﬩Ex. В сканирующей зондовой микроскопии широкое распространение
получили трубчатые пьзоэлементы (рис.3). Они позволяют получать достаточно
большие перемещения объектов при относительно небольших управляющих
напряжениях. Трубчатые пьезоэлементы представляют собой полые тонкостенные
цилиндры, изготовленные из пьезокерамических материалов. Обычно электроды в
виде тонких слоев металла наносятся на внешнюю и внутреннюю поверхности трубки,
а торцы трубки остаются непокрытыми.
Рис.2. Пластина из пьезокерамики во внешнем электрическом
поле.
Рис.3. Трубчатый пьезоэлемент.
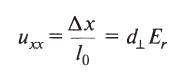
Под действием разности потенциалов между внутренним и внешним
электродами трубка изменяет свои продольные размеры. В этом случае продольная
деформация под действием радиального электрического поля может быть записана в
виде:
где L0 - длина трубки в недеформированном состоянии.
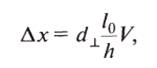
Абсолютное удлинение пьезотрубки равно
где h - толщина стенки пьезотрубки, V - разность потенциалов
между внутренним и внешним электродами. Таким образом, при одном и том же
напряжении V удлинение трубки будет тем больше, чем больше ее длина и чем
меньше толщина ее стенки. Соединение трех трубок в один узел (рис.4) позволяет
организовать прецизионные перемещения зонда микроскопа в трех взаимно
перпендикулярных направлениях. Такой сканирующий элемент называется триподом.
Недостатками такого сканера являются сложность изготовления и сильная
асимметрия конструкции. На сегодняшний день в сканирующей зондовой микроскопии
наиболее широко используются сканеры, изготовленные на основе одного трубчатого
элемента. Общий вид трубчатого сканера и схема расположения электродов
представлены на рис.5. Материал трубки имеет радиальное направление вектора
поляризации.
Рис. 4. Сканирующий элемент в виде трипода, собранный на
трубчатых пьезоэлементах.
Рис. 5. Трубчатый пьезосканер.
Внутренний электрод обычно сплошной. Внешний электрод сканера
разделен по образующим цилиндра на четыре секции. При подаче противофазных
напряжений на противоположные секции внешнего электрода (относительно
внутреннего) происходит сокращение участка трубки в том месте, где направление
поля совпадает с направлением поляризации, и удлинение там, где они направлены
в противоположные стороны. Это приводит к изгибу трубки в соответствующем
направлении. Таким образом, осуществляется сканирование в плоскости X, Y.
Изменение потенциала внутреннего электрода относительно всех внешних секций
приводит к удлинению или сокращению трубки по оси Z Таким образом, можно
реализовать трехкоординатный сканер на базе одной пьезотрубки. Реальные сканирующие
элементы имеют часто более сложную конструкцию, однако принципы их работы
остаются теми же самыми. Широкое распространение получили также сканеры на
основе биморфных пьзоэлементов. Биморф представляет собой две пластины
пьезоэлектрика, склеенные между собой таким образом, что вектора поляризации в
каждой из них направлены в противоположные стороны (рис.6).
Рис. 6. Устройство биморфного пьезоэлемента.
Если подать напряжение на электроды биморфа, как показано на
рис.6, то одна из пластин будет расширяться, а другая сжиматься, что приведет к
изгибу всего элемента. В реальных конструкциях биморфных элементов создается
разность потенциалов между внутренним общим и внешними электродами так, чтобы в
одном элементе поле совпадало с направлением вектора поляризации, а в другом
было направлено противоположно.
Изгиб биморфа под действием электрических полей положен в
основу работы биморфных пьезосканеров. Объединяя три биморфных элемента в одной
конструкции, можно реализовать трипод на биморфных элементах (рис.7).
Рис.7. Трехкоординатный сканер на трех биморфных элементах.
Рис.8. Схематическое изображение работы биморфного
пьезосканера.
Если внешние электроды биморфного элемента разделить на
четыре сектора, то можно организовать движение зонда по оси Z и в плоскости X,Y
на одном биморфном элементе (рис.8). Действительно, подавая противофазные
напряжения на противоположные пары секций внешних электродов, можно изгибать
биморф так, что зонд будет двигаться в плоскости X, Y (рис.8 (а, б)). А
изменяя потенциал внутреннего электрода относительно всех секций внешних
электродов, можно прогибать биморф, перемещая зонд в направлении Z (рис.8 (в,
г)).
1.3 Çàùèòà
çîíäîâûõ ìèêðîñêîïîâ
îò âíåøíèõ âîçäåéñòâèé
1.3.1 Çàùèòà
îò âèáðàöèé
Ëþáàÿ êîíñòðóêöèÿ
ñêàíèðóþùåãî
çîíäîâîãî ìèêðîñêîïà
ïðåäñòàâëÿåò
ñîáîé êîëåáàòåëüíóþ
ñèñòåìó, èìåþùóþ
öåëûé íàáîð ñîáñòâåííûõ
ðåçîíàíñíûõ
÷àñòîò ωê. Âíåøíèå
ìåõàíè÷åñêèå
âîçäåéñòâèÿ
íà ÷àñòîòàõ,
ñîâïàäàþùèõ
ñ ωê, âûçûâàþò
ÿâëåíèÿ ðåçîíàíñà
â êîíñòðóêöèè
èçìåðèòåëüíûõ
ãîëîâîê, ÷òî ïðèâîäèò
ê êîëåáàíèÿì
çîíäà îòíîñèòåëüíî
îáðàçöà è âîñïðèíèìàåòñÿ
êàê ïàðàçèòíûé
ïåðèîäè÷åñêèé
øóì, èñêàæàþùèé
è ðàçìûâàþùèé
ÑÇÌ èçîáðàæåíèÿ
ïîâåðõíîñòè
îáðàçöîâ. Ñ öåëüþ
óìåíüøåíèÿ âëèÿíèÿ
âíåøíèõ âèáðàöèé
èçìåðèòåëüíûå
ãîëîâêè èçãîòàâëèâàþò
èç ìàññèâíûõ
ìåòàëëè÷åñêèõ
äåòàëåé, èìåþùèõ
âûñîêèå (áîëåå
100 êÃö) ÷àñòîòû.
Íàèìåíüøèìè
ðåçîíàíñíûìè
÷àñòîòàìè îáëàäàþò
ñêàíèðóþùèå
ýëåìåíòû çîíäîâûõ
ìèêðîñêîïîâ. Â
êîíñòðóêöèÿõ
ñîâðåìåííûõ
ìèêðîñêîïîâ ïðèõîäèòñÿ
èäòè íà êîìïðîìèññ
ìåæäó âåëè÷èíîé
ìàêñèìàëüíîãî
ïîëÿ îáçîðà ñêàíèðóþùåãî
ýëåìåíòà è åãî
ðåçîíàíñíîé
÷àñòîòîé. Òèïè÷íûìè
äëÿ ñêàíåðîâ ÿâëÿþòñÿ
ðåçîíàíñíûå
÷àñòîòû â äèàïàçîíå
10 - 100 êÃö. Äëÿ çàùèòû
ïðèáîðîâ îò âíåøíèõ
âèáðàöèé ïðèìåíÿþòñÿ
ðàçëè÷íûå òèïû
âèáðîèçîëèðóþùèõ
ñèñòåì. Óñëîâíî
âèáðîèçîëèðóþùèå
ñèñòåìû ìîæíî
ðàçäåëèòü íà
ïàññèâíûå è àêòèâíûå.
Îñíîâíàÿ èäåÿ,
çàëîæåííàÿ â
ïàññèâíûå âèáðîèçîëèðóþùèå
ñèñòåìû, çàêëþ÷àåòñÿ
â ñëåäóþùåì.
Àìïëèòóäà
âûíóæäåííûõ
êîëåáàíèé ìåõàíè÷åñêîé
ñèñòåìû áûñòðî
ñïàäàåò ïðè óâåëè÷åíèè
ðàçíèöû ìåæäó
÷àñòîòîé âîçáóæäàþùåé
ñèëû è ñîáñòâåííîé
ðåçîíàíñíîé
÷àñòîòîé ñèñòåìû
(òèïè÷íàÿ àìïëèòóäíî-÷àñòîòíàÿ
õàðàêòåðèñòèêà
(À×Õ) êîëåáàòåëüíîé
ñèñòåìû ïðèâåäåíà
íà ðèñ.9). Ïîýòîìó
âíåøíèå âîçäåéñòâèÿ
ñ ÷àñòîòàìè
ωâ " ω0 ïðàêòè÷åñêè
íå îêàçûâàþò
çàìåòíîãî âëèÿíèÿ
íà êîëåáàòåëüíóþ
ñèñòåìó. Ñëåäîâàòåëüíî,
åñëè ïîìåñòèòü
èçìåðèòåëüíóþ
ãîëîâêó çîíäîâîãî
ìèêðîñêîïà íà
âèáðîèçîëèðóþùóþ
ïëàòôîðìó èëè
íà óïðóãèé ïîäâåñ
(10), òî íà êîðïóñ
ìèêðîñêîïà ïðîéäóò
ëèøü âíåøíèå
êîëåáàíèÿ ñ ÷àñòîòàìè,
áëèçêèìè ê ðåçîíàíñíîé
÷àñòîòå âèáðîèçîëèðóþùåé
ñèñòåìû.
Ðèñ. 9. Ñõåìàòè÷åñêîå
èçîáðàæåíèå
À×Õ êîëåáàòåëüíîé
ñèñòåìû.
Ðèñ.10. Ïàññèâíûå
âèáðîèçîëèðóþùèå
ñèñòåìû.
Ïîñêîëüêó
ñîáñòâåííûå
÷àñòîòû ãîëîâîê
ÑÇÌ ñîñòàâëÿþò
10 - 100 êÃö, òî, âûáèðàÿ
ðåçîíàíñíóþ
÷àñòîòó âèáðîèçîëèðóþùåé
ñèñòåìû äîñòàòî÷íî
íèçêîé (ïîðÿäêà
5 - 10 Ãö), ìîæíî âåñüìà
ýôôåêòèâíî çàùèòèòü
ïðèáîð îò âíåøíèõ
âèáðàöèé.
Ñ öåëüþ ãàøåíèÿ
êîëåáàíèé íà
ñîáñòâåííûõ
ðåçîíàíñíûõ
÷àñòîòàõ â âèáðîèçîëèðóþùèå
ñèñòåìû ââîäÿò
äèññèïàòèâíûå
ýëåìåíòû ñ âÿçêèì
òðåíèåì. Òàêèì
îáðàçîì, äëÿ îáåñïå÷åíèÿ
ýôôåêòèâíîé
çàùèòû íåîáõîäèìî,
÷òîáû ðåçîíàíñíàÿ
÷àñòîòà âèáðîèçîëèðóþùåé
ñèñòåìû áûëà
êàê ìîæíî ìåíüøå.
Îäíàêî íà ïðàêòèêå
ðåàëèçîâàòü î÷åíü
íèçêèå ÷àñòîòû
òðóäíî.
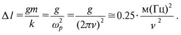
Äëÿ ïðóæèííûõ
ïëàòôîðì è óïðóãèõ
ïîäâåñîâ ðåçîíàíñíàÿ
÷àñòîòà ðàâíà
ãäå ê - æåñòêîñòü
ïðóæèíû (èëè óïðóãîãî
ïîäâåñà), m - ìàññà
âèáðîèçîëèðóþùåé
ïëàòôîðìû âìåñòå
ñ ÑÇÌ ãîëîâêîé.
Îöåíèì ïàðàìåòðû
âèáðîèçîëèðóþùåé
ñèñòåìû, îáåñïå÷èâàþùåé
ïîäàâëåíèå âûñîêî÷àñòîòíûõ
âèáðàöèé. Èç óñëîâèÿ
ðàâíîâåñèÿ ñëåäóåò,
÷òî
ãäå Δl - óäëèíåíèå
(èëè ñæàòèå) óïðóãîãî
ýëåìåíòà, g - óñêîðåíèå
ñâîáîäíîãî ïàäåíèÿ.
Òîãäà äëÿ âåëè÷èíû
óäëèíåíèÿ ïîëó÷àåì:
Òàêèì îáðàçîì,
äëÿ ïîëó÷åíèÿ
ðåçîíàíñíîé
÷àñòîòû âèáðîèçîëèðóþùåé
ñèñòåìû ïîðÿäêà
1 Ãö íåîáõîäèìî,
÷òîáû óäëèíåíèå
(èëè ñæàòèå) óïðóãîãî
ýëåìåíòà ñîñòàâëÿëî
25 ñì. Ïðîùå âñåãî
òàêèå óäëèíåíèÿ
ìîæíî ðåàëèçîâàòü
ñ ïîìîùüþ ïðóæèííûõ
èëè ðåçèíîâûõ
ïîäâåñîâ. Ó÷èòûâàÿ,
÷òî ðàñòÿæåíèå
ïðóæèí ìîæåò
äîñòèãàòü 100%, äëÿ
ðåàëèçàöèè ðåçîíàíñíîé
÷àñòîòû ïîäâåñà
â 1Ãö äëèíà óïðóãîãî
ýëåìåíòà äîëæíà
ñîñòàâëÿòü òàêæå
25 ñì, à, ñëåäîâàòåëüíî,
îáùèé ðàçìåð
âèáðîèçîëèðóþùåé
ñèñòåìû ñîñòàâèò
50 ñì. Åñëè æå íåìíîãî
ñíèçèòü òðåáîâàíèÿ
ê ðåçîíàíñíîé
÷àñòîòå, òî ìîæíî
äîáèòüñÿ ñóùåñòâåííîé
êîìïàêòèôèêàöèè
âèáðîèçîëèðóþùåé
ñèñòåìû. Òàê,
äëÿ ðåàëèçàöèè
÷àñòîòû 10 Ãö ñæàòèå
óïðóãîãî ýëåìåíòà
äîëæíî ñîñòàâëÿòü
âñåãî 2,5 ìì. Òàêîå
ñæàòèå äîñòàòî÷íî
ëåãêî îñóùåñòâëÿåòñÿ
íà ïðàêòèêå ñ
ïîìîùüþ ñòîïêè
ìåòàëëè÷åñêèõ
ïëàñòèí ñ ðåçèíîâûìè
ïðîêëàäêàìè, ÷òî
çíà÷èòåëüíî
ñíèæàåò ãàáàðèòû
âèáðîèçîëèðóþùåé
ñèñòåìû. Äëÿ çàùèòû
ãîëîâîê ÑÇÌ óñïåøíî
ïðèìåíÿþòñÿ òàêæå
àêòèâíûå ñèñòåìû
ïîäàâëåíèÿ âíåøíèõ
âèáðàöèé. Òàêèå
óñòðîéñòâà ïðåäñòàâëÿþò
ñîáîé ýëåêòðîìåõàíè÷åñêèå
ñèñòåìû ñ îòðèöàòåëüíîé
îáðàòíîé ñâÿçüþ,
êîòîðàÿ îáåñïå÷èâàåò
ñòàáèëüíîå ïîëîæåíèå
âèáðîèçîëèðóþùåé
ïëàòôîðìû â ïðîñòðàíñòâå
(ðèñ.11).
Ðèñ. 11. Ñõåìà
àêòèâíîé âèáðîèçîëèðóþùåé
ñèñòåìû.
Ïðèíöèï ðàáîòû
àêòèâíûõ ñèñòåì
ìîæíî ðàññìîòðåòü
íà ñëåäóþùåì
ïðîñòîì ïðèìåðå.
Íà ïëàòôîðìå
ðàñïîëàãàåòñÿ
äàò÷èê âèáðàöèé
(àêñåëåðîìåòð)
- óñòðîéñòâî, ðåàãèðóþùåå
íà óñêîðåíèå,
èñïûòûâàåìîå
ïëàòôîðìîé.
Ñèãíàë ñ äàò÷èêà
ïîñòóïàåò â ñèñòåìó
îáðàòíîé ñâÿçè
(ÑÎÑ), ãäå îí óñèëèâàåòñÿ
è â ïðîòèâîôàçå
ïîäàåòñÿ íà ïüåçîýëåêòðè÷åñêèå
îïîðû, êîòîðûå,
ñìåùàÿñü â ïðîòèâîïîëîæíóþ
ñòîðîíó, ãàñÿò
óñêîðåíèå, èñïûòûâàåìîå
ïëàòôîðìîé. Ýòî
òàê íàçûâàåìîå
ïðîïîðöèîíàëüíîå
ðåãóëèðîâàíèå.
Äåéñòâèòåëüíî,
ïóñòü ïîä äåéñòâèåì
âíåøíåé ñèëû
ïëàòôîðìà êîëåáëåòñÿ
íà ÷àñòîòå ñî,
òàê ÷òî åå ñìåùåíèå
u = uosin (ωt).
Òîãäà óñêîðåíèå,
èñïûòûâàåìîå
ïëàòôîðìîé, áóäåò
ðàâíî
u= - ω2 uosin (ωt).
Ñèñòåìà îáðàòíîé
ñâÿçè â ýòîì ñëó÷àå
ïîäàåò íà îïîðû
ïðîòèâîôàçíûé
ñèãíàë, â ðåçóëüòàòå
÷åãî ñìåùåíèå
ïëàòôîðìû áóäåò
ïðåäñòàâëÿòü
ñîáîé ñóïåðïîçèöèþ
äâóõ ñìåùåíèé:
è = uosin (ωt) - asin (ωt) = (u0
- a) sin (ωt).
Ïðè ýòîì ñèñòåìà
îáðàòíîé ñâÿçè
áóäåò óâåëè÷èâàòü
àìïëèòóäó ñèãíàëà
à äî òåõ ïîð, ïîêà
íå ñòàíåò ðàâíûì
íóëþ óñêîðåíèå
ïëàòôîðìû:
ϋ = - ω2 (u0 - a) sin (ωt).
Ïîëîñà ðàáî÷èõ
÷àñòîò àêòèâíûõ
ñèñòåì îïðåäåëÿåòñÿ
ïîëîñîé ÷àñòîò
óñòîé÷èâîé ðàáîòû
ýëåêòðîìåõàíè÷åñêîé
ñèñòåìû îáðàòíîé
ñâÿçè.  ñëó÷àå
íåãàðìîíè÷åñêèõ
âèáðàöèé ñèãíàë
ñ àêñåëåðîìåòðà
äâà ðàçà èíòåãðèðóåòñÿ
àïïàðàòíûìè
ñðåäñòâàìè è
â ïðîòèâîôàçå
ïîäàåòñÿ íà ïüåçîýëåêòðè÷åñêèå
îïîðû, òàê ÷òî
àìïëèòóäà êîëåáàíèé
ïëàòôîðìû ñòðåìèòñÿ
ê íóëþ:
u = u (t) - αʃʃ ϋ (t) dt => 0.
Íà ïðàêòèêå
ïðèìåíÿþòñÿ ìíîãîñòóïåí÷àòûå
êîíñòðóêöèè
âèáðîèçîëèðóþùèõ
ñèñòåì ðàçëè÷íîãî
òèïà, ïîçâîëÿþùèå
ñóùåñòâåííî
ïîâûñèòü ñòåïåíü
çàùèòû ïðèáîðîâ
îò âíåøíèõ âèáðàöèé.
1.3.2 Çàùèòà
îò àêóñòè÷åñêèõ
øóìîâ
Åùå îäíèì èñòî÷íèêîì
âèáðàöèé ýëåìåíòîâ
êîíñòðóêöèè
çîíäîâûõ ìèêðîñêîïîâ
ÿâëÿþòñÿ àêóñòè÷åñêèå
øóìû ðàçëè÷íîé
ïðèðîäû. Îñîáåííîñòüþ
àêóñòè÷åñêèõ
ïîìåõ ÿâëÿåòñÿ
òî, ÷òî àêóñòè÷åñêèå
âîëíû íåïîñðåäñòâåííî
âîçäåéñòâóþò
íà ýëåìåíòû êîíñòðóêöèè
ãîëîâîê ÑÇÌ, ÷òî
ïðèâîäèò ê êîëåáàíèÿì
çîíäà îòíîñèòåëüíî
ïîâåðõíîñòè
èññëåäóåìîãî
îáðàçöà.
Äëÿ çàùèòû
ÑÇÌ îò àêóñòè÷åñêèõ
ïîìåõ ïðèìåíÿþòñÿ
ðàçëè÷íûå çàùèòíûå
êîëïàêè, ïîçâîëÿþùèå
ñóùåñòâåííî
ñíèçèòü óðîâåíü
àêóñòè÷åñêîé
ïîìåõè â îáëàñòè
ðàáî÷åãî ïðîìåæóòêà
ìèêðîñêîïà. Íàèáîëåå
ýôôåêòèâíîé
çàùèòîé îò àêóñòè÷åñêèõ
ïîìåõ ÿâëÿåòñÿ
ðàçìåùåíèå èçìåðèòåëüíîé
ãîëîâêè çîíäîâîãî
ìèêðîñêîïà â
âàêóóìíîé êàìåðå.
1.3.3 Ñòàáèëèçàöèÿ
òåðìîäðåéôà ïîëîæåíèÿ
çîíäà íàä ïîâåðõíîñòüþ
Îäíîé èç âàæíûõ
ïðîáëåì ÑÇÌ ÿâëÿåòñÿ
çàäà÷à ñòàáèëèçàöèè
ïîëîæåíèÿ çîíäà
íàä ïîâåðõíîñòüþ
èññëåäóåìîãî
îáðàçöà. Ãëàâíûì
èñòî÷íèêîì íåñòàáèëüíîñòè
ïîëîæåíèÿ çîíäà
ÿâëÿåòñÿ èçìåíåíèå
òåìïåðàòóðû îêðóæàþùåé
ñðåäû èëè ðàçîãðåâ
ýëåìåíòîâ êîíñòðóêöèè
çîíäîâîãî ìèêðîñêîïà
âî âðåìÿ åãî ðàáîòû.
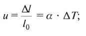
Èçìåíåíèå òåìïåðàòóðû
òâåðäîãî òåëà
ïðèâîäèò ê âîçíèêíîâåíèþ
òåðìîóïðóãèõ
äåôîðìàöèé:
ãäå uik - òåíçîð
äåôîðìàöèé, αik - òåíçîð êîýôôèöèåíòîâ
òåïëîâîãî ðàñøèðåíèÿ
ìàòåðèàëà, ΔT - ïðèðàùåíèå
òåìïåðàòóðû. Äëÿ
èçîòðîïíûõ ìàòåðèàëîâ
êîýôôèöèåíò
òåïëîâîãî ðàñøèðåíèÿ
- âåëè÷èíà ñêàëÿðíàÿ,
òàê ÷òî
ãäå δik - åäèíè÷íûé
òåíçîð Êðîíåêåðà,
α - àáñîëþòíàÿ
âåëè÷èíà êîýôôèöèåíòà
òåïëîâîãî ðàñøèðåíèÿ.
Àáñîëþòíîå óäëèíåíèå
ýëåìåíòîâ êîíñòðóêöèè
ìèêðîñêîïà ìîæåò
áûòü îöåíåíî
èñõîäÿ èç ñëåäóþùèõ
ñîîòíîøåíèé:
Ðèñ. 12. Çàùèòà
ÑÇÌ îò àêóñòè÷åñêèõ
øóìîâ.
Ðèñ. 13. Êîìïåíñàöèÿ
òåïëîâûõ ðàñøèðåíèé
êîíñòðóêöèè
ÑÇÌ.
Òèïè÷íûå çíà÷åíèÿ
êîýôôèöèåíòîâ
ðàñøèðåíèÿ ìàòåðèàëîâ
ñîñòàâëÿþò 10-5-10-6
ãðàä-1. Òàêèì
îáðàçîì, ïðè íàãðåâå
òåëà äëèíîé 10 ñì
íà 10Ñ åãî äëèíà
óâåëè÷èâàåòñÿ
íà âåëè÷èíó ïîðÿäêà
1 ìêì. Òàêèå äåôîðìàöèè
âåñüìà ñóùåñòâåííî
âëèÿþò íà ðàáîòó
çîíäîâûõ ìèêðîñêîïîâ.
Äëÿ óìåíüøåíèÿ
òåðìîäðåéôà ïðèìåíÿþò
òåðìîñòàòèðîâàíèå
èçìåðèòåëüíûõ
ãîëîâîê ÑÇÌ èëè
ââîäÿò â êîíñòðóêöèþ
ãîëîâîê òåðìîêîìïåíñèðóþùèå
ýëåìåíòû. Èäåÿ
òåðìîêîìïåíñàöèè
çàêëþ÷àåòñÿ
â ñëåäóþùåì.
Ëþáóþ êîíñòðóêöèþ
ÑÇÌ ìîæíî ïðåäñòàâèòü
â âèäå íàáîðà
ýëåìåíòîâ ñ ðàçëè÷íûìè
êîýôôèöèåíòàìè
òåïëîâîãî ðàñøèðåíèÿ
(ðèñ.13 (à)). Äëÿ êîìïåíñàöèè
òåðìîäðåéôà â
êîíñòðóêöèþ
èçìåðèòåëüíûõ
ãîëîâîê ÑÇÌ ââîäÿò
êîìïåíñèðóþùèå
ýëåìåíòû, èìåþùèå
ðàçëè÷íûå êîýôôèöèåíòû
ðàñøèðåíèÿ, òàê,
÷òîáû âûïîëíÿëîñü
óñëîâèå ðàâåíñòâà
íóëþ ñóììû òåìïåðàòóðíûõ
ðàñøèðåíèé â
ðàçëè÷íûõ ïëå÷àõ
êîíñòðóêöèè:
Íàèáîëåå ïðîñòûì
ñïîñîáîì óìåíüøåíèÿ
òåðìîäðåéôà ïîëîæåíèÿ
çîíäà ïî îñè Z ÿâëÿåòñÿ
ââåäåíèå â êîíñòðóêöèþ
ÑÇÌ êîìïåíñèðóþùèõ
ýëåìåíòîâ èç
òîãî æå ìàòåðèàëà
è ñ òåìè æå õàðàêòåðíûìè
ðàçìåðàìè, ÷òî
è îñíîâíûå ýëåìåíòû
êîíñòðóêöèè
(ðèñ.13 (á)).
Ïðè èçìåíåíèè
òåìïåðàòóðû òàêîé
êîíñòðóêöèè
ñìåùåíèå çîíäà
â íàïðàâëåíèè
Z áóäåò
ìèíèìàëüíûì.
Äëÿ ñòàáèëèçàöèè
ïîëîæåíèÿ çîíäà
â ïëîñêîñòè X, Y èçìåðèòåëüíûå
ãîëîâêè ìèêðîñêîïîâ
èçãîòàâëèâàþòñÿ
â âèäå àêñèàëüíî-ñèììåòðè÷íûõ
êîíñòðóêöèé.
1.4 Ôîðìèðîâàíèå
è îáðàáîòêà ÑÇÌ
èçîáðàæåíèé
Ïðîöåññ ñêàíèðîâàíèÿ
ïîâåðõíîñòè
â ñêàíèðóþùåì
çîíäîâîì ìèêðîñêîïå
èìååò ñõîäñòâî
ñ äâèæåíèåì ýëåêòðîííîãî
ëó÷à ïî ýêðàíó
â ýëåêòðîííîëó÷åâîé
òðóáêå òåëåâèçîðà.
Çîíä äâèæåòñÿ
âäîëü ëèíèè (ñòðîêè)
ñíà÷àëà â ïðÿìîì,
à ïîòîì â îáðàòíîì
íàïðàâëåíèè
(ñòðî÷íàÿ ðàçâåðòêà),
çàòåì ïåðåõîäèò
íà ñëåäóþùóþ
ñòðîêó (êàäðîâàÿ
ðàçâåðòêà). Äâèæåíèå
çîíäà îñóùåñòâëÿåòñÿ
ñ ïîìîùüþ ñêàíåðà
íåáîëüøèìè øàãàìè
ïîä äåéñòâèåì
ïèëîîáðàçíûõ
íàïðÿæåíèé, ôîðìèðóåìûõ
öèôðî-àíàëîãîâûìè
ïðåîáðàçîâàòåëÿìè.
Ðåãèñòðàöèÿ èíôîðìàöèè
î ðåëüåôå ïîâåðõíîñòè
ïðîèçâîäèòñÿ,
êàê ïðàâèëî, íà
ïðÿìîì ïðîõîäå.
Ðèñ. 14. Ñõåìàòè÷åñêîå
èçîáðàæåíèå
ïðîöåññà ñêàíèðîâàíèÿ.
Íàïðàâëåíèå
ïðÿìîãî õîäà ñêàíåðà
îáîçíà÷åíî ñòðåëêàìè
êðàñíîãî öâåòà.
Îáðàòíûé õîä
ñêàíåðà îáîçíà÷åí
ñòðåëêàìè ñèíåãî
öâåòà.
Ðåãèñòðàöèÿ
èíôîðìàöèè ïðîèçâîäèòñÿ
â òî÷êàõ íà ïðÿìîì
ïðîõîäå. Èíôîðìàöèÿ,
ïîëó÷åííàÿ ñ
ïîìîùüþ ñêàíèðóþùåãî
çîíäîâîãî ìèêðîñêîïà,
õðàíèòñÿ â âèäå
ÑÇÌ êàäðà - äâóìåðíîãî
ìàññèâà öåëûõ
÷èñåë àij (ìàòðèöû).
Ôèçè÷åñêèé ñìûñë
äàííûõ ÷èñåë
îïðåäåëÿåòñÿ
òîé âåëè÷èíîé,
êîòîðàÿ îöèôðîâûâàëàñü
â ïðîöåññå ñêàíèðîâàíèÿ.
Êàæäîìó çíà÷åíèþ
ïàðû èíäåêñîâ
ij ñîîòâåòñòâóåò
îïðåäåëåííàÿ
òî÷êà ïîâåðõíîñòè
â ïðåäåëàõ ïîëÿ
ñêàíèðîâàíèÿ.
Íàèáîëåå øèðîêî
èñïîëüçóþòñÿ
ãðàäèåíòíûå
ïàëèòðû, â êîòîðûõ
ðàñêðàñêà èçîáðàæåíèÿ
ïðîèçâîäèòñÿ
òîíîì îïðåäåëåííîãî
öâåòà â ñîîòâåòñòâèè
ñ âûñîòîé òî÷êè
ïîâåðõíîñòè.
Ëîêàëüíûå ÑÇÌ
èçìåðåíèÿ, êàê
ïðàâèëî, ñîïðÿæåíû
ñ ðåãèñòðàöèåé
çàâèñèìîñòåé
èññëåäóåìûõ
âåëè÷èí îò ðàçëè÷íûõ
ïàðàìåòðîâ. Íàïðèìåð,
ýòî çàâèñèìîñòè
âåëè÷èíû ýëåêòðè÷åñêîãî
òîêà ÷åðåç êîíòàêò
çîíä-ïîâåðõíîñòü
îò ïðèëîæåííîãî
íàïðÿæåíèÿ, çàâèñèìîñòè
ðàçëè÷íûõ ïàðàìåòðîâ
ñèëîâîãî âçàèìîäåéñòâèÿ
çîíäà è ïîâåðõíîñòè
îò ðàññòîÿíèÿ
çîíä-îáðàçåö
è äð. Äàííàÿ èíôîðìàöèÿ
õðàíèòñÿ â âèäå
âåêòîðíûõ ìàññèâîâ
èëè â âèäå ìàòðèö
ðàçìåðíîñòüþ
2 x N.
Äëÿ èõ âèçóàëèçàöèè
â ïðîãðàììíîì
îáåñïå÷åíèè
ìèêðîñêîïîâ ïðåäóñìàòðèâàåòñÿ
íàáîð ñòàíäàðòíûõ
ñðåäñòâ èçîáðàæåíèÿ
ãðàôèêîâ ôóíêöèé.
ÑÇÌ èçîáðàæåíèÿ,
íàðÿäó ñ ïîëåçíîé
èíôîðìàöèåé,
ñîäåðæàò òàêæå
ìíîãî ïîáî÷íîé
èíôîðìàöèè, èñêàæàþùåé
äàííûå î ìîðôîëîãèè
è ñâîéñòâàõ ïîâåðõíîñòè.
Íà ðèñóíêå 15 ñõåìàòè÷åñêè
ïðåäñòàâëåíû
âîçìîæíûå èñêàæåíèÿ
â ÑÇÌ èçîáðàæåíèÿõ
ïîâåðõíîñòè,
îáóñëîâëåííûå
íå èäåàëüíîñòüþ
àïïàðàòóðû è âíåøíèìè
ïàðàçèòíûìè
âîçäåéñòâèÿìè.
Ðèñ. 15. Âîçìîæíûå
èñêàæåíèÿ â ÑÇÌ
èçîáðàæåíèÿõ.
Ôèëüòðàöèÿ
ÑÇÌ èçîáðàæåíèé
Øóìû àïïàðàòóðû
(â îñíîâíîì, ýòî
øóìû âûñîêî÷óâñòâèòåëüíûõ
âõîäíûõ óñèëèòåëåé),
íåñòàáèëüíîñòè
êîíòàêòà çîíä-îáðàçåö
ïðè ñêàíèðîâàíèè,
âíåøíèå àêóñòè÷åñêèå
øóìû è âèáðàöèè
ïðèâîäÿò ê òîìó,
÷òî ÑÇÌ èçîáðàæåíèÿ,
íàðÿäó ñ ïîëåçíîé
èíôîðìàöèåé,
èìåþò øóìîâóþ
ñîñòàâëÿþùóþ.
×àñòè÷íî øóìû
ÑÇÌ èçîáðàæåíèé
ìîãóò áûòü óäàëåíû
ïðîãðàììíûìè
ñðåäñòâàìè.
Ìåäèàííàÿ
ôèëüòðàöèÿ
Õîðîøèå ðåçóëüòàòû
ïðè óäàëåíèè
âûñîêî÷àñòîòíûõ
ñëó÷àéíûõ ïîìåõ
â ÑÇÌ êàäðàõ äàåò
ìåäèàííàÿ ôèëüòðàöèÿ.
Ýòî íåëèíåéíûé
ìåòîä îáðàáîòêè
èçîáðàæåíèé,
ñóòü êîòîðîãî
ìîæíî ïîÿñíèòü
ñëåäóþùèì îáðàçîì.
Âûáèðàåòñÿ ðàáî÷åå
îêíî ôèëüòðà,
ñîñòîÿùåå èç
(n x n) òî÷åê
(äëÿ îïðåäåëåííîñòè
âîçüìåì îêíî
3x3, ò.å. ñîäåðæàùåå
9 òî÷åê.  ïðîöåññå
ôèëüòðàöèè ýòî
îêíî ïåðåìåùàåòñÿ
ïî êàäðó îò òî÷êè
ê òî÷êå, è ïðîèçâîäèòñÿ
ñëåäóþùàÿ ïðîöåäóðà.
Çíà÷åíèÿ àìïëèòóäû
ÑÇÌ èçîáðàæåíèÿ
â òî÷êàõ äàííîãî
îêíà âûñòðàèâàþòñÿ
ïî âîçðàñòàíèþ,
è çíà÷åíèå, ñòîÿùåå
â öåíòðå îòñîðòèðîâàííîãî
ðÿäà, çàíîñèòñÿ
â öåíòðàëüíóþ
òî÷êó îêíà. Çàòåì
îêíî ñäâèãàåòñÿ
â ñëåäóþùóþ òî÷êó,
è ïðîöåäóðà ñîðòèðîâêè
ïîâòîðÿåòñÿ. Òàêèì
îáðàçîì, ìîùíûå
ñëó÷àéíûå âûáðîñû
è ïðîâàëû ïðè òàêîé
ñîðòèðîâêå âñåãäà
îêàçûâàþòñÿ
íà êðàþ ñîðòèðóåìîãî
ìàññèâà è íå
âîéäóò â èòîãîâîå
(îòôèëüòðîâàííîå)
èçîáðàæåíèå.
Çàìåòèì, ÷òî
ïðè òàêîé îáðàáîòêå
ïî êðàÿì êàäðà
îñòàþòñÿ íåôèëüòðîâàííûå
îáëàñòè, êîòîðûå
îòáðàñûâàþòñÿ
â êîíå÷íîì èçîáðàæåíèè.
1.5 Àòîìíî-ñèëîâàÿ
ìèêðîñêîïèÿ
Àòîìíî-ñèëîâîé
ìèêðîñêîï (ÀÑÌ)
áûë èçîáðåò¸í
â 1986 ãîäó Ãåðäîì
Áèííèãîì, Êýëâèíîì
Êóýéòîì è Êðèñòîôåðîì
Ãåðáåðîì. Â îñíîâå
ðàáîòû ÀÑÌ ëåæèò
ñèëîâîå âçàèìîäåéñòâèå
ìåæäó çîíäîì
è ïîâåðõíîñòüþ,
äëÿ ðåãèñòðàöèè
êîòîðîãî èñïîëüçóþòñÿ
ñïåöèàëüíûå çîíäîâûå
äàò÷èêè, ïðåäñòàâëÿþùèå
ñîáîé óïðóãóþ
êîíñîëü ñ îñòðûì
çîíäîì íà êîíöå
(ðèñ.16). Ñèëà, äåéñòâóþùàÿ
íà çîíä ñî ñòîðîíû
ïîâåðõíîñòè,
ïðèâîäèò ê èçãèáó
êîíñîëè. Ðåãèñòðèðóÿ
âåëè÷èíó èçãèáà,
ìîæíî êîíòðîëèðîâàòü
ñèëó âçàèìîäåéñòâèÿ
çîíäà ñ ïîâåðõíîñòüþ.
Êà÷åñòâåííî
ðàáîòó ÀÑÌ ìîæíî
ïîÿñíèòü íà ïðèìåðå
ñèë Âàí-äåð-Âààëüñà.
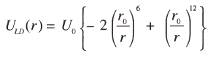
Íàèáîëåå ÷àñòî
ýíåðãèþ âàí-äåð-âààëüñîâà
âçàèìîäåéñòâèÿ
äâóõ àòîìîâ, íàõîäÿùèõñÿ
íà ðàññòîÿíèè
r äðóã
îò äðóãà, àïïðîêñèìèðóþò
ñòåïåííîé ôóíêöèåé
- ïîòåíöèàëîì
Ëåííàðäà-Äæîíñà:
Ðèñ. 16. Ñõåìàòè÷åñêîå
èçîáðàæåíèå
çîíäîâîãî äàò÷èêà
ÀÑÌ.
Ðèñ. 17. Êà÷åñòâåííûé
âèä ïîòåíöèàëà
Ëåííàðäà - Äæîíñà.
Ðèñ. 18. Ê ðàñ÷åòó
ýíåðãèè âçàèìîäåéñòâèÿ
çîíäà è îáðàçöà.
Ïåðâîå ñëàãàåìîå
â äàííîì âûðàæåíèè
îïèñûâàåò äàëüíîäåéñòâóþùåå
ïðèòÿæåíèå, îáóñëîâëåííîå,
â îñíîâíîì, äèïîëü
- äèïîëüíûì âçàèìîäåéñòâèåì
àòîìîâ. Âòîðîå
ñëàãàåìîå ó÷èòûâàåò
îòòàëêèâàíèå
àòîìîâ íà ìàëûõ
ðàññòîÿíèÿõ.
Ïàðàìåòð r0 - ðàâíîâåñíîå
ðàññòîÿíèå ìåæäó
àòîìàìè, Uo - çíà÷åíèå
ýíåðãèè â ìèíèìóìå.
Ïîòåíöèàë Ëåííàðäà-Äæîíñà
ïîçâîëÿåò îöåíèòü
ñèëó âçàèìîäåéñòâèÿ
çîíäà ñ îáðàçöîì.
Îáùóþ ýíåðãèþ
ñèñòåìû ìîæíî
ïîëó÷èòü, ñóììèðóÿ
ýëåìåíòàðíûå
âçàèìîäåéñòâèÿ
äëÿ êàæäîãî èç
àòîìîâ çîíäà
è îáðàçöà.
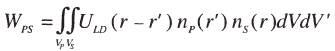
Òîãäà äëÿ ýíåðãèè
âçàèìîäåéñòâèÿ
ïîëó÷àåì:

Ðèñ. 19. Ñõåìà
îïòè÷åñêîé ðåãèñòðàöèè
èçãèáà êîíñîëè
çîíäîâîãî äàò÷èêà
ÀÑÌ.
ãäå ns (r) è nP (r’) - ïëîòíîñòè
àòîìîâ â ìàòåðèàëå
îáðàçöà è çîíäà.
Ñîîòâåòñòâåííî
ñèëà, äåéñòâóþùàÿ
íà çîíä ñî ñòîðîíû
ïîâåðõíîñòè,
ìîæåò áûòü âû÷èñëåíà
ñëåäóþùèì îáðàçîì:
 îáùåì ñëó÷àå
äàííàÿ ñèëà èìååò
êàê íîðìàëüíóþ
ê ïîâåðõíîñòè,
òàê è ëàòåðàëüíóþ
(ëåæàùóþ â ïëîñêîñòè
ïîâåðõíîñòè
îáðàçöà) ñîñòàâëÿþùèå.
Ðåàëüíîå âçàèìîäåéñòâèå
çîíäà ñ îáðàçöîì
èìååò áîëåå ñëîæíûé
õàðàêòåð, îäíàêî
îñíîâíûå ÷åðòû
äàííîãî âçàèìîäåéñòâèÿ
ñîõðàíÿþòñÿ
- çîíä ÀÑÌ èñïûòûâàåò
ïðèòÿæåíèå ñî
ñòîðîíû îáðàçöà
íà áîëüøèõ ðàññòîÿíèÿõ
è îòòàëêèâàíèå
íà ìàëûõ. Ïîëó÷åíèå
ÀÑÌ èçîáðàæåíèé
ðåëüåôà ïîâåðõíîñòè
ñâÿçàíî ñ ðåãèñòðàöèåé
ìàëûõ èçãèáîâ
óïðóãîé êîíñîëè
çîíäîâîãî äàò÷èêà.
 àòîìíî-ñèëîâîé
ìèêðîñêîïèè
äëÿ ýòîé öåëè øèðîêî
èñïîëüçóþòñÿ
îïòè÷åñêèå ìåòîäû
(ðèñ. 19). Îïòè÷åñêàÿ
ñèñòåìà ÀÑÌ
þñòèðóåòñÿ òàêèì
îáðàçîì, ÷òîáû
èçëó÷åíèå ïîëóïðîâîäíèêîâîãî
ëàçåðà ôîêóñèðîâàëîñü
íà êîíñîëè çîíäîâîãî
äàò÷èêà, à îòðàæåííûé
ïó÷îê ïîïàäàë
â öåíòð ôîòî÷óâñòâèòåëüíîé
îáëàñòè ôîòîïðèåìíèêà.
 êà÷åñòâå ïîçèöèîííî
- ÷óâñòâèòåëüíûõ
ôîòîïðèåìíèêîâ
ïðèìåíÿþòñÿ ÷åòûðåõñåêöèîííûå
ïîëóïðîâîäíèêîâûå
ôîòîäèîäû.
Ðèñ. 20. Ñîîòâåòñòâèå
ìåæäó òèïîì èçãèáíûõ
äåôîðìàöèé êîíñîëè
çîíäîâîãî äàò÷èêà
è èçìåíåíèåì
ïîëîæåíèÿ ïÿòíà
çàñâåòêè íà ôîòîäèîäå.
Îñíîâíûå ðåãèñòðèðóåìûå
îïòè÷åñêîé ñèñòåìîé
ïàðàìåòðû - ýòî
äåôîðìàöèè èçãèáà
êîíñîëè ïîä äåéñòâèåì
Z-êîìïîíåíò ñèë
ïðèòÿæåíèÿ èëè
îòòàëêèâàíèÿ
(Fz) è äåôîðìàöèè
êðó÷åíèÿ êîíñîëè
ïîä äåéñòâèåì
ëàòåðàëüíûõ êîìïîíåíò
ñèë (FL) âçàèìîäåéñòâèÿ
çîíäà ñ ïîâåðõíîñòüþ.
Åñëè îáîçíà÷èòü
èñõîäíûå çíà÷åíèÿ
ôîòîòîêà â ñåêöèÿõ
ôîòîäèîäà ÷åðåç
I01, I 02, I Î3, I 04, à ÷åðåç
I1, I 2, I 3, I 4 - çíà÷åíèÿ
òîêîâ ïîñëå èçìåíåíèÿ
ïîëîæåíèÿ êîíñîëè,
òî ðàçíîñòíûå
òîêè ñ ðàçëè÷íûõ
ñåêöèé ôîòîäèîäà
ΔIi = Ii - I0i áóäóò
îäíîçíà÷íî õàðàêòåðèçîâàòü
âåëè÷èíó è íàïðàâëåíèå
èçãèáà êîíñîëè
çîíäîâîãî äàò÷èêà
ÀÑÌ. Äåéñòâèòåëüíî,
ðàçíîñòü òîêîâ
âèäà
ïðîïîðöèîíàëüíà
èçãèáó êîíñîëè
ïîä äåéñòâèåì
ñèëû, äåéñòâóþùåé
ïî íîðìàëè ê ïîâåðõíîñòè
îáðàçöà (ðèñ.20 (à)),
à êîìáèíàöèÿ
ðàçíîñòíûõ òîêîâ
âèäà
õàðàêòåðèçóåò
èçãèá êîíñîëè
ïîä äåéñòâèåì
ëàòåðàëüíûõ ñèë
(ðèñ.20 (á)).
Âåëè÷èíà
A/z èñïîëüçóåòñÿ
â êà÷åñòâå âõîäíîãî
ïàðàìåòðà â ïåòëå
îáðàòíîé ñâÿçè
àòîìíî-ñèëîâîãî
ìèêðîñêîïà (ðèñ.21).
Ñèñòåìà îáðàòíîé
ñâÿçè (ÎÑ) îáåñïå÷èâàåò
A/z = const ñ ïîìîùüþ ïüåçîýëåêòðè÷åñêîãî
èñïîëíèòåëüíîãî
ýëåìåíòà, êîòîðûé
ïîääåðæèâàåò
èçãèá êîíñîëè
AZ ðàâíûì âåëè÷èíå
AZ0, çàäàâàåìîé
îïåðàòîðîì.
Ðèñ. 21. Óïðîùåííàÿ
ñõåìà îðãàíèçàöèè
îáðàòíîé ñâÿçè
â àòîìíî-ñèëîâîì
ìèêðîñêîïå.
Ïðè ñêàíèðîâàíèè
îáðàçöà â ðåæèìå
ΔZ = const çîíä ïåðåìåùàåòñÿ
âäîëü ïîâåðõíîñòè,
ïðè ýòîì íàïðÿæåíèå
íà Z-ýëåêòðîäå
ñêàíåðà çàïèñûâàåòñÿ
â ïàìÿòü êîìïüþòåðà
â êà÷åñòâå ðåëüåôà
ïîâåðõíîñòè
Z=f (x,y). Ïðîñòðàíñòâåííîå
ðàçðåøåíèå ÀÑÌ
îïðåäåëÿåòñÿ
ðàäèóñîì çàêðóãëåíèÿ
çîíäà è ÷óâñòâèòåëüíîñòüþ
ñèñòåìû, ðåãèñòðèðóþùåé
îòêëîíåíèÿ êîíñîëè.
 íàñòîÿùåå âðåìÿ
ðåàëèçîâàíû
êîíñòðóêöèè
ÀÑÌ, ïîçâîëÿþùèå
ïîëó÷àòü àòîìàðíîå
ðàçðåøåíèå ïðè
èññëåäîâàíèè
ïîâåðõíîñòè
îáðàçöîâ.
2. Ïðàêòè÷åñêàÿ
÷àñòü
2.1Ñðàâíåíèå
ÀÑÌ ñ ðàñòðîâûì
ýëåêòðîííûì
ìèêðîñêîïîì
<http://ru.wikipedia.org/wiki/%D0%A0%D0%B0%D1%81%D1%82%D1%80%D0%BE%D0%B2%D1%8B%D0%B9_%D1%8D%D0%BB%D0%B5%D0%BA%D1%82%D1%80%D0%BE%D0%BD%D0%BD%D1%8B%D0%B9_%D0%BC%D0%B8%D0%BA%D1%80%D0%BE%D1%81%D0%BA%D0%BE%D0%BF>
(ÐÑÌ)
 ñðàâíåíèè
ñ ðàñòðîâûì ýëåêòðîííûì
ìèêðîñêîïîì
<http://ru.wikipedia.org/wiki/%D0%A0%D0%B0%D1%81%D1%82%D1%80%D0%BE%D0%B2%D1%8B%D0%B9_%D1%8D%D0%BB%D0%B5%D0%BA%D1%82%D1%80%D0%BE%D0%BD%D0%BD%D1%8B%D0%B9_%D0%BC%D0%B8%D0%BA%D1%80%D0%BE%D1%81%D0%BA%D0%BE%D0%BF>
(ÐÝÌ) àòîìíî-ñèëîâîé
ìèêðîñêîï îáëàäàåò
ðÿäîì ïðåèìóùåñòâ.
Òàê, â îòëè÷èå
îò ÐÝÌ, êîòîðûé
äà¸ò ïñåâäîòð¸õìåðíîå
èçîáðàæåíèå
ïîâåðõíîñòè
îáðàçöà, ÀÑÌ ïîçâîëÿåò
ïîëó÷èòü èñòèííî
òð¸õìåðíûé ðåëüåô
ïîâåðõíîñòè.
Êðîìå òîãî, íåïðîâîäÿùàÿ
ïîâåðõíîñòü, ðàññìàòðèâàåìàÿ
ñ ïîìîùüþ ÀÑÌ,
íå òðåáóåò íàíåñåíèÿ
ïðîâîäÿùåãî ìåòàëëè÷åñêîãî
ïîêðûòèÿ, êîòîðîå
÷àñòî ïðèâîäèò
ê çàìåòíîé äåôîðìàöèè
ïîâåðõíîñòè.
Äëÿ íîðìàëüíîé
ðàáîòû ÐÝÌ òðåáóåòñÿ
âàêóóì, â òî âðåìÿ
êàê áîëüøèíñòâî
ðåæèìîâ ÀÑÌ ìîãóò
áûòü ðåàëèçîâàíû
íà âîçäóõå èëè
äàæå â æèäêîñòè.
Äàííîå îáñòîÿòåëüñòâî
îòêðûâàåò âîçìîæíîñòü
èçó÷åíèÿ áèîìàêðîìîëåêóë
è æèâûõ êëåòîê.
 ïðèíöèïå, ÀÑÌ
ñïîñîáåí äàòü
áîëåå âûñîêîå
ðàçðåøåíèå, ÷åì
ÐÝÌ. Òàê áûëî ïîêàçàíî,
÷òî ÀÑÌ â ñîñòîÿíèè
îáåñïå÷èòü ðåàëüíîå
àòîìíîå ðàçðåøåíèå
â óñëîâèÿõ ñâåðõâûñîêîãî
âàêóóìà. Ñâåðõâûñîêîâàêóóìíûé
ÀÑÌ ïî ðàçðåøåíèþ
ñðàâíèì ñî ñêàíèðóþùèì
òóííåëüíûì ìèêðîñêîïîì
<http://ru.wikipedia.org/wiki/%D0%A1%D0%BA%D0%B0%D0%BD%D0%B8%D1%80%D1%83%D1%8E%D1%89%D0%B8%D0%B9_%D1%82%D1%83%D0%BD%D0%BD%D0%B5%D0%BB%D1%8C%D0%BD%D1%8B%D0%B9_%D0%BC%D0%B8%D0%BA%D1%80%D0%BE%D1%81%D0%BA%D0%BE%D0%BF>
è ïðîñâå÷èâàþùèì
ýëåêòðîííûì
ìèêðîñêîïîì.
Ê íåäîñòàòêó
ÀÑÌ ïðè åãî ñðàâíåíèè
ñ ÐÝÌ òàêæå ñëåäóåò
îòíåñòè íåáîëüøîé
ðàçìåð ïîëÿ ñêàíèðîâàíèÿ.
ÐÝÌ â ñîñòîÿíèè
ïðîñêàíèðîâàòü
îáëàñòü ïîâåðõíîñòè
ðàçìåðîì â íåñêîëüêî
ìèëëèìåòðîâ â
ëàòåðàëüíîé ïëîñêîñòè
ñ ïåðåïàäîì âûñîò
â íåñêîëüêî ìèëëèìåòðîâ
â âåðòèêàëüíîé
ïëîñêîñòè. Ó ÀÑÌ
ìàêñèìàëüíûé
ïåðåïàä âûñîò
ñîñòàâëÿåò íåñêîëüêî
ìèêðîí, à ìàêñèìàëüíîå
ïîëå ñêàíèðîâàíèÿ
â ëó÷øåì ñëó÷àå
ïîðÿäêà 150×150 ìèêðîí². Äðóãàÿ
ïðîáëåìà çàêëþ÷àåòñÿ
â òîì, ÷òî ïðè âûñîêîì
ðàçðåøåíèè êà÷åñòâî
èçîáðàæåíèÿ
îïðåäåëÿåòñÿ
ðàäèóñîì êðèâèçíû
êîí÷èêà çîíäà,
÷òî ïðè íåïðàâèëüíîì
âûáîðå çîíäà
ïðèâîäèò ê ïîÿâëåíèþ
àðòåôàêòîâ íà
ïîëó÷àåìîì èçîáðàæåíèè.
Îáû÷íûé ÀÑÌ
íå â ñîñòîÿíèè
ñêàíèðîâàòü
ïîâåðõíîñòü òàêæå
áûñòðî, êàê ýòî
äåëàåò ÐÝÌ. Äëÿ
ïîëó÷åíèÿ ÀÑÌ-èçîáðàæåíèÿ
òðåáóåòñÿ îò
íåñêîëüêèõ ìèíóò
äî íåñêîëüêèõ
÷àñîâ, â òî âðåìÿ
êàê ÐÝÌ ïîñëå
îòêà÷êè ñïîñîáåí
ðàáîòàòü ïðàêòè÷åñêè
â ðåàëüíîì ìàñøòàáå
âðåìåíè õîòÿ
è ñ îòíîñèòåëüíî
íåâûñîêèì êà÷åñòâîì.
Èç-çà íèçêîé
ñêîðîñòè ðàçâ¸ðòêè
ÀÑÌ ïîëó÷àåìûå
èçîáðàæåíèÿ
îêàçûâàþòñÿ
èñêàæ¸ííûìè
òåïëîâûì äðåéôîì,
÷òî óìåíüøàåò
òî÷íîñòü èçìåðåíèÿ
ýëåìåíòîâ ñêàíèðóåìîãî
ðåëüåôà. Äëÿ óâåëè÷åíèÿ
áûñòðîäåéñòâèÿ
ÀÑÌ áûëî ïðåäëîæåíî
íåñêîëüêî êîíñòðóêöèé,
ñðåäè êîòîðûõ
ìîæíî âûäåëèòü
çîíäîâûé ìèêðîñêîï,
íàçâàííûé âèäåîÀÑÌ.
ÂèäåîÀÑÌ îáåñïå÷èâàåò
ïîëó÷åíèå óäîâëåòâîðèòåëüíîãî
êà÷åñòâà èçîáðàæåíèé
ïîâåðõíîñòè
ñ ÷àñòîòîé òåëåâèçèîííîé
ðàçâ¸ðòêè, ÷òî
äàæå áûñòðåå,
÷åì íà îáû÷íîì
ÐÝÌ. Îäíàêî, ïðèìåíåíèå
Âèäåî ÀÑÌ îãðàíè÷åíî,
òàê êàê îí ðàáîòàåò
òîëüêî â êîíòàêòíîì
ðåæèìå è íà îáðàçöàõ
ñ îòíîñèòåëüíî
íåáîëüøèì ïåðåïàäîì
âûñîò. Äëÿ êîððåêöèè
âíîñèìûõ òåðìîäðåéôîì
èñêàæåíèé áûëî
ïðåäëîæåíî íåñêîëüêî
ñïîñîáîâ. Íåëèíåéíîñòü,
ãèñòåðåçèñ
<http://ru.wikipedia.org/wiki/%D0%93%D0%B8%D1%81%D1%82%D0%B5%D1%80%D0%B5%D0%B7%D0%B8%D1%81>
è ïîëçó÷åñòü
<http://ru.wikipedia.org/wiki/%D0%9F%D0%BE%D0%BB%D0%B7%D1%83%D1%87%D0%B5%D1%81%D1%82%D1%8C>
(êðèï) ïüåçîêåðàìèêè
ñêàíåðà òàêæå
ÿâëÿþòñÿ ïðè÷èíàìè
ñèëüíûõ èñêàæåíèÿ
ÀÑÌ - èçîáðàæåíèé.
Êðîìå òîãî, ÷àñòü
èñêàæåíèé âîçíèêàåò
èç-çà âçàèìíûõ
ïàðàçèòíûõ ñâÿçåé,
äåéñòâóþùèõ
ìåæäó X, Y, Z-ìàíèïóëÿòîðàìè
ñêàíåðà. Äëÿ èñïðàâëåíèÿ
èñêàæåíèé â ðåàëüíîì
ìàñøòàáå âðåìåíè
ñîâðåìåííûå
ÀÑÌ èñïîëüçóþò
ïðîãðàììíîå îáåñïå÷åíèå
(íàïðèìåð, îñîáåííîñòü
- îðèåíòèðîâàííîå
ñêàíèðîâàíèå
<http://ru.wikipedia.org/wiki/%D0%9E%D1%81%D0%BE%D0%B1%D0%B5%D0%BD%D0%BD%D0%BE%D1%81%D1%82%D1%8C-%D0%BE%D1%80%D0%B8%D0%B5%D0%BD%D1%82%D0%B8%D1%80%D0%BE%D0%B2%D0%B0%D0%BD%D0%BD%D0%BE%D0%B5_%D1%81%D0%BA%D0%B0%D0%BD%D0%B8%D1%80%D0%BE%D0%B2%D0%B0%D0%BD%D0%B8%D0%B5>)
ëèáî ñêàíåðû,
ñíàáæ¸ííûå çàìêíóòûìè
ñëåäÿùèìè ñèñòåìàìè,
â ñîñòàâ êîòîðûõ
âõîäÿò ëèíåéíûå
äàò÷èêè ïîëîæåíèÿ.
Íåêîòîðûå ÀÑÌ
âìåñòî ñêàíåðà
â âèäå ïüåçîòðóáêè
èñïîëüçóþò XY è
Z-ýëåìåíòû, ìåõàíè÷åñêè
íåñâÿçàííûå
äðóã ñ äðóãîì,
÷òî ïîçâîëÿåò
èñêëþ÷èòü ÷àñòü
ïàðàçèòíûõ ñâÿçåé.
Îäíàêî â îïðåäåë¸ííûõ
ñëó÷àÿõ, íàïðèìåð,
ïðè ñîâìåùåíèè
ñ ýëåêòðîííûì
ìèêðîñêîïîì èëè
óëüòðàìèêðîòîìàìè
<http://ru.wikipedia.org/wiki/%D0%9C%D0%B8%D0%BA%D1%80%D0%BE%D1%82%D0%BE%D0%BC>
êîíñòðóêòèâíî
îïðàâäàíî èñïîëüçîâàíèå
èìåííî ñêàíåðîâ
íà ïüåçîòðóáêàõ.
ÀÑÌ ìîæíî èñïîëüçîâàòü
äëÿ îïðåäåëåíèÿ
òèïà àòîìà â êðèñòàëëè÷åñêîé
ðåø¸òêå.
Çàêëþ÷åíèå
Òàêèì îáðàçîì,
â äàííîé êóðñîâîé
ðàáîòå êðàòêî
èçëîæåíû îñíîâû
ñêàíèðóþùåé
çîíäîâîé ìèêðîñêîïèè
- îäíîãî èç ñàìûõ
ñîâðåìåííûõ
ìåòîäîâ èññëåäîâàíèÿ
ñâîéñòâ ïîâåðõíîñòè.
 äàííûé ìîìåíò
ñêàíèðóþùàÿ
çîíäîâàÿ ìèêðîñêîïèÿ
- ýòî áóðíî ðàçâèâàþùèéñÿ
ìåòîä èññëåäîâàíèÿ
ïîâåðõíîñòè
ñ âûñîêèì ïðîñòðàíñòâåííûì
ðàçðåøåíèåì
è ìîùíûé èíñòðóìåíò
äëÿ ðåøåíèÿ çàäà÷
íàíîòåõíîëîãèè
- òåõíîëîãèè ñîçäàíèÿ
ïðèáîðíûõ ñòðóêòóð
ñ ñóáìèêðîííûìè
ðàçìåðàìè.
Ñïèñîê
èñïîëüçóåìîé
ëèòåðàòóðû
1. Â.À.
Áûêîâ, Ì.È. Ëàçàðåâ,
Ñ.À. Ñàóíèí - Ñêàíèðóþùàÿ
çîíäîâàÿ ìèêðîñêîïèÿ
äëÿ íàóêè è ïðîìûøëåííîñòè.
// "Ýëåêòðîíèêà:
íàóêà, òåõíîëîãèÿ,
áèçíåñ", ¹ 5, ñ.7-14A997).
2. "Ñêàíèðóþùàÿ
çîíäîâàÿ ìèêðîñêîïèÿ
áèîïîëèìåðîâ"
(Ïîä ðåäàêöèåé
È.Â. ßìèíñêîãî),
Ì.:
Íàó÷íûé ìèð,
1997, 86 ñ.
. À.Ï.
Âîëîäèí - Íîâîå
â ñêàíèðóþùåé
ìèêðîñêîïèè.
// Ïðèáîðû è òåõíèêà
ýêñïåðèìåíòà,
¹ 6, ñ.3 - 42 A998).
4. Â.Ê.
Íåâîëèí. "Îñíîâû
òóííåëüíî-çîíäîâîé
íàíîòåõíîëîãèè:
Ó÷åáíîå ïîñîáèå".
- URL: <http://www.nanotube.ru/ru/about/publications> Äàòà
îáðàùåíèÿ: 06.04.2013.
. Â.Ë.
Ìèðîíîâ. "Îñíîâû
ñêàíèðóþùåé
çîíäîâîé ìèêðîñêîïèè:
Ó÷åáíîå ïîñîáèå
äëÿ ñòóäåíòîâ
ñòàðøèõ êóðñîâ
âûñøûõ ó÷åáíûõ
çàâåäåíèé". -
URL: http://idpe. ntmdt.ru/data/media/images/shared_resources/textbooks/osnovy_skaniruyushcej_zondovoj_mikroskopii.
pdf
<http://idpe.ntmdt.ru/data/media/images/shared_resources/textbooks/osnovy_skaniruyushcej_zondovoj_mikroskopii.pdf>
Äàòà îáðàùåíèÿ:
04.04.2013.
. Â.Ë.
Ìèðîíîâ. "Îñíîâû
ñêàíèðóþùåé
çîíäîâîé ìèêðîñêîïèè:
Ó÷åáíîå ïîñîáèå
äëÿ ñòóäåíòîâ
ñòàðøèõ êóðñîâ
âûñøûõ ó÷åáíûõ
çàâåäåíèé". -
URL: http://idpe.
ntmdt.ru/data/media/images/shared_resources/textbooks/osnovy_skaniruyushcej_zondovoj_mikroskopii.
pdf <http://idpe.ntmdt.ru/data/media/images/shared_resources/textbooks/osnovy_skaniruyushcej_zondovoj_mikroskopii.pdf>
Äàòà îáðàùåíèÿ:
04.04.2013.
. Âèêèïåäèÿ
"Îñíîâû ñêàíèðóþùåé
çîíäîâîé ìèêðîñêîïèè".
- URL: http://ru.
wikipedia.org/wiki/%D0%A1%D0%BA%D0%B0%D0%BD%D0%B8%D1%80%D1%83%D1%8E%D1%89%D0%B8%D0%B9_%D0%B7%D0%BE%D0%BD%D0%B4%D0%BE%D0%B2%D1%8B%D0%B9_%D0%BC%D0%B8%D0%BA%D1%80%D0%BE%D1%81%D0%BA%D0%BE%D0%BF#.
D0.9B. D0. B8. D1.82. D0. B5. D1.80. D0. B0. D1.82. D1.83. D1.80. D0. B0
<http://ru.wikipedia.org/wiki/%D0%A1%D0%BA%D0%B0%D0%BD%D0%B8%D1%80%D1%83%D1%8E%D1%89%D0%B8%D0%B9_%D0%B7%D0%BE%D0%BD%D0%B4%D0%BE%D0%B2%D1%8B%D0%B9_%D0%BC%D0%B8%D0%BA%D1%80%D0%BE%D1%81%D0%BA%D0%BE%D0%BF>
Äàòà îáðàùåíèÿ:
06.04.2013.
Ðàçìåùåíî
íà Allbest.ru