|
Тем-ра,°С
|
-20
и ниже
|
-15
и ниже
|
-10
и ниже
|
-5
и ниже
|
0
и ниже
|
+5
и ниже
|
+8
и ниже
|
|
Часы
стояния
|
129
|
432
|
954
|
1690
|
2871
|
3919
|
4368
|
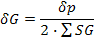
Тогда годовой расход тепла на отопление
составит:
Годовой расход тепла на вентиляцию
рассчитывается так:
где 
- продолжительность работы
вентиляции в течение отопительного периода, с;

- средний за отопительный сезон
расход тепла на вентиляцию, кВт:
Продолжительность работы вентиляции
принимают для общественных зданий 
. Тогда годовой расход тепла на
вентиляцию составит:
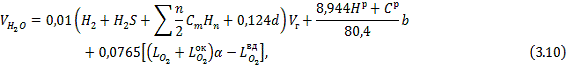
Годовой расход тепла на горячее водоснабжение
определим по формуле:
где 
- длительность работы горячего
водоснабжения в течение года, с.
Принимают 
. Тогда годовой расход тепла на
горячее водоснабжение составит:
Годовой расход тепла на отопление,
вентиляцию и горячее водоснабжение составит:
1.3
График продолжительности тепловой нагрузки
График продолжительности тепловой нагрузки
характеризует зависимость теплопотребления от наружной температуры воздуха, а
также иллюстрирует уровень потребления суммарного тепла на протяжении всего
отопительного периода.
Для построения графика тепловой нагрузки
необходимы следующие данные:
® длительность отопительного сезона 
® расчетный часовой расход тепла на отопление 
® минимальный часовой расход тепла на отопление 
® расчетный часовой расход тепла на вентиляцию 
® минимальный часовой расход тепла на отопление 
2.
Выбор схемы теплоснабжения и вида
теплоносителя
Магистральные теплопроводы изображены на рисунке
2.1. Как видно, это лучевая тепловая сеть, в которой отдельные магистральные
ветки соединены между собой (А-Б и А-Г, А-Г и Г-В и т.д.) во избежание
перерывов в снабжении теплом.
Рисунок 2.1 - Схема теплоснабжения города
Волгограда
Источником тепла является котел-утилизатор,
который использует вторичные ресурсы мартеновской печи. Теплоносителем является
вода.
При централизованном теплоснабжении применяют
три основные схемы: независимую, зависимую со смешением воды и зависимую
прямоточную. В нашем случае установим зависимую схему со смешением воды для
присоединения системы отопления к наружным теплопроводам. Здесь обратная вода
из системы отопления смешивается с высокотемпературной водой из наружного
подающего теплопровода при помощи элеватора.
3.
Расчет источника тепла
Источником тепла является мартеновская печь,
вторичные ресурсы которой используются котлом-утилизатором для осуществления
отопления. Вторичными энергоресурсами сталеплавильного производства,
используемыми для централизованного теплоснабжения, являются тепло уходящих
газов и тепло элементов сталеплавильной печи.
Мартеновская печь, работающая скрап-рудным
процессом, отапливается смесью природного газа и мазута с подачей кислорода в
ванну. Состав топлив приведен в таблице 3.1.
Таблица 3.1 - Состав топлива, сжигаемого в
мартеновской печи
|
|
|

|
|
|
Газ,
%
|
95,7
|
2,85
|
0,1
|
1,35
|
|
|
|
|
|
|
|
|
|
Мазут
, %
|
85,5
|
12,4
|
0,5
|
0,5
|
0,1
|
1,0
|
3.1 Тепло
уходящих газов
Уходящие газы мартеновской печи после
регенераторов имеют температуру 605°С и используются для выработки пара в
котлах-утилизаторах. Количество тепла уходящих газов определяют на 1 т стали.
Поэтому для определения энтальпии уходящих газов необходимо определить объемы
отдельных их составляющих в расчете на 1 т стали. Теоретический расход
кислорода для сжигания 1 м3 газообразного топлива рассчитаем по
формуле:
Имеем:
Теоретический расход кислорода для сжигания 1 кг
жидкого топлива:
Общий теоретический расход кислорода для
сжигания топлива на 1 т стали рассчитывается по формуле:
где 
- расход газообразного топлива, 
;

- расход жидкого топлива, кг/т.
Также кислород расходуют на
окисление примесей металла и на дожигание окиси углерода, выделяющейся из
ванны. Количество оного с учетом кислорода железной руды составит:
где 
- расход руды на 1 т стали, кг;

- количество выгоревшего углерода
на 1 т стали, кг:
где 
- расход чугуна и скрапа на 1 т
стали, кг;

- содержание углерода
соответственно в чугуне, скрапе и стали, % (

).
Таким образом, количество
выгоревшего углерода составит:
Объем кислорода в уходящих газах на
выходе из регенератора вычисляем как:
где 
- коэффициент расхода воздуха до
котла-утилизатора.
Определим объемы других газов в
продуктах сгорания. Объем трехатомных газов в продуктах горения смеси
газообразного и жидкого топлива вычисляются по формуле:
Трехатомные газы также выделяются из
шихты:
где 
- количество 
и 
, выделяющееся из ванны на 100 кг
шихты, кг;

- плотности 
и 
(
);

- расход шихты на 1 т стали, кг.
Для скрап-рудного процесса 
[2]
Суммарный объем трехатомных газов
определяется как:
Объем водяных паров в продуктах
сгорания смеси топлива составят:
где 
- удельный расход чистого
кислорода, вдуваемого в ванну, 
.
Выделение водяных паров из шихты:
где 
- количество 
выделившихся из ванны на 100 кг
шихты, кг;

- плотность водяных паров 
.
Для скрап-рудного процесса 
.
Объем водяных паров в уходящих газах
вычисляется аналогично объему двухатомных газов согласно формуле (3.9):
Объем азота в уходящих газах:
Таким образом, энтальпия газов на
выходе из регенератора в расчете на 1 т стали составит:
где 
- температура газов до
котла-утилизатора, °С;

- объемные теплоемкости
соответствующих газов, кДж/(м3 К).
3.2 Выбор
котла-утилизатора
Годовой выход тепла с уходящими газами составит:
где 
- производство стали за год, т.
Тогда возможная утилизация уходящих
газов определится формулой:
где 
- энтальпия уходящих газов на
выходе из котла-утилизатора, ГДж/т. При определении энтальпии уходящих газов на
выходе из котла-утилизатора следует учитывать, что в котле утилизаторе имеются
подсосы воздуха, то есть коэффициент расхода воздуха после котла составляет
1,7, а значит объемы кислорода и азота увеличатся:
Для выбора котла-утилизатора
необходимо определить часовой расход уходящих газов:
где 
- время работы мартеновской печи в
год, ч.
Среднечасовой расход уходящих газов
на входе в котел-утилизатор составит:
На выходе из котла-утилизатора:
По приложению [2] выбираем КУ-100-1
с пропускной способностью 100000 м3/ч.
3.3
Определение экономии топлива и экономической эффективности котла-утилизатора
Энтальпия газов на выходе из котла-утилизатора
равна:
А значит, возможная утилизация уходящих газов за
год составит:
При тепловом направлении утилизации вторичных
энергоресурсов возможная выработка тепла определяется по формуле:
где 
- коэффициент, учитывающий
несоответствие режима и времени работы утилизационной установки и
технологического агрегата;

- коэффициент, учитывающий потери
тепла утилизационной установкой в окружающую среду.
При 
и 
возможная выработка тепла составит:
Возможную экономию топлива рассчитаем по
формуле:
где 
- коэффициент использования
выработки; 
- удельный расход топлива на
выработку тепла по замещенной установке, т у.т./ГДж:
где 
- коэффициент полезного действия
замещаемой энергетической установки, с показателями которой сопоставляется
эффективность использования вторичных энергоресурсов.
При 
и 
имеем следующую экономию топлива:
Расчетная экономия от использования
вторичных энергоресурсов определяется из выражения:
где 
- коэффициент, учитывающий
дополнительно сокращение текущих расходов, кроме экономии топлива, вызванное
уменьшением мощности основных энергетических установок в результате замещения
их утилизационными установками;

- заводская стоимость
сэкономленного топлива по действующим прейскурантным ценам и тарифам, грн/т
у.т.;

- удельные расходы на эксплуатацию
утилизационных установок, грн/ГДж;
Е - нормативный коэффициент
эффективности капиталовложений (0,12-0,14);

- капиталовложения в замещаемые
энергетические и утилизационные установки, грн.
Затраты приведены в таблице 3.2
Таблица 3.2 - Затраты
|
Параметр
|
Обозначение
|
Значение
|
|
Капитальные
затраты на КУ-100-1
|
|
160
млн. грн.
|
|
Удельные
расходы на эксплуатацию утилизационной установки
|
|
45
грн/ГДж
|
|
Стоимость
условного топлива
|
|
33
000 грн/т у.т.
|
Капиталовложения в замещаемую установку для
выработки такого же количества пара составляют:
Тогда расчетная экономия от использования
вторичных энергоресурсов будет равна:
4.
Гидравлический расчет тепловой
сети
В задачу гидравлического расчета входит
определение диаметра трубопровода, падения давления между отдельными точками,
определения давления в различных точках, увязка всех точек системы с целью
обеспечения допустимых давлений и требуемых напоров в сети и у абонементов при
статических и динамических режимах.
4.1 Определение
расхода теплоносителя
Расход теплоносителя в сети можно вычислить по
формуле:
где 
- тепловая мощность системы
отопления, кВт;

- расчетная температура подающей и
обратной воды в системе отопления, °С;

- теплоемкость воды, кДж/(кг·°С).
Для участка 0 тепловая мощность
будет равна сумме расходов тепла на отопление и вентиляцию, то есть 
. Расчетные температуры прямой и
обратной воды примем 95°С и 70°С. Таким образом, расход воды для участка 0
составит:
Для остальных участков вычисление
расходов теплоносителя сведено в таблицу 4.1 теплоснабжение
теплопотребление нагрузка теплоноситель
4.2 Расчет
диаметра трубопровода
Оценим предварительный диаметр трубопровода,
используя формулу массового расхода:
где 
- скорость теплоносителя, м/с.
Скорость движения воды примем 1,5
м/с [3],плотность воды при средней температуре в сети 80-85°С составит 
. Тогда диаметр трубопровода
составит:
Из ряда стандартных диаметров принимаем диаметр
680×9
мм.
Для него проводим следующие расчеты. Исходной зависимостью для определения
удельного линейного падения давления в трубопроводе является уравнение Д’Арси:
где 
- коэффициент гидравлического
трения;

- скорость среды, м/с;

- плотность среды, кг/м3;

- внутренний диаметр трубопровода,
м;

- массовый расход, кг/с.
Коэффициент гидравлического трения в
общем случае зависит от эквивалентной шероховатости и критерия Рейнольдса. Для
транспорта тепла применяют шероховатые стальные трубы, в которых наблюдается
турбулентное течение. Полученная опытным путем зависимость коэффициента
гидравлического трения стальных труб от критерия Рейнольдса и относительной
шероховатости хорошо описывается универсальным уравнением, предложенным А.Д.
Альтшулем:
где 
- эквивалентная шероховатость, м;

- внутренний диаметр трубопровода,
м;

- критерий Рейнольдса.
Эквивалентная шероховатость для
водяных сетей, работающих в условиях нормальной эксплуатации, составляет 
. Критерий Рейнольдса вычисляем по
формуле:
где 
- кинематическая вязкость, м2/с.
Для температуры 80°С кинематическая
вязкость воды составляет 
. Таким образом, имеем:
Предполагаем, что трубопровод
работает в квадратичной области. Найдем новое значение диаметра по формуле:
Таким образом, предварительно
принятый диаметр верен.
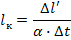
4.3 Расчет
падения давления в трубопроводе
Падение давления в трубопроводе может быть
представлено как сумма двух слагаемых: линейного падения и падения в местных
сопротивлениях
где 
- линейное падение давления на
трение, Па;

- падение давления в зависимости от
наклона трубопровода, Па.
Падение давления на трение вычисляют по формуле:
где λ =1,96 -
коэффициент трения для новых труб с абсолютной шероховатостью 0,5 мм;
l - длина
участка трубопровода, м;
ν
- скорость
на участке, принимаем постоянной для всех участков 1,5 м/с;- диаметр
трубопровода, d = 0,5 м.
Падение
давления в зависимости от наклона трубопровода вычисляем по формуле:
Где
m - масса воды проходящая через участок, кг/с;- разница высот между участками,
м.
Для
расчета расходов теплоносителя будем использовать второй закон Кирхгофа,
согласно которому сумма потерь напора для замкнутого контура равна 0.
Задаемся
произвольными значениями расходов воды по участкам:
Определим
сопротивления на соответствующих участках по формуле:
Определим
величину невязки потерь напора :
Т.к.

то нужен перерасчет. Для этого нам
нужен поправочный расход:
Находим
следующие расходы воды:
Найдем
величину невязки потерь напора второго приближения:
Для
более точного определения сделаем пересчет:
Находим
следующие расходы воды:
Для
более точного определения сделаем ещё один пересчет:
Находим
следующие расходы воды:
Таблица 4.1 - Расходы теплоносителя по участкам
магистральной теплосети
|
Участок
|
ИТ-А
|
А-Б
|
Б-Д
|
А-Г
|
Г-Ж
|
Б-В
|
В-Е
|
Г-В
|
|
Тепловая
мощность, МВт
|
51,521
|
26,907
|
11,541
|
24,848
|
12,348
|
20,737
|
27,622
|
18,271
|
|
Расход
воды
|
491,85
|
256,8716
|
110,18
|
237,2184
|
117,89
|
197,9716
|
263,7
|
174,4284
|
4.4
Построение пьезометрического графика
Задаемся значениями давления (напора) в конце
участков:
Жилой район Е: H=30 м (жилой 9-ти этажный дом);
Ж/Д депо, склады Д: Н=10 м;
Промышленный район Ж: Н=20 м.
Найдем давление в точке Б:
l=8000 м;
кПа;
кг/с
h=9-9=0 м
кПа
Выбираем знак «+», участок Д куда
осуществляется транспортировка теплоносителя выше участка Б.
Давление в точке Б составит:
кПа.
Найдем давление в точке В:
кПа;
Найдем давление в точке Г:
кПа;
Найдем давление в точке А:
Найдем давление в точке О:
кПа
На основание полученных данных
строим пьезометрический график приложение А
5.
Механический расчет
Механический расчет включает в себя:
расчет количества опор;
расчет компенсаторов теплопровода;
расчет выбора элеватора.
5.1
Расчет количества опор
При расчете количества опор трубопроводов
рассматривают как многопролетную балку с равномерно распределенной нагрузкой.

- вертикальная сила;

- горизонтальная сила.

бывает только у надземных
трубопроводов и обусловлена скоростью ветра:
Аэродинамический коэффициент в
среднем составляет к=1,5. Для Волгограда скоростной напор составляет 0,26кПа.
Иногда для надземных трубопроводов необходимо учитывать давление снежного покрова
0,58-1кПа.
Максимальный изгибающий момент:

- напряжение изгиба; кПа
W -
экваториальный момент сопротивления трубы.
Тогда: 
- расстояние между опорами, м

- коэффициент запаса прочности, 

- коэффициент прочности сварного
шва трубы, 
Количества опор определяется
формулой:
Трубопровод, лежащий на двух опорах
изгибается.
х - стрелка прогиба:
Е - модуль продольной упругости.
I -
экваториальный момент инерции трубы,
5.2
Расчет компенсаторов теплопровода
При отсутствии компенсации при сильном перегреве
стенке трубы возникает напряжение.
где Е - модуль продольной упругости;

- коэффициент линейного расширения,


- температура воздуха
При отсутствии компенсации в
трубопроводе могут возникнуть напряжения, значительно превышающие допустимые и
которые могут привести к деформации или разрушению труб. Поэтому на него
устанавливают температурные компенсаторы различной конструкции. Каждый
компенсатор характеризуется своей функциональной способностью 
- длина участка, удлинение которой
скомпенсирует компенсатор:
где
=250-600мм;

- температура воздуха
Тогда количество компенсаторов на
рассчитываемом участке трассы:

5.3
Расчет выбора элеватора
При проектировании элеваторных вводов, как
правило, приходится встречаться со следующими задачами:
определение основных размеров элеватора;
перепад давлений в сопле по заданному
коэффициенту.
При решении первой задачи заданными величинами
являются: тепловая нагрузка отопительной системы; расчетная наружного воздуха
для проектирования отопления температуры сетевой воды в падающем трубопроводе и
воды после системы отопления; потеря давления в системе отопления в
рассматриваемом режиме.
Расчет элеватора выполняют:
Расходы сетевой 
и смешанной 
воды, кг\с:
где с - теплоемкость воды, Дж/(кг
; с=4190 Дж/(кг
.
Расход инжектируемой воды 
, кг/с:
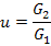
Коэффициент смешения элеватора:
Проводимость системы отопления:

диаметр камеры смешения:
Из-за возможной не точности размеров
элеватора необходимую разность давлений перед ним следует предусматривать с
некоторым запасом 10-15%.
Диаметр выходного сечения сопла 
, м
6.
Тепловой расчет тепловых сетей
Тепловой расчет тепловых сетей является одним из
важнейших разделов проектирования и эксплуатации тепловых сетей.
Задачи теплового расчета:
определение потерь тепла через трубопровод и
изоляцию в окружающую среду;
расчет падения температуры теплоносителя при
движении его по теплопроводу;
определение экономичности тепловой изоляции.
6.1
Надземная прокладка
При надземной прокладке теплопроводов тепловые
потери рассчитывают по формулам для многослойной цилиндрической стенки:
где t
- средняя температура теплоносителя; °С

- температура окружающей среды; °С

- суммарное термическое
сопротивление теплопровода; м
В изолированном трубопроводе тепло
должно пройти через четыре последовательно соединенных сопротивления:
внутреннюю поверхность, стенку трубы, слой изоляции и наружную поверхность
изоляции.

цилиндрической поверхности
определяется по формуле:


- внутренний диаметр трубопровода,
м;

- наружный диаметр изоляции, м;

и 
- коэффициенты теплоотдачи, Вт/
.

:
6.2
Подземная прокладка
В подземных теплопроводах одним из включений
тепловых сопротивлений является сопротивление грунта. При расчетах за
температуру окружающей среды принимают естественную температуру грунта на
глубине залегания оси теплопровода.
Только при малых глубинах залегания оси
теплопровода, когда отношение глубины залегания h
к диаметру трубы меньше d,
за температуру окружающей среды принимают естественную температуру поверхности
грунта.
Тепловое сопротивление грунта определяют по
формуле Форгеймера:
где 
=1,2…2,5Вт\
Общие удельные тепловые потери, Вт/м


первого теплопровода:
Второго теплопровода:
6.3
Бесканальная прокладка трубопровода
При бесканальной прокладке теплопроводов
тепловое сопротивление состоит из последовательно соединенных сопротивлений
слоя изоляции, наружной поверхности изоляции, внутренней поверхности канала,
стенок канала и грунта.
6.4
Тепловой расчет отопительного прибора
Тепловой расчет подогревателя заключается в
определении поверхности теплообмена агрегата заданной производительности, или в
определении производительности при заданных конструктивных расчетах и начальных
параметрах теплоносителя. Важен также и гидравлический расчет подогревателя,
который заключается в определении потерь напора первичного и вторичного
теплоносителя.
При заданном расходе и параметрах теплоносителя
производительность теплообменника можно определить как:


- температуры греющей воды на входе
и выходе;

и 
- температуры нагреваемой среды.
Перечень ссылок
1. Методические указания к домашним
расчетным работам по курсу «Теплофикация и тепловые сети» / Пархоменко Д.М.,
Бобровский В.К. - Донецк: ДПИ, 1984
. Методические указания к
курсовому проектированию «Использование ВЭР промпредприятий в системах
централизованного теплоснабжения» / Пархоменко Д.М., Бобровский В.К. - Донецк:
ДПИ, 1987
3. Справочник по теплоснабжению
и вентиляции. Книга 1-я. Р.В.Щекин, Г.Е.Бем и др. Киев, «Будівельник»,
1976