества шпонок для восприятия сдвигающих сил, возникающих между элементами в
плоскости касания.
Сдвигающая сила на единицу длины балки:
где Q - расчетная поперечная сила; I - момент
инерции сечения балки относительно центральной оси; S - статический момент
относительно нейтральной оси балки той части сечения, которая находится выше
рассчитываемого ряда шпонок.
Сдвигающее усилие, приходящееся на одну шпонку,
где с - расстояние между осями шпонок.
При соединении элементов гибкими металлическими
шпонками (пластинчатые нагели) древесину проверяют на смятие и пластинчатую
шпонку на изгиб. Принимая, что давление от защемленной пластинки передается на
древесину по прямолинейной эпюре (рис. 4.2, а), определяют усилие, допускаемое
на одну гибкую шпонку по смятию:
где Rсм - расчетное сопротивление на смятие
древесины вдоль волокон; h и b - высота и ширина пластинки.
Наибольший изгибающий момент в пластинке
возникает на глубине 1/3 ее врезки в сечении, где поперечная сила равна нулю:
Напряжение в пластинке:
где δ - толщина
пластинки.
Допускаемое усилие на одну шпонку по условию
прочности пластинки на изгиб:
где Rп - расчетное сопротивление металла
пластинки на изгиб.
Необходимо также проверить на скалывание участок
между пластинками:
где (с-δ) - длина
скалывания; Rсп - расчетное сопротивление на скалывание древесины вдоль
волокон, принимаемое с учетом коэффициента условий работы 0,7.
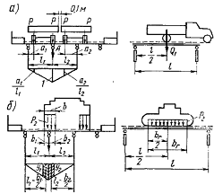
Рис. 3.2 - Схема составного прогона на шпонках и
колодках
Гибкие шпонки устанавливают обычно чаще у опор,
где поперечные силы больше. Учитывая, что в связи с податливостью шпонок
сдвигающие усилия могут перераспределяться, нормы разрешают рассчитывать их на
среднее усилие по длине полупролета балки. При этом вводят коэффициент 1,5.
Расчетное усилие на одну шпонку можно определить по формуле:
где М - расчетный изгибающий момент в середине
пролета балки; n - количество шпонок, расположенных на длине полупролета балки.
Шпонки располагают обычно на равных расстояниях
по длине балки. При соединении на колодках производят проверку на смятие и
скалывание (рис. 4.2, б). Прочность на смятие соединяемых элементов в месте
врезки колодок должна удовлетворять условию
где Fсм = b1a при прямоугольной площадке
смятия;см = 2/3b1a при смятии сегмента круглого сечения; а - глубина врезки
колодок; b1 - ширина соединяемых элементов на глубине врезки; Rсм - расчетное
сопротивление на смятие вдоль волокон. Условие прочности колодки на скалывание:
где τ - напряжение
на скалывание; d - длина колодки; b - ширина колодки; R′ск - расчетное
сопротивление на скалывание колодки вдоль волокон с учетом коэффициента условий
работы 0,8.
Расстояние в свету между колодками определяют из
условия скалывания участка между колодками, как указано выше, причем, согласно
требованиям норм, это расстояние должно быть не менее длины колодки.
Усилия, действующие на колодку, создают момент:
где h - высота колодки.
Под действием этого момента колодка стремится
повернуться и раздвинуть элемент усилием
которое должны воспринимать болты, стягивающие соединяемые
элементы.
4. Особенности расчета автодорожных
деревянных мостов
Автодорожный мост отличается от железнодорожного
характером приложения подвижной нагрузки, которая может находиться в любой
точке проезжей части. При расчете элементов конструкции расстановку автомобилей
вдоль и поперек моста принимают самой неблагоприятной для рассчитываемого
элемента (в пределах установленных габаритов).
Подвижная вертикальная нагрузка состоит из
основной автомобильной нагрузки, специальной гусеничной нагрузки и нагрузки от
толпы.
Нормативную поперечную ветровую нагрузку
принимают: при нахождении на мосту подвижной нагрузки 50 кгс/м2 и при
отсутствии ее 80 кгс/м2. Нормативный коэффициент перегрузки для постоянной
нагрузки равен 1,2, кроме коэффициента 1,5 для всех элементов проезжей части,
расположенных выше несущей конструкции, и веса покрытия тротуаров. Коэффициент
перегрузки для автомобильной нагрузки и толпы принимают равным 1,4; для
гусеничной нагрузки 1,1. Предельная величина прогиба деревянных автодорожных мостов
от автомобильной нагрузки не должна превышать 1/180l (при асфальтобетонном
покрытии 1/250l).
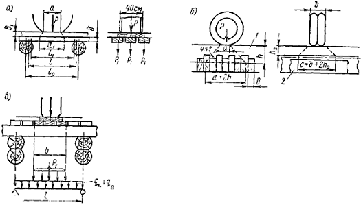
Расчет настила. Верхний слой двойного дощатого
настила из досок толщиной 5-6 см, подвергающийся интенсивному износу, не
рассчитывают. Доски нижнего настила рассчитывают на изгиб как простые балки,
опирающиеся на поперечины. Расчетный пролет принимают равным расстоянию в свету
между гранями площадок опирания плюс толщина доски (рис. 4.1, а).
Рис. 4.1 - Схема к расчету настила и поперечины:
1 - асфальтобетон; 2 - деревоплита
Постоянной нагрузкой ввиду ее малости
пренебрегают. Интенсивность временной нагрузки от колеса автомобиля определяют
в зависимости от ширины ската заднего колеса (длина сопряжения ската с
покрытием проезжей части). При ширине ската 30 и 40 см. принимают распределение
давления от колеса соответственно на 2,5 и 3 доски нижнего настила. Расчетное
давление, передаваемое на одну доску от автомобильной нагрузки (рис. 4.1, б):
где nвр=1,4 - коэффициент перегрузки для
автомобильной нагрузки; Р - нормативное давление одного колеса задней оси; n -
число досок нижнего настила, на которое передается давление.
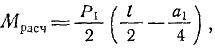
Изгибающий момент в одной доске:
где P1 - расчетное давление колеса; l -
расчетный пролет доски; a1 - длина распределения временной нагрузки на уровне
верха нижнего настила, равная длине сопряжения ската с покрытием проезжей части
(для расчетной машины) плюс участок распределения нагрузки в пределах толщины
досок верхнего настила под углом 45°. Необходимый момент сопротивления доски:
где 1,2 - коэффициент повышения расчетного
сопротивления при расчете дощатых настилов (по техническим условиям);
Rи-расчетное сопротивление на изгиб.
Порядок расчета одиночного настила из пластин
или наката тот же, однако учитывают, что давление колеса может полностью
передаваться на один элемент настила. При расчете настила с щебеночным
покрытием учитывают распределение нагрузки покрытием под углом 45° и
собственный вес этого покрытия и настила.
Деревоплиту, уложенную в поперечном направлении
на прогоны (см. рис. 4.1, б), рассчитывают как простую балочную конструкцию с
пролетом, равным расстоянию между осями прогонов или главных балок (если плита
опирается на главные балки). Распределение нагрузки от колеса в асфальтобетоне
или цементобетоне вдоль и поперек пролета плиты с соединениями на гвоздях
принимают под углом 45°. При этом учитывают включение в работу досок,
прилегающих к загруженному участку, и принимают распределение нагрузки в
поперечном направлении не до верха досок, а до оси, проходящей через их центр
тяжести. Давление на одну доску:
где Р - давление колеса с учетом коэффициента
перегрузки; а - длина соприкосновения колеса с поверхностью настила в
направлении поперек настила; δ -толщина
доски настила.
Давление вдоль доски настила распределяется на
ширине:
где b - длина сопряжения колеса с поверхностью
настила в направлении досок; h0 - средняя толщина слоя асфальтобетона.
Расчетный изгибающий момент в доске настила от
постоянной и временной нагрузки:
где nн, nа - коэффициенты перегрузки для настила
и покрытия; qн, qa - постоянная нагрузка на одну доску от собственного веса
доски и веса покрытия; l - расчетный пролет доски настила.
При расчете клееной деревоплиты ширину ее в
поперечном направлении в середине пролета можно увеличивать на 1/3 пролета
плиты. Коэффициент увеличения расчетного сопротивления на изгиб не вводят.
Расчет поперечин. Поперечины рассчитывают как
балки с пролетом, равным расстоянию между осями прогонов. Давление колеса
распределяется на поперечину через две-три доски нижнего настила (рис. 4.5, в).
Если давление колеса полностью передается на одну поперечину, то изгибающий
момент:
где nн, nп, nвр - коэффициенты перегрузки от
веса настила, поперечины и временной нагрузки; b - ширина, на которой
распределяется давление на поперечину.
Если на каждой поперечине стыкуют вразбежку не
более 30% досок нижнего настила, можно учитывать распределение сосредоточенного
давления колеса досками нижнего настила на несколько поперечин. Порядок
определения нагрузки на каждую поперечину с учетом упругого распределения
изложен ниже в расчете прогонов.
Расчет прогонов. Нагрузка на прогоны зависит от
расположения автомобилей на проезжей части, поэтому при расчете автомобильную
нагрузку необходимо установить так, чтобы получить наибольшее значение
расчетных усилий в рассматриваемом прогоне. Сначала находят самое невыгодное
расположение автомобилей в поперечном направлении и определяют коэффициент
поперечной установки, который показывает, какая часть временной нагрузки
передается на прогон. Затем нагрузку устанавливают в самоое невыгодное
положение в продольном направлении и находят наибольшие расчетные условия.
Величина коэффициента поперечной установки
зависит от ширины моста, расстояния между осями прогонов, соотношения
жесткостей прогона и поперечин, а способы его определения - от взаимного
расположения прогонов и коренных свай.
При совпадении осей расположения прогонов с
осями коренных свай коэффициент поперечной установки определяют с учетом
разрезности поперечин над прогонами. Наибольшая нагрузка обычно приходится на
один из прогонов, расположенных в середине моста.
При расположении в поперечном сечении моста
четырех прогонов (рис. 4.2, а) наибольший коэффициент поперечной установки
получают для второго прогона при установке одного из колес непосредственно над
прогоном и колеса соседнего автомобиля на ближайшем (допустимом габаритом)
расстоянии. При этом расстояние от края колеса до бордюра должно быть не менее
0,25 м.
Рис. 4.2 - Схемы к расчету прогонов
Давление на прогон:

где Q = 2P - давление одной оси автомобиля; к -
коэффициент поперечной установки:
Для получения расчетного изгибающего момента
автомобили устанавливают в продольном направлении в невыгоднейшее положение или
пользуются эквивалентными нагрузками с введением коэффициента поперечной
установки.
Для определения коэффициента поперечной
установки при проверке прогона на гусеничную нагрузку одну из гусениц
устанавливают непосредственно над прогоном (рис. 4.2, б) так, чтобы
.
Влияние второй гусеницы не учитывают, если расстояние
между осями гусениц (2,6 м) больше расстояния между осями прогонов.
При ширине гусеницы b и давлении ее на 1 пог. м
р2 нагрузка на 1 пог. м рассчитываемого прогона:
Коэффициент поперечной установки:
Значение изгибающего момента зависит от
соотношения длины гусеницы и величины пролета прогона. Если длина гусеницы
больше длины пролета, то изгибающий момент от гусеничной нагрузки:
Если пролет прогона больше длины гусеницы, то:
где nвр - коэффициент перегрузки для гусеничной
нагрузки; l - пролет
прогона; bг - длина гусеницы.
При проверке жесткости прогона от гусеничной
нагрузки предельная величина прогиба составляет 1/500l (при асфальтобетонном
покрытии 1/200l).
В случаях, когда прогоны располагают на насадке
независимо от расстояния между осями свай (разбросные прогоны), давление от
сосредоточенного груза, расположенного над прогоном, передается от поперечины,
как от балки на упругих опорах на несколько прогонов. Точное определение
величины давления на один прогон в этом случае представляет собой сложную
задачу.
Распределение давления изменяется по длине
пролета. В середине пролета, где прогиб наибольший, давление передается на
несколько прогонов. Ближе к опорам, где прогибы малы, эффект распределения
существенно снижается. Сечение прогона подбирается по наибольшему изгибающему
моменту и сохраняется постоянным по длине, поэтому допускается определение величины
давления приближенным способом, основанным на величинах прогибов.
Если давление от сосредоточенного груза Р
передается на три прогона и составляет P1 на средний и Р2 на крайний прогон,
то, рассматривая поперечину как консольную балку с силой Р2 на конце, можно
определить разность в прогибе среднего и крайних прогонов (рис. 4.3, a):
где а - расстояние между осями прогонов; Iпоп -
момент инерции сечения поперечины (или нижнего настила при отсутствии
поперечин).
Рис.4.3 - Схема к определению давления на прогон
Прогибы прогонов:
откуда:
где
;
Iпр - момент инерции сечения прогона; l - пролет прогона.
Если к ≥ 1/3 , то сосредоточенное давление
Р распределяется на три прогона; при 0,055 ≤ к ≤ 1/3 давление
передается на пять прогонов.
Используя тот же способ, найдем, что при
расположении в пролете одного сосредоточенного груза и передаче давления на
пять прогонов, на средний прогон действует сила:
на каждый из двух прогонов, ближайших к
среднему, сила:
и на остальные прогоны сила:
Эти формулы можно использовать и при действии
двух сосредоточенных грузов, установив их в пролете так, чтобы равнодействующая
делила пополам расстояние между серединой пролета и ближайшим грузом (рис. 4.4,
б). Если в пролете располагают три и более груза, что практически встречается
очень редко, то следует пользоваться эквивалентными нагрузками и другими
формулами.
Расчет опор. Общий порядок расчета опор балочных
автодорожных мостов такой же, как и для мостов под железную дорогу. При
совпадении осей свай и прогонов в поперечном направлении (рис. 4.8) нагрузка на
одну сваю:
мост автодорожный опора
прогон
где qп - постоянная нагрузка на 1 пог. м
прогона; п - коэффициент перегрузки для постоянной нагрузки, что при наличии
покрытия (асфальтобетон или цементобетон) для деревянных частей принимают
nп=1,2, а постоянную нагрузку от покрытия определяют отдельно с коэффициентом
перегрузки 1,5; вр - коэффициент перегрузки для временной нагрузки;
к - коэффициент поперечной установки при
расположении автомобилей, соответствующем наибольшему давлению на
рассчитываемую сваю; - интенсивность эквивалентной нагрузки для длины загружения
2l при треугольной линии влияния с вершиной в середине пролета.
Рис. 4.4 - Схема к определению нагрузки на сваи
При сосредоточенных прогонах насадка работает
только на смятие; расчет производят аналогично приведенному выше для мостов под
железную дорогу.
Если прогоны сближенные, насадка работает на
изгиб и теоретически представляет собой неразрезную балку, в которой возникают
отрицательные моменты над опорами (сваями) и положительные моменты в пролете
между сваями. Вследствие обмятия плоскостей сопряжения опоры нельзя считать
абсолютно жесткими, поэтому практически достаточно проверить насадку на изгиб
как простую балку на двух опорах при пролете, равном расстоянию между осями
свай.
Проверку поперечной устойчивости опор производят
так же, как в мостах под железную дорогу.
Заключение
В современной отечественной практике деревянные
мосты строят сравнительно редко. Их применяют как временные сооружения, срок
службы которых не превосходит срока службы обычной древесины на автомобильных
дорогах низких категорий, где использование дерева значительно упрощает
строительство и снижает стоимость, и в незначительном количестве на железных
дорогах местного назначения в лесных районах.
Основной причиной ограниченного строительства
деревянных мостов является малая долговечность и необходимость частого ремонта.
Однако срок службы деревянного моста с антисептированными безврубочными
конструкциями заводского изготовления может быть доведен до 30 лет, а при
применении клееных и клеефанерных конструкций до 40 лет и более.
Список использованной литературы
1. http://vse-lekcii.ru/mosty-i-tonneli/proektirovanie-derevyan-i-zhbeton-mostov/raschet-derevyannyh-mostovhttp
2. СП
35.13330.2011 "Мосты и трубы", актуализированная редакция СНиП
2.05.03-84.